Preprint
Article

This version is not peer-reviewed.

Optical turbulence vertical distribution at the Peak Terskol Observatory and Mt. Kurapdag

A peer-reviewed article of this preprint also exists.

Submitted:

25 March 2024

Posted:

25 March 2024

You are already at the latest version

Abstract
Atmospheric turbulence characteristics are essential in determining the quality of astronomical images and implementing adaptive optics systems. In this study, the vertical distributions of optical turbulence at the Peak Terskol observatory (43.27472 ° N 42.50083 ° E, 3127 m a.s.l.) using the Era-5 re-analysis and scintillation measurements are investigated. For the closest reanalysis grid node to the observatory, vertical profiles of the structural constant of the air refractive index turbulent fluctuations Cn2 were obtained. The calculated Cn2(z) vertical profiles are compared with the vertical distribution of turbulence intensity obtained from tomographic measurements with Shack-Hartmann sensor. The atmospheric coherence length at the location of Terskol Peak was estimated. Using combination of atmospheric models and scheme paramaterization of turbulence, Cn2(z) profiles at Mt. Kurapdag were obtained. The values of atmospheric coherence length at the Peak Terskol are compared with estimated values of this length at the ten astronomical sites including Ali, Lenghu and Daocheng.
Keywords: 
;  ;  ;  

1. Introduction

Adaptive optics systems correcting optical distortions in a wide field of view require information about vertical profiles of optical turbulence and wind speed. The key characteristics of the optical turbulence are the structural constant of the air refractive index turbulent fluctuations C n 2 and the atmospheric coherence length, often named the Fried parameter r 0 and seeing [1,2]. These quantities determine the possibilities of reaching a high angular resolution in astronomical observations.
There are a number of techniques for measurements of optical turbulence vertical profiles. In astronomical observations, the vertical profiles of optical turbulence above telescope can be determined with a multidirectional Shack–Hartmann wavefront sensor [3]. In particular, the vertical profiles of C n 2 are calculated by applying the S-Dimm+ or Slodar techniques [4,5,6,7,8,9]. The most complete review of methods for measuring optical turbulence vertical profiles is given in a recent paper [10]. Griffiths R. et al. present the results of a comparison of turbulence profiling instruments including S-Scidar, Dimm, 24hSHIMM, Ringss, Mass-Dimm. It is important to emphasize that, the comparison of these turbulence profiling instruments showed that the largest deviations correspond to estimates of the isoplanatic angle θ 0 , the values of which are highly sensitive to turbulence in the upper atmospheric layers. These deviations depicted in the form of scattered points are due to mediocre determination of the vertical distribution of optical turbulence and, apparently, differences in radiation propagation paths in measurements.
Measurement of optical turbulence vertical profiles is a hard procedure [11]. Most often, the profile measurements are carried out only for a separate set of nights or days. In order to estimate the optical turbulence characteristics over long time intervals or, in other words, for a statistical ensemble of states, special atmospheric models are widely used [12,13,14,15,16]. The atmospheric models are applied to estimate the characteristics of mesoscale, micrometeorological and optical turbulence, on spatial scales comparable to the aperture diameters of ground-based telescopes. Below, a few recent papers demonstrating interesting results in this direction are discussed. Using the 21-yr European Centre for Medium-Range Weather Forecasts’ fifth set of reanalysis (Era-5) data, the optical turbulence and the wind speed characteristics have been simulated at the Lenghu site [17]. Analysis of the optical turbulence statistics shows that calculated median value of seeing is slightly lower measured seeing. In particular, Era-5 derived value is 0.72 arc sec and measured seeing is 0.75 arc sec. Also, in our opinion, significant fundamental results in the optical turbulence diagnosis and forecasting with atmospheric models were obtained by English scientific school: new methods and tools were created for studying optical turbulence [18,19].
For estimating optical turbulence characteristics with atmospheric models, a key step is the selection of a small-scale turbulence parameterization scheme. Correct selection and adjustment of the parameterization scheme to the atmospheric conditions of a given site are is required conditions for representative estimates of the key characteristics of optical turbulence. Within mountainous regions, including Tibet and the Caucasus, turbulence behavior is complex. The choice of parameterization scheme for mountain regions should be based on analysis of preliminary measurement data. We should emphasize also that modern science still needs to study dependencies in turbulence evolution and determine to what extent these dependencies corresponding to a given mountainous region can be applied for another region.
The present study focuses on the simulation of optical turbulence above the Peak Terskol Observatory (43.27472 ° N 42.50083 ° E, 3127 m a.s.l.) and Mt. Kurapdag (41.79609 ° N, 47.37428 ° E, 3553 m a.s.l.). These sites were chosen as a reference locations, for which data of special atmospheric measurements are available [20]. The sites of the Terskol Peak Observatory with high astroclimatic characteristics, Mount Kurapdag with low water vapor content as well as the Big Telescope Alt-Azimuthal Telescope (BTA), the largest optical telescope with a non-segmented mirror in Eurasia are shown in Figure 1. In March 2023, the special experiments at the Peak Terskol Observatory have been carried to characterize the optical turbulence. Together with the measurements of optical turbulence profiles, variations of C n 2 ( z ) have been simulated using a gradient method.
Below, we discuss the results of estimating optical turbulence profiles using vertical shears of wind speed, mast meteorological measurements and measured height distributions of optical turbulence.

