Submitted:
22 February 2024
Posted:
22 February 2024
You are already at the latest version
Abstract
Keywords:
1. Introduction
2. Thermal fluctuations emitted by Maxwellian core electrons in the background of solar wind turbulence
3. Formation of Kappa electron distribution by Langmuir turbulence
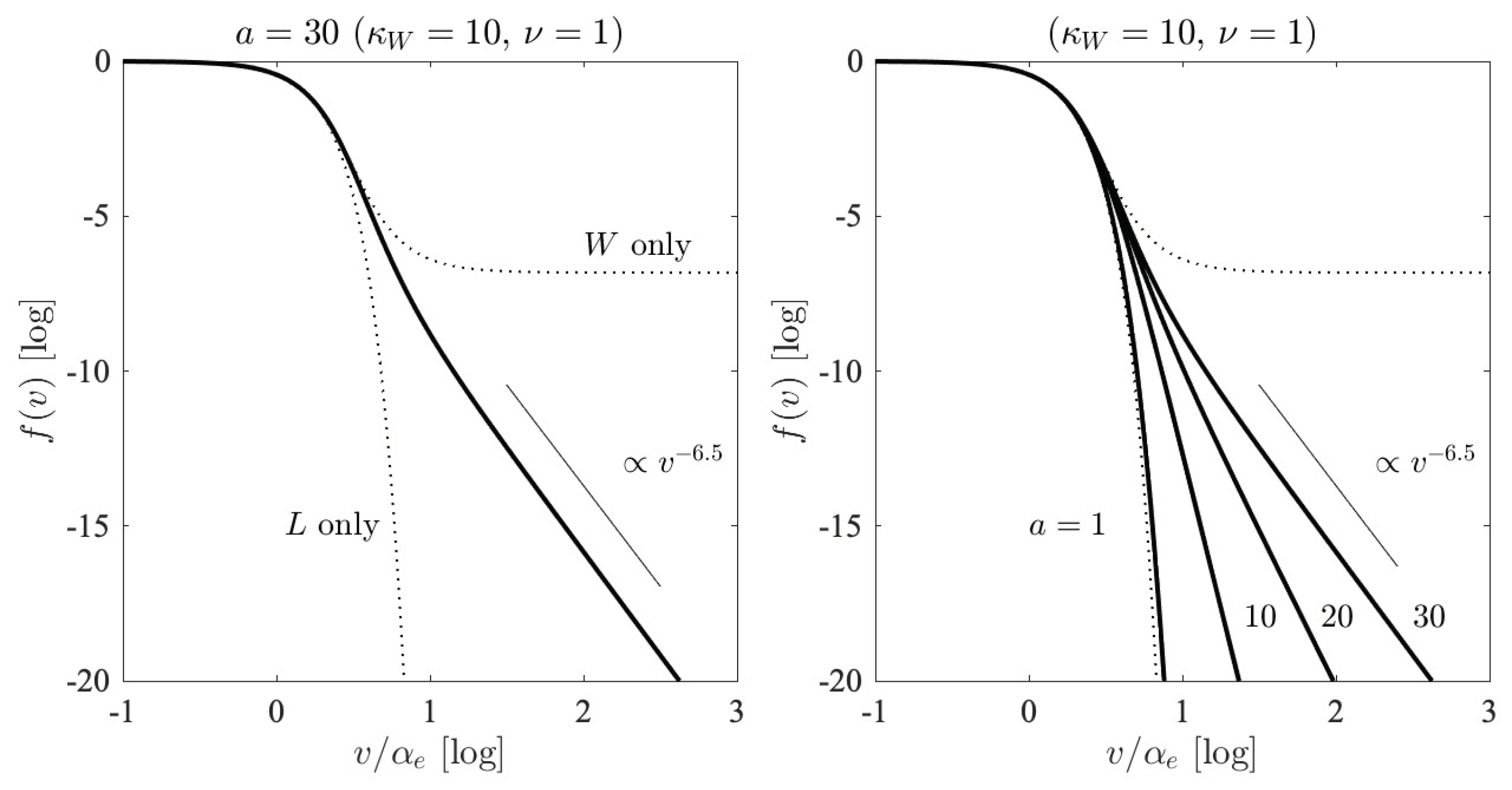
4. Formation of non-thermal electron distribution by combined background turbulence and thermal fluctuations
5. Summary
Funding
Conflicts of Interest
References
- Feldman, W.C.; Asbridge, J.R.; Bame, S.J.; Montgomery, M.D.; Gary, S.P. Solar wind electrons. J. Geophys. Res. 1975, 80, 4181. [Google Scholar] [CrossRef]
- Gosling, J.T.; Asbridge, J.R.; Bame, S.J.; Feldman, W.C.; Zwickl, R.D.; Paschmann, G.; Sckopke, N.; Hynds, R.J. Interplanetary ions during an energetic storm particle event: The distribution function from solar wind thermal energies to 1.6 MeV. J. Geophys. Res. 1981, 86, 547. [Google Scholar] [CrossRef]
- Armstrong, T.P.; Paonessa, M.T.; Krimigis, E.V.B.I.I.S.M. Voyager observations of Saturnian ion and electron phase space densities. J. Geophys. Res. 1983, 88, 8893. [Google Scholar] [CrossRef]
- Halekas, J.S.; Whittlesey, P.; Larson, D.E.; McGinnis, D.; Maksimovic, M.; Berthomier, M.; Kasper, J.C.; Case, A.W.; Korreck, K.E.; Stevens, M.L.; Klein, K.G.; Bale, S.D.; MacDowall, R.J.; Pulua, M.P.; Malaspina, D.M.; Goetz, K.; Harvey, P.R. Electrons in the young solar wind: First results from the Parker Solar Probe. Astrophys. J. Suppl. Ser. 2020, 246, 22. [Google Scholar] [CrossRef]
- Berčič, L.; Larson, D.; Whittlesey, P.; Maksimović, M.; Badman, S.T.; Landi, S.; Matteini, L.; Bale, S.D.; Bonnell, J.W.; Case, A.W.; de Wit, T.D.; Goetz, K.; Harvey, P.R.; Kasper, J.S.; Korreck, K.E.; Livi, R.; MaxDowall, R.J.; Malaspina, D.M.; Pulupa, M.; Stevens, M.L. Coronal electron temperature inferred from the strahl electrons in the inner heliosphere: Parker Solar Probe and Helios observations. Astrophys. J. 2020, 892, 88. [Google Scholar] [CrossRef]
