Preprint
Brief Report

This version is not peer-reviewed.

A Proposal of Geoengineering Method as Global Warming Countermeasure: Stratospheric O3 Increase to Reduce Earth's Surface Temperature

A peer-reviewed article of this preprint also exists.

Submitted:

14 March 2024

Posted:

14 March 2024

You are already at the latest version

Abstract
A method of geoengineering/solar radiation management is proposed as global warming countermeasure. The idea is to decrease surface temperature by increasing stratospheric ozone. One-dimensional (vertical) radiative-convective equilibrium temperature calculations show that surface temperature can be lowered by increasing the amount of ozone in the stratosphere. It was the increase in altitude above about 25 km that reduced surface temperatures. The method of increasing the amount of ozone (O3 injection), the rate of decrease of surface temperature after the ozone increase, and the rate of decrease of ozone concentration by photochemical reaction and diffusion/transport after the ozone increase are discussed.
Keywords: 
;  ;  

1. Introduction

The current status of global warming is quite serious. The global average temperature has reached a warming of 1.1 °C in 2011-2020 in comparison to 1850-1900. Anthropogenic climate change is already affecting many extreme weather and climate events in all regions of the world. This is causing extensive adverse effects on nature and people, and associated losses and damages. Global greenhouse gas emissions in 2030, as suggested by Nationally Determined Contributions (NDCs) published by October 2021, indicate that warming is likely to exceed 1.5 °C during the 21st century, making it even more difficult to limit warming below 2 °C.
Global CO2 net emissions zero will need to be achieved by early 2050 for a 1.5 °C limit, and by early 2070 for a 2 °C limit [1]. The situation is so severe that it cannot be met only by promoting renewable energy as an alternative to fossil fuels. Geoengineering has been considered as another method of global warming countermeasures. A typical example of geoengineering/solar radiation management (SRM) is the application of sulfate aerosols in the stratosphere [2]. Although this method can reliably lower temperatures, it has been shown to have negative side effects such as increased air pollution and ozone depletion [3]. In this report, I propose another method, which might have the potential to reduce the shortcomings although many issues need further consideration as will be described later. The method is to increase the amount of stratospheric O3 and decrease earth’s surface temperature. First, I show that the surface temperature can be lowered by increasing the amount of O3 in the stratosphere using one-dimensional (vertical) radiative-convective equilibrium temperature calculations. Then, I discuss the problems that need to be considered with respect to this method.

2. Calculation Methods

⌜The Climate Laboratory⌟ [4] and ⌜Colaboratory⌟ (Google) were used for one-dimensional (vertical) radiative-convective equilibrium temperature calculations [5] and other calculations. The RRTMG (Rapid Radiative Transfer Model) which is used in many current GCMs was employed in the radiative-convective equilibrium temperature calculations. The calculations process looks for lapse rates exceeding a fixed threshold and performs an instantaneous adjustment that mixes temperatures while conserving energy. The convergence judgment conditions typically applied were <10−2 K although it showed less than 10−3 K in most calculations. As reference exhibitting reliability of the calculations, it is noted that a doubling of CO2 showed an increase of 1.30 °C in the surface temperature without feedback. Therein, the Planck feedback was -3.3 Wm−2K−1 and the water vapour feedback was +1.86 Wm−2K−1, which were both similar to those of the complex GCM models [6].

