Preprint
Article

This version is not peer-reviewed.

Is Biomethane Production from Common Reed Biomass Influenced by Treatment Wetland Hydraulic Parameters?

A peer-reviewed article of this preprint also exists.

Submitted:

14 February 2024

Posted:

14 February 2024

You are already at the latest version

Abstract
Treatment wetlands (TWs) are Nature-Based Solutions increasingly used worldwide for wastewater (WW) treatment able to remove mineral and organic pollutants through both physical and biochemical process. Besides the reusable effluent, the TWs produce as main output plant biomass that need to be harvested and disposed at least once a year with significant management costs and TW temporary out of service. This study aims (i) to evaluate the potential of TWs biomass for local energy production and (ii) to understand TW hydraulic conductivity (Ks) effects on the biomass biomethane yield. Specifically, it was addressed by determining the Biochemical Methane Potential of common reed (CR) (Phragmites australis) samples collected at three harvest times from the 10-years-old horizontal subsurface treatment wetland (HSTW) used as a secondary WW treatment system for the IKEA® store located in Catania (Eastern Sicily, Italy). Furthermore, the falling head test was conducted to assess the hydraulic conductivity (Ks) variation in the HSTW, in order to understand the influence on the CR biomethane production. Average methane content values were 130.57 Nm3CH4/tVS (±24.29), 212.70 Nm3CH4/tVS (±50.62) and 72.83 Nm3CH4/tVS (±23.19) in August, September, October 2022, respectively. Ks was correlated with both dry matter (R2 = 0.58) and fiber content (R2 = 0.74) and, consequently, affected the biomethane yield that increased at the Ks increases (R2 = 0.30 in August, R2 = 0.57 in September). In the framework of a circular economy, results showed the successfully possibility of integrating the bioenergy production into TWs. The research could contribute (i) to encourage plant operators to reuse biomass from TWs for local energy production and (ii) to help plant operators to understand Ks effects on the biomass biomethane yield, in order to increase the sustainability of the system and to reduce the maintenance costs.
Keywords: 
;  ;  ;  ;  

1. Introduction

Treatment wetlands (TWs) are Nature-Based Solutions increasingly used worldwide for wastewater (WW) treatment capable to remove mineral and organic pollutants through both physical and biochemical process, replicating and enhancing natural wetlands behavior (Barbera et al., 2014; Maucieri et al., 2017; Vymazal, 2013b). Several studies demonstrated that TWs to treat WW are adopted for more than 30 years to assure water sustainability, to promote its efficient utilization and to reduce the competition for water resource in agriculture since they are low costs, environmental friendly and sustainable systems compared to traditional technologies (Avellan et al., 2017; Barbagallo et al., 2013; Cirelli et al., 2007; Licata et al., 2019; Licciardello et al., 2018; Meng et al., 2014; Ventura et al., 2019). Despite TWs systems need more physical space than traditional solutions, however require far less energy to treat WW and have the potential to produce a sustainable bioenergy. Besides the reusable effluent, TWs produce as main output plant biomass that need to be harvested and disposed at least once a year with significant management costs and TW temporary out of service (Licata et al., 2019). As reported by Avellan et al. (2017) TWs can be the cornerstone in the integrated management of water, nutrient and energy cycles contributing to the achievement of the Sustainable Development Goals (SDGs), established by the United Nation Conference on Sustainable Development (Rio +20, 2012) as regard SDG Goal 6 (Ensure access to water and sanitation for all) and SDG Goal 7 (Affordable and clean energy).
Various studies have focused on the plant types for WW treatment and their efficiency at pollutant removal, evaluating also the effects of biomass harvesting on TW performance (Avellan et al., 2017; Vymazal, 2013a; Zhang et al., 2014). However, a concept that has not been extensively studied in previous researches is the potential for TWs biomass to purify WW acting, at the same time, as a source of bioenergy.
In this framework, common reed (CR) (Phragmites australis (Cav.) Trin ex. Steud.) is one of the most commonly used wetland plants worldwide with a higher suitability for energy production (Liu et al., 2012). Köbbing et al. (2013) have reviewed different opportunities of CR utilization as one of the highly productive grass finding an aboveground biomass production of up to 30 t dry matter (DM) ha-1 y-1. In recent times, Geurts et al. (2020) discussed about the nutrient uptake potential and biomass production by Phragmites australis and Typha latifolia and claimed that CR produce an aboveground biomass yield of 13.8 ± 7.1 t DM ha-1 y-1. According to several studies, considering CR potential in the renewable resource market, because it is a non-food crop with a high biomass yield, and the gradually interest in small scale biogas technology CR biomass could be a useful source of energy to support TWs management costs (Avellan et al., 2017; Köbbing et al., 2013; Licata et al., 2019). Biogas production is strictly related to biomass characteristics, which particular depends on plants growth and cultivation conditions, and on their phenological stage (Dandikas et al., 2015; Kandel et al., 2013; Ragaglini et al., 2014). Studies carried out by Dragoni et al. (2015) focused on the harvest time as the aspect that most influences the biochemical methane potential (BMP). Vegetation in TWs play a key role contributing to remove and retain pollutants, and to stimulate microbial activities providing a suitable habitat (Licata et al., 2019; Yang et al., 2016). Therefore, biomass harvesting in TW systems need to optimize both pollutant removal and plant growth. Literature agrees that plants in TWs can be harvested in summer, autumn or winter and the chosen period can affect differently TWs performance in terms of pollutants and nutrients amount removed and transferred to ground biomass. However, what is the best time to harvest TWs biomass is still unclear. According to Wang et al. (2015) aboveground biomass harvesting in autumn has a negative effect on pollutant removal and decrease the oxygen release rate in TW, unlike harvesting in winter allow to maintain the permanent nutrients removal. Studies carried out by Yang et al. (2016) suggested summer as the better harvest time in order to enhance pollutant removal.
Another important aspect is the variation of plants morphological and chemical characteristics and their growing phases in relation to TW hydraulics. As well known, a complex and unavoidable phenomenon that can affect TWs during their operational period is substrate clogging causing the alteration to their hydraulic characteristics with a reduction of the hydraulic conductivity, when porous media are saturated, and of their lifetime (Al-Isawi et al., 2015; P. Knowles et al., 2011; Licciardello et al., 2018; Licciardello et al., 2020; Sacco et al., 2021). Clogging impacts on TWs treatment performance are not yet clear and is a long debated issue among the scientific community (de Matos et al., 2018; Marzo et al., 2018; Vymazal, 2018). In particular, Ks measurements are traditionally carried out as a useful indicator of clogging in TWs and can be obtained using different approaches (i) by measuring hydraulic gradients between specified points through Darcy’s Law (Sanford et al., 1995; Suliman et al., 2006), (ii) by applying falling- and constant-head methods (Garcia-Artigas et al., 2020; A. Pedescoll et al., 2009). A lack of knowledge still remains to what extend hydraulic parameters variation can affect the vegetation developments in TWs.
In this context, the general aim of this study was (i) to evaluate the potential of TWs biomass for local energy production in order to enhance environmental services of the system, (ii) to understand TW hydraulic characteristics effects on the biomass biomethane yield. Specifically, it was addressed by determining the BMP of CR samples collected at different distances from the horizontal subsurface treatment wetland (HSTW) inlet and at different harvest time, since plant bio-agronomic characteristics vary noticeably along the growing season and the position in the bed.

