Preprint
Brief Report

This version is not peer-reviewed.

Are Gamers Prone to eThrombosis during Long Gaming Sessions?

A peer-reviewed article of this preprint also exists.

Submitted:

25 March 2024

Posted:

26 March 2024

You are already at the latest version

Abstract
During the last two decades several cases of venous thrombosis (VTE) after a prolonged period at a computer has been described, denominated “eThrombosis”. Video gaming on a computer has become very popular and can be a social activity where several players are gathered to play against each other or in a virtual environment for several days (“LAN (i.e., Local Area Network) parties”) where the participants are sedentary and consuming calorie-rich food items. The aim of this study was to investigate a potential coagulation activation during a 42 hour LAN party. Nine male gamers volunteered for the LAN party. Citrated blood was sampled before and every 6 hours, and plasma was analyzed for thrombin generation, and Thrombin-antithrombin-complexes (TAT), prothrombin Fragment 1+2 (F1+2), and D-dimer. Thrombin generation increased slightly but not significantly during the LAN party, whereas the coagulation activation markers were unchanged. These results do not indicate that the coagulation system is activated significantly during 42 h gaming with minimal physical activity. Although an increased activity cannot be excluded, it does not directly indicate a risk of VTE in general. It may be specific and particularly susceptible in-dividuals who are prone to thrombosis and, therefore, are at risk of developing e-thrombosis.
Keywords: 
;  ;  ;  ;  ;  ;  

1. Introduction

Venous thromboembolism (VTE) comprising deep venous thrombosis and pulmonary emboli is a multicausal disease [1] with several risk factors. This encompasses genetic risk factors as gain-of function mutations, e.g., Factor V Leiden and Factor II G20210A, or lack of one of the coagulation inhibitors, antithrombin and Protein C and S; and provoking factors such as surgery, immobilization, estrogen use, pregnancy, etc. The effect of the provoking factor immobilization is difficult to quantify. One attempt to estimate this effect was done by Ocak et al. in a group of patients with VTE; they estimated that immobilization (defined as being bedridden at home for at least 4 days, being hospitalized, or having surgery within 3 months) caused a six-fold increased risk of VTE in patients without a major disease and a 10-fold increased risk in patients with a major disease [2]. Thus, immobilization can be a substantial risk factor for VTE.
It is well-known that long-haul flights or long bus travels increase the risk of VTE. This is, at least partly, due to immobility, where stasis in the legs predisposes to thrombosis [3]. Analogous to this kind of seated immobilization, it has been described that sedentary work at a desktop computer may predispose to VTE. In 2003 Beasley et al. described a patient who developed a venous thrombosis (VTE), while working at a computer regularly for 12 h per day, sometimes up to 18 h. Typically he was sedentary for several hours – not infrequently 6 h at the computer without a break [4]. In the absence of other provoking risk factors, this prolonged inactive sitting was considered the provoking factor, and the authors proposed the name “eThrombosis”. At the same time, another publication by Ng et al. described a similar case, i.e., deep venous thrombosis in a 12 year old boy who had been playing on a games console for four consecutive hours [5]. In the following years were published several cases of otherwise healthy persons, even children, who developed VTE after prolonged computer-related activity [6,7,8,9]. In 2018 Lippi et al. published a review paper on eThrombosis, describing previous cases and the possible physiopathology behind [10]. During the COVID-19 pandemic it was stated in some correspondances that the increased use of online meetings and increased homework might increase the risk of eThromboses [11,12].Very recently was published another case of an unexpected death of an information technology professional because of a pulmonary emboli; he had been working at home for a year [13]. However, potential activation of the coagulation system during prolonged computer work has not been investigated.
Video gaming on a computer or games console has become very popular and can be a social activity where several players are gathered to play against each other or are in a virtual environment on the internet. Thus, LAN (Local Area Network) parties are casual or competitive events where a number of players participate, bringing along their computers which are linked to a network or via the internet, and they play for several days [14,15]. During these days, the participants play most of the time with a minimum of sleep, even no sleep, and they usually eat and drink unhealthy items as pizza, burgers, chips and other snacks, and lots of soda and soft drinks [14,15]. We have recently arranged a party like this from Friday to Sunday where the participants only slept about 6 h and consumed calorie-rich food items [14]. Since a prolonged sedentary activity at a computer may be a risk factor for VTE, this observational, exploratory study aimed to investigate the effect on coagulation activity and activation of the 42 hours long LAN-party with minimal physical activity. To describe the activity of the coagulation system, we measured changes in thrombin generation describing the potential activity of the entire coagulation system, whereas the actual activation of the coagulation system was quantitated by the coagulation markers Thrombin-antithrombin complex (TAT), prothrombin fragment 1+2 (F1+2), and D-dimer. Our hypothesis is that the activity and/or the potential of the coagulation system may be increased during the prolonged sedentary period. The results showed a small, but nonsignificant increase of the coagulation potential, but the markers of coagulation activity did not increase.