- Berčič, L.; Verscharen, D.; Owen, C.J.; Colomban, L.; Kretzschmar, M.; Chust, T.; Maksimovic, M.; Kataria, D.O.; Anekallu, C.; Behar, E.; Berthomier, M.; Bruno, R.; Fortunato, V.; Kelly, C.W.; Khotyaintsev, Y.V.; Lewis, G.R.; Livi, S.; Louarn, P.; Mele, G.; Nicolau, G.; Watson, G.; Wicks, R.T. Whistler instability driven by the sunward electron deficit in the solar wind: High-cadence Solar Orbiter observations. Astronomy Astrophysics 2021, 656, A31. [Google Scholar] [CrossRef]
- Olbert, S. Summary of experimental results from M.I.T. detector on IMP-1. In Physics of the Magnetosphere; Carovillano, R.L., McClay, J.F., Radoski, H.R., Eds.; Springer: New York, NY, USA, 1968; pp. 641–659. [Google Scholar]
- Binsack, J.H. Plasma Studies with the IMP-2 Satellite. Ph.D. Thesis, Massachusetts Institute of Technology, Cambridge, MA, USA, 1966. [Google Scholar]
- Vasyliunas, V.M. A survey of low-energy electrons in the evening sector of the magnetosphere with OGO1 and OGO 3. J. Geophys. Res. 1968, 73, 2839. [Google Scholar] [CrossRef]
- Livadiotis, G. Kappa Distributions; Elsevier: Amsterdam, The Netherlands, 2017. [Google Scholar]
- Salem, C.S.; Pulupa, M.; Bale, S.D.; Verscharen, D. Precision electron measurements in the solar wind at 1 au from NASA’s Wind spacecraft. Astronomy Astrophysics 2023, 675, A162. [Google Scholar] [CrossRef]
- Boltzmann, L. Weitere studien über das Wärmegleichgewicht unter gas molekülen (Further studies on thermal equilibrium between gas molecules). Wien, Ber. 1872, 66, 275. [Google Scholar]
- Boltzmann, L. Über die Beziehung eines allgemeine mechanischen Satzes zum zweiten Haupsatze der Warmetheorie, Sitzungsberichte, K. Akademie der Wissenschaften in Wien, Math.-Naturwissenschaften 75, 67 (1877); English translation (On the relation of a general mechanical theorem to the second law of thermodynamics) in S. Brush, Kinetic Theory, vol. 2, Irreversible Processes, 188 (Pergamon Press, Oxford, 1966).