2. Materials and Methods

2.1. Study Area

This study was carried out in a 10-years-old HSTW used, in combination with two vertical beds (V1 and V2), as a secondary WW treatment system for the IKEA® store located in Catania (Eastern Sicily, South Italy, 37°26' N; 15°01' E) in the Mediterranean basin (Figure 1). The three beds are connected in-series with the HSTW as first stage, that reduces organic matter and suspended solids (SS) concentrations, followed by the two vertical subsurface TWs, which contribute to further reduction of organic matter and SS, and allow for the nitrification of ammonia to nitrate. The hybrid-TW was added in 2014 as a support for the primary sequential batch reactor (SBR) system, which has proved inadequate due to the pronounced fluctuations of hydraulic and organic load influent. The system was designed to treat mixed WW receiving 30 m3 of daily effluent from SBR and 15-20 m3 of daily effluent from the screening unit, that bypass SBR when the WW amount exceeds SBR design flow rate. The HSTW bed has a surface of about 400 m2 (12 x 34 m), is 0.60 m deep on average, filled with volcanic gravel (8-12 mm) and planted with Phragmites australis at a density of 4 plants m-2.
CR samples were collected within the HSTW in August (H1), September (H2) and October (H3) 2022 in 9 points equally distributed along 3 transects (Ts) established at 8.5 m (T1), at 17.0 m (T2) and at 25.5 (T3) m from the inlet, where the biomass harvested in September and October is the regrowth of summer cut. To determine the BMP a subsample was prepared for each T by bulking the harvested biomass of the corresponding sample points (BT1, BT2, BT3) (Figure 2).

2.2. Common Reed Biomass Composition

Phragmites australis (Cav.) Trin ex. Steud. (common reed) is a perennial grass that belongs to the Poaceae family with a wide distribution from cold temperate regions to tropics. Thanks to its high capacity to retain various nutrients, heavy metal and micro pollutants CR is one of the most used emergent macrophytes of the world’s wetlands. However, CR in spite of the high aboveground dry matter yield has been less studied for several bioenergy supply compared to other energy crops. To define the CR composition, fresh biomass, culms and nodes numbers, and plant heights were measured at the chosen harvest times. Subsequently, samples for chemical analysis were prepared by milling in an EFCO electric shredder. In particular, the DM content was determined by oven drying at 65 °C until a constant weight to quantify the dry weight per culm (g DM per culm); the volatile solid (VS) and the ash contents were determined according to the UNI EN 12879:2002 standard procedure by igniting fresh biomass samples at 550 °C in a muffle furnace. Hemicellulose, cellulose and lignin contents were estimated by the determination of Neutral Detergent Fiber (NDF), Acid Detergent Fiber (ADF) and Acid Detergent Lignin (ADL) through the Infrared Fiber Spectrometer. A subsample for BMP determination was prepared by bulking the harvested biomass samples and then storing them at -20 °C according to the UNI/TS 11703:2018 international standard.

