Submitted:
29 March 2024
Posted:
29 March 2024
You are already at the latest version
Abstract
Keywords:
1. Introduction
1.1. Profile Geometry
- r: nominal radius;
- fx1(e0) … fxi(e0) and fy1(e0) … fyi(e0): single eccentricities as functions of the main eccentricity e0;
- α1… αi: functions of the parameter angle t and the number of corners n.
2. Numerical Investigations of Static Torsional Load
2.1. FE Model Structure
| No. | geometry | boundary conditions |
| 1 | nodes on end face of shaft | ux=uy=0 |
| 2 | nodes on end face of shaft | ux=uy= uy =0 |
| 3 | nodes on outer diameter of the hub | torsional moment Mt) |
| 4 | contact surface | µ = 0,12 |
- -
- Von Mises stress σv,mises;
- -
- Maximum principal stress σ1;
- -
- Contact normal stress σnn.
2.2. Load Condition in the Connection with Smooth Profile Shaft
2.3. Superimposed Influence of the Hub Edge and the Shaft Shoulder
3. Experimental Investigations
3.1. Test Bench and Test Parameters
3.2. Influence of a Shaft Shoulder on the Dynamic Transmission Capacity
3.3. Interference between Shaft and Hub
4. Epi- and Hypotrochoidal Connections with Stepped Shaft
4.1. Geometry of Specimen
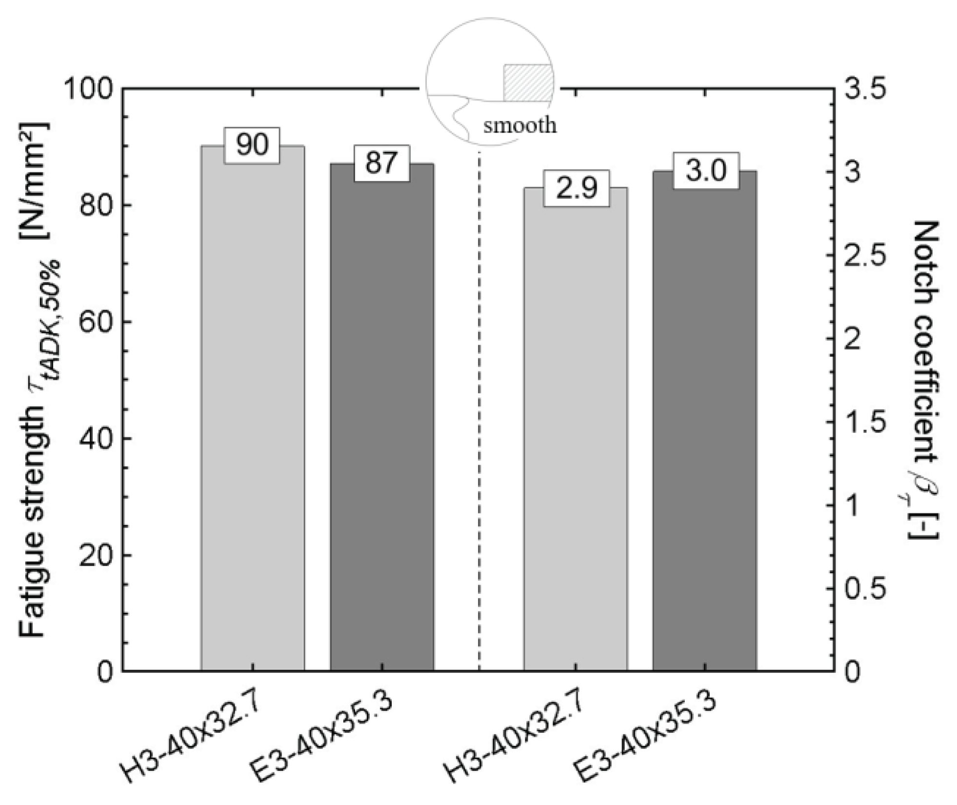
4.2. Dynamic Strength under Swelling Torsion
5. Conclusion and Outlook
6. Formula Symbols
| a | Distance of the hub edge to the shaft shoulder |
| A | Surface area |
| da | Tip diameter |
| daN | Outer diameter of the hub |
| di | Root diameter |
| e | Eccentricity |
| e0 | Main eccentricity |
| e1… ei | Single eccentricity |
| lF | Joining length |
| L | Arc length |
| Mt | Torsional moment |
| Mta | Torsional moment amplitude |
| n | Number of corners |
| N | Number of load cycles |
| NG | Limit number of load cycles |
| QA | Diameter ratio |
| r | Nominal radius |
| rs | Fillet radius |
| R | Stress ratio (min/max) |
| t | Parameter angle |
| T | Idealized zero fit |
| ux,y,z | Displacements in the spatial directions |
| U | Interference fit |
| x | Cartesian coordinate |
| y | Cartesian coordinate |
| βτ | Notch coefficient |
| µ | Coefficient of friction |
| ξ | Related oversize |
| σnn | Contact normal stress |
| σv,mises | Von Mises stress |
| σ1 | Maximum principal stress |
| τta | Torsional stress amplitude |
| τtADK | Fatigue strength |
| ω | Running coordinate |
Acknowledgments
References
- Ziaei, M.: Optimale Welle-Nabe-Verbindung mit mehrfachzyklischen Profilen, 5. VDI-Fachtagung "Welle-Nabe-Verbindungen" in Nürtingen, 25./26. September 2012.