2. Data

This study aims to estimate the quality characteristics of night images at the Terskol Peak Observatory, where optical turbulence monitoring is carried out, and at a new location, on the slope of Mt.Kurapdag, considered as one of the reference sites for methodological tests. In this study, we solved a number of tasks. Firstly, using remote telescopic measurements we determined vertical distributions of the optical turbulence intensity over the Peak Terskol observatory. Vertical distributions of turbulence intensity were obtained under conditions of good and mediocre image quality. Secondly, in order to estimate the vertical profiles of the structural constant of air refractive index turbulent fluctuations C n 2 , we used a gradient method, the foundations of which have been created by Tatarsky. Using the gradient method, the vertical profiles of optical turbulence over the Terskol Peak Observatory and Mt. Kurapdag were determined.
For simulation of C n ( z ) vertical profiles, we used the European Centre for Medium-Range Weather Forecasts’ fifth set of reanalysis (Era-5) data [21]. The Era-5 reanalysis contains observational data from around the world from 1940 to the present. Compared to previous databases, Era-5 demonstrates significant improvements in both spatial resolution and accuracy of atmospheric characteristics [22,23]. The re-analysis contains assimilated meteorological characteristics including temperature and wind speed components at various pressure levels. Temporal resolution of the data is 1 hour, horizontal resolution is about 30 km. In particular, for the nearest grid node to the observatory, hourly values of air temperature and horizontal components of wind speed at various pressure surfaces were used.

3. Results

3.1. Optical Turbulence Vertical Distributions from Shack-Hartmann Measurements at the Peak Terskol Observatory

For estimating vertical distributions of optical turbulence, data from optical measurements performed using a Shack-Hartmann sensor were used. In particular, for optical turbulence profiling, we used Shack-Hartmann sensor included in the optical scheme of the Schmidt-Cassegrain Telescope (Figure 2). Subaperture size of the sensor is 29.6x29.6 mm. Exposure time is 5 ms. In experiments, 20 full time series and 9000 hartmannograms were obtained during the night of 18-19 March, 2023. Analysis of these measurement data made it possible to estimate and analyze the character of the vertical distribution of optical turbulence above the telescope.
Obtained data sets correspond to typical and average seeing conditions suitable for astronomical observations and thus were selected for processing. Assuming that the turbulence structure obeys the Kolmogorov model, we can estimate the height distribution of optical turbulence strength. For these calculations, we used an expansion of the spatial spectrum of amplitude perturbations into modes. Model spectrum of the scintillation is related to the height distribution of optical turbulence strength:
s k = i = 1 N u W k ( z i ) C n 2 ( z i ) Δ z i ,
where W k ( z i ) is the weight function which depends on the turbulent layer height and subaperture geometry, Δ z i is the turbulent layer thickness, N u is the number of turbulent layers. Details of the method are described in the paper [24].
By solving this equation in terms of C n 2 ( z i ) Δ z i we obtain the vertical distributions of optical turbulence strength above Peak Terskol Observatory. Night-time vertical distributions of optical turbulence strength C n 2 Δ z at the Peak Terskol Observatory for different image quality are shown in Figure 3 and Figure 4. Image quality is estimated through the β parameter:
β = 0.98 λ r 0 ,
where variance of the differential displacements of the solar subimages σ α 2 is related to the Fried parameter r 0 by the following equation:
σ α 2 = K i λ 2 r 0 5 / 3 D 1 / 3 ,
where K i is the numerical constant, λ is the light wavelength and D is the telescope diameter.
Analyzing these figures, we can see that pronounced turbulent layers are formed at heights of 7 - 8 km and 2 - 2.5 km above the ground. The turbulent layer at these heights leads to a significant decrease in image quality. For example, the parameter β determined by the integral C n 2 over height increases from 0.63 to 1.68 . These changes are due to, in mainly, generation of intensive turbulent fluctuations of air refractive index within these layers.

3.2. Analysis of Sonic Measurements within the Atmospheric Surface Layer. Estimation of Optical Turbulence Strength C n 2