2.3. Biochemical Methane Potential (BMP) Assay

The BMP is the most important parameter for evaluating methane yields of analysed matrices degraded under anaerobic conditions. In this study, the BMP was determined according to the UNI/TS 11703:2018 standard procedure, which defines a method for the assessing methane potential production from wet anaerobic digestion, as described below. The anaerobic digestion process was carried out in 2 L batch reactors, and assays were performed in duplicate (D2 and D3 reactors) for BT1, BT2, BT3 harvested in August, September and October 2022 for a total of 9 tests. The amount of substrate to be added was defined based on the ratio between the VS of the inoculum and that of the substrate, and it was equal to 2:1. To measure the non-specific methane production associated with the inoculum (D1 reactor), a blank experiment was performed at the same volume but with the substrate replaced with demineralized water. Then, the reactors were sealed, placed in a thermostat cabinet, flushed with inert gas lacking O2, and incubated at 37±1 °C until the biogas production became negligible (approximately 30 days). During the BMP test the biogas pressure in each reactor was continually measured by pressure piezo-resistive transducers.
The total BMP value (expressed in Nm3 CH4/tVS) was calculated as the mean of the BMP values of each test reactor (D2 and D3):
B M P =   1 n B M P i n
The quality of the biogas was monitored in terms of the methane, carbon dioxide, and hydrogen sulfide contents using a portable biogas analyser (Optima7 Biogas). For more details on the BMP determination procedure, see Sciuto et al. (2023).

2.4. Ks Measurements

The falling head method was applied to determine Ks values in the HSTW bed in September 2022. In particular, four falling head infiltration tests were performed around each of the 9 piezometers located in the bed for a total of 36 measurements at variable distances from the inlet (Figure 3). In particular, given that the clogging process in the HSTW the pervious (P) permeameter allowed to evaluate both vertical and horizontal Ks by using Eq. (2) as in Naval (1986). The P permeameter and the corresponding equations adapted from (Pedescoll et al., 2011) was used since April 2018 after the calibration of the equation (Licciardello et al., 2019).
K s = 2 π R m o d + 11 L m o d 11 ( t 2 t 1 ) l n ( H 1 H 2 )  
where R m o d   and L m o d are the radius (m) and the submerged length (m), respectively; and H 1 and H 2 are the water levels (m) in the permeameter cell corresponding to time t 1 and t 2 (s), respectively.
The permeameter was placed in a small hole dug in the HSTW medium until the water table was reached. Then, it was filled with water in a single-pulse mode as required by using a plastic water reservoir (6.6 L volume) with measurement units assembled together with a ball valve. A pressure probe (STS - Sensor Technik Sirnach, AG) connected to a laptop by means of a CR200-R (Campbell Scientific) data logger was introduced inside the permeameters to measure the pressure variation of water levels (H) within the measurement unit until the H reached the HSTW water table. Four water level data per second were recorded for a duration of 30 s. The best fit between simulated and measured water levels was obtained by summing and minimising the squared differences between the theoretical curve and that got in the field that is the following (Eq. 3):
t = 0 n = ( H o b s ( t ) H s i m ( t ) ) 2
where H o b s is the height of the water table level measured inside the permeameter at time t during the test (m); H s i m is the corresponding modelled data calculated by the equations 2. For further details on device design, dimension, and construction of the experimental setup, see on Licciardello et al. (2020). Finally, a spatial interpolation technique performed in a Geographic Information System (GIS) environment was used to assess the spatial and temporal variation of the Ks (m day−1) values inside the HSTW. In detail, the inverse distance weighting (IDW) approach was applied to estimate the attribute values of an unsampled point computed as the weighted average of known values within the neighbourhood assuming that the weights are inversely related to the distance between each other. This method allowed to assign an areal significance to Ks measures recorded as point values. To perform the interpolation, for one or both piezometer the average of Ks values measured four times around each of the 9 piezometer was used. Final result was a raster image showing the Ks values variation within the HSTW.

2.5. Data Analysis

Statistical analyses were performed using Statistix 9 software. The biomass productivity, morphological and chemical traits, and methane yield of CR, as well as the Ks values were compared within the HSTW transects and among the different harvests via one-way analysis of variance (ANOVA) to check the statistical significance. When significant differences (P<0.05) were identified, a post hoc comparison was performed using Tukey’s honest significant difference (HSD) test at P<0.05. A linear regression model was applied to identify the relationships among biomass characteristics, biogas yield, BMP production and hydraulic conductivity variation in the HSTW. Specifically, the coefficient of determination (R2) was calculated and its significance was determined based on P<0.05.