3. Results and Discussion

3.1. Change in Surface Temperature with Change (Increase) of O3 Amount

One-dimensional (vertical) radiative-convective equilibrium temperature calculations were performed by changing (increasing) the amount of O3 with respect to vertical distribution. (albedo = 0.25, adj_lapse_rate = 6.5 (°C/km)) The calculations were made keeping constant relative humidity for the amount of H2O. The results obtained are shown in Figure 1 and Table 1 and Table 2. Table 1 and Table 2 show the amounts of temperature change from the standard condition.
Altitude level:
[3.54, 7.39, 13.97, 23.94, 37.23, 53.11, 70.06, 85.44, 100.51, 118.25, 139.11, 163.66, 192.54, 226.51, 266.48, 313.50, 368.82, 433.90, 510.46, 600.52, 696.80, 787.70, 867.16, 929.65, 970.56, 992.56 (hPa)]
O3 amount in standard condition:
[7.53e-6, 8.52e-6, 7.87e-6, 5.60e-6, 3.46e-6, 2.03e-6, 1.13e-6, 7.30e-7, 5.27e-7, 3.84e-7, 2.82e-7, 2.12e-7, 1.63e-7, 1.18e-7, 8.24e-8, 6.26e-8, 5.34e-8, 4.73e-8, 4.24e-8, 3.91e-8, 3.56e-8, 3.12e-8, 2.73e-8, 2.47e-8, 2.30e-8, 2.22e-8]
H2O amount in standard condition:
[2.16e-06, 2.15e-06, 2.15e-06, 2.13e-06, 2.12e-06, 2.11e-06, 2.09e-06, 2.11e-06, 2.42e-06,
3.13e-06, 5.01e-06, 9.61e-06, 2.09e-05, 4.79e-05, 1.05e-04, 2.12e-04, 3.94e-04, 7.11e-04,
1.34e-03, 2.05e-03, 3.17e-03, 4.97e-03, 6.62e-03, 8.38e-03, 9.39e-03, 9.65e-03]
Other absorbing species amounts:
CO2 0.000348, CH4 1.65e-06, N2O 3.06e-07, O2 0.21, CFC11 0.0, CFC12 0.0, CFC22 0.0, CCL4 0.0
When stratospheric O3 is increased, the increase in stratospheric O3 acts to absorb shortwave radiation better, increasing stratospheric temperatures and decreasing surface temperatures. On the other hand, an increase in tropospheric O3 increases surface temperatures. These degrees are greater by a factor of 10 than by a factor of 2. Table 2 shows the case where the amount of O3 is increased by a factor of 10 for each altitude level only. The altitude boundary at which an increase in O3 lowers or raises surface temperatures is about 25 km. The calculations performed for three different ozone distributions (26 km, 22 km, and 19 km maximum altitudes) reported that surface temperatures increased with decreasing maximum altitude [7]. The results presented here are consistent with this report. It was found from these data that an increase in O3 in the stratosphere (above 25 km altitude) decreases surface temperatures.

3.2. As for Stratospheric O3 Increase

Next, concerning the method to increase the amount of O3 in the stratosphere, a typical method is to inject O3 directly into the stratosphere. After injection, O3 diffuses/transports and its concentration changes/decreases. Since the O3 concentration exceeds the natural (steady-state) O3 concentration, the O3 concentration will decrease also due to photochemical reactions. First, without considering diffusion/transport, the O3 concentration change due to photochemical reactions will be discussed.
Ozone production and destruction in the stratosphere can be explained by the Chapman model.
O2 + hν(240nm以下) → O + O (J1) -- ①
O + O2 + M → O3 + M (k1) -- ②
O3 + hν(320nm以下) → O + O2 (J2) -- ③
O + O3 → 2O2 (k2) -- ④
Thus, the rate of change of each quantity is as follows.
d nO = 2*J1*nO2 + J2*nO3 – k1*nO*nO2*nair - k2*nO*nO3 -- ⑤
d n02 = J2*nO3 + 2*k2*nO*nO3 - J1*nO2 - k1*nO*nO2*nair -- ⑥
d n03 = k1*nO*nO2*nair - J2*nO3 - k2*nO*nO3 -- ⑦
(nO: oxygen atom density, nO2: oxygen molecule density, nO3: ozone molecule density, nair: air density)
For example, I consider an injection of O3 (10 times the amount of the natural state) into a region at an altitude of 30 km. There are literature reports on the calculation of stratospheric ozone with the values shown in Table 3 [8,9]. Let me consider this as an example.
Assuming that the oxygen atom density nO is in a steady state, using equation ⑤ = 0 and the values in Table 3, nO is about 1e7. Using 10 times the value in Table 3 (3.610e13) as the initial value for nO3, values in Table 3 for nO2 and nair, and 1e7 as the initial value for nO, and evolving (5) through (7) in time, the respective densities were calculated. The result obtained is shown in Figure 2.
The O3 level remained almost unchanged until about 104 s, at which point it began to decrease, reaching 2.00e13 at 106 s (≈101 days). The O concentration changed with the O3 one. It is considered that it takes about 102 days for the O3 concentration to reach around the original O3 concentration (3.610e12). This calculation assumes constant solar radiation and other weather conditions. If the time without solar radiation is taken into account, the rate of decrease of O3 becomes smaller. It is suggested here that in terms of the photochemical reaction factor, the concentration of injected O3 remains high for about 101 to 102 days. The data is consistent with the general fact that O3 produced in the low-latitude stratosphere is transported to the mid- and high-latitudes. In reality, the rate of decrease is larger than in Figure 2 because the increase in O3 causes stratospheric temperature to rise.