The lower part of the atmospheric boundary layer is known makes a major contribution to the formation of integral optical turbulence (along line of sight) and, as a consequence, to the resolving power of ground-based telescope. Within this layer, variations in the intensity of optical turbulence are most poorly described, both in time and in height. At least, the accuracy of optical turbulence estimating and forecasting based on standard atmospheric models or a small amount of optical remote measurement data is not sufficient for planning an observing time. In order to obtain correct shape of optical turbulence profiles within the lowest atmospheric layers under the different atmospheric conditions we analyzed measurement data carried out with a sonic anemometer. The sonic anemometer "Meteo-2" has been placed on the meteorological mast at the Peak Terskol Observatory site (Figure 5). Below, for calculations of atmospheric turbulence characteristics, we used long-period quasi-continuous measurement data of the sonic anemometer (from January 2023 to December 2023). Thanks to the high frequency measurements (10 Hz) of the wind field and the sonic temperature, we calculated a number of the turbulence characteristics including surface values of C n 2 .
Based on the 1-year measurements with sonic anemometer, the 3 minute average values of C n 2 were obtained [25]. Table 1 contains the calculated percentiles of C n 2 in the surface layer of the atmosphere. In Figure 6, we present the number of nights sonic measurements for each month. The fewest number of nights analyzed occurs in February-April. The largest number corresponds to January as well as warm period of observations.
Calculated values of C n 2 obtained from the results of processing sonic measurement data are higher in comparison with estimations derived from optical measurement data under clear sky conditions. This fact is confirmed by previous studies [26]. Higher amplitudes of C n 2 are largely determined by the influence of dynamic processes on the formation of small-scale turbulence in the surface layer of the atmosphere. Due to the fact that astronomical observations are carried out under good astro-optical conditions, when the intensity of optical turbulence along the line of sight is minimal, calculated values in the upper part of Table 1 differ from statistics corresponding only to clear sky conditions. In this regard, we evaluated the statistics of surface turbulence for medium atmospheric conditions and low intensity of optical turbulence.
Distributions of measured values of C n 2 for different seasons within the surface layer of the atmosphere at the site of Peak Terskol Observatory are depicted in Figure 7.
Analysis of obtained distributions shows that the intensity of turbulent fluctuations of the air refractive index has a pronounced seasonal dependence. The highest intensity of optical turbulence in the surface layer of the atmosphere is observed in winter. During this period, the median values of C n 2 , estimated for night time (from 0:00 to 6:00 local time), are equal to 8.6 · 10 15 m 2 / 3 and 2.6 · 10 15 m 2 / 3 for average atmospheric condition and under clear sky, respectively. In spring, we can an increase in the non-dimensional number of atmospheric situations F c with low intensity optical turbulence. At this time, during periods of high image quality, the median of C n 2 is about 8.0 · 10 16 m 2 / 3 .
In comparison with the winter and spring, in summer and autumn, turbulence in the surface layer is significantly suppressed: the number of atmospheric situations with strong turbulence C n 2 10 14 m 2 / 3 does not exceed 7%. We should emphasize that the largest number of cases with the best atmospheric conditions ( C n 2 10 16 m 2 / 3 ), occurs in summer and autumn. In this period, about 7 - 10 % of the observing time corresponds to weak optical turbulence.