3. Results

3.1. Common Reed Biomass Characteristics Variation at Different Harvest Times

The main morphological and chemical characteristics of CR harvested within the HSTW in H1, H2 and H3 were reported in Table 1.
As was expected, statistically significant differences (P < 0.05) were observed for plant height, culms number and DM content among the harvest times considering that H2 and H3 are the regrowth of the biomass harvested in summer (H1). In detail, the average plant height varied between 2.50 m ± 0.05 in H1 and 0.87 m ± 0.30 in H3 and the culms number surface increased during the three harvest time from a minimum of 19 ± 5 in H1 to a maximum of 67 ± 26 in H3 (Figure 4A – 4B). The DM content results showed a significantly difference (P < 0.05) among the different cuts decreasing from H1 to H2 and H3 with plant age. In particular, the DM content ranged from a maximum of 45.08% ± 0.92 in H1 to a minimum of 22.62% ± 0.08 in H2 due to young plant tissues presence in September and October (Figure 4C). Also, the culms dry weight significantly decreased (P < 0.05) from H1 to H3 with plant age from older to newly formed plant tissue ranging from a maximum of 39.11 g DM ± 8.28 to a minimum of 3.34 g DM ± 1.10 (Figure 4D).
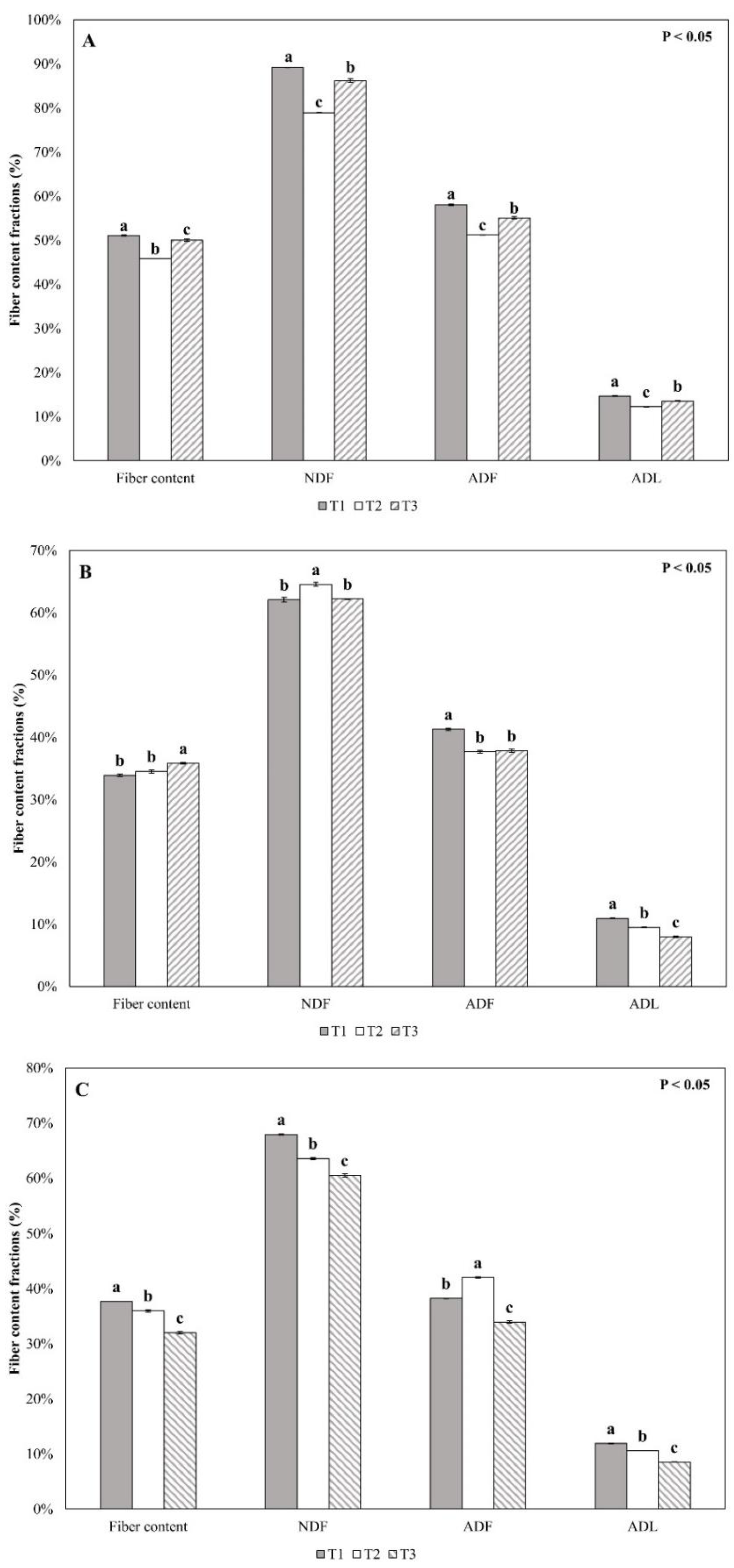
The fiber content analysis showed that significant differences (P < 0.05) occurred in the NDF, ADF and ADL content (Figure 5A-5D) among the different harvest times, with higher values in the summer cut (H1) (84.75% ± 5.28, 54.76% ± 3.41, 13.48% ± 1.22, respectively) than autumn cut (H3) (63.98% ± 3.73, 38.04% ± 4.04, 10.32% ± 1.71, respectively) decreasing at the plant age decreased. There were non-significant differences in fiber fractions content in between H2 and H3 both characterized by young tissue regrown after summer cutting. It is interesting to note that the NDF, ADF and ADL fiber fractions content significantly differed (P < 0.05) also among the HSTW transects for each harvest time with a heterogeneous trend showing the higher values in T1 than in T2 and T3, especially in H1 in which plant tissues were more mature (Figure 6A). Fiber fractions content trend in H2 and H3 between the HSTW transects, instead, was slightly different due to plants juvenile stage (Figure 6B-6C).

