Submitted:
29 March 2024
Posted:
01 April 2024
You are already at the latest version
Abstract
Keywords:
1. Introduction
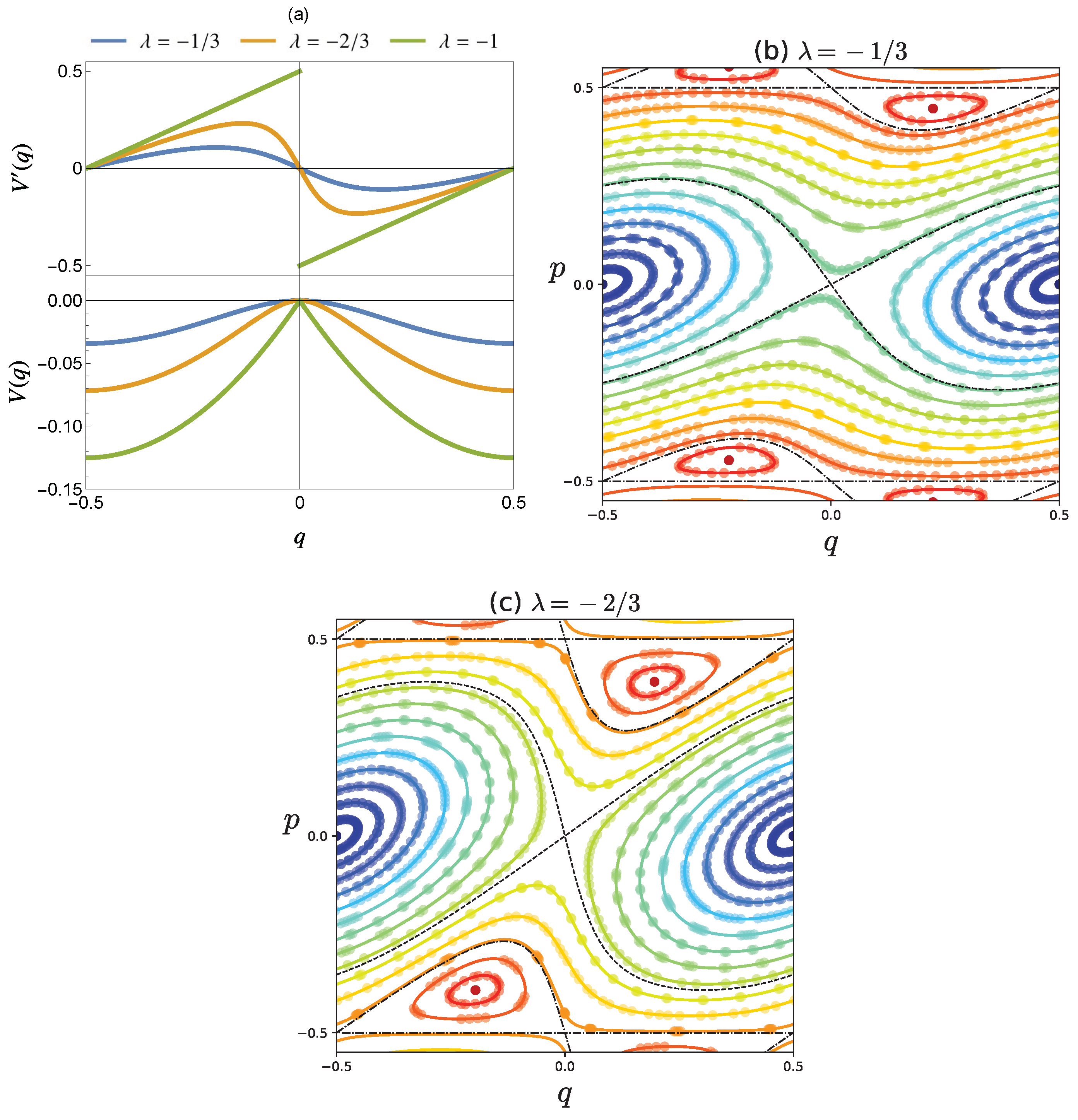
2. Model
3. Difference between and
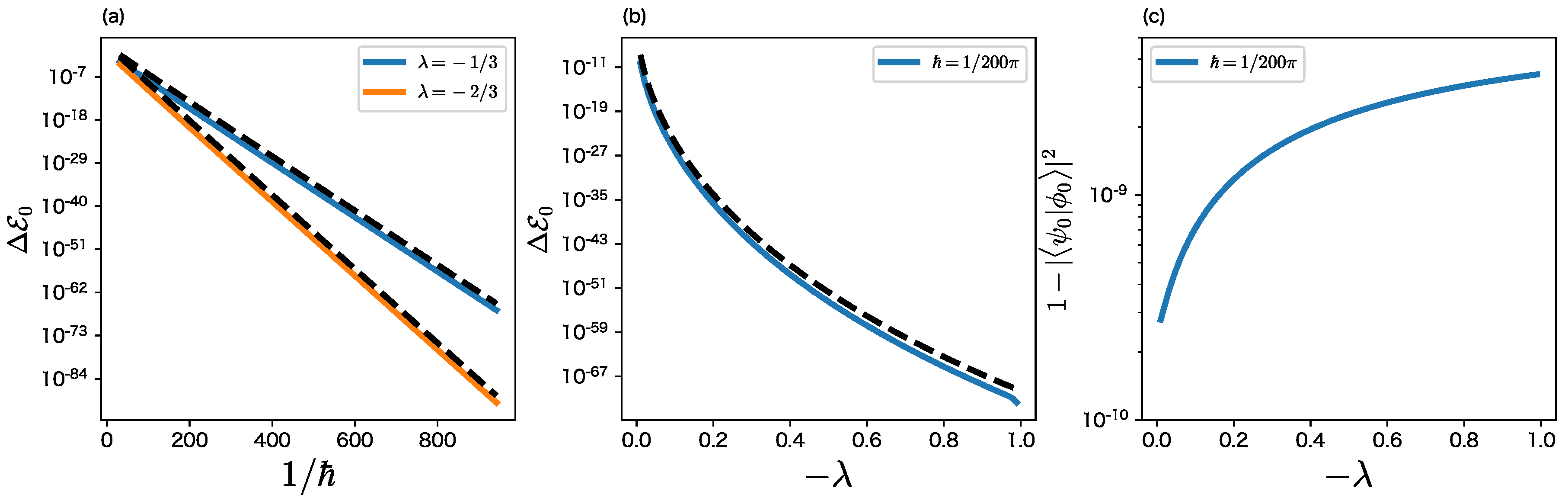
4. Toward Semiclassical Understanding for Plateau with Oscillatory Pattern
4.1. Complex Dynamics of and
4.2. One-step propagation
5. Conclusion and Discussion
Author Contributions
Funding
Data Availability Statement
Acknowledgments
Conflicts of Interest
References
- Voros, A. The return of the quartic oscillator. The complex WKB method. Annales de l’I.H.P. Physique théorique 1983, 39, 211–338. [Google Scholar]
- Dingle, R. Asymptotic expansions: their derivation and interpretation; Vol. 521, Academic Press London, 1973.
- Écalle, J. Les fonctions résurgentes:(en trois parties); Vol. 1, Université de Paris-Sud, Département de Mathématique, Bât. 425, 1981.
- Delabaere, E.; Dillinger, H.; Pham, F. Exact semiclassical expansions for one-dimensional quantum oscillators. Journal of Mathematical Physics 1997, 38, 6126–6184. [Google Scholar] [CrossRef]
- Kawai, T.; Takei, Y. Algebraic analysis of singular perturbation theory; Vol. 227, American Mathematical Society, 2005.
- Callan Jr, C.G.; Coleman, S. Fate of the false vacuum. II. First quantum corrections. Physical Review D 1977, 16, 1762. [Google Scholar] [CrossRef]
- Coleman, S. Fate of the false vacuum: Semiclassical theory. Physical Review D 1977, 15, 2929. [Google Scholar] [CrossRef]
- Coleman, S. Aspects of Symmetry: Selected Erice Lectures; Cambridge University Press, 1988.