3.3. Vertical Distribution of Optical Turbulence Strength Estimated from Era-5 Reanalysis

For simulation of the vertical profiles of optical turbulence, the gradient method was used. Correction of the vertical profiles was performed using sonic measurements and optical observations of image scintillation. The calculations were based on the following equation:
C n 2 ( z ) = α L 0 ( z ) 4 / 3 M 2 ( z ) ,
where α is the numerical constant which equal to 2.8. The parameter M ( z ) is the vertical gradient of air refractive index, L 0 is the outer scale of turbulence.
The calculation of the air refractive index gradients M ( z ) at different heights in the atmosphere is performed using the vertical gradients of the natural logarithm of the air potential temperature l n θ z :
M = 79 · 10 6 P T l n θ z ,
where P is the atmospheric pressure, T is the air temperature, θ is the air potential air temperature. The potential air temperature is related to the air temperature by the following formula:
θ = T 1000 P 0.286 .
The key parameter is the outer scale of atmospheric turbulence L 0 [27]. In general, vertical changes of the outer scale L 0 can be determined through vertical gradients of the horizontal component of the wind velocity S:
L 0 4 / 3 = 0 . 1 4 / 3 · 10 a + b · S , troposphere 0 . 1 4 / 3 · 10 c + d · S , stratosphere ,
where
S = u z 2 + v z 2 0.5 ,
u and v are the horizontal components of wind velocity. Under conditions of weak turbulence the coefficient a=1.64, b=42, c=0.506 and d=50.
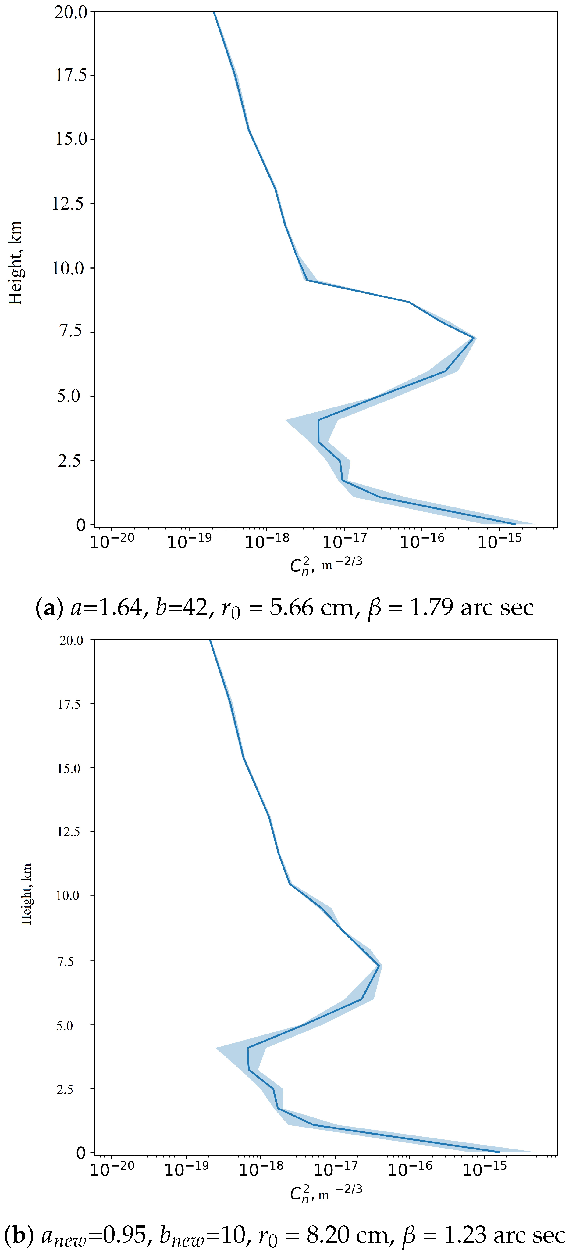
Use of standard coefficients a=1.64, b=42, c=0.506 and d=50 gives mediocre results. In particular, we calculated a vertical profile C n 2 ( z ) for 18 - 19 March, 2023 (Figure 8 a)). By integrating this profile using formula 9, we obtained the average estimation of β parameter:
β m = 0.98 λ 0.423 s e c α s 2 π λ 2 0 H C n 2 ( z ) d z 3 / 5 ,
where H is the height of the optically active atmosphere, α s is the zenith angle, λ is the wavelength of light. In average, the model value of β m is higher than the measured β and and the estimated C n 2 in the upper atmospheric layers are higher than expected values. In order to correct the vertical profile of C n 2 ( z ) we calculated new parameterization coefficients a n e w and b n e w by finding the best fitting model linking measured and model near-surface values of C n 2 .
Specifically, new coefficients were calculated by minimizing the standard deviation between the model values C n 2 and the measured, sonic, values of C n 2 ( m ) :
i T L ( C n i 2 ( m ) C n i 2 ) 2 m i n ,
where C n i 2 ( m ) is the measured value of C n 2 in the surface layer, C n i 2 is the model (calculated) value of C n 2 ( s u r f ) . Summation is performed over the entire time implementation, the length of which is T L . Using this minimization condition, the weight coefficients a n e w and b n e w are estimated. New parametrization coefficients at the Terskol Peak Observatory differ significantly from standard values: a n e w =0.95, b n e w =10. Figure 8 b) shows corrected vertical profile of C n 2 with the new parametrization coefficients. This profile corresponds to the night from 18 to 19 March, 2023.
From the figure, we can see that the new coefficients used to parameterize the night variations of C n 2 made it possible to reduce the height of the lower turbulent layer. Obtained night-time heights of the atmospheric boundary layer ranges from 100 to 300 m. As a result, the estimated strength of optical turbulent fluctuations decreases more rapidly with height at night above Terskol Peak. We associate this decrease of turbulent fluctuations strength within the lower atmospheric layer above the Terskol Peak with the low heights of the atmospheric boundary layer at night. Considering a large region, the minimum height of the atmospheric boundary layer is observed above Terskol peak not only on individual nights, but also on average, over long time period (Figure A1). The high quality of astronomical images at the Terskol Peak is related to the low height of the atmospheric boundary layer. On some nights, its height is limited by 50 - 100 m. Mt Kurapdag and Big Telescope Alt-Azimuthal are located in worse atmospheric conditions, the mean night-time heights of the atmospheric boundary layer are ∼ 250 - 300 m and ∼ 250 - 300 m and 250 - 350 m respectively (Figure A1 a)).
We believe that observed character of vertical changes is in good agreement with theoretical and experimental data on the evolution of the atmospheric boundary layer.
The data of optical and meteorological measurements as well as the fields of wind speed and air temperature extracted from the re-analysis Era-5, served as the basis for calculation of the average profiles of optical turbulence above the observatory and Mt.Kurapdag. In Figure 9 a) we demonstrate calculated vertical profiles of optical turbulence above the Peak Terskol Observatory averaged over January, 2023 and June, 2023.
Analyzing these profiles, it can be noted that the structure of turbulence in the upper atmospheric layers changes significantly in summer. This fact is indicated by deformations of vertical profiles of optical turbulence. On the one hand, these deformations manifest in a greater vertical uniformity of optical turbulence and suppression of turbulent fluctuations in the surface layer of the atmosphere. On the other hand, the turbulence strength in the upper atmospheric layers decreases in summer.
Also, using Era-5 reanalysis data and identified patterns in optical turbulence behaviour at the Peak Terskol Observatory site we calculated averaged vertical profiles of C n 2 ( z ) above the Mt. Kurapdag. For comparison, the Figure 9 b) shows vertical profiles above Terskol Peak and Kurapdag Mountain over 2013 - 2023. Analysis of these vertical profiles indicates the presence of an intense lower turbulence layer. It should be noted that within the surface layer, the intensity of turbulence, in terms of C n 2 , at the Mt. Kurapdag site exceeds by more than an order of magnitude the values of C n 2 observed at the Peak Terskol. Moreover, at the Mt. Kurapdag site, turbulence in this atmospheric layer is characterized by high intensity regardless of the parameterization coefficients. The nature of the turbulence is largely due to strong vertical wind speed shears near the ground.