3.2. Common Reed Methane Potential Production

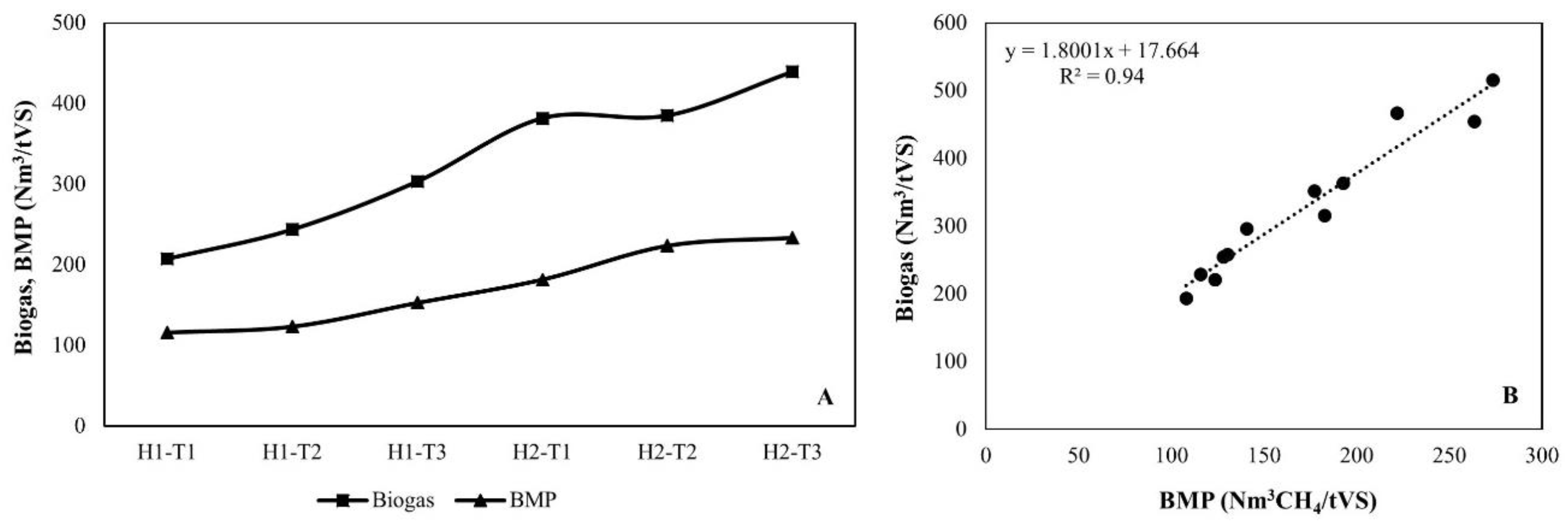
The results obtained from the laboratory test performed on CR samples showed similar trend between biogas and BMP production in H1 and H2 with the highest BMP value reached in September (H2) for T3 (Figure 7A). Furthermore, the linear regression analysis performed in our study showed a significant correlation (R2 = 0.94) between the observed biogas and BMP production (Figure 7B).
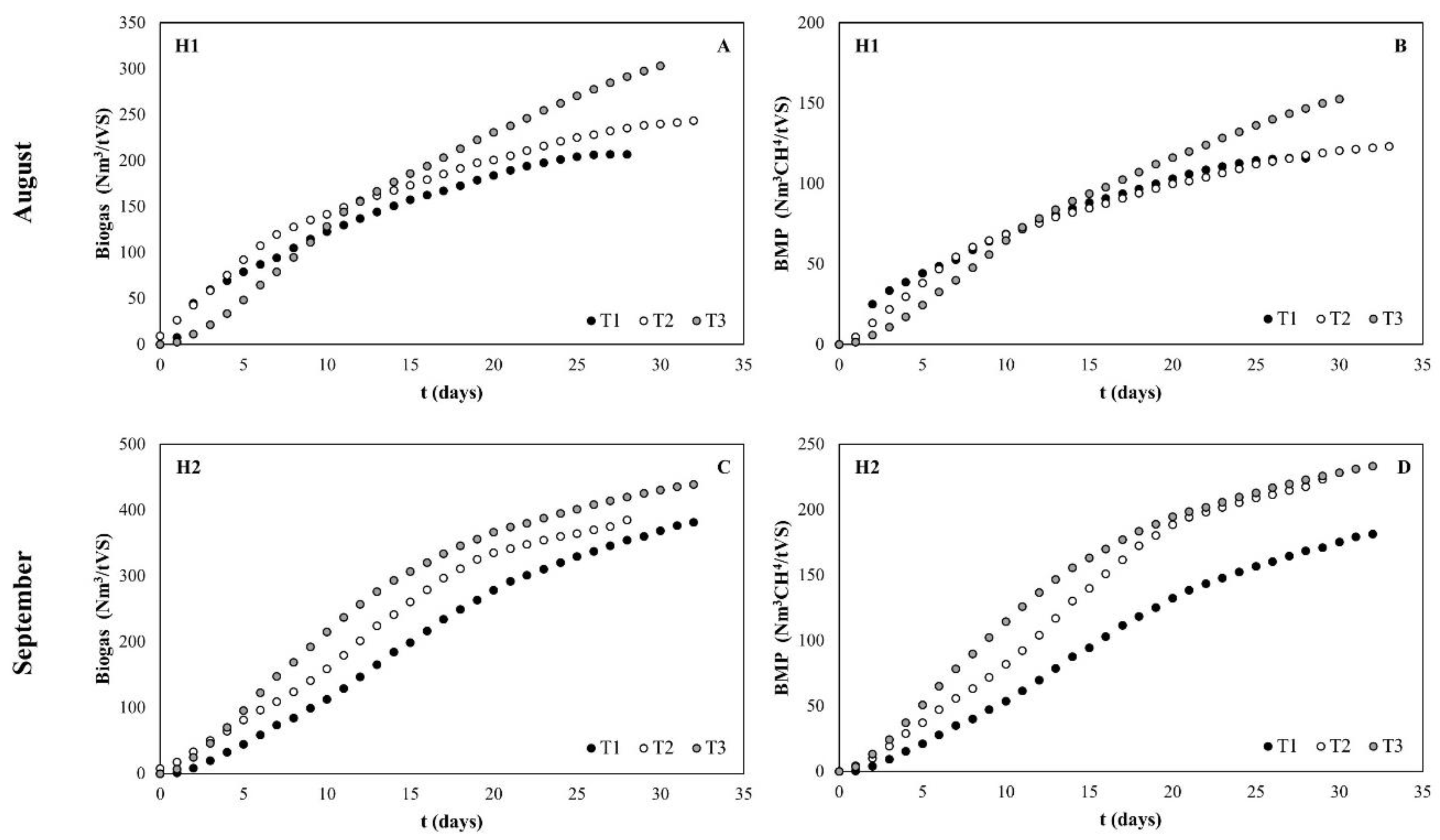
Table 2 summarize the results obtained from the BMP assays and the gas quality analysis performed at lab scale. In particular, considering the two replicates (D2 and D3 reactors) the biogas production in H1 was on average 251.16 Nm3/tVS ± 54.7, with a methane content of about 130.57 Nm3CH4/tVS ± 24.29 (Figure 8A-8B). For the H2 both the biogas production and the total amount of methane were higher than that of H1 with a mean values of 402.08 Nm3/tVS ± 89.38 and 212.70 Nm3CH4/tVS ± 50.62, respectively (Figure 8C-8D). Finally, the results from the gas quality analysis performed at the end of the BMP test showed for the summer cut (H1) an average contents of methane of 52.32% ± 3.18, CO2 of 16.88% ± 4.51 and H2S of 20.5 ppm ± 14.26. The H2 harvest revealed a similar trend to that of H1 showing a slightly higher methane content, with average values of 52.88% ± 5.24. The mean CO2 and H2S concentrations in H2 were slightly lower (14.82% ± 3.04) and higher (74.7 ppm ± 9.42) to that of H1, respectively.