2. Materials and Methods

2.1. Participants

This pilot study has been described before [14]. In brief, nine male gamers volunteered for a LAN party after announcement of the study on several gaming related message boards. Inclusion criteria were healthy male adults (> 18 years old), and exclusion criteria were anemia, hypertension and diabetes mellitus. They arrived on a Friday afternoon, and the gaming consisted of two 18 h sessions from 6 p.m. to noon the next day, interrupted by 4-5 h sleep on Saturday afternoon before gaming resumed at 6 pm and ended on Sunday at noon. The study was approved by the local Ethics Committee (N20180011).

2.2. Blood Samples

Blood was sampled right before the start at 6 pm Friday and again every 6 h until Sunday at noon, and finally a sampling on the following Friday. Venous blood was collected using a 21-gauge needle into 3.2% (w/v) trisodium citrate (Vacutainer, BD) and centrifuged at room temperature at 2500 g for 15 minutes. The supernatant to 1 cm above the buffy coat was recentrifuged for another 15 minutes at 2500 g and plasma to 1 cm above the pellet was within one hour stored at -80 oC until analysis.

2.3. Analyses

Thrombin generation (TG) was performed using the calibrated automated thrombogram on a FluoStar Optima (BMG Labtech, Ortenberg, Germany) using the Thrombinoscope Software (Thrombinoscope BV, Maastricht, The Netherlands) according to the manufacturer’s instruction: 80 µl of each sample were mixed with 20 µl trigger reagent and 20 µl buffer containing a fluorogenic substrate (Z-Gly-Gly-Arg-AMC) and CaCl2 (FluCa kit). As trigger reagent was used PPP reagent Low containing 1 pM TF and 4 µM PL, and each sample was calibrated against a calibrator containing a fixed amount of thrombin-α2-macroglobulin complex (all reagents were from Diagnostica Stago, Asnière-sur-Seine, France).
ELISA kits for TAT and F1+2 were from Siemens (Marburg, Germany). Reference intervals for TAT is < 4.2 µg/L and for F1+2 it is 69 – 229 pmol/L. ELISA kit for D-dimer was from Biomedica Diagnostics (Windsor, Canada). Reference interval was < 400 µg/L. The ELISA tests were performed as described in the inserts on a BioTek ELx808 and BioTek ELx50 (BioTek Instruments Inc (Winooski, Vermont, USA)).
Routine clinical biochemical analyses were performed on Cobas 8000 Modular Analyzer (Roche Applied Science, Penzberg, Germany), and hematology analyses were performed on Sysmex CS-2100i (Sysmex Europe GmbH, Norderstedt, Germany).

2.4. Statistics

The time course of TG and coagulation parameters was analyzed by repeated measures ANOVA regression taking into account the within gamer correlation. The figures show the values for each gamer during the gaming session and the estimated mean of all nine participants. The trend over gaming time was assessed by fitting a linear trend to the repeated measures ANOVA model. For this calculation, only the 8 samples within the weekend were included, but the sample from the Friday one week later is also included in the figures for illustration.