- Gibbs, J.W. Elementary Principles in Statistical Mechanics – Developed with Especial Reference to the Rational Foundation of Thermodynamics (C. Scribner’s Sons, New York, 1902; Yale University Press, New Haven, 1948; OX Bow Press, Woodbridge, Connecticut, 1981).
- Boltzmann, L. Vorlesungen über Gatheorie (Leipzig, 1896) [Lectures on Gas Theory, transl. S. Brush (Univ. California Press, Berkeley, 1964), Part II, Chapter I, Paragraph 1, page 217.
- Einstein, A. Theorie der opaleszenz von homogenen Flüssigkeiten und Flüssigkeitsgemischen in der Nähe des kritischen Zustandes. Ann. Physik 1910, 33, 1275. [Google Scholar] [CrossRef]
- Fermi, E. Thermodynamics; Dover: New York, NY, USA, 1936; p. 53. [Google Scholar]
- Tsallis, C. Introduction to Nonextensive Statistical Mechanics; Springer: New York, NY, USA, 2009. [Google Scholar]
- Tsallis, C. Possible generalization of Boltzmann-Gibbs statistics. J. Stat. Phys. 1988, 1988 52, 479. [Google Scholar] [CrossRef]
- Lazar, M.; Fichtner, H. (Eds.) Kappa Distributions; Springer: New York, NY, USA, 2021. [Google Scholar]
- Livadiotis, G. Kappa and q indices: Dependence on the degrees of freedom. Entropy 2015, 17, 2062. [Google Scholar] [CrossRef]
- Leubner, M.P. Fundamental issues on kappa-distributions in space plasmas and interplanetary proton distributions. Phys. Plasmas 2004, 11, 1308. [Google Scholar] [CrossRef]
- Livadiotis, G.; McComas, D.J. Beyond kappa distributions: Exploiting Tsallis statistical mechanics in space plasmas. J. Geophys. Res. 2009, 2009 114, A11105. [Google Scholar] [CrossRef]
- Livadiotis, G. On the simplification of statistical mechanics for space plasmas. Entropy 2017, 19, 285. [Google Scholar] [CrossRef]
- Yoon, P.H.; Rhee, T.; Ryu, C.-M. Self-consistent generation of superthermal electrons by beam-plasma interaction. Phys. Rev. Lett. 2005, 2005 95, 215003. [Google Scholar] [CrossRef]
- Ryu, C.-M.; Rhee, T.; Umeda, T.; Yoon, P.H.; Omura, Y. Turbulent acceleration of superthermal electrons. Phys. Plasmas 2007, 14, 100701. [Google Scholar] [CrossRef]
- Yoon, P.H. Electron kappa distribution and quasi-thermal noise. J. Geophys. Res. 2014, 119, 70774. [Google Scholar] [CrossRef]
- Yoon, P.H.; Lazar, M.; Scherer, K.; Fichtner, H.; Schlickeiser, R. Modified κ-distribution of solar wind electrons and strady-state Langmuir turbulence. Astrophys. J. 2018, 868, 131. [Google Scholar] [CrossRef]
- Wang, L.; Lin, R.; Salem, C.; Pulupa, M.; Larson, D.E.; Yoon, P.H.; Luhmann, J.G. Quiet-time interplanetary ∼ 2-20 keV superhalo electrons at solar minimum. The Astrophysical Journal Letters 2012, 753, L23. [Google Scholar] [CrossRef]
- Maksimovic, M.; Hoang, S.; Meyer-Vernet, N.; Moncuquet, M.; Bougeret, J.-L. Solar wind electron parameters from quasi-thermal noise spectroscopy and comparison with other measurements on Ulysses. J. Geophys. Res. 1995, 199, 19881. [Google Scholar] [CrossRef]
- Lin, R.P. WIND observations of suprathermal electrons in the interplanetary medium. Space Sci. Rev. 1998, 86, 61. [Google Scholar] [CrossRef]
