Submitted:
25 March 2024
Posted:
27 March 2024
You are already at the latest version
Abstract
Keywords:
1. Introduction
1.1. Related Works
2. Materials and Methods
2.1. Implemented System
- Ten points are given for each chat message sent, resource viewed, folder viewed, and course page viewed.
- Fifteen points are for any content posted on forums or messages or threads created on forums.
- Twenty points for each lesson completed or Microsoft Teams session started (attendance to synchronous classes).
- Thirty points for each assignment submitted, quiz attempt submitted, glossary entry passed, H5P interactive object completed and scored, and entry posted on Board.
2.2. Data Collection
- The number of activities and resources visited by students .
- The number of total activities and resources enabled by the teacher in the classroom and the number of activities only enabled by the teacher .
- The number of interactive learning objects and interactive activities completed by the student (considering interactive objects as those of the H5P, IMS or SCORM type and interactive activities as questionnaires, lessons and forums).
- The total time spent by the student solely on solving interactive objects, interactive and communication activities (excluding homework delivery times, consulting calendars or grades, reading or viewing static resources, among others).
- The number of experience points accumulated by the student awarded by the LevelUp XP plugin .
- The rank achieved in the classroom ranking system was awarded by the LevelUp Xp plugin .
23. Statistical analysis
3. Results
3.1. Validation of the Ordinal Instrument
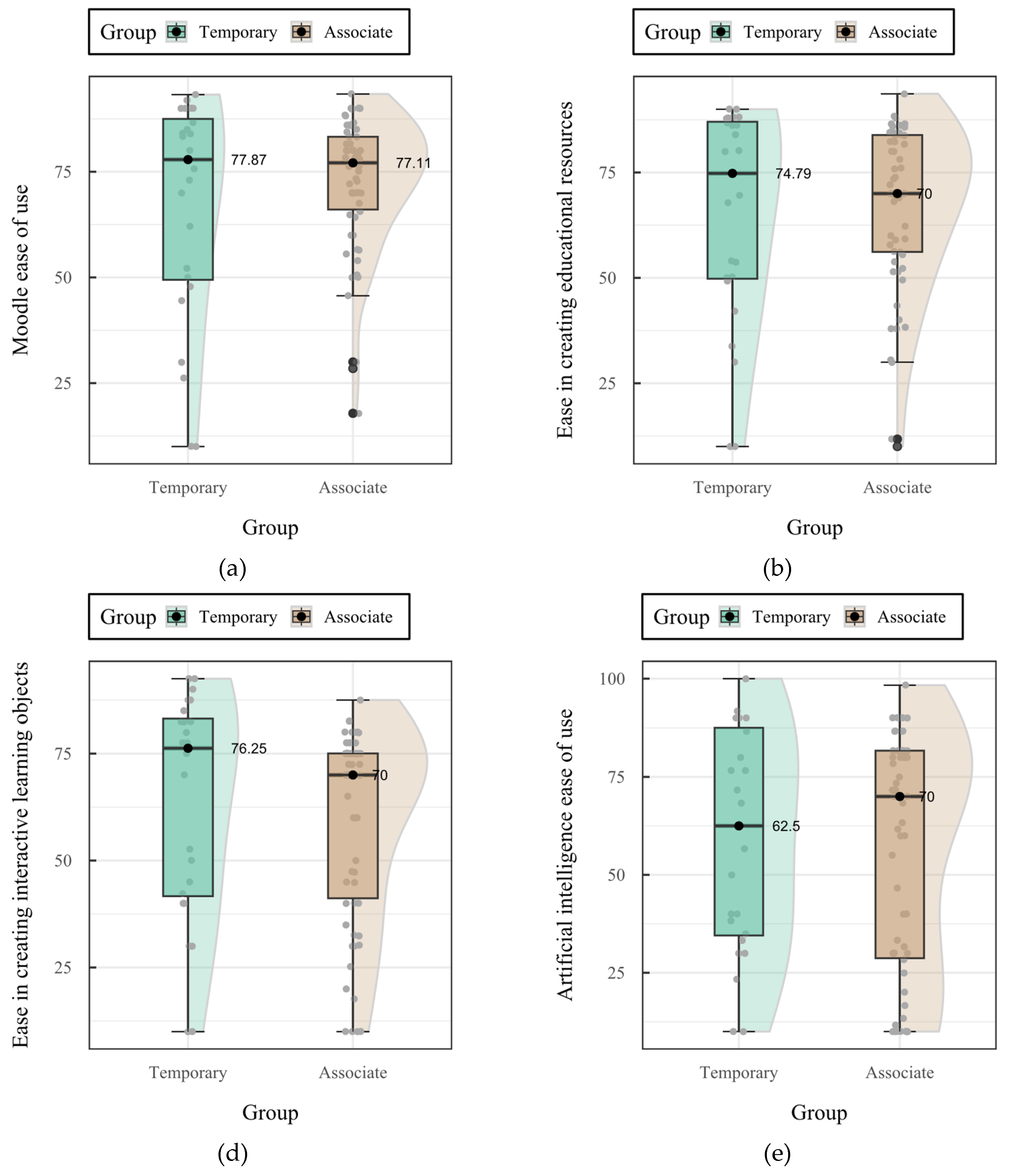
3.2. Analysis of the Incidence among Teachers
3.3. Analysis of the Incidence in Students
4. Discussion
- an 11.25% improvement in student average grades,
- a 110.45% improvement in the completion status of the activities of each
- 77.82% improvement in student interaction rate
- a 114.56% improvement in students' average time spent on asynchronous learning in each classroom.