In general, the BMP production curves for both harvests (H1 and H2) revealed a heterogeneous trend (Figure 8). Three different phases of methane production during the BMP test were observed: (i) the start of production was delayed by a few days compared to that of the assay; (ii) a rapid increase in production was observed until the maximum yield was achieved, which was represented by the horizontal asymptote and indicates the time when the test reactor (D2 and D3) production exceeded that of the blank test reactor (D1); and a slow increase in methane production when the yield became negligible.
As shown in Figure 9, the BMP tests demonstrated a statistically significant difference (P < 0.05) in biogas yield and methane content among H1 and H2.
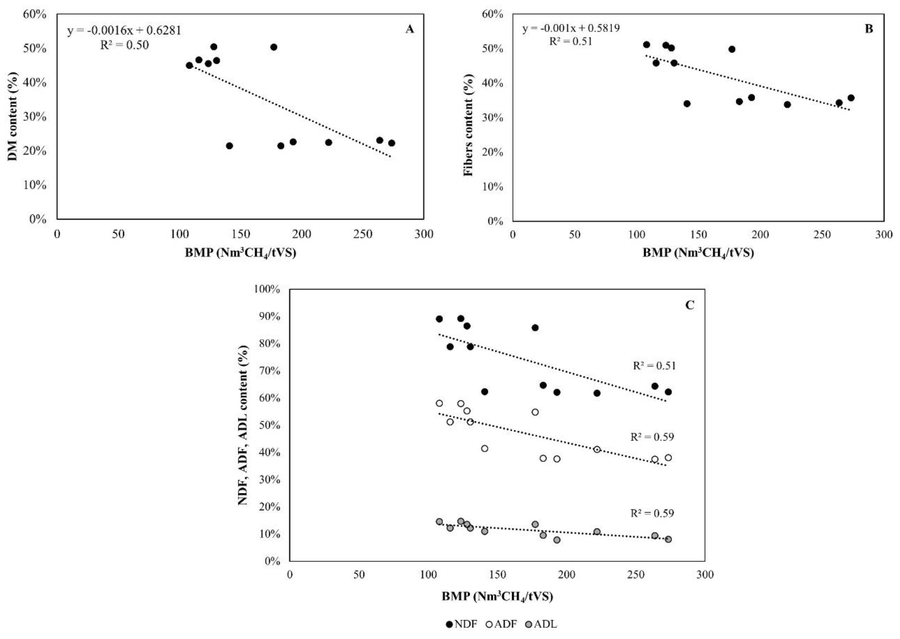
Furthermore, the DM and fiber fractions content (NDF, ADF, ADL) affected the BMP production that decreased at the increases of these parameters in the CR biomass. The linear regression analysis performed in our study showed that the observed BMP production was strongly negatively correlated with DM (R2 = 0.50), fibers (R2 = 0.51), NDF (R2 = 0.51), ADF (R2 = 0.59) and ADL content (R2 = 0.59) (Figure 10A-10C).
As regards the results obtained from laboratory tests performed on CR samples harvested in October (H3) showed the lowest biogas (mean value 201.18 Nm3/tVS ± 60.04) and biomethane yield (mean value 72.83 Nm3CH4/tVS ± 23.19) to that of H1 and H2 demonstrating that the inoculum non-feed and its impoverishment over time negatively influenced the BMP production that significantly decreased on average 55%. The gas quality analysis also revealed lower methane contents than H1 and H2 with average value of 36.34% ± 3.97 and presented a mean values of CO2 of 7.84% ± 4.37 and H2S of 5.5 ppm ± 6.95.