3. Results

Baseline characteristics of the 9 gamers are listed in a supplementary Table S1. They had a mean age of 25.8 (±2.6 (SD)) years, and the mean BMI was 24.8 (±2.9) kg/m2. Three were overweight (BMI 26.6 – 29.0 kg/m2), none were obese. During the two 18 h sessions (interrupted by the 6 h sleeping break), they had a total energy intake of 8005 (±438) kCal (mainly fat and carbohydrates) and a total liquid intake of 6625 (±801) mL containing 1844 (±365) kcal. They were healthy young people (all being in employment or studying) without any known diseases and physically fit. All routine clinical biochemical analyses (electrolytes, metabolic, kidney and liver function tests) and hematology analyses (hemoglobin, leucocytes and platelets) were within reference intervals. All the participants were experienced gamers who were gaming 1-5 hours per day (median 3.9 hours), and they frequently participated in long gaming sessions online. The participants decided themselves which games they wanted to play, and several games were chosen during the period, but the most played game was Counter-Strike: Global Offensive.
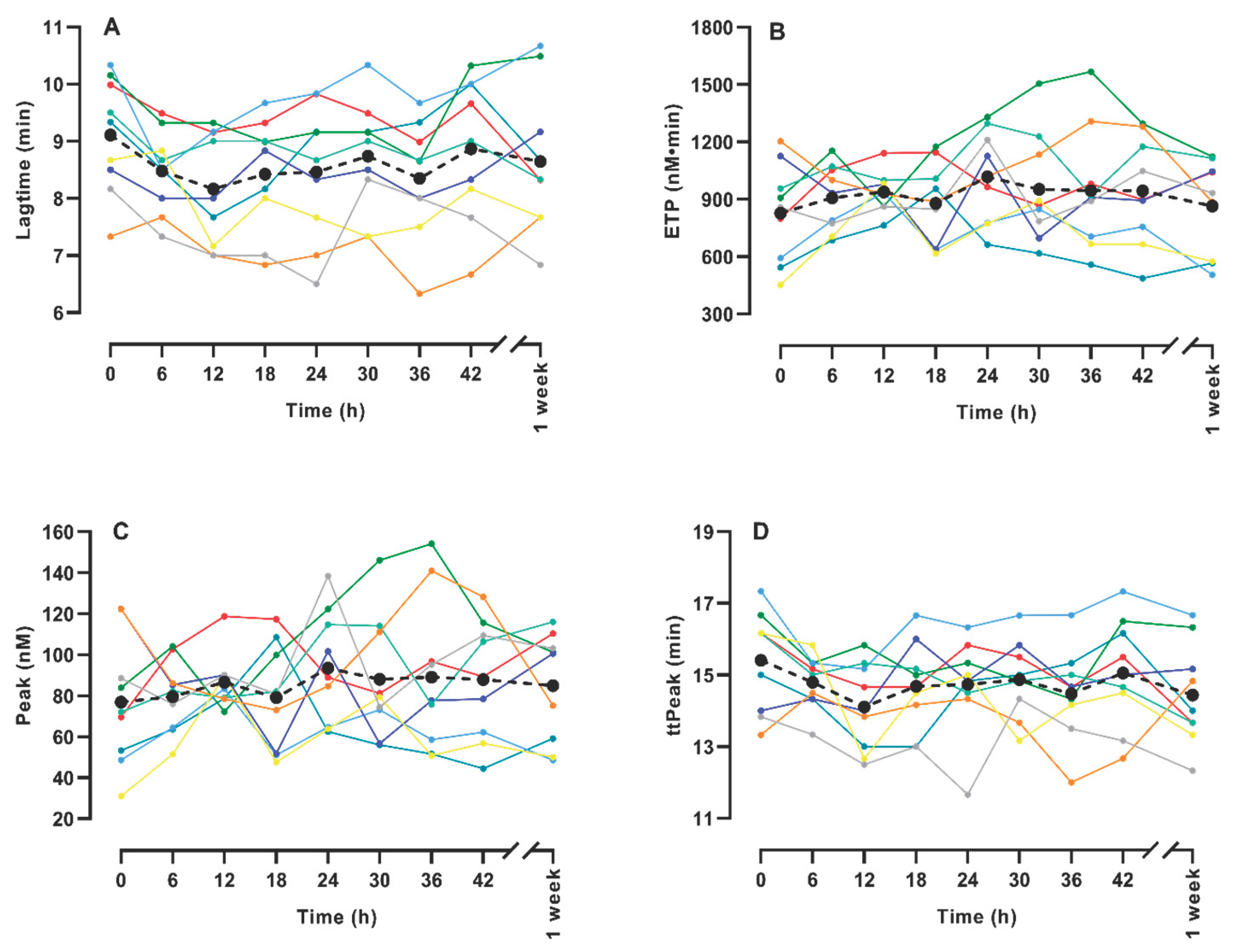
Figure 1 shows the thrombin generation (TG) of the 9 gamers individually and the mean value at each time point. TG was generally not changed significantly during the gaming period. There was a trend towards an increase of ETP (p = 0.085), and the peak also increased slightly but non-significantly (p = 0.13), whereas there was no trend for Lagtime (p = 0.80) or time to peak (p = 0.65).
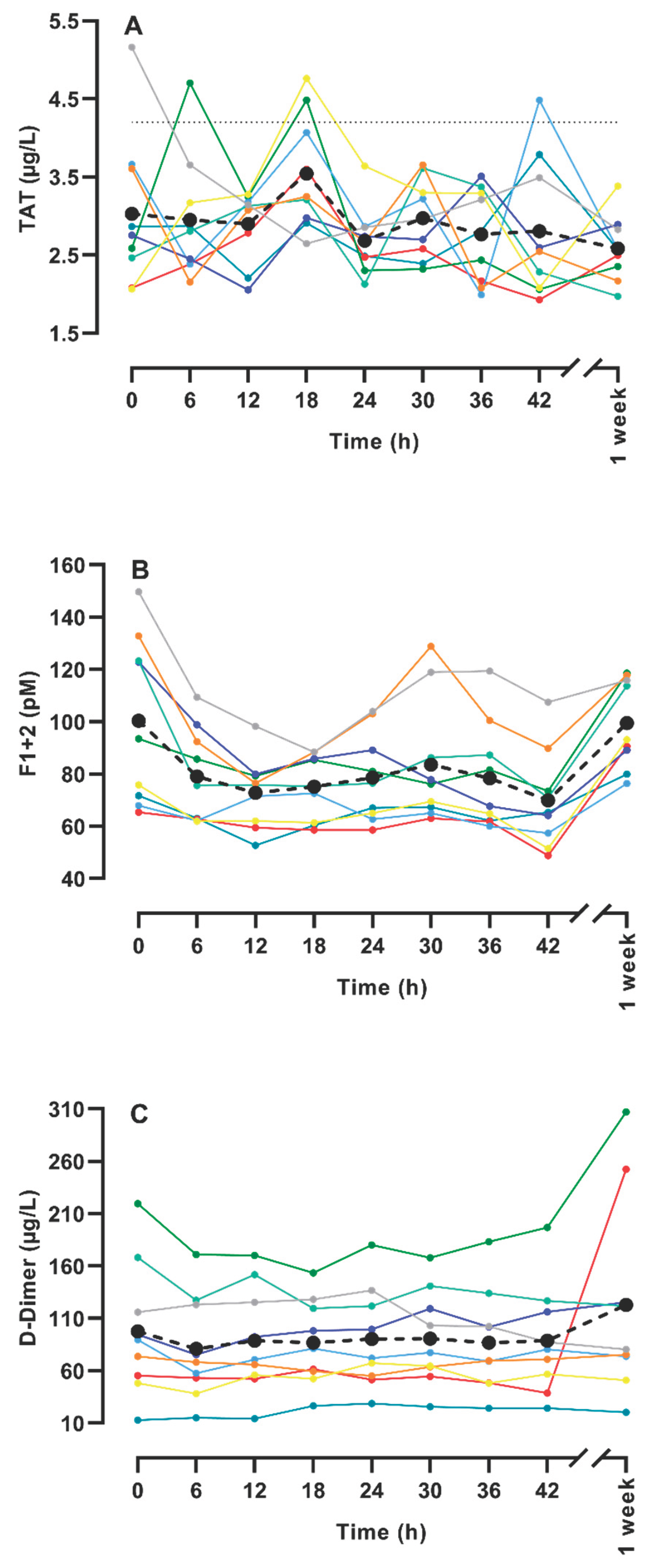
Figure 2 depicts the changes in TAT, F1+2, and D-dimer. A variation was seen for each participant, but almost all values were within the reference intervals except for a few TAT results, and the mean level was relatively unchanged during the gaming period. There was no trend during the period for TAT (p = 0.30) or D-dimer (p = 0.67), whereas for F1+2, it actually decreased by 15 % (p = 0.001).