- Tong, Y.; Vasko, I.Y.; Pulupa, M.; Mozer, F.S.; Bale, S.D.; Artemyev, A.V.; Krasnoselskikh, V. Whistler wave generation by halo electrons in the solar wind. Astrophys. J. Lett. 2019, 870, L6. [Google Scholar] [CrossRef]
- Tong, Y.; Vasko, I.Y.; Artemyev, A.V.; Bale, S.D.; Mozer, F.S. Statistical study of whistler waves in the solar wind at 1 au. Astrophys. J. 2019, 878, 41. [Google Scholar] [CrossRef]
- Cattell, C.; Breneman, A.; Dombeck, J.; Short, B.; Wygant, J.; Halekas, J.; Case, T.; Kasper, J.C.; Larson, D.; Stevens, M.; Whittlesey, P.; Bale, S.D.; de Wit, T.D.; Goodrich, K.; MacDowall, R.; Moncuquet, M.; Malaspina, D.; Pulupa, M. Parker Solar Probe evidence for scattering of electrons in the young solar wind by narrowband whistler-mode waves. Astrophys. J. Lett. 2021, 911, L29. [Google Scholar] [CrossRef]
- Kretzschmar, M.; Chust, T.; Krasnoselskikh, V.; Graham, D.; Colomban, L.; Maksimovic, M.; Khotyaintsev, Y.V.; Soucek, J.; Steinvall, K.; Santolík, O.; et al. Whistler waves observed by Solar Orbiter/RPW between 0.5 AU and 1 AU. Astronomy Astrophysics 2021, 656, A24. [Google Scholar] [CrossRef]
- Sitenko, A.G. Electromagnetic Fluctuations in Plasma; Academic Press: New York, NY, USA, 1967. [Google Scholar]
- Sitenko, A.G. Fluctuations and Nonlinear Wave Interactions in Plasmas; Pergamon: New York, NY, USA, 1982. [Google Scholar]
- Meyer-Vernet, N. On natural noises detected by antennas in plasmas. J. Geophys. Res. 1979, 84, 5373. [Google Scholar] [CrossRef]
- Kim, S.; PYoon, H.; Choe, G.S. Spontaneous emission of electromagnetic and electrostatic fluctuations in magnetized plasmas: Quasi-parallel modes. Phys. Plasmas 2016, 23, 022111. [Google Scholar] [CrossRef]
- Gaelzer, R.; Yoon, P.H.; Kim, S.; Ziebell, L.F. On the dimensionally correct kinetic theory of turbulence for parallel propagation. Phys. Plasmas 2015, 22, 032310. [Google Scholar] [CrossRef]
- Astudillo, H.F. High-order modes of left-handed electromagnetic waves in a solar-wind-line plasma. J. Geophys. Res. 1996, 101, 24433. [Google Scholar] [CrossRef]
- Valdivia, J.A.; Toledo, B.A.; Gallo, N.; Muñoz, V.; Rogan, J.; Stepanova, M.; Moya, P.S.; Navarro, R.E.; Viñas, A. F.; Araneda, J.; López, R. A.; Díaz, M. Magnetic fluctuations in anisotropic space plasmas: The effect of the plasma environment. Adv. Space Res. 2016, 58, 2126. [Google Scholar] [CrossRef]
- López, R.A.; Yoon, P.H. Simulation of electromagnetic fluctuations in thermal magnetized plasma. Plasma Phys. Control Fusion 2017, 59, 115003. [Google Scholar] [CrossRef]
- Vasquez, B.J.; Markovskii, S.A. Velocity power spectra from cross-field turbulence in the proton kinetic regime. Astrophys. J. 2012, 747, 19. [Google Scholar] [CrossRef]
- Vasquez, B.J.; Markovskii, S.A.; Chandran, B.D.G. Three-dimensional hybrid simulation study of anisotropic turbulence in the proton kinetic regime. Astrophys. J. 2014, 788, 178. [Google Scholar] [CrossRef]
- Franci, L.; Landi, S.; Matteini, L.; Verdini, A.; Hellinger, P. High-resolution hybrid simulations of kinetic plasma turbulence at proton scales. Astrophys. J. 2015, 812, 21. [Google Scholar] [CrossRef]