5. Conclusions
Funding
Data Availability Statement
Conflicts of Interest
References
- Barrientos, Z.; Umaña, R. Deserción estudiantil en posgrados semipresenciales de la Universidad Estatal a Distancia (UNED), Costa Rica: ¿Deserción o retraso? UNED Research Journal/Cuadernos de Investigación UNED 2010, 1, 141–149. http://www.redalyc.org/articulo.oa?id=515651984002. [CrossRef]
- Hernández Miranda, E.A.; de la Cruz Hernández, K.; Rojas Contreras, D.E.; Guzmán Serna, J.A. La deserción escolar: un caso de educación en línea. PsicoEducativa: reflexiones y propuestas 2021, 7, 42–53. https://psicoeducativa.iztacala.unam.mx/revista/index.php/rpsicoedu/article/view/127.
- García, S.; Díaz, I.; Reche, M.P.; Torres, J.M.; Rodríguez, J.M. Systematic Review of Good Teaching Practices with ICT in Spanish Higher Education. Trends and Challenges for Sustainability. Sustainability 2019, 11, 7150. [Google Scholar] [CrossRef]
- González Castro, Y.; Manzano Durán, O.; Torres Zamudio, M. Riesgos de deserción en las universidades virtuales de Colombia, frente a las estrategias de retención. Libr. Empres. 2017, 14, 177–197. [Google Scholar] [CrossRef]
- Abbad, G.; Carvalho, R.S.; Zerbini, T. Evasão em curso via internet: explorando variáveis explicativas. RAC-Eletrônica 2006, 1, 1–15. [Google Scholar] [CrossRef]
- Vélez Meza, E.M. Gamificación en técnicas de aprendizaje mediante aulas virtuales metafóricas en educación superior modalidad en línea. Universidad Técnica del Norte, 2020.
- Silva Morán, J.J. Desarrollar un conjunto de tableros visuales de Business Intelligence (BI) mediante la herramienta de Tableau que permita fortalecer la interpretación de la información de deserción estudiantil en la Universidad Técnica del Norte. Universidad Técnica del Norte, 2022.
- Kalyuga, S. Interactive distance education: a cognitive load perspective. J. Comput. High. Educ. 2012, 24, 182–208. [Google Scholar] [CrossRef]
- Rodríguez, Y.T. DESIGN OF A VIRTUAL LEARNING ENVIRONMENT CENTERED IN THE EDUCATIONAL METAPHOR. Universidad Ciencia Y Tecnología 2018, 22. https://uctunexpo.autanabooks.com/index.php/uct/article/view/175.
- Santaella, S. aulas virtuales metafóricas como herramientas para promover el aprendizaje en los estudiantes universitarios. Red De Investigación Educativa 2018, 11, 41–51. https://revistas.uclave.org/index.php/redine/article/view/1991.
- Herrera, J.L. Recursos didácticos y manejo de las TIC en los Procesos de Aprendizaje en la escuela de Lenguas y Linguística de la Facultad de Filofofía, Letras y Ciencias de la Educación. Universidad de Guayaquil, 2013.
- Gámiz Sánchez, V.M. Entornos virtuales para la formación práctica de estudiantes de educación: implementación, experimentación y evaluación de la plataforma aulaweb. Universidad de Granada, 2009. https://digibug.ugr.es/handle/10481/2727.