Details of the trend analyses are shown in Table 2. If the upper limit of the 95% confidence intervals (CI) of the change during the session, i.e., maximal change, is inspected for clinical relevance, ETP and peak may increase somewhat (maximal 28 and 39 % during 2 days, respectively), and a thrombogenic change cannot be excluded. However, this does not lead to a substantial change of the coagulation markers: F1+2 even decrease when using the upper limit of the 95% CI, and TAT and D-dimer would only increase negligibly.
General biochemical and hematological analyses were performed during the study (unpublished data). P-Albumin decreased almost 7 % from the sample before the gaming and to the first sample after 6 h gaming, but the level returned to the initial level during the 42 h period. B-Hemoglobin had the same time course with an initial decrease of 9 % which gradually normalized during the period. B-Platelets decreased a little less but increased also about 9 % from the second sample to the end of the 42 h period. These changes were interpreted as changes of the hydration of the participants with an initial overhydration.
Table 1. Trend analysis for TG and coagulation markers showing the change per day, standard error (SE), and the maximal change during 2 days if the upper limits of the 95% confidence intervals (CI) were used.
Table 1. Trend analysis for TG and coagulation markers showing the change per day, standard error (SE), and the maximal change during 2 days if the upper limits of the 95% confidence intervals (CI) were used.
Mean Change/d SE p 95 % CI-interval Max. change during 2 days
Lagtime (min) 8.605 -0.028 0.110 0.80 -0.243 – 0.187 -0.486
ETP (nM●min) 862.5 56.8 33.0 0.09 -7.8 – 121.5 243
Peak (nM) 74.0 6.3 4.2 0.13 -1.9 – 14.6 29.2
ttPeak (min) 14.86 -0.081 0.176 0.65 -0.43 – 0.27 -0.86
TAT 3.12 -0.15 0.14 0.30 -0.43 – 0.14 0.28
F1+2 89.4 -8.6 2.5 0.001 -13.5 – (-3.7) -7.4
D-dimer 90.1 -1.13 2.63 0.67 -6.3 – 4.0 8.0