- George, T.F.; Miller, W.H. Complex-Valued Classical Trajectories for Linear Reactive Collisions of H + H2 below the Classical Threshold. The Journal of Chemical Physics 1972, 56, 5722–5723. [Google Scholar] [CrossRef]
- Miller, W.H. Quantum mechanical transition state theory and a new semiclassical model for reaction rate constants. The Journal of Chemical Physics 1974, 61, 1823–1834. [Google Scholar] [CrossRef]
- Shudo, A.; Ikeda, K.S. Complex classical trajectories and chaotic tunneling. Physical Review Letters 1995, 74, 682. [Google Scholar] [CrossRef] [PubMed]
- Shudo, A.; Ikeda, K.S. Complex Semiclassical Approach to Chaotic Tunneling. Dynamical Tunneling: Theory and Experiment.
- Koda, R.; Hanada, Y.; Shudo, A. Ergodicity of complex dynamics and quantum tunneling in nonintegrable systems. Physical Review E 2023, 108, 054219. [Google Scholar] [CrossRef] [PubMed]
- Davis, M.J.; Heller, E.J. Quantum dynamical tunneling in bound states. The Journal of Chemical Physics 1981, 75, 246–254. [Google Scholar] [CrossRef]
- Creagh, S.C. Tunneling in two dimensions. In Tunneling in Complex Systems; Tomsovic, S., Ed.; World Scientific, 1998; p. 35.
- Keshavamurthy, S.; Schlagheck, P. Dynamical tunneling: theory and experiment; CRC Press, 2011.
- Milnor, J. Dynamics in One Complex Variable; Vol. 160, Princeton University Press, 2011.
- Beardon, A.F. Iteration of rational functions: Complex analytic dynamical systems; Vol. 132, Springer Science & Business Media, 2000.
- Morosawa, S.; Nishimura, Y.; Taniguchi, M.; Ueda, T. Holomorphic dynamics; Vol. 66, Cambridge University Press, 2000.
- Takahashi, K. Semiclassical Analysis of Multidimensional Barrier Tunneling. Dynamical Tunneling: Theory and Experiment.
- Hanada, Y.; Shudo, A.; Ikeda, K.S. Origin of the enhancement of tunneling probability in the nearly integrable system. Physical Review E 2015, 91, 042913. [Google Scholar] [CrossRef] [PubMed]
- Hanada, Y.; Ikeda, K.S.; Shudo, A. Dynamical tunneling across the separatrix. Physical Review E 2023, 108, 064210. [Google Scholar] [CrossRef] [PubMed]
- Suris, Y.B. Integrable mappings of the standard type. Functional Analysis and Its Applications 1989, 23, 74–76. [Google Scholar] [CrossRef]
- Iijima, R.; Koda, R.; Hanada, Y.; Shudo, A. Quantum tunneling in ultra-near-integrable systems. Physical Review E 2022, 106, 064205. [Google Scholar] [CrossRef]
- Meiss, J.D. Symplectic maps, variational principles, and transport. Reviews of Modern Physics 1992, 64, 795–848. [Google Scholar] [CrossRef]
- Takahasi, H.; Mori, M. Double Exponential Formulas for Numerical Integration. Publications of the Research Institute for Mathematical Sciences 1973, 9, 721–741. [Google Scholar] [CrossRef]
- Berry, M.V.; Balazs, N.L.; Tabor, M.; Voros, A. Quantum maps. Annals of Physics 1979, 122, 26–63. [Google Scholar] [CrossRef]
- Casati, G.; Chirikov, B.V.; Izraelev, F.M.; Ford, J. Stochastic behavior of a quantum pendulum under a periodic perturbation. In Proceedings of the Stochastic Behavior in Classical and Quantum Hamiltonian Systems; Casati, G.; Ford, J., Eds., Berlin, Heidelberg, 1979; Lecture Notes in Physics; pp. 334–352. [Google Scholar] [CrossRef]
- Advanpix LLC.. Multiprecision Computing Toolbox for MATLAB. http://www.advanpix.com/.