- Yánez Rueda, H.S. Desarrollo de un aula virtual metafórica para la asignatura de Herramientas Informáticas Aplicadas en la Universidad Tecnológica Indoamérica. Pontificia Universidad Católica del Ecuador Sede Ambato, 2017. https://repositorio.pucesa.edu.ec/handle/123456789/1885.
- Pilamunga Poveda, E.M.; Quizhpi Lupercio, L.P. La estrategia de gamificación y el proceso de aprendizaje. Universidad Técnica de Ambato, 2018. https://repositorio.uta.edu.ec/handle/123456789/28903.
- Aza-Espinosa, M.; Guerra Torrealba, L.; Herrera-Granda, E.; Aza-Espinosa, M.; Burbano-Pulles, M.; Pozo-Burgos, J. Learning Performance Indicators a Statistical Analysis on the Subject of Natural Sciences During the COVID-19 Pandemic at the Tulcán District BT—Trends in Artificial Intelligence and Computer Engineering. Botto-Tobar, M., Gómez, O.S., Rosero Miranda, R., Díaz Cadena, A., Luna-Encalada, W., Eds.; Springer Nature Switzerland: Cham, 2023; pp. 139–154. [Google Scholar]
- Guevara-Vega, C.P.; Chamorro-Ortega, W.P.; Herrera-Granda, E.P.; García-Santillán, I.D.; Quiña-Mera, J.A. Incidence of a web application implementation for high school students learning evaluation: A case study. Revista Ibérica de Sistemas e Tecnologias de Informação 2020, 2020, 509–523. https://www.proquest.com/openview/bfe21dc96eab6a1dd96d132373a9eefc/1?pq-origsite=gscholar&cbl=1006393.
- Aza-Espinosa, M.J.; Herrera-Granda, E.P.; Ibarra-Rosero, M. DeepBrucel: A Deep Learning Approach for Automated Risk Detection of Brucellosis in Cattle Farms in Ecuador. Ingénierie des Systèmes d'Information 2023, 28, 897–920. [Google Scholar] [CrossRef]
- Benalcázar-Rojas, V.R.; Yambay-Vallejo, W.J.; Herrera-Granda, E.P. Multivariate Analysis for Prediction of Splitting Tensile Strength in Concrete Paving Blocks. Appl. Sci. 2023, 13, 10956. [Google Scholar] [CrossRef]
- Weidman, S. Deep Learning from Scratch, First, O’Reilly: Sebastopol, 2019. https://www.oreilly.com/library/view/deep-learning-from/9781492041405/.
- Demuth, H.B.; Beale, M.H.; De Jess, O.; Hagan, M.T. Neural Network Design, 2nd ed.; Martin Hagan: Stillwater, OK, USA, 2014. [Google Scholar]
- Jácome Ortega, A.E.; Caraguay Procel, J.A.; Herrera-Granda, E.P.; Herrera Granda, I.D. Confirmatory Factorial Analysis Applied on Teacher Evaluation Processes in Higher Education Institutions of Ecuador. In Advances in Intelligent Systems and Computing; Springer, 2020; pp. 157–170. [Google Scholar] [CrossRef]
- Ghorbani, H. Mahalanobis distance and its application for detecting multivariate outliers. Facta Universitatis, Series: Mathematics and Informatics 2019, 34, 583–595. [Google Scholar] [CrossRef]
- Yang-Wallentin, F.; Jöreskog, K.G.; Luo, H. Confirmatory Factor Analysis of Ordinal Variables With Misspecified Models. Struct. Equ. Model. A Multidiscip. J. 2010, 17, 392–423. [Google Scholar] [CrossRef]
- Rosseel, Y. lavaan: An R Package for Structural Equation Modeling. J. Stat. Softw. 2012, 48, 1–36. [Google Scholar] [CrossRef]
- Jácome-Ortega, A.E.; Herrera-Granda, E.P.; Herrera-Granda, I.D.; Caraguay-Procel, J.A.; Basantes-Andrade, A.V. Análisis temporal y pronóstico del uso de las TIC, a partir del instrumento de evaluación docente de una Institución de Educación Superior. Revista Ibérica de Sistemas e Tecnologias de Informação 2019, 399–412. https://www.proquest.com/openview/96910c7cb0c260ae2409940921c7f71b/1?pq-origsite=gscholar&cbl=1006393.