4. Discussion

The present study shows that TG and markers of coagulation do not demonstrate a significant thrombogenic change during 42 h gaming with minimal physical activity and mainly unhealthy eating and drinking, i.e., we cannot demonstrate a procoagulant response during a LAN party despite a rather long period of time with seated immobility. However, there was a trend towards an increase in ETP, but the markers of coagulation activation, TAT and F1+2 did not show any increase. F1+2 actually decreased significantly, but this was in the opposite direction as expected, and, therefore, it does not indicate a procoagulant response.
Video gaming has become very popular during the last decades, and users may spend a long time in front of a computer. Immobility may constitute a risk of VTE, and several cases of VTE events in young gamers or other users of PCs have been described [4,5,6,7,8,9,10]. LAN parties may last 2-4 days, typically a weekend like the present one, with the participants playing on a computer most of the time, and generally, they have an overconsumption of food, mainly items with a high level of fat or sugar. The present LAN party, including food intake etc., has been described recently [14]. Thus, a long period like this of immobility, unhealthy diet and limited sleep could potentially represent a health risk.
Seated immobility is a risk factor for VTE. West et al. found in a case-control study defining seated immobility as > 8 h that this was a risk factor increasing the risk 1.8 times [16]. Later the same group investigated a larger case-control population and found a risk factor of 2.8 after multivariate analysis [17], whereas using another control group in a later study, they found a smaller risk factor of 1.2 [18] but still significantly increased. In a database study including a large population, Suadicani et al. found that people in a job with prolonged sitting had an increased risk of VTE [19].
In the present study, however, we cannot demonstrate a significant procoagulant activation during two days of gaming using the coagulation test thrombin generation and the markers of a procoagulant activity, TAT, F1+2, and D-dimer. Thrombin generation is a global test of the coagulation system. It has demonstrated a higher degree of coagulation activity in people with thromboses and lower activity in people with a bleeding tendency [20,21]. ETP, the endogenous thrombin potential, is the main indicator for the entire coagulation capacity, and it showed a trend towards an increase during the event. We cannot exclude, therefore, that a larger study group would show a significant increase, i.e. we cannot exclude the possibility that the immobilization may have an effect which in combination with other potential concomitant risk factors could have a thrombogenic effect. In this study, however, we could not demonstrate any increase in the coagulation markers, and therefore, these participants had not activated the coagulation system. TAT and F1+2 are formed during coagulation activity when antithrombin complexes with thrombin (TAT) and when prothrombin is activated by releasing a part of the molecule called F1+2, respectively. They are both markers of coagulation activity. TAT has a shorter half-life than F1+2, and, therefore, TAT is more likely to increase briefly after a shorter activation, whereas F1+2, with a longer half-life, can show a prolonged increase of activity but with a smaller amplitude. D-dimer is a degradation product of fibrin, i.e., it is a marker of fibrin formation after coagulation activity and subsequent fibrinolytic activity. The half-life is longer than for F1+2, and it is, therefore, more likely to detect a longer-lasting increase of coagulation activity.
Procoagulant activity during LAN parties has not been measured before, but immobilization as a risk factor for VTE has been investigated in other partly comparable situations. Kabrhel et al. [22] investigated reasons for increases in D-dimer in hospital patients without VTE, and they found that immobility was a significant cause, but their definition of immobility was a prolonged or permanent inability to mobilize one or more limbs. It is well-known that long-haul flights increase the risk of thrombosis [3,23], although other factors than sitting may be important (hypoxia, dehydration, etc.). Schreijer et al. [24] investigated activation of the coagulation system in 71 healthy volunteers during an 8 h flight and compared with an 8 h movie session and 8 h daily life. TAT increased more during the flight but neither F1+2 nor D-dimer changed significantly. Changes were most pronounced in women with Factor V Leiden and users of oral contraception, i.e. persons with other risk factors. Furthermore, they found that certain persons (independent of known risk factors) were more susceptible to increases. Schobersberger et al [25] investigated 19 healthy volunteers during a 10 h ride with a bus interrupted by two overnight stays and a 10 h bus ride back. They found an increase but insignificantly of TAT and a significant increase of F1+2, whereas D-dimer did not change significantly. Ansari et al. [26] investigated 10 healthy adults during 8 h prolonged sitting only interrupted by walking to the restroom. They found no increase in TAT, F1+2, or D-dimer. Thus, some studies have demonstrated increased markers of coagulation activity during this type of immobilization, but it has not been consistent, and some studies indicate that additional factors may be involved in persons with signs of increased coagulation activity. In the present study, the participants had very little physical activity during a 42 hour session with minimal sleep. Apparently, a short walk for food or visiting the restroom was sufficient to avoid a discernible activation of the coagulation system potentially caused by the immobilization.
Limitations. The group of participants was rather small, and definite conclusions cannot be drawn.