3.3. Ks Measurements within the HSTW

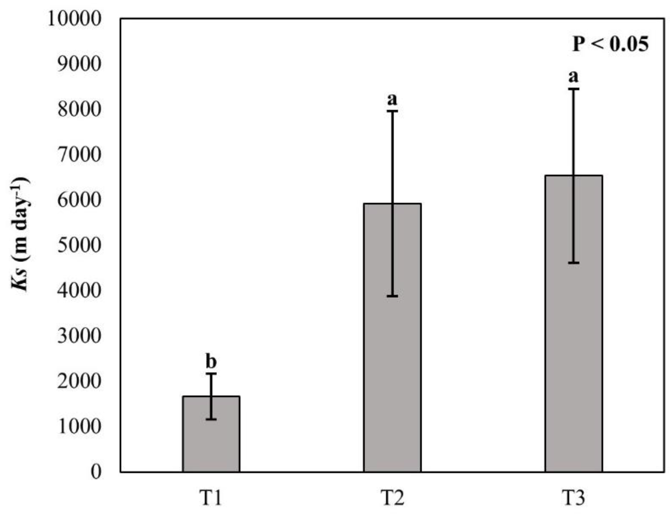
Table 3 and Figure 11 report the Ks mean values by using P permeameter around each of the 9 piezometers inside the HSTW unit and their standard deviation (SD) observed in September 2022. The Ks values measured in piezometer 1, 2 and 3, located in the T1 close to the inlet, were the lowest (mean value 1665.28 m day-1). A very low Ks value was also observed in piezometer 4 on average 3568.94 m day-1, along the T2 (mean value 5917.56 m day-1). The T3 showed the highest Ks values with a mean value of about 6533.16 m day-1. Consequently, in 2022 our data showed that Ks tends to increase from the inlet to the outlet of the HSTW bed, because of the high organic load that entered the hybrid-TW when the SBR system was by-passed due to the high volumes of WW produced at the IKEA® store. Finally, the T1 resulted the transect that was more influenced by clogging phenomenon.
As shown in Figure 12, Ks measurements demonstrated a statistically significant difference (P < 0.05) in hydraulic conductivity values along the T1 and the others two transects, T2 and T3. Non-significant different was observed among T2 and T3 that showed similar Ks values.
Furthermore, the HSTW hydraulic conductivity influenced biomass morphological and chemical characteristics. Figure 13 shows clearly this phenomenon through cumulated values of culms number and dry weight per culm highlighting that the culms number tends to increase from T1 (which is the most clogged transect) to T3 (which is the most unclogged transect), instead the dry weight per culm decreases from T1 to T3.
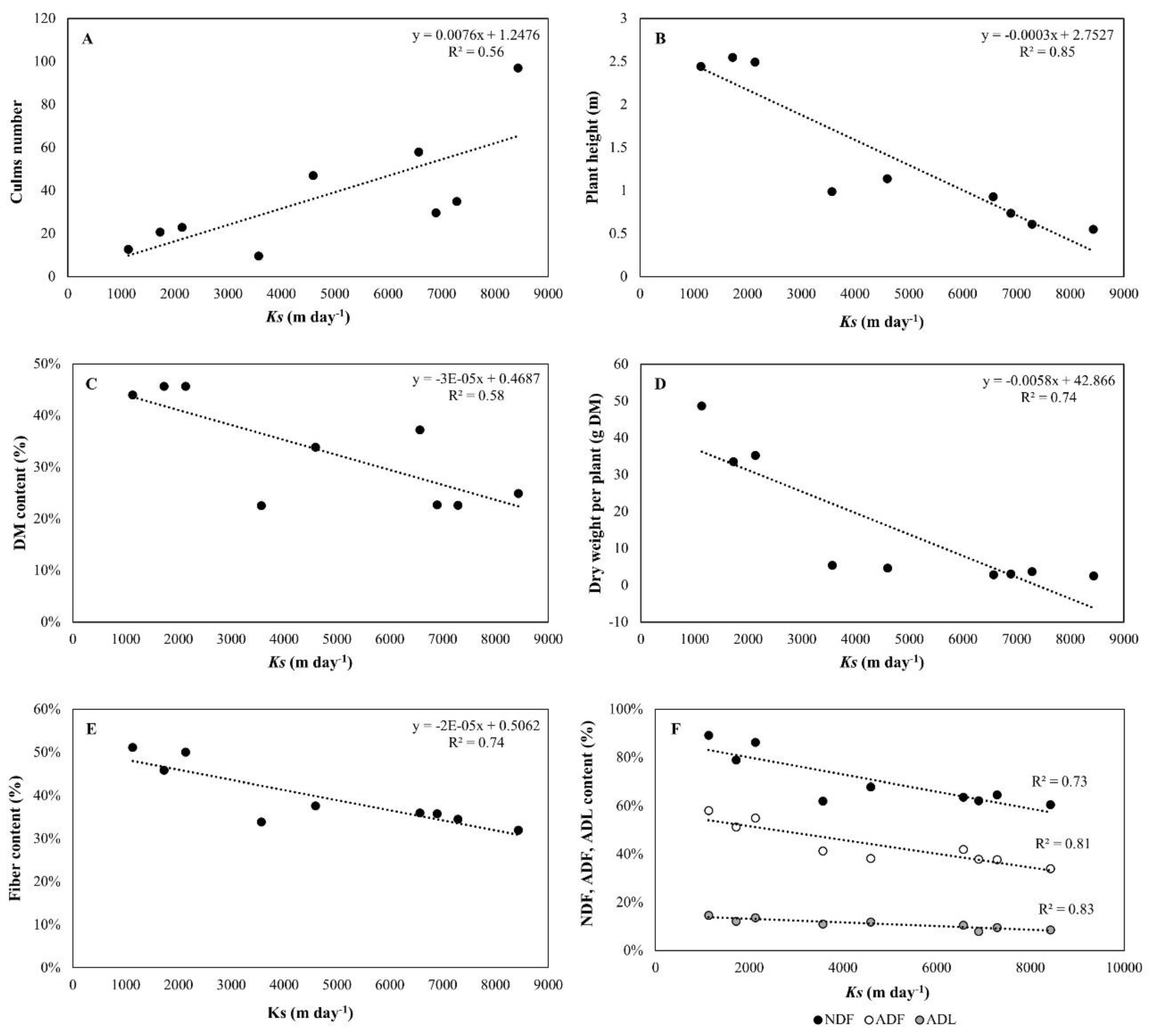