- Imbaquingo, D.E.; Herrera-Granda, E.P.; Herrera-Granda, I.D.; Arciniega, S.R.; Guamán, V.L.; Ortega-Bustamante, M.C. Evaluation of university informatic security systems: Teacher evaluation system a case study. RISTI-Revista Iberica de Sistemas e Tecnologias de Informacao E 2019, 2019, 349–362. [Google Scholar]
- Manuel Batista-Foguet, J.; Coenders, G.; Alonso, J. Análisis factorial confirmatorio. Su utilidad en la validación de cuestionarios relacionados con la salud. Medicina clínica 2004, 122 (Suppl. 1), 21–27. [Google Scholar]
- Wilcoxon, F. Individual Comparisons by Ranking Methods. Biometrics Bull. 1945, 1, 80. [Google Scholar] [CrossRef]
- Woolson, R.F. Wilcoxon Signed-Rank Test. In Wiley Encyclopedia of Clinical Trials; Wiley, 2018; pp. 1–3. [Google Scholar]
- Jácome-Ortega, A.E.; Herrera-Granda, E.P.; Herrera-Granda, I.D.; Caraguay-Procel, J.A.; Basantes-Andrade, A.V. Análisis temporal y pronóstico del uso de las TIC, a partir del instrumento de evaluación docente de una Institución de Educación Superior. Revista Ibérica de Sistemas e Tecnologias de Informação 2019, 2019, 399–412. https://www.proquest.com/openview/96910c7cb0c260ae2409940921c7f71b/1?pq-origsite=gscholar&cbl=1006393.
- Uluman, M.; Deha Doğan, C. Comparison of Factor Score Computation Methods In Factor Analysis. Journal of Basic and Applied Sciences 2016, 10, 143–151. http://www.ajbasweb.com/old/ajbas/2016/December/143-151.pdf.









| Factor 1: Ease of use of the Moodle platform for online education | |
| Do you consider that the virtual classroom system has an interface that facilitates user navigation? | |
| Are virtual classroom system's communication blocks and tools easy to use and access? | |
| Do you consider that each virtual classroom's communication blocks and tools are configured optimally? | |
| Do you consider the virtual classroom system's publication and configuration of resources simple and user-friendly? | |
| Are creating and configuring activities in the virtual classroom system (assignments, questionnaires, forums, glossaries, lessons, etc.) simple and user-friendly? | |