5. Conclusions

These results do not indicate that the coagulation system is activated in healthy young males during 42 h gaming with minimal physical activity. Thus, this study does not indicate that LAN parties implicate a risk of VTE in general; but we cannot exclude that the potential or capacity of the coagulation system may increase which in combination with other risk factors could be thrombogenic. It may be some particularly susceptible individuals who are prone to thrombosis who also are at risk of developing e-thrombosis.

Supplementary Materials

The following supporting information can be downloaded at: Preprints.org: Supplementary Table S1: Characteristics of the participants.

Author Contributions

Conceptualization, Kasper Krarup and Henrik Krarup; Data curation, Søren Lundbye-Christensen and Søren Kristensen; Formal analysis, Søren Lundbye-Christensen and Søren Kristensen; Investigation, Morten Moerk, Aase Handberg, Hien Nguyen and Inge Pedersen; Methodology, Morten Moerk, Aase Handberg, Hien Nguyen, Inge Pedersen and Søren Kristensen; Project administration, Kasper Krarup and Henrik Krarup; Supervision, Kasper Krarup and Henrik Krarup; Writing – original draft, Kasper Krarup and Søren Kristensen; Writing – review & editing, Morten Moerk, Aase Handberg, Hien Nguyen and Inge Pedersen.

Funding

This research received no external funding

Institutional Review Board Statement

The study was conducted in accordance with the Declaration of Helsinki, and was approved by the North Jutland Ethics Committee (N20180011)

Informed Consent Statement

Informed consent was obtained from all subjects involved in the study.

Data Availability Statement

The original contributions and data are included in the article/supplementary material, further inquiries can be directed to the corresponding author.

Acknowledgments

The authors would like to thank the nine gamers for their great efforts, and the biotechnicians for the precision with which the study was conducted

Conflicts of Interest

The authors declare no conflicts of interest.