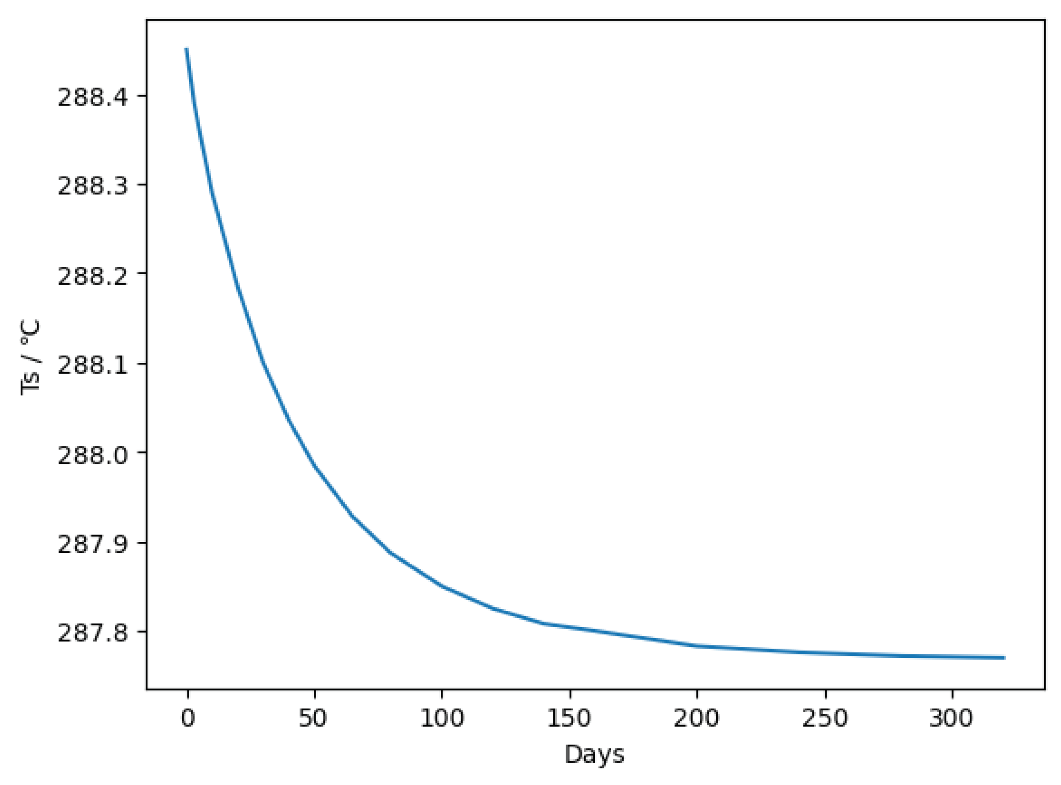
3.3. Rate of Surface Temperature Decrease by Stratospheric O3 Increase

I examined how fast the surface temperature subsequently decreased with increasing stratospheric O3. For example, Figure 3 shows the calculated results of the time course of the surface temperature when the O3 density is increased by a factor of 10 only at an altitude of 30 km. The initial values of the surface temperature and the temperature at each altitude were set to the equilibrium temperature under the standard conditions. In this calculation, the amount of H2O was fixed at the value of the standard conditions.
It is seen that the surface temperature decreases by 0.35K (50%) at 30 days, 0.60K (90%) at 100 days, and 0.68K at equilibrium.