| Factor 2: Ease of creating, publishing and uploading educational resources | |
| Are creating and publishing documents in the virtual classroom system easy? | |
| Are recording and publishing educational videos in the virtual classroom system easy? | |
| Do you consider it easy to create, edit, or publish figures and illustrations in the virtual classroom system? | |
| Do you consider it easy to create, export, and import question banks in the virtual classroom system? | |
| Are creating, projecting and publishing presentations in the virtual classroom system easy? | |
| Factor 3: Ease of creating and using interactive learning objects | |
| Is creating interactive videos in the virtual classroom system easy? (videos that project questions and challenges to the user automatically) | |
| Does the virtual classroom system facilitate the creation of interactive diagrams? | |
| Do you consider that the virtual classroom system has sufficient tools to facilitate the creation of recreational elements such as word searches, crossword puzzles, and other interactive games? | |
| Do you consider that the virtual classroom system has sufficient design and tools to promote the gamification of the virtual classrooms used to teach the subjects? | |
| Factor 4: Ease of using artificial intelligence applied to education | |
| Do you consider that the system and regulations implemented promote the use of artificial intelligence for text processing, such as ChatGPT? | |
| Do you consider that the implemented system facilitates the creation of educational texts and documents assisted by artificial intelligence? | |
| Does the implemented system facilitate the creation of educational presentations assisted by artificial intelligence? | |
| Does the implemented system facilitate the creation of question banks in a format compatible with Moodle assisted by artificial intelligence? | |
| Do you consider that the implemented system facilitates the editing of academic documents assisted by artificial intelligence? | |