- Ziaei, M.: Berechnung der Torsions- und Kontaktspannungen in den neuen nichtevolventischen M-Profilen und Vergleichen mit den genormten evolventischen Zahnprofilen nach DIN 5480, VDI-Verlag GmbH Düsseldorf, 4. Fachtagung Welle-Nabe-Verbindungen VDI-Berichte 2114, 2010, ISSN 0083-5560.
- Ziaei, M. Neue zyklische Profilkonturen – die optimale Alternative für die genormten Zahnprofilverbindungen. Konstruktion 2012, 10. [Google Scholar]
- Ziaei, M.; Selzer M.: Entwicklung kontinuierlicher unrunder Innen- und Außenkonturen für formschlüssige Welle-Nabe-Verbindungen und Ermittlung analytischer Lösungsansätze, Forschungsvorhaben DFG-ZI1161-1/2, Abschlussbericht, Westsächsische Hochschule Zwickau, 2015.
- Selzer, M.; Ziaei, M. Zykloiden höherer Stufe - Alternative für formschlüssige Welle-Nabe-Verbindungen - Teil 1. antriebstechnik Heft 2016, 10. [Google Scholar]
- Selzer, M.; Ziaei, M. Zykloiden höherer Stufe - Alternative für formschlüssige Welle-Nabe-Verbindungen - Teil 2. antriebstechnik Heft 2017, 03. [Google Scholar]
- Ziaei, M.; Sommer H.: Einsetzen der trochoidischen Konturen für formschlüssige Welle-Nabe-Verbindungen in der Antriebstechnik, Forschungsvorhaben DFG-ZI1161-3, Abschlussbericht, Westsächsische Hochschule Zwickau, 2023.
- Ziaei, M. Bending Stresses and Deformations in Prismatic Profiled Shafts With Noncircular Contours Based on Higher Hybrid Trochoids. Applied Mechanics 2022, 3(3). [Google Scholar] [CrossRef]
- Hück, M. Ein verbessertes Verfahren für die Auswertung von Treppenstufenversuchen. Zeitschrift für Werkstofftechnik, Heft 1983, 14, 406–417. [Google Scholar] [CrossRef]
- DIN 509:2022-12, Technical product documentation – Relief grooves – Types dimensions and tolerances, Beuth-Verlag, Berlin 2022-12.
- [11] DIN 743-1:2012-12, Calculation of load capacity of shafts and axles – Part 1: General, Beuth-Verlag, Berlin 2012-12.
- [12] Forbrig, F., Ziaei, M., Selzer M.: Hochfeste formschlüssige Verbindungen unter dynamischer Belastung - Einfluss von Profilkontur, Werkstoff und Fertigung. FVA-Nr. 898-I, IGF-Vorhaben Nr. 21098 BR, Abschlussbericht Heft Nr. 1595, Frankfurt am Main, 2023.
- Abschlussbericht Optimierung des Zahnwellenprofils primär zur Drehmomentübertragung unter Berücksichtigung wirtschaftlicher Fertigungsmöglichkeiten. Forschungsvorhaben Nr. 742 I der Forschungsvereinigung Antriebstechnik e.V., (AiF 18406 BG), Frankfurt/Main, 2018 (FVA-Heft 1316).
- Selzer, M., Ziaei, M.: Rechnerische Ermittlung der Kerbwirkungszahl von Unrundprofilen unter reiner Torsionsbelastung und Vergleich mit dem genormten Zahnwellenprofil nach DIN 5480, VDI-Berichte 2238, Karlsruhe 2014.
- DIN 3689-1:2021-11, Shaft to collar connection - Hypotrochoidal H-profiles - Part 1: Geometry and dimensions. Beuth-Verlag, Berlin 2021-12.
- Ziaei, M.: Torsionsspannungen in prismatischen, unrunden Profilwellen mit trochoidischen Konturen. Forschung im Ingenieurwesen, Springer-Verlag GmbH, 2021. [CrossRef]
- Ziaei, M. Bending and Torsional Stress Factors in Hypotrochoidal H-Profiled Shafts Standardised According to DIN 3689-1. Eng 2023, 4, 829–842. [Google Scholar] [CrossRef]

















| Profile type | H-Profil | E-Profil |
| Nominal Profile Radius r | 18.181 mm | 18.824 mm |
| Eccentricity e | 1.818 mm | 1.177 mm |
| Number of corners n | 3 | 3 |
| Tip diameter da | 40.00 mm | 40.00 mm |
| Root diameter di | 32.73 mm | 35.29 mm |
Disclaimer/Publisher’s Note: The statements, opinions and data contained in all publications are solely those of the individual author(s) and contributor(s) and not of MDPI and/or the editor(s). MDPI and/or the editor(s) disclaim responsibility for any injury to people or property resulting from any ideas, methods, instructions or products referred to in the content. |
© 2024 by the authors. Licensee MDPI, Basel, Switzerland. This article is an open access article distributed under the terms and conditions of the Creative Commons Attribution (CC BY) license (http://creativecommons.org/licenses/by/4.0/).