Submitted:
21 March 2024
Posted:
21 March 2024
You are already at the latest version
Abstract
Keywords:
1. Introduction
2. Related Work
3. Proposed Method
3.1. Flowchart Description
3.2. Feature Extraction
3.3. Feature Matching
3.4. Transformation Matrix Computation
3.5. Image Blending
4. Experimental Results
4.1. Datasets
4.2. Evaluation Metrics
4.3. Segmentation Performance
4.4. Feature Extraction and Feature Description
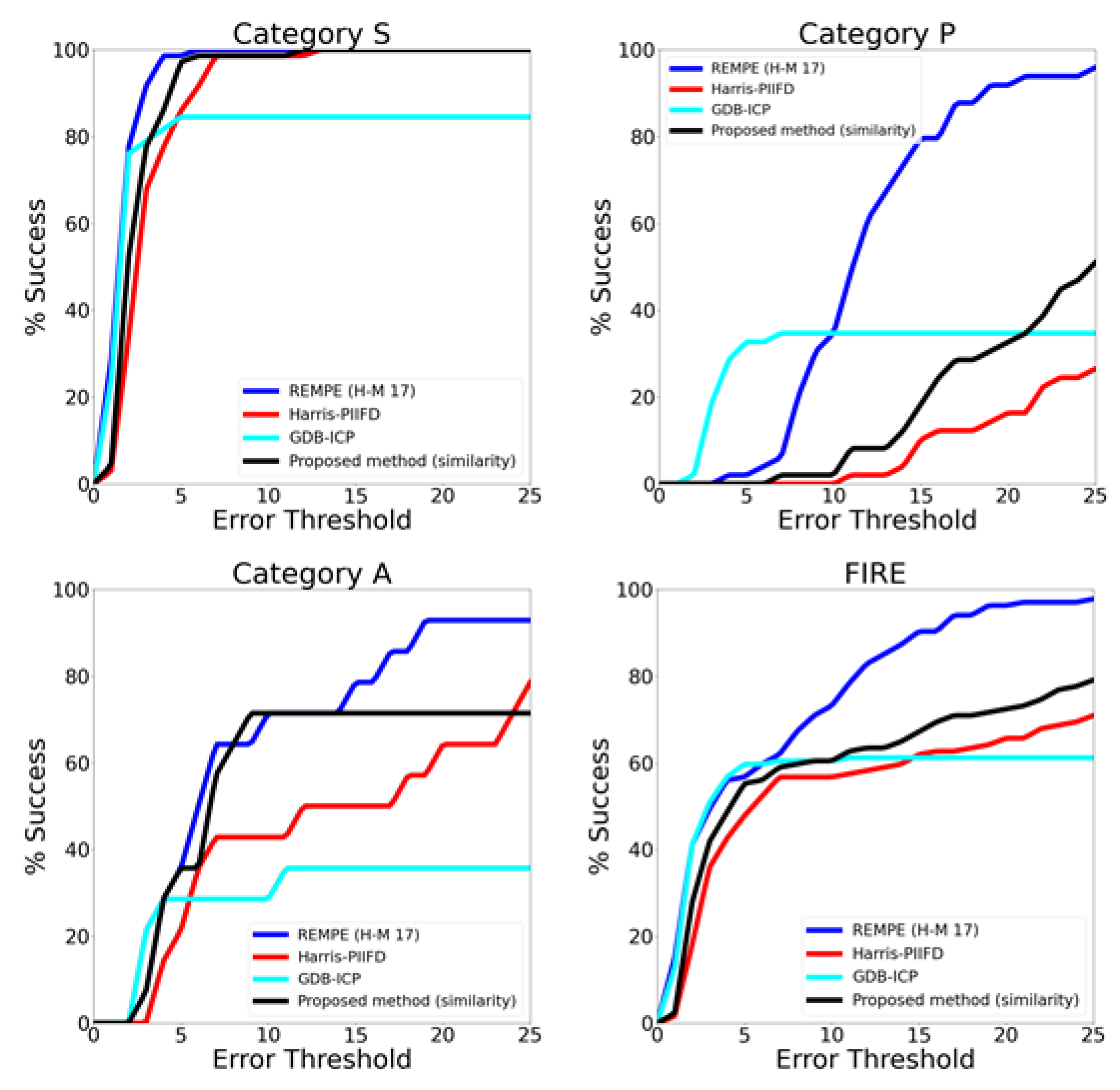
4.5. Registration Performance on the FIRE Dataset
5. Discussion
6. Conclusions and Future Work
References
- Li, T., Bo, W., Hu, C., Kang, H., Liu, H., Wang, K., & Fu, H. (2021). Applications of deep learning in fundus images: A review. Medical Image Analysis, 69, 101971. [CrossRef]
- Ramli, R., Hasikin, K., Idris, M. Y. I., A. Karim, N. K., & Wahab, A. W. A. (2021). Fundus image registration technique based on local feature of retinal vessels. Applied Sciences, 11(23), 11201. [CrossRef]
- Ramli, R., Idris, M. Y. I., Hasikin, K., A Karim, N. K., Abdul Wahab, A. W., Ahmedy, I.,... & Arof, H. (2017). Feature-based retinal image registration using D-Saddle feature. Journal of healthcare engineering, 2017.