| Does the implemented system facilitate the creation and editing of scripts for educational videos assisted by artificial intelligence? | |
| Question | min | 1st Qu. | Medium | mean | 3rd Qu. | Max. | Sd. |
| 0.00 | 4.75 | 8.00 | 12.45 | 15.00 | 40.00 | 11.1122 | |
| 0.000 | 2,000 | 2,500 | 3,554 | 4,000 | 13,000 | 3.2458 | |
| Factor 1: Perceived ease of use of the Moodle platform for online education | |||||||
| 1,000 | 5,750 | 8,000 | 6,935 | 9,000 | 10,000 | 2.2375 | |
| 1,000 | 5,000 | 7,000 | 6,565 | 8,000 | 10,000 | 2.3454 | |
| 1,000 | 6,000 | 8,000 | 7,022 | 9,000 | 10,000 | 2.2869 | |
| 1,000 | 5,000 | 7,000 | 6,663 | 8,000 | 10,000 | 2.3312 | |
| 1,000 | 6,000 | 8,000 | 7,217 | 9,000 | 10,000 | 2.3572 | |
| Factor 2: Perceived ease of using software to create educational resources | |||||||
| 1,000 | 5,000 | 7,000 | 6,587 | 8,000 | 10,000 | 2.3117 | |
| 1,000 | 5,000 | 7,000 | 6,359 | 8,000 | 10,000 | 2.4114 | |
| 1,000 | 4,000 | 7,000 | 6,196 | 9,000 | 10,000 | 2.6446 | |
| 1,000 | 5,000 | 8,000 | 6,957 | 9,000 | 10,000 | 2.5415 | |
| 1,000 | 5,000 | 7,000 | 6,641 | 9,000 | 10,000 | 2.6000 | |
| Factor 3: Perceived ease of using interactive learning objects | |||||||
| 1,000 | 4,000 | 7,000 | 6,022 | 8,000 | 10,000 | 2.4894 | |
| 1.00 | 4.00 | 7.00 | 5.75 | 7.00 | 10.00 | 2.4967 | |
| 1.00 | 4.00 | 7.00 | 5.87 | 8.00 | 10.00 | 2.4683 | |
| 1,000 | 4,000 | 7,000 | 5,707 | 8,000 | 10,000 | 2.5786 | |
| Factor 4: Perceived ease of using artificial intelligence applied to education | |||||||
| 1,000 | 3,000 | 6,500 | 5,674 | 8,000 | 10,000 | 2.9616 | |
| 1,000 | 3,000 | 6,500 | 5,565 | 8,000 | 10,000 | 2.9772 | |
| 1,000 | 3,000 | 7,000 | 5,728 | 9,000 | 10,000 | 3.1661 | |
| 1.00 | 3.00 | 7.00 | 5.63 | 8.00 | 10.00 | 3.0516 | |
| 1,000 | 2,000 | 6,000 | 5,424 | 8,000 | 10,000 | 3.1070 | |
| 1,000 | 2,000 | 6,000 | 5,315 | 8,000 | 10,000 | 3.1305 | |
| npar | fmin | chisq | df | pvalue |
| 46.0000 | 4.0021 | 656.4102 | 164.0000 | 2.2e-16 |
| cfi | tli | nnfi | rmsea | srmr |
| 0.9461 | 0.9423 | 0.9420 | 0.0317 | 0.0451 |