4. Estimation of the Fried Parameter at the Sites with Good Astroclimatic Conditions

Figure 10 displays the monthly averaged Fried parameter estimated using Era-5 reanalysis data at the ten astronomical sites. European Southern Observatory and Tibetan Plateau and the Ethiopian Plateau are some of the most good sites. In contrast to the Fried parameter of the European Southern Observatory and Tibetan Plateau (TP) sites, the Ethiopian Plateau has a different pattern, possibly owing to different climate patterns. During the year, the Ethiopian Plateau atmospheric coherence length was high in winter and low in summer. In winter, atmospheric coherence length at the Ethiopian Plateau is better than that at the ESO and TP sites, indicating that the Ethiopian Plateau has high potential conditions that are comparable to some of the best astronomical observatories in the world. Estimated Fried parameter at the Ali site located in western China and the Tibetan plateau, one of the best astronomical sites, is about 20 cm in the best months. These sites are presently under studies for astronomy [5]. The Era-5 derived values of the Fried parameter corresponding to spatial coherence length are consistent with measured values at the Maidanak Observatory [28].
For comparison, we also compare the variation of the Fried parameter at the site of Peak Terskol. Figure 11 shows variations of the Fried parameter r 0 at the Terskol Peak Observatory. As you can see from the figure, the site of Terskol Peak has a high image quality close to the best places in the world. In particular, in summer β is about 1.0 - 1.2 arc sec, in terms of r 0 , these values correspond to 8.3 - 10.0 cm. In addition to the average monthly values of the Fried parameter obtained using the gradient method, the figure shows the results of applying the Hufnagel–Vally (HV) climate model to describe vertical changes in C n 2 [29]. The HV model is based on the processing of experimental data and, on average, describes the structure of optical turbulence well. Nevertheless, detailed information about the vertical distribution of optical turbulence cannot be reflected using this model. Analysis of the figure shows that the gradient model and the model give similar results in terms of r 0 .

5. Discussion

In this paper, we present the results of studies of the vertical distributions of optical turbulence in the atmospheric boundary layer and free atmosphere, up to a height of 20 km. In order to determine the structural constant of turbulent fluctuations of the air refractive index, we refined the parameterization scheme for calculation of this quantity. In the study region, the turbulent parameter was calculated based on a comparison of reanalysis data, mast meteorological measurements and observations of image scintillation. In particular, the processing of mast measurement data made it possible not only to estimate C n 2 statistics in the atmospheric surface layer, but also to select optimal parameterization coefficients that determine the contribution of wind speed shear instability to the formation of turbulence. Using these coefficients, we estimated C n 2 values at different heights in the atmospheric boundary layer more accurately. This made it possible to refine the shapes of the vertical profiles of optical turbulence. The correctness of our approach based on the using constant parametrization coefficients (within only atmospheric boundary layer) is supported by the fact that the structure of turbulence in the atmospheric boundary layer should be determined by processes in the surface layer of the atmosphere, at least when averaging over long time periods.
It can be noted that the gradient method outputs are in good agreement with the data of optical measurements of turbulence at different height levels in the atmosphere, at least for the Terskol Peak Observatory. Based on the selected profile calculation scheme for the Terskol Peak Observatory, we estimated the optical turbulence characteristics for other sites as well. Analysis of spatial distribution of the atmospheric boundary layer height, as well as calculated profiles of optical turbulence, can serve as the basis for choosing optimal site for a ground-based astronomical telescope. Taking into account the recent data on the spatial distribution of astroclimatic characteristics within this macroregion, the following areas suitable for optical or millimeter telescopes are located: in mountain Dagestan, including Gunib Plateau, as well as Shalbuzdag and Peak Terskol. The location of Mt. Kurapdag is not good due to strong surface winds and strong surface optical turbulence, which is the main reason of high values of β ( 2- 3 arc sec).

6. Conclusions

In this work we demonstrated that, using the gradient method and additional measurement data, we can estimate the vertical profiles of optical turbulence more accurately. The increase of accuracy of optical turbulence profiles within the lower atmosphere is due to using both measured values of C n 2 and applying new parametrization coefficients between vertical shears of wind speed and model values of C n 2 . Moreover, the gradient method takes into account variations in the height of the atmospheric boundary layer estimated from re-analysis data. Estimations of the atmospheric boundary layer height and the vertical profiles of wind shears are important for obtaining smooth vertical profiles of C n 2 and L 0 . Above the atmospheric boundary layer, vertical profiles of optical turbulence are reconstructed only on the basis of vertical profiles of wind speed shears with parameterization coefficients a=1.64 and b=42, that describe C n 2 variations well for weak turbulence. Thus, we can conclude that the hypotheses of optical turbulence embedded in the gradient method are valid as, in average, used atmospheric models converge to the measurements: the measured and model values of β are practically identical.
For the first time, by linking simulation outputs to measurement data, we have obtained representative optical turbulence vertical profiles for the sites of Peak Terskol Observatory and the Mt. Kurapdag. We have shown that the Kurapdag mountain should not be considered as a potential site for a new optical or millimeter telescope.