- Saha, S., Rahaman, G. A., Islam, T., Akter, M., Frost, S., & Kanagasingam, Y. (2021). Retinal image registration using log-polar transform and robust description of bifurcation points. Biomedical Signal Processing and Control, 66, 102424.
- Akram, M. U., Usmani, D., Ahmad, T., Abbas, S., & Noor, S. F. (2015, April). Seamless fundus image stitching using wld to improve field of view. In 2015 Fifth International Conference on Digital Information and Communication Technology and its Applications (DICTAP) (pp. 106-110). IEEE.
- Lucente, A., Taloni, A., Scorcia, V., & Giannaccare, G. (2023). Widefield and Ultra-Widefield Retinal Imaging: A Geometrical Analysis. Life, 13(1), 202.
- Toslak, D., Thapa, D., Chen, Y., Erol, M. K., Chan, R. P., & Yao, X. (2016). Trans-palpebral illumination: an approach for wide-angle fundus photography without the need for pupil dilation. Optics letters, 41(12), 2688-2691.
- Das, V., Dandapat, S., & Bora, P. K. (2019). A novel diagnostic information based framework for super-resolution of retinal fundus images. Computerized Medical Imaging and Graphics, 72, 22-33.
- Ochoa-Astorga, J. E., Wang, L., Du, W., & Peng, Y. (2023). A Straightforward Bifurcation Pattern-Based Fundus Image Registration Method. Sensors, 23(18), 7809.
- Astorga, J. E. O., Du, W., Peng, Y., & Wang, L. (2023, June). Fundus Image Registration with Binary Morphology Extraction of Feature Points. In 2023 Sixth International Symposium on Computer, Consumer and Control (IS3C) (pp. 182-185). IEEE.
- Frangi, A. F., Niessen, W. J., Vincken, K. L., & Viergever, M. A. (1998). Multiscale vessel enhancement filtering. In Medical Image Computing and Computer-Assisted Intervention—MICCAI’98: First International Conference Cambridge, MA, USA, –13, 1998 Proceedings 1 (pp. 130-137). Springer Berlin Heidelberg. 11 October.
- Ronneberger, O., Fischer, P., & Brox, T. (2015). U-net: Convolutional networks for biomedical image segmentation. In Medical Image Computing and Computer-Assisted Intervention–MICCAI 2015: 18th International Conference, Munich, Germany, October 5-9, 2015, Proceedings, Part III 18 (pp. 234-241). Springer International Publishing.
- Zai, S., & Abbas, A. (2018, July). An effective enhancement and segmentation of coronary arteries in 2d angiograms. In 2018 International Conference on Smart Computing and Electronic Enterprise (ICSCEE) (pp. 1-4). IEEE.
- Alahi, A., Ortiz, R., & Vandergheynst, P. (2012, June). Freak: Fast retina keypoint. In 2012 IEEE conference on computer vision and pattern recognition (pp. 510-517). Ieee.
- Fischler, M. A., & Bolles, R. C. (1981). Random sample consensus: a paradigm for model fitting with applications to image analysis and automated cartography. Communications of the ACM, 24(6), 381-395.
- Jin, K., Huang, X., Zhou, J., Li, Y., Yan, Y., Sun, Y.,... & Ye, J. (2022). Fives: A fundus image dataset for artificial Intelligence based vessel segmentation. Scientific Data, 9(1), 475. [CrossRef]
- Hernandez-Matas, C., Zabulis, X., Triantafyllou, A., Anyfanti, P., Douma, S., & Argyros, A. A. (2017). FIRE: fundus image registration dataset. Modeling and Artificial Intelligence in Ophthalmology, 1(4), 16-28.
- Lowe, D. G. (1999, September). Object recognition from local scale-invariant features. In Proceedings of the seventh IEEE international conference on computer vision (Vol. 2, pp. 1150-1157). Ieee.