3.4. Injected O3 Diffusion/Transport and Remarks

I discuss the diffusion/transport of O3 which is injected. The way of spread/concentration change of O3 after injection will depend on the location, the season/time, etc. of injection. For example, considering 30 km above Japan, the main driving force for transport is considered to be the east-west wind (typically several m/s to a dozen of m/s) [10], and it is inferred that the transport is mainly in the east-west direction. The winds in the north-south direction are typically < a few m/s [11] and are smaller than those in the east-west direction. Certainly, the vertical diffusion/transport has only a small influence, as the eddy diffusion coefficient is about 104 cm2/s. Considering that the easterly wind speed is several m/s to a dozen of m/s, i.e., ~1000 km/day, the factor of concentration change due to diffusion/transport is presumed to be dominant rather than concentration change (decrease) due to (photo)chemical reaction as described in the previous chapter.
If the O3 transport speed (wind speed of the east-west wind) is large, such as 1000 km/day, it may be difficult to perform the intended O3 application. However, there are periods having < a few m/s among a year, for example, it is small in May every year. Considering the fact that it takes about one month for the surface temperature to decrease after an increase in O3, it may be possible to plan for injection during this period to suppress high temperatures in summer.
Finally, I describe some of the issues involved in the application of the present method. The surface temperature calculations in this report are one-dimensional (vertical) radiative-convective equilibrium temperature calculations, i.e., they are simulation results for a single (average) location on the earth. More sophisticated computational (climate) models are needed. Based on detailed meteorological data for each region of the earth, advanced computational (climate) models must be engaged on a region-by-region and global basis. Although I employed a simple Chapman model above, it is also necessary to consider more detailed atmospheric chemical reaction processes; how the injected O3 traces reaction paths with the atmosphere. In addition, stratospheric temperatures will increase, and the influences of this on the climate must also be investigated. The injected O3 will decrease in concentration and return to its natural concentration through chemical reactions and diffusion/transport, but depending on the scale and method of application, it may enter the troposphere. The O3 reaching the troposphere will cause an increase in surface temperature. Countermeasures need to be taken to address this issue. It is known that there are natural ozone exchange processes between the troposphere and the stratosphere such as stratosphere-troposphere exchange (STE) and deep convective storms. Although these are processes which occur at specific regions of the earth, close investigations about these processes will be required and instructive for the present study.
The O3 injection location/area and amount/method should be determined after considering and predicting O3 diffusion/transport according to the degree of surface temperature reduction, timing and duration, and size of the surface area which are designed. This may be very difficult with the current forecasting and observation technology. In all aspects, predicting the diffusion/transport process of O3 to be injected is an essential primary task. Consideration of the cost of implementation is also necessary.

Acknowledgments

I have received the guidances from Prof. Hideo Sagawa (Faculty of Science, Kyoto Sangyo University) in all aspects (basic theory, computer calculations, data discussion, etc.) of this research from its inception. I would like to express the deepest gratitude to him.