Author Contributions

A.Y.S. and P.G.K. developed the methodology and performed the investigation; E.A.K. conducted the formal analysis; C.Q. and S.A.P. were engaged in measurements and data analysis. All authors have read and agreed to the published version of the manuscript.

Funding

Section 3 was supported by the Ministry of Science and Higher Education of the Russian Federation. The optical turbulence profiling was funded by RSF grant No. 23-72-00041.

Data Availability Statement

Data used are available on request from the corresponding author.

Acknowledgments

Measurements were verified using the Unique Research Facility Large Solar Vacuum Telescope http://ckp-rf.ru/usu/200615/.

Conflicts of Interest

The author declares no conflict of interest.

Appendix A

Figure A1. Distributions of the atmospheric boundary height (in meters) within the Peak Terskol Observatory region.
Figure A1. Distributions of the atmospheric boundary height (in meters) within the Peak Terskol Observatory region.
Preprints 102191 g0a1

References

  1. Tokovinin, A. The Elusive Nature of “Seeing”. Atmosphere 2023, 14, 1694. [Google Scholar] [CrossRef]
  2. Nosov, V.V.; Lukin, V.P.; Nosov, E.V.; Torgaev, A.V.; Afanas’ev, V.L.; Balega, Y. Y; Vlasyuk, V.V.; Panchuk, V.E.; Yakopov, G.V. Astroclimate Studies in the Special Astrophysical Observatory of the Russian Academy of Sciences. Atmos. Ocean. Opt. 2019, 32, 8–18. [Google Scholar] [CrossRef]
  3. Ran, X.; Zhang, L.; Rao, C. The AC-SLODAR: measuring daytime normalized optical turbulence intensity distribution based on slope autocorrelation. Mnras 2024, 528, 3981–3991. [Google Scholar] [CrossRef]
  4. Hickson, P.; Ma, B.; Shang, Z.; Xue, S. Multistar turbulence monitor: a new technique to measure optical turbulence profiles. Mnras 2019, 485, 2532–2545. [Google Scholar] [CrossRef]
  5. Hickson, P.; Feng, L.; Hellemeier, J. A.; Shen, Z.; Xue, S.; Yao, Y.; Ma, B.; Chen, H.; Yang, R. Optical turbulence at Ali, China – results from the first year of lunar scintillometer observation. Mnras 2020, 494, 5992–6000. [Google Scholar] [CrossRef]
  6. Wilson, R. SLODAR: Measuring optical turbulence altitude with a Shack–Hartmann wavefront sensor. Mon. Not. R. Astron. Soc. 2002, 337, 103–108. [Google Scholar] [CrossRef]
  7. Deng, J.; Song, T.-F.; Liu, Y. A Review of Daytime Atmospheric Optical Turbulence Profile Detection Technology. Chinese Astronomy and Astrophysics 2023, 47, 257–284. [Google Scholar] [CrossRef]
  8. Wang, Z.; Zhang, L.; Kong, L.; Bao, H.; Guo, Y.; Rao, X.; Zhong, L.; Zhu, L.; Rao, C. A modified S-DIMM+: Applying additional height grids for characterizing daytime seeing profiles. Mon. Not. R. Astron. Soc. 2018, 478, 1459–1467. [Google Scholar] [CrossRef]
  9. Subramanian, S.K.; Rengaswamy, S. Forward modelling of turbulence strength profile estimation using S-DIMM+. Proceedings of SPIE 2023, 12638, 1263812. [Google Scholar] [CrossRef]
  10. Griffiths, R.; Bardou, L.; Butterley, T.; Osborn, J.; Wilson, R.; Bustos, E.; Tokovinin, A.; Le Louarn, M.; Otarola, A. A comparison of next-generation turbulence profiling instruments at Paranal. Mnras 2024, 529, 320–330. [Google Scholar] [CrossRef]
  11. Zhang, K.; Luo, T.; Wang, F.-F.; Sun, G.; Liu, Q.; Qing, C.; Li, X.-B.; Weng, N.-Q.; Zhu, W.-Y. Influence of low clouds on atmospheric refractive index structure constant based on radiosonde data. Acta Physica Sinica 2022, 71, 089202. [Google Scholar] [CrossRef]
  12. Bolbasova, L.A.; Shikhovtsev, A.Yu.; Kopylov, E.A.; Selin, A.A.; Lukin, V.P.; Kovadlo, P.G. Daytime optical turbulence and wind speed distributions at the Baikal Astrophysical Observatory. Mnras 2019, 482, 2619–2626. [Google Scholar] [CrossRef]
  13. Qing, C.; Wu, X.; Li, X.; Luo, T.; Su, C.; Zhu, W. Mesoscale optical turbulence simulations above Tibetan Plateau: first attempt. Optics Express 2020, 28, 4571–4586. [Google Scholar] [CrossRef] [PubMed]
  14. Bi, C.; Qing, C.; Qian, X.; Luo, T.; Zhu, W.; Weng, N. Investigation of the Global Spatio-Temporal Characteristics of Astronomical Seeing. Remote Sens. 2023, 15, 2225. [Google Scholar] [CrossRef]