- Jalili, J. , Hejazi, S. M., Riazi-Esfahani, M., Eliasi, A., Ebrahimi, M., Seydi, M.,... & Ahmadian, A. (2020). Retinal image mosaicking using scale-invariant feature transformation feature descriptors and Voronoi diagram. Journal of Medical Imaging, 7(4), 044001-044001.
- Hernandez-Matas, C., Zabulis, X., & Argyros, A. A. (2020). REMPE: Registration of retinal images through eye modelling and pose estimation. IEEE journal of biomedical and health informatics, 24(12), 3362-3373.
- Gong, C., Brunton, S. L., Schowengerdt, B. T., & Seibel, E. J. (2021). Intensity-mosaic: automatic panorama mosaicking of disordered images with insufficient features. Journal of Medical Imaging, 8(5), 054002-054002.
- Rivas-Villar, D., Hervella, Á. S., Rouco, J., & Novo, J. (2022). Color fundus image registration using a learning-based domain-specific landmark detection methodology. Computers in Biology and Medicine, 140, 105101.
- Wang, Y., Zhang, J., An, C., Cavichini, M., Jhingan, M., Amador-Patarroyo, M. J.,... & Nguyen, T. Q. (2020, May). A segmentation based robust deep learning framework for multimodal retinal image registration. In ICASSP 2020-2020 IEEE International Conference on Acoustics, Speech and Signal Processing (ICASSP) (pp. 1369-1373). IEEE.
- Zana, F., & Klein, J. C. (2001). Segmentation of vessel-like patterns using mathematical morphology and curvature evaluation. IEEE transactions on image processing, 10(7), 1010-1019.
- Zana, F., & Klein, J. C. (1999). A multimodal registration algorithm of eye fundus images using vessels detection and Hough transform. IEEE transactions on Medical Imaging, 18(5), 419-428. [CrossRef]
- Feng, X., Cai, G., Gou, X., Yun, Z., Wang, W., & Yang, W. (2020). Retinal mosaicking with vascular bifurcations detected on vessel mask by a convolutional network. Journal of Healthcare Engineering, 2020.
- Pratt, H., Williams, B. M., Ku, J. Y., Vas, C., McCann, E., Al-Bander, B., ... & Zheng, Y. (2017). Automatic detection and distinction of retinal vessel bifurcations and crossings in colour fundus photography. Journal of Imaging, 4(1), 4.
- Chaichana, T., Sun, Z., Barrett-Baxendale, M., & Nagar, A. (2017). Automatic location of blood vessel bifurcations in digital eye fundus images. In Proceedings of Sixth International Conference on Soft Computing for Problem Solving: SocProS 2016, Volume 2 (pp. 332-342). Springer Singapore.
- Patwari, M. B., Manza, R. R., Rajput, Y. M., Deshpande, N. K., & Saswade, M. (2013). Extraction of the retinal blood vessels and detection of the bifurcation points. International Journal of Computer Applications, 77(2), 29-34.
- Patwari, M. B. , Manza, R. R., Rajput, Y. M., Saswade, M., & Deshpande, N. (2014, March). Personal identification algorithm based on retinal blood vessels bifurcation. In 2014 international conference on intelligent Computing Applications (pp. 203-207). IEEE.
- Sutanty, E. , Rahayu, D. A., Susetianingtias, D. T., & Madenda, S. (2017, October). Retinal blood vessel segmentation and bifurcation detection using combined filters. In 2017 3rd International Conference on Science in Information Technology (ICSITech) (pp. 563-567). IEEE.
- Dharmawan, D. A., Li, D., Ng, B. P., & Rahardja, S. (2019). A new hybrid algorithm for retinal vessels segmentation on fundus images. IEEE Access, 7, 41885-41896.
- J. Staal, M. D. J. Staal, M. D. Abramoff, M. Niemeijer, M. A. Viergever, and B. V. Ginneken, ‘‘Ridge based vessel segmentation in color images of the retina,’’ IEEE Trans. Med. Imag., vol. 23, no. 4, pp. 501–509, Apr. 2004. [Online]. Available: http://www.isi.uu.nl/Research/Publications/publicationview.php?
- A. D. Hoover, V. A. D. Hoover, V. Kouznetsova, and M. Goldbaum, ‘‘Locating blood vessels in retinal images by piecewise threshold probing of a matched filter response,’’ IEEE Trans. Med. Imag., vol. 19, no. 3, pp. 203–210, Mar. 2000.