- Markovskii, S.A.; Vasquez, B.J. Four-dimensional frequency-wavenumber power spectrum of a strong turbulence obtained from hybrid kinetic simulations. Astrophys. J. 2020, 903, 80. [Google Scholar] [CrossRef]
- Bruno, R.; Carbone, V. Turbulence in the Solar Wind; Springer: Heidelberg, Germany, 2016. [Google Scholar]
- von Kármán, T. Progress in the statistical theory of turbulence. Proc. Nat. Acad. Sci. USA 1948, 34, 530. [Google Scholar] [CrossRef]
- Taylor, G.I. The spectrum of turbulence. Proc. R. Soc. Lond. 1938, 164, 476. [Google Scholar] [CrossRef]
- Salem, C.S.; Howes, G.G.; Sundkvist, D.; Bale, S.D.; Chaston, C.C.; Chen, C.H.K.; Mozer, F.S. Identification of kinetic Alfvén wave turbulence in the solar wind. Astrophys. J. Lett. 2012, 745, L9. [Google Scholar] [CrossRef]
- Yoon, P. H. Classical Kinetic Theory of Weakly Turbulent Nonlinear Plasma Processes; Cambridge University Press: Cambridge, UK, 2019. [Google Scholar]
- Sahraoui, F.; Goldstein, M.L.; Robert, P.; Khotyaintsev, Y.V. Evidence of a cascade and dissipation of solar-wind turbulence at the electron gyroscale. Phys. Rev. Lett. 2009, 102, 231102. [Google Scholar] [CrossRef]
- Chen, C.H.K. Recent progress in astrophysical plasma turbulence from solar wind observations. J. Plasma Phys. 2016, 82, 535820602. [Google Scholar] [CrossRef]
- Zhao, L.-L.; Zank, G.P.; Adhikari, L.; Nakanotani, M.; Telloni, D.; Carbone, F. Spectral features in field-aligned solar wind turbulence from Parker Solar Probe observations. Astrophys. J. 2020, 898, 113. [Google Scholar] [CrossRef]
- Zank, G.P.; Zhao, L.-L.; Adhikari, L.; Telloni, D.; Kasper, J.C.; Bale, S.D. Turbulence transport in the solar corona: Theory, modeling, and Parker Solar Probe. Phys. Plasmas 2021, 28, 080501. [Google Scholar] [CrossRef]
- Zhao, L.-L.; Zank, G.P.; Telloni, D.; Stevens, M.; Kasper, J.C.; Bale, S.D. The turbulent properties of the sub-Alfvénic solar wind measured by the Parker Solar Probe. Astrophys. J. Lett. 2022, 928, L15. [Google Scholar] [CrossRef]
- Markovskii, S.A.; Vasquez, B.J. Observational analysis and numerical modeling of the solar wind fluctuation spectra during intervals of plasma instability. Astrophys. J. 2022, 941, 72. [Google Scholar] [CrossRef]
- Kim, S.; Yoon, P.H.; Choe, G.S.; Wang, L. Asymptotic theory of solar wind electrons. Astrophys. J. 2015, 806, 32. [Google Scholar] [CrossRef]
- Treumann, R.A.; Jaroschek, C.H.; Scholer, M. Stationary plasma states far from equilibrium. Phys. Plasmas 2004, 11, 1317. [Google Scholar] [CrossRef]






Disclaimer/Publisher’s Note: The statements, opinions and data contained in all publications are solely those of the individual author(s) and contributor(s) and not of MDPI and/or the editor(s). MDPI and/or the editor(s) disclaim responsibility for any injury to people or property resulting from any ideas, methods, instructions or products referred to in the content. |
© 2024 by the authors. Licensee MDPI, Basel, Switzerland. This article is an open access article distributed under the terms and conditions of the Creative Commons Attribution (CC BY) license (http://creativecommons.org/licenses/by/4.0/).