References

  1. Rosendaal, F. Venous thrombosis: a multicausal disease. Lancet 1999, 353, 1167–1173. [Google Scholar] [CrossRef] [PubMed]
  2. Ocak, G.; Vossen, C.Y.; Verduijn, M.; Dekker, F.W.; Rosendaal, F.R.; Cannegieter, S.C.; Lijfering, W.M. Risk of venous thrombosis in patients with major illnesses: results from the MEGA study. J. Thromb. Haemost. 2012, 11, 116–123. [Google Scholar] [CrossRef]
  3. Schreijer, A.J.M.; Hoylaerts, M.F.; Meijers, J.C.M.; Lijnen, H.R.; Middeldorp, S.; Büller, H.R.; Reitsma, P.H.; Rosendaal, F.R.; Cannegieter, S.C. Explanations for coagulation activation after air travel. J. Thromb. Haemost. 2010, 8, 971–978. [Google Scholar] [CrossRef] [PubMed]
  4. Beasley, R.; Raymond, N.; Hill, S.; Nowitz, M.; Hughes, R. eThrombosis: the 21st Century variant of venous thromboembolism associated with immobility. Eur. Respir. J. 2003, 21, 374–376. [Google Scholar] [CrossRef]
  5. Ng, S.M.; Khurana, R.M.; Yeang, H.W.; Hughes, U.M.; Manning, D.J. Is prolonged use of computer games a risk factor for deep venous thrombosis in children? Case study. Clin Med (Lond). 2003, 3(6), 593-4. [Google Scholar]
  6. Lee, H. A New Case of Fatal Pulmonary Thromboembolism Associated with Prolonged Sitting at Computer in Korea. Yonsei Med J. 2004, 45, 349–351. [Google Scholar] [CrossRef]
  7. Beasley, R.; Heuser, P.; Raymond, N. SIT (seated immobility thromboembolism) syndrome: a 21st century lifestyle hazard. N Z Med J. 2005, 118, U1376. [Google Scholar]
  8. Patel, T.; Cohen, D. Work Ergonomics and E-Thrombosis: A Grievous Yet Preventable Combination. Am. J. Med. 2011, 124, e3–e4. [Google Scholar] [CrossRef] [PubMed]
  9. Braithwaite, I.; Maxwell, G.; Sparks, S.; Beasley, R.; Shirtcliffe, P. A man who collapsed after using the internet. JRSM Open 2014, 5. [Google Scholar] [CrossRef]
  10. Lippi, G.; Mattiuzzi, C.; Favaloro, E.J. e-thrombosis: epidemiology, physiopathology and rationale for preventing computer-related thrombosis. Ann. Transl. Med. 2018, 6, 344–344. [Google Scholar] [CrossRef]
  11. Sueta, D.; Kaikita, K.; Matsushita, K.; Tsujita, K. eThrombosis: A new risk factor for venous thromboembolism in the pandemic era. Res. Pr. Thromb. Haemost. 2020, 5, 243–244. [Google Scholar] [CrossRef]
  12. Demirci, U.; Ümit, E.G.; Demir, A.M. Increased Risk of e-Thrombosis in e-Life Era. Clin. Appl. Thromb. Hemost. 2021, 27, 10760296211028282. [Google Scholar] [CrossRef]
  13. Ramaswamy, N.; Patra, A.P. e-Thrombosis: occupation-specific hazard in electronic information and technology professionals. Forensic Sci. Med. Pathol. 2023, 1–6. [Google Scholar] [CrossRef]
  14. Krarup, K.B.; Rantanen, J.M.; Mørk, M.; Pedersen, I.S.; Christensen, J.H.; Kristensen, S.R.; Handberg, A.; Krarup, H.B. The Physiological and Cardiologic Effects of Long Video Gaming Sessions in Adult Males. Sports Med. Int. Open 2022, 6, E39–E46. [Google Scholar] [CrossRef] [PubMed]
  15. Krarup, K.; Krarup, H. The physiological and biochemical effects of gaming: A review. Environ. Res. 2020, 184, 109344. [Google Scholar] [CrossRef] [PubMed]
  16. West, J.; Perrin, K.; Aldington, S.; Weatherall, M.; Beasley, R. A case–control study of seated immobility at work as a risk factor for venous thromboembolism. J. R. Soc. Med. 2008, 101, 237–243. [Google Scholar] [CrossRef]
  17. Healy, B.; Levin, E.; Perrin, K.; Weatherall, M.; Beasley, R. Prolonged work- and computer-related seated immobility and risk of venous thromboembolism. J. R. Soc. Med. 2010, 103, 447–454. [Google Scholar] [CrossRef]
  18. Braithwaite, I.; Healy, B.; Cameron, L.; Weatherall, M.; Beasley, R. Venous thromboembolism risk associated with protracted work- and computer-related seated immobility: A case-control study. JRSM Open 2016, 7, 2054270416632670. [Google Scholar] [CrossRef] [PubMed]