- J. Odstrcilik et al., ‘‘Retinal vessel segmentation by improved matched filtering: Evaluation on a new high-resolution fundus image database,’’ IET Image Process., vol. 7, no. 4, pp. 373–383, Jun. 2013. [Online]. Available: http://digital-library.theiet.org/content/journals/10.1049/iet-ipr.2012. 0455.
- Tang, Y., Rui, Z., Yan, C., Li, J., & Hu, J. (2020). ResWnet for retinal small vessel segmentation. IEEE Access, 8, 198265-198274.
- Guo, C. , Szemenyei, M., Yi, Y., Xue, Y., Zhou, W., & Li, Y. (2020, May). Dense residual network for retinal vessel segmentation. In ICASSP 2020-2020 IEEE International Conference on Acoustics, Speech and Signal Processing (ICASSP) (pp. 1374-1378). IEEE.
- Liu, X. , Song, L., Liu, S., & Zhang, Y. (2021). A review of deep-learning-based medical image segmentation methods. Sustainability, 13(3), 1224.
- Divyashree, N. , & Pushpalatha, K. N. (2020). A Review on Gradient Histograms for Texture Enhancement and Object Detection.
- You, X., Fang, B., He, Z., & Tang, Y. Y. (2005). A global-to-local matching strategy for registering retinal fundus images. In Pattern Recognition and Image Analysis: Second Iberian Conference, IbPRIA 2005, Estoril, Portugal, June 7-9, 2005, Proceedings, Part I 2 (pp. 259-267). Springer Berlin Heidelberg.
- Astorga, J. E. O., Wang, L., Yamada, S., Fujiwara, Y., Du, W., & Peng, Y. (2023). Automatic Detection of Microaneurysms in Fundus Images. International Journal of Software Innovation (IJSI), 11(1), 1-14.
- Zuiderveld, K. (1994). Contrast limited adaptive histogram equalization. Graphics gems, 474-485.
- Wang, C., Zhao, Z., Ren, Q., Xu, Y., & Yu, Y. (2019). Dense U-net based on patch-based learning for retinal vessel segmentation. Entropy, 21(2), 168.
- Hu, K., Zhang, Z., Niu, X., Zhang, Y., Cao, C., Xiao, F., & Gao, X. (2018). Retinal vessel segmentation of color fundus images using multiscale convolutional neural network with an improved cross-entropy loss function. Neurocomputing, 309, 179-191.
- Liu, X., Song, L., Liu, S., & Zhang, Y. (2021). A review of deep-learning-based medical image segmentation methods. Sustainability, 13(3), 1224.
- Zhang, T. Y., & Suen, C. Y. (1984). A fast parallel algorithm for thinning digital patterns. Communications of the ACM, 27(3), 236-239.
- Krig, S., & Krig, S. (2016). Interest point detector and feature descriptor survey. Computer Vision Metrics: Textbook Edition, 187-246.
- Motta, D., Casaca, W., & Paiva, A. (2018, June). Fundus image transformation revisited: Towards determining more accurate registrations. In 2018 IEEE 31st International Symposium on Computer-Based Medical Systems (CBMS) (pp. 227-232). IEEE.
- Burt, P. J., & Adelson, E. H. (1983). A multiresolution spline with application to image mosaics. ACM Transactions on Graphics (TOG), 2(4), 217-236.
- e-ophtha: A Color Fundus Image Database. Available online: https://www.adcis.net/en/Download-Third-Party/E-Ophtha.html (accessed on 28 December 2023).
- RODREP: Rotterdam Ophthalmic Data Repository Longitudinal Diabetic Retinopathy Screening Data. Available online: http://www.rodrep.com/longitudinal-diabetic-retinopathy-screening—description.html (accessed on 28 December 2023).
- VARIA. Available online: http://www.varpa.es/research/biometrics.html (accessed on 28 December 2023).
- FIRE: Fundus Image Registration Dataset. Available online: https://projects.ics.forth.gr/cvrl/fire/ (accessed on 28 December 2023).
- Rublee, E., Rabaud, V., Konolige, K., & Bradski, G. (2011, November). ORB: An efficient alternative to SIFT or SURF. In 2011 International conference on computer vision (pp. 2564-2571). Ieee.
- Chen, J., Tian, J., Lee, N., Zheng, J., Smith, R. T., & Laine, A. F. (2010). A partial intensity invariant feature descriptor for multimodal retinal image registration. IEEE Transactions on Biomedical Engineering, 57(7), 1707-1718. 7.
- Yang, G., Stewart, C. V., Sofka, M., & Tsai, C. L. (2007). Registration of challenging image pairs: Initialization, estimation, and decision. IEEE transactions on pattern analysis and machine intelligence, 29(11), 1973-1989.