  15. Yang, Q.; Wu, X.; Han, Y.; Chun, Q.; Wu, S.; Su, C.; Wu, P.; Luo, T.; Zhang, S. Estimating the astronomical seeing above Dome A using Polar WRF based on the Tatarskii equation. Opt. Express 2021, 29, 44000–44011. [Google Scholar] [CrossRef]
  16. Quatresooz, F.; Griffiths, R.; Bardou, L.; Wilson, R.; Osborn, J.; Vanhoenacker-Janvier, D.; Claude, O. Continuous daytime and nighttime forecast of atmospheric optical turbulence from numerical weather prediction models. Optics Express 2023, 31, 33850–33872. [Google Scholar] [CrossRef]
  17. Bi, C.; Qing, C.; Qian, X.; Zhu, W.; Luo, T.; Li, X.; Cui, S.; Weng, N. Astroclimatic parameters characterization at lenghu site with ERA5 products. Monthly Notices of the Royal Astronomical Society 2024, 527, 4616–4631. [Google Scholar] [CrossRef]
  18. Masciadri, E.; Jabouille, P. Improvements in the optical turbulence parameterization for 3D simulations in a region around a telescope. Astronomy and Astrophysics 2001, 376, 727–734. [Google Scholar] [CrossRef]
  19. Turchi, A.; Masciadri, E.; Fini, L. Forecasting surface-layer atmospheric parameters at the Large Binocular Telescope site. Mnras 2017, 466, 1925–1943. [Google Scholar] [CrossRef]
  20. Bolbasova, L.A.; Kopylov, E.A. Long-Term Trends of Astroclimatic Parameters above the Terskol Observatory. Atmosphere 2023, 14, 1264. [Google Scholar] [CrossRef]
  21. Hersbach, H.; Bell, B.; Berrisford, P.; Hirahara, S.; Horányi, A.; Muñoz-Sabater, J.; Nicolas, J.; Peubey,, C.; Radu, R.; Schepers, D.; et al. The ERA5 global reanalysis. Quarterly Journal of the Royal Meteorological Society 2020, 146, 1999–2049. [Google Scholar] [CrossRef]
  22. Huang, J.; Yin, J.; Wang, M.; He, Q.; Guo, J.; Zhang, J.; Liang, X.; Xie, Y. Evaluation of Five Reanalysis Products With Radiosonde Observations Over the Central Taklimakan Desert During Summer. Earth and Space Science 2021, 8, 2021EA001707. [Google Scholar] [CrossRef]
  23. Rao, P.; Wang, F.; Yuah, X.; Liu, Y.; Jiao, Y. Evaluation and comparison of 11 sets of gridded precipitation products over the Qinghai-Tibet Plateau. Atmospheric Research 2024, 302, 107315. [Google Scholar] [CrossRef]
  24. Potanin, S.A.; Kornilov, M.-V.; Savvin, A.D.; Safonov, B.S.; Ibragimov, M.A.; Kopylov, E.A.; Nalivkin, M.A.; Shmagin, V.E.; Huy, L.X.; Thao, N.T. A Facility for the Study of Atmospheric Parameters Based on the Shack–Hartmann Sensor. Astrophysical Bulletin 2022, 77, 214–221. [Google Scholar] [CrossRef]
  25. Odintsov, S.L.; Gladkikh, V.A.; Kamardin, A.P.; Nevzorova, I.V. Determination of the Structural Characteristic of the Refractive Index of Optical Waves in the Atmospheric Boundary Layer with Remote Acoustic Sounding Facilities. Atmosphere 2019, 10, 711. [Google Scholar] [CrossRef]
  26. Lukin, V.P.; Botygina, N.N.; Gladkikh, V.A.; Emaleev, O.N.; Konyaev, P.A.; Odintsov, S.L.; Torgaev, A.V. Joint measurements of atmospheric turbulence level with optical and acoustic meters. Atmospheric and Oceanic Optics 2015, 28, 254–257. [Google Scholar] [CrossRef]
  27. Rao, R. Effect of Outer Scale of Atmospheric Turbulence on Imaging Resolution of Large Telescopes. Guangxue Xuebao/Acta Optica Sinica 2023, 43, 24–2400001. [Google Scholar] [CrossRef]
  28. Tillayev, Y.; Azimov, A.; Ehgamberdiev, S.; Ilyasov, S. Astronomical Seeing and Meteorological Parameters at Maidanak Observatory. Atmosphere 2023, 14, 199. [Google Scholar] [CrossRef]
  29. Mahmood, D.A.; Naif, S.S.; Al-Jiboori, M.H.; Al-Rbayee, T. Improving Hufnagel-Andrews-Phillips model for prediction Cn2 using empirical wind speed profiles. JASTP 2022, 240, 105952. [Google Scholar] [CrossRef]
Figure 1. Sites of the Terskol Peak Observatory, Big Telescope Alt-Azimuthal Telescope (BTA) with high astroclimatic indicators and Mount Kurapdag with low water vapor content. Red rectangle shows the BTA region
Figure 1. Sites of the Terskol Peak Observatory, Big Telescope Alt-Azimuthal Telescope (BTA) with high astroclimatic indicators and Mount Kurapdag with low water vapor content. Red rectangle shows the BTA region
Preprints 102191 g001
Figure 2. Schmidt-Cassegrain Telescope at the Peak Terskol Observatory