References

  1. IPCC,“Climate change 2021: the physical science basis,” in Contribution of Working Group I to the Sixth Assessment Report of the Intergovernmental Panel on Climate Change, eds Masson-Delmotte V., Zhai P., Pirani A., Connors S. L., Péan C., Berger S., et al. (Cambridge University Press).
  2. Rasch P. J., Tilmes S., Turco R. P., Robock A., Oman L., Chen C.-C., Stenchikov G. L., Garcia R. R. An overview of geoengineering of climate using stratospheric sulphate aerosols. Phil. Trans. Roy. Soc. A 2008, 366, 4007-4037. [CrossRef]
  3. Heckendorn P., Weisenstein D., Fueglistaler S., Luo B. P., Rozanov E., Schraner M., Thomason L. W., Peter T. The impact of geoengineering aerosols on stratospheric temperature and ozone. Environ. Res. Lett. 2009, 4, 045108. [CrossRef]
  4. Rose Brian E. J. 12 radiative-convective equilibrium, 13 climate sensitivity and feedback, The Climate Laboratory 2020 https://brian-rose.github.io/ClimateLaboratoryBook/courseware/rce.html.
  5. Manabe, S.; Strickler, R.F. Thermal equilibrium of the atmosphere with a convective adjustment. J. Atmos. Sci. 1964, 21, 361–385. [Google Scholar]
  6. IPCC, “Climate change 2013: the physical science basis,” Flato G., Marotzke J., Abiodun B., Braconnot P., Chou S. C., Collins W., Cox P., Driouech F., Emori S., Eyring V., Forest C., Gleckler P., Guilyardi E., Jakob C., Kattsov V., Reason C., and Rummukainen M. Evaluation of climate models. in Contribution of Working Group I to the Fifth Assessment Report of the Intergovernmental Panel on Climate Change, eds Stocker T. F., Qin D., Plattner G.-K., Tignor M., Allen S. K., Boschung J., Nauels A., Xia Y., Bex V., and Midgley P. M., (Cambridge University Press).
  7. Manabe, S.; Wetherald, R.T. Thermal equilibrium of the atmosphere with a given distribution of relative humidity. J. Atmos. Sci. 1967, 24, 241–259. [Google Scholar]
  8. Shimazaki, T. The photochemical time constants of minor constituents and their families in the middle atmosphere. J. Atmos. Terr. Phys. 1984, 46, 173–191. [Google Scholar] [CrossRef]
  9. Ito T., Suzuki N., Ichikura M. Education on atmospheric environmental information by simulation procedure calculation for concentration distribution of ozone. Bulletin of Otsuma Women’s University sec. Social Information Studies 2003, 59, 12.
  10. NOAA PSL 2023, https://www.psl.noaa.gov/thredds/datasets/ncep.reanalysis.derived/pressure/uwnd.mon.mean.nc.
  11. NOAA PSL 2023, https://www.psl.noaa.gov/thredds/datasets/ncep.reanalysis.derived/pressure/vwnd.mon.mean.nc.
Figure 1. Altitude-temperature curve change with O3 amount (observation, standard condition, 2x O3, 2x stratospheric O3, 10x O3, 10x stratospheric O3).
Figure 1. Altitude-temperature curve change with O3 amount (observation, standard condition, 2x O3, 2x stratospheric O3, 10x O3, 10x stratospheric O3).
Preprints 101340 g001
Figure 2. Change in O3 concentration after O3 injection.
Figure 2. Change in O3 concentration after O3 injection.
Preprints 101340 g002
Figure 3. Surface temperature time course after O3 increase.
Figure 3. Surface temperature time course after O3 increase.
Preprints 101340 g003
Table 1. Surface temperature change with O3 amount.
Table 1. Surface temperature change with O3 amount.
standard 2x O3 2x str.O3 10x O3 10x str.O3
change amount(K) 288.45 K 0.87 -0.56 -0.84 -4.24
Table 2. Surface temperature change with O3 amount (10x at one point altitude level only).
Table 2. Surface temperature change with O3 amount (10x at one point altitude level only).
Preprints 101340 i001
Preprints 101340 i002
Table 3. Example of each value in Chapman model (Tokyo, 3 pm on Aug.20, zenith angle 46.7°).
Table 3. Example of each value in Chapman model (Tokyo, 3 pm on Aug.20, zenith angle 46.7°).
Altitude (km) Temperature (K) Dissociation constant(s−1) Rate constant
(cm6s−1) (cm3s−1)
Air density (cm−3) O2 density (cm−3) O3 density (cm−3)
J1 J2 k1 k2 nair nO2 nO3
30 234 2.576e-12 1.601e-4 1.019e-33 1.147e-15 2.749e17 5.759e16 3.610e12
Disclaimer/Publisher’s Note: The statements, opinions and data contained in all publications are solely those of the individual author(s) and contributor(s) and not of MDPI and/or the editor(s). MDPI and/or the editor(s) disclaim responsibility for any injury to people or property resulting from any ideas, methods, instructions or products referred to in the content.
Copyright: This open access article is published under a Creative Commons CC BY 4.0 license, which permit the free download, distribution, and reuse, provided that the author and preprint are cited in any reuse.
Prerpints.org logo

Preprints.org is a free preprint server supported by MDPI in Basel, Switzerland.

Subscribe

Disclaimer

Terms of Use

Privacy Policy

Privacy Settings

© 2026 MDPI (Basel, Switzerland) unless otherwise stated