- Berry, M.V.; Mount, K.E. Semiclassical approximations in wave mechanics. Reports on Progress in Physics 1972, 35, 315. [Google Scholar] [CrossRef]
- Shudo, A.; Ishii, Y.; Ikeda, K.S. Julia sets and chaotic tunneling: I. Journal of Physics A 2009, 42, 265101. [Google Scholar] [CrossRef]
- Shudo, A.; Ishii, Y.; Ikeda, K.S. Julia sets and chaotic tunneling: II. Journal of Physics A 2009, 42, 265102. [Google Scholar] [CrossRef]
- Shudo, A.; Ikeda, K.S. Stokes geometry for the quantum Hénon map. Nonlinearity 2008, 21, 1831. [Google Scholar] [CrossRef]
- Shudo, A.; Ikeda, K.S. Toward pruning theory of the Stokes geometry for the quantum Hénon map. Nonlinearity 2016, 29, 375. [Google Scholar] [CrossRef]
- Bullett, S.; Lomonaco, L.; Siqueira, C. Correspondences in complex dynamics. New Trends in One-Dimensional Dynamics: In Honour of Welington de Melo on the Occasion of His 70th Birthday IMPA 2016, Rio de Janeiro, Brazil, November 14–17, 14 November. [CrossRef]
- Ishikawa, A.; Tanaka, A.; Ikeda, K.S.; Shudo, A. Diffraction and tunneling in systems with mixed phase space. Physical Review E 2012, 86, 036208. [Google Scholar] [CrossRef] [PubMed]
- Ablowitz, M.J.; Ramani, A.; Segur, H. A connection between nonlinear evolution equations and ordinary differential equations of P-type. II. Journal of Mathematical Physics 1980, 21, 1006–1015. [Google Scholar] [CrossRef]
- Haake, F. Quantum signatures of chaos; Springer, 1991.
- Greene, J.M.; Percival, I.C. Hamiltonian maps in the complex plane. Physica D 1981, 3, 530–548. [Google Scholar] [CrossRef]
- Percival, I.C. Chaotic boundary of a Hamiltonial map. Physica D 1982, 6, 67–77. [Google Scholar] [CrossRef]
- Berretti, A.; Chierchia, L. On the complex analytic structure of the golden invariant curve for the standard map. Nonlinearity 1990, 3, 39. [Google Scholar] [CrossRef]
- Berretti, A.; Marmi, S. Standard map at complex rotation numbers: creation of natural boundaries. Physical Review Letters 1992, 68, 1443. [Google Scholar] [CrossRef] [PubMed]
- Tomsovic, S.; Ullmo, D. Chaos-assisted tunneling. Physical Review E 1994, 50, 145. [Google Scholar] [CrossRef] [PubMed]
- Brodier, O.; Schlagheck, P.; Ullmo, D. Resonance-assisted tunneling. Annals of Physics 2002, 300, 88–136. [Google Scholar] [CrossRef]
- Balazs, N.; Voros, A. Wigner’s function and tunneling. Annals of Physics 1990, 199, 123–140. [Google Scholar] [CrossRef]
| 1 | The integration of is numerically evaluated by "double exponential quadrature" [26] implemented in Mathematica until numerical convergence is achieved to at least with 200 digits of mantissa. |










Disclaimer/Publisher’s Note: The statements, opinions and data contained in all publications are solely those of the individual author(s) and contributor(s) and not of MDPI and/or the editor(s). MDPI and/or the editor(s) disclaim responsibility for any injury to people or property resulting from any ideas, methods, instructions or products referred to in the content. |
© 2024 by the authors. Licensee MDPI, Basel, Switzerland. This article is an open access article distributed under the terms and conditions of the Creative Commons Attribution (CC BY) license (http://creativecommons.org/licenses/by/4.0/).