- Tsai, C. L., Li, C. Y., Yang, G., & Lin, K. S. (2009). The edge-driven dual-bootstrap iterative closest point algorithm for registration of multimodal fluorescein angiogram sequence. IEEE transactions on medical imaging, 29(3), 636-649.
- Bay, H., Ess, A., Tuytelaars, T., & Van Gool, L. (2008). Speeded-up robust features (SURF). Computer vision and image understanding, 110(3), 346-359.
- Chen, L., Xiang, Y., Chen, Y., & Zhang, X. (2011, September). Retinal image registration using bifurcation structures. In 2011 18th IEEE International Conference on Image Processing (pp. 2169-2172). IEEE.
- Braun, D., Yang, S., Martel, J. N., Riviere, C. N., & Becker, B. C. (2018). EyeSLAM: Real-time simultaneous localization and mapping of retinal vessels during intraocular microsurgery. The International Journal of Medical Robotics and Computer Assisted Surgery, 14(1), e1848.
- Serradell, E., Pinheiro, M. A., Sznitman, R., Kybic, J., Moreno-Noguer, F., & Fua, P. (2014). Non-rigid graph registration using active testing search. IEEE Transactions on Pattern Analysis and Machine Intelligence, 37(3), 625-638.

















| Dataset | Year | Number of images |
Resolution | Disease | Annotators |
|---|---|---|---|---|---|
| STARE | 2000 | 20 | 605×700 | 10 healthy, 10 diseases | 2 |
| DRIVE | 2004 | 40 | 76884 | 33 healthy, 7 DR | 3 |
| ARIA | 2006 | 161 | 576×768 | 61 healthy, 59 DR, 23 AMD | 2 |
| CHASEDB1 | 2011 | 28 | 990×960 | 28 healthy | 2 |
| FIVES | 2021 | 800 | 2048×2048 | 200 healthy, 200 AMD, 200 DR, 200 glaucoma | Group |
| Total image pairs | Aproximate overlap | Anatomical changes | |
|---|---|---|---|
| Category S | 71 | >75% | No |
| Category P | 49 | <75% | No |
| Category A | 14 | >75% | Yes |
| Dataset | Number of Images | Intersection over Union |
|---|---|---|
| STARE | 20 | 0.5402 |
| DRIVE | 40 | 0.5602 |
| ARIA | 161 | 0.4532 |
| CHASEDB1 | 28 | 0.6326 |
| FIVES | 200 | 0.7559 |
| ORB | SIFT | SBP-FIR | Proposed Method | |
|---|---|---|---|---|
| Average number of feature points | 241 | 164 | 125 | 222 |
| Average entropy | 5.6809 | 5.9600 | 6.4245 | 7.0137 |
| Category S |
Category P |
Category A |
FIRE | Execution Time |
Transformation Model |
|
|---|---|---|---|---|---|---|
| REMPE (H-M 17) [20] | 0.958 | 0.542 | 0.660 | 0.773 | 198 | Ellipsoid eye model |
| Harris-PIIFD [55] | 0.900 | 0.090 | 0.443 | 0.553 | 13 | Polynomial |
| GDB-ICP [56] | 0.814 | 0.303 | 0.303 | 0.576 | 19 | Quadratic |
| ED-DB-ICP [57] | 0.604 | 0.441 | 0.497 | 0.553 | 44 | Affine |
| SURF+WGTM [58] | 0.835 | 0.061 | 0.069 | 0.472 | – | Quadratic |
| RIR-BS [59] | 0.772 | 0.004 | 0.124 | 0.440 | – | Projective |
| EyeSLAM [60] | 0.308 | 0.224 | 0.269 | 0.273 | 7 | Rigid |
| ATS-RGM [61] | 0.369 | 0.000 | 0.147 | 0.211 | – | Elastic |
| SBP-FIR [9] | 0.835 | 0.127 | 0.360 | 0.526 | – | Similarity |
| Proposed Method | 0.903 | 0.159 | 0.562 | 0.596 | 96 | Similarity |
Disclaimer/Publisher’s Note: The statements, opinions and data contained in all publications are solely those of the individual author(s) and contributor(s) and not of MDPI and/or the editor(s). MDPI and/or the editor(s) disclaim responsibility for any injury to people or property resulting from any ideas, methods, instructions or products referred to in the content. |
© 2024 by the authors. Licensee MDPI, Basel, Switzerland. This article is an open access article distributed under the terms and conditions of the Creative Commons Attribution (CC BY) license (http://creativecommons.org/licenses/by/4.0/).