  19. Suadicani, P.; Hannerz, H.; Bach, E.; Gyntelberg, F. Jobs encompassing prolonged sitting in cramped positions and risk of venous thromboembolism: cohort study. JRSM Open 2012, 3, 1–5. [Google Scholar] [CrossRef]
  20. Tripodi, A. Thrombin Generation Assay and Its Application in the Clinical Laboratory. Clin. Chem. 2016, 62, 699–707. [Google Scholar] [CrossRef]
  21. Cornette, M.; Monteyne, T.; De Kesel, P.M.; Devreese, K.M. Thrombin generation measured by two platforms in patients with a bleeding tendency. J. Thromb. Haemost. 2021, 19, 1460–1471. [Google Scholar] [CrossRef] [PubMed]
  22. Kabrhel, C.; Courtney, D.M.; Camargo, C.A.; Plewa, M.C.; Nordenholz, K.E.; Moore, C.L.; Richman, P.B.; Smithline, H.A.; Beam, D.M.; Kline, J.A. Factors Associated With Positive D-dimer Results in Patients Evaluated for Pulmonary Embolism. Acad. Emerg. Med. 2010, 17, 589–597. [Google Scholar] [CrossRef] [PubMed]
  23. Kuipers, S.; Schreijer, A.J.M.; Cannegieter, S.C.; Büller, H.R.; Rosendaal, F.R.; Middeldorp, S. Travel and venous thrombosis: a systematic review. J. Intern. Med. 2007, 262, 615–634. [Google Scholar] [CrossRef] [PubMed]
  24. Schreijer, A.; Cannegieter, S.; Meijers, J.; Middeldorp, S.; Büller, H.; Rosendaal, F. Activation of coagulation system during air travel: a crossover study. Lancet 2006, 367, 832–838. [Google Scholar] [CrossRef] [PubMed]
  25. Schobersberger, W.; Mittermayr, M.; Innerhofer, P.; Sumann, G.; Schobersberger, B.; Klingler, A.; Simmer, M.; Streif, W.; Fischbach, U.; Fries, D. Coagulation changes and edema formation during long-distance bus travel. Blood Coagul. Fibrinolysis 2004, 15, 419–425. [Google Scholar] [CrossRef]
  26. Ansari, M.T.; Mahmood, M.T.; Karlberg, J.P. The association between seated immobility and local lower-limb venous coagulability in healthy adult volunteers: a simulation of prolonged travel immobility. Blood Coagul. Fibrinolysis 2006, 17, 335–341. [Google Scholar] [CrossRef]
Figure 1. Thrombin generation during a LAN party for 9 healthy gamers. The figures show Lagtime (A), ETP (B), time to peak (ttPeak, C), and Peak (D). Please note that the values after one week is not included in the trend analysis – it is only included in the figure for comparison.
Figure 1. Thrombin generation during a LAN party for 9 healthy gamers. The figures show Lagtime (A), ETP (B), time to peak (ttPeak, C), and Peak (D). Please note that the values after one week is not included in the trend analysis – it is only included in the figure for comparison.
Preprints 102244 g001
Figure 2. Measurement of TAT (A), F1+2 (B), and D-Dimer (C) during a LAN party for 9 healthy gamers. Please note that the values after one week is not included in the trend analysis – it is only included in the figure for comparison.
Figure 2. Measurement of TAT (A), F1+2 (B), and D-Dimer (C) during a LAN party for 9 healthy gamers. Please note that the values after one week is not included in the trend analysis – it is only included in the figure for comparison.
Preprints 102244 g002
Disclaimer/Publisher’s Note: The statements, opinions and data contained in all publications are solely those of the individual author(s) and contributor(s) and not of MDPI and/or the editor(s). MDPI and/or the editor(s) disclaim responsibility for any injury to people or property resulting from any ideas, methods, instructions or products referred to in the content.
Copyright: This open access article is published under a Creative Commons CC BY 4.0 license, which permit the free download, distribution, and reuse, provided that the author and preprint are cited in any reuse.
Prerpints.org logo

Preprints.org is a free preprint server supported by MDPI in Basel, Switzerland.

Subscribe

Disclaimer

Terms of Use

Privacy Policy

Privacy Settings

© 2026 MDPI (Basel, Switzerland) unless otherwise stated