Figure 2. Schmidt-Cassegrain Telescope at the Peak Terskol Observatory
Preprints 102191 g002
Figure 3. Night-time vertical distributions of optical turbulence strength C n 2 Δ z at the Peak Terskol Observatory for the average image quality, 18 - 19 March, 2023
Figure 3. Night-time vertical distributions of optical turbulence strength C n 2 Δ z at the Peak Terskol Observatory for the average image quality, 18 - 19 March, 2023
Preprints 102191 g003
Figure 4. Night-time vertical distributions of optical turbulence strength C n 2 Δ z at the Peak Terskol Observatory for (a)) the best and (b)) worst atmospheric conditions, 18 - 19 March, 2023
Figure 4. Night-time vertical distributions of optical turbulence strength C n 2 Δ z at the Peak Terskol Observatory for (a)) the best and (b)) worst atmospheric conditions, 18 - 19 March, 2023
Preprints 102191 g004
Figure 5. a) Schmidt-Cassegrain Telescope and (b)) Meteo-2 sonic anemometer
Figure 5. a) Schmidt-Cassegrain Telescope and (b)) Meteo-2 sonic anemometer
Preprints 102191 g005
Figure 6. The number of nights of sonic measurements by month
Figure 6. The number of nights of sonic measurements by month
Preprints 102191 g006
Figure 7. Distributions of measured values of C n 2 within the surface layer of the atmosphere at the site of Peak Terskol Observatory, 2023
Figure 7. Distributions of measured values of C n 2 within the surface layer of the atmosphere at the site of Peak Terskol Observatory, 2023
Preprints 102191 g007
Figure 8. Calculated vertical profile of optical turbulence at the Peak Terskol Observatory, 18 - 19 March 2023. Shading corresponds to the interval between the first and the third quartiles estimated for all nights in March 2023
Figure 8. Calculated vertical profile of optical turbulence at the Peak Terskol Observatory, 18 - 19 March 2023. Shading corresponds to the interval between the first and the third quartiles estimated for all nights in March 2023
Preprints 102191 g008
Figure 9. Night-time vertical profiles of optical turbulence above the Peak Terskol Observatory and Mt.Kurapdag
Figure 9. Night-time vertical profiles of optical turbulence above the Peak Terskol Observatory and Mt.Kurapdag
Preprints 102191 g009
Figure 10. Variations of the Fried parameter r 0 = 0.98 λ / β
Figure 10. Variations of the Fried parameter r 0 = 0.98 λ / β
Preprints 102191 g010
Figure 11. Variations of the Fried parameter r 0 at the Terskol Peak Observatory
Figure 11. Variations of the Fried parameter r 0 at the Terskol Peak Observatory
Preprints 102191 g011
Table 1. Percentiles of C n 2 in the surface layer of the atmosphere at the Peak Terskol Observatory
Table 1. Percentiles of C n 2 in the surface layer of the atmosphere at the Peak Terskol Observatory
Season 10%, m 2 / 3 25%, m 2 / 3 50%, m 2 / 3 75%, m 2 / 3
Average atmospheric conditions
Winter 2,7 · 10 15 7,0 · 10 15 8,6 · 10 15 8,0 · 10 14
Spring 3,0 · 10 16 6,8 · 10 16 2,4 · 10 15 6,0 · 10 15
Summer 2,0 · 10 16 3,0 · 10 16 9,8 · 10 16 2,4 · 10 15
Autumn 2,3 · 10 16 5,0 · 10 16 1,8 · 10 15 4,9 · 10 15
Clear sky, light surface wind V 2.5 m/s
Winter 1,0 · 10 15 7,0 · 10 16 2,6 · 10 15 7,0 · 10 15
Spring 1,8 · 10 16 4,0 · 10 16 8,0 · 10 16 2,4 · 10 15
Summer 1,4 · 10 16 2,8 · 10 16 5,3 · 10 16 9,0 · 10 16
Autumn 1,1 · 10 16 2,0 · 10 16 4,6 · 10 16 8,2 · 10 16
Disclaimer/Publisher’s Note: The statements, opinions and data contained in all publications are solely those of the individual author(s) and contributor(s) and not of MDPI and/or the editor(s). MDPI and/or the editor(s) disclaim responsibility for any injury to people or property resulting from any ideas, methods, instructions or products referred to in the content.
Copyright: This open access article is published under a Creative Commons CC BY 4.0 license, which permit the free download, distribution, and reuse, provided that the author and preprint are cited in any reuse.
Prerpints.org logo

Preprints.org is a free preprint server supported by MDPI in Basel, Switzerland.

Subscribe

Disclaimer

Terms of Use

Privacy Policy

Privacy Settings

© 2026 MDPI (Basel, Switzerland) unless otherwise stated