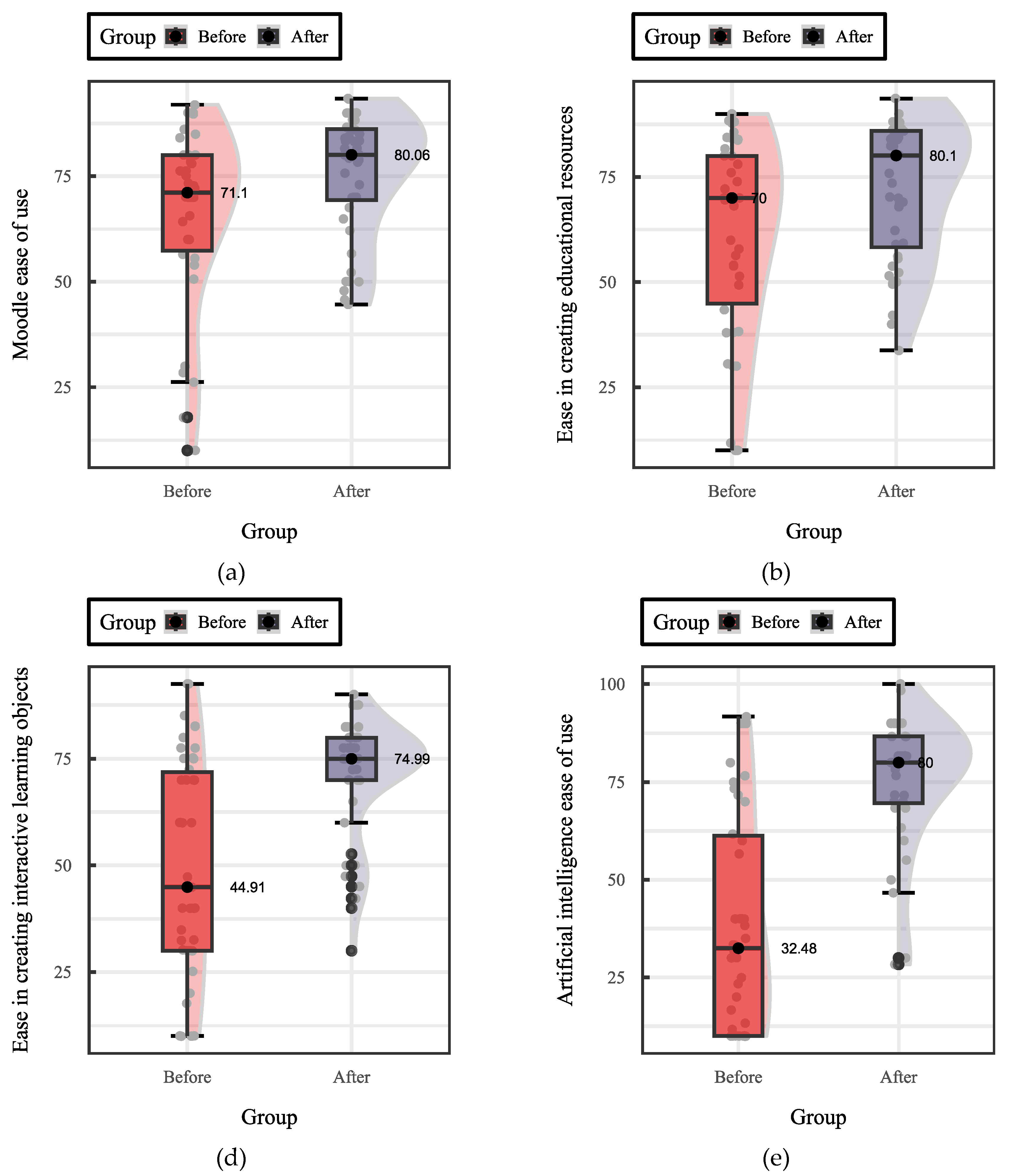
| Variable | Moodle ease of use | Ease in creating educational resources | Ease in creating interactive learning objects | Artificial intelligence ease of use |
|---|---|---|---|---|
| Wilcoxon Signed-Rank Test |
* Significant |
* Significant |
* Significant |
* Significant |
| 95% confidence interval | -13.77818194 -0.07045598 |
-16.3528372 -0.5115355 |
-35.012105 -7.551537 |
-53.28974 -26.65344 |
| Before | 71.0972 a | 70,0000 to | 44.9143 a | 32.4810 a |
| despues de | 80.0599b | 80.0976b | 74.9879b | 80,0000b |
| Variable | min | 1st Qu. | Medium | mean | 3rd Qu. | Max. | Sd. |
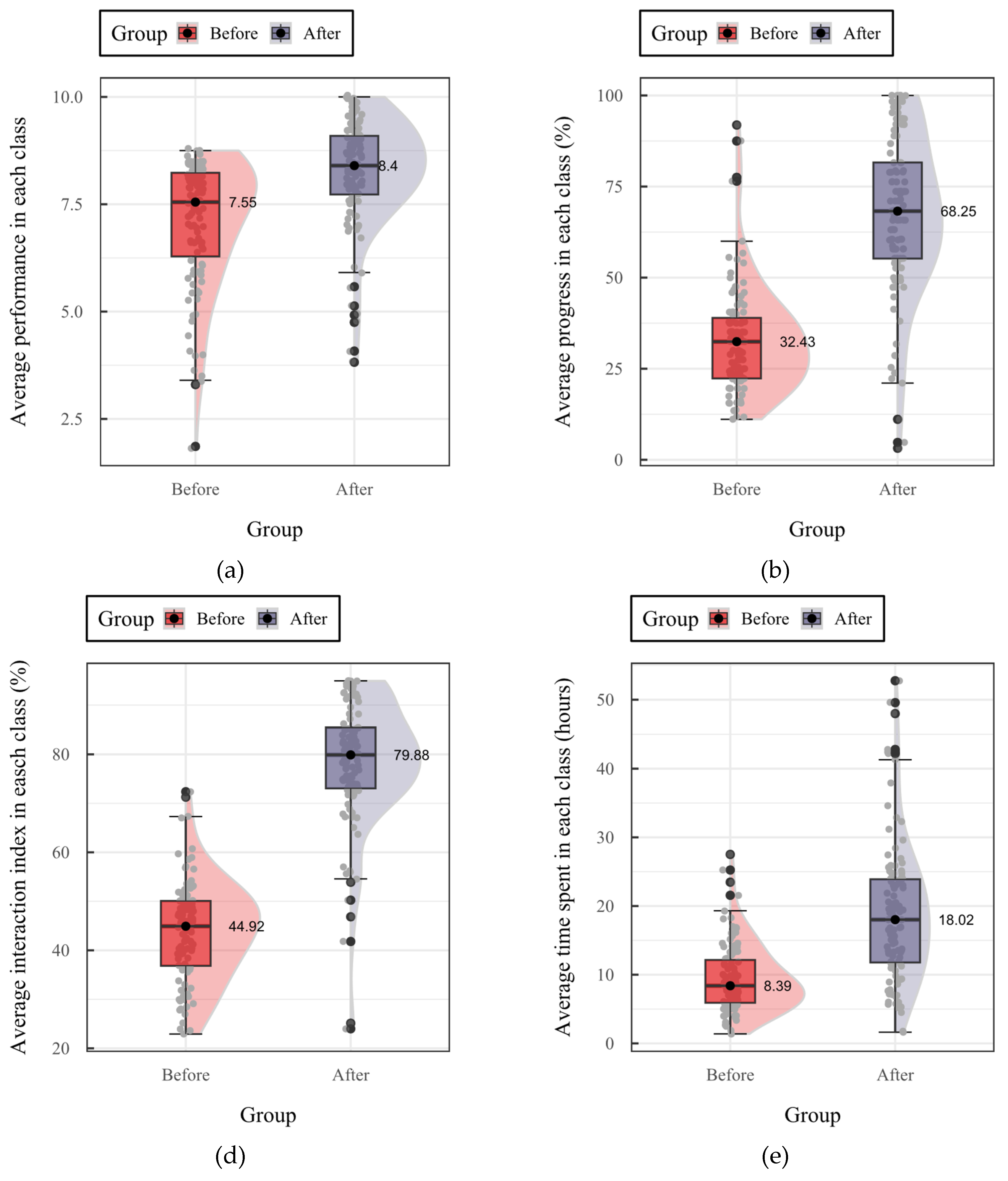
| Average performance | 0.750 | 6,980 | 8,000 | 7,586 | 8,530 | 10,000 | 1.6371 |
| Average progress (%) | 0.00 | 27.50 | 47.37 | 49.96 | 71.05 | 100.00 | 25.6404 |
| Average interaction rate (%) | -25.00 | 44.15 | 56.85 | 60.43 | 79.88 | 94.93 | 22.0263 |
| Average dedication time | 0.000 | 7,181 | 11,843 | 14,260 | 19,020 | 67,613 | 595.8164 |
| Variable | Average performance | Average progress (%) | Average interaction rate (%) | Average dedication time |
|---|---|---|---|---|
| Wilcoxon Signed-Rank Test |
* Significant |
* Significant |
* Significant |
* Significant |
| 95% confidence interval | -1.3700626 -0.7599909 |
-40.35009 -31.15001 |
-37.96991 -32.40999 |
-10.406495 -6.522186 |
| Before | 7.5500 to | 32.4300 a | 44.9200 a | 8.3936 a |
| despues de | 8.4000b | 68.2500b | 79.8800b | 18.0155b |
Disclaimer/Publisher’s Note: The statements, opinions and data contained in all publications are solely those of the individual author(s) and contributor(s) and not of MDPI and/or the editor(s). MDPI and/or the editor(s) disclaim responsibility for any injury to people or property resulting from any ideas, methods, instructions or products referred to in the content. |
© 2024 by the authors. Licensee MDPI, Basel, Switzerland. This article is an open access article distributed under the terms and conditions of the Creative Commons Attribution (CC BY) license (http://creativecommons.org/licenses/by/4.0/).