In particular, Ks low values corresponded to a greater plants height, but to a lesser culms number. The linear regression analysis showed a strongly negative correlation between Ks values and plants height (R2 = 0.85), but a significant positive correlation between Ks measures and culms number (R2 = 0.56) (Figure 14A – 14B). At the Ks values decrease the fiber fractions content (NDF, ADF, ADL) increased as well as the DM content and the dry weight per culm, due to a large quantity of organic matter and solids in the inlet of the HSTW unit. The linear regression analysis performed in our study showed a negative correlation between Ks and fiber (R2 = 0.74), NDF (R2 = 0.73), ADF (R2 = 0.80), ADL (R2 = 0.83) and DM content (R2 = 0.58), and dry weight per culm (R2 = 0.74) (Figure 14C – 14F).
Finally, considering the HSTW hydraulic conductivity influence on biomass characteristics, also, the BMP yield appeared to be affected increasing at the Ks increased. The linear regression analysis performed in our study showed a slightly correlation between Ks and BMP production for H1 (R2 = 0.30) and a positive correlation between Ks and BMP production for H2 (R2 = 0.57) (Figure 15).

4. Discussion

Our results are in line with data reported in the literature. The methane yield obtained by the BMP tests, performed on biomass samples harvested in summer, was of the same magnitude as that in other studies carried out under different climate, plant growth, and cultivation conditions. For instance, Hansson & Fredriksson (2004) studied the use of summer harvested CR from the “Kållandsundet” drainage basin in Sweden as raw material in biogas production showing a methane potential value of about 180 NL CH4 kg VS-1; while Komulainen et al. (2008) found biogas potential values varying from 400 to 500 NL CH4 kg d.m.-1 with a CH4 contents of 55-60%. In recent times, (Dragoni et al., 2017) discussed about the possibility to generate bioenergy from CR harvesting under paludiculture condition and showed higher BMP values that decrease with crop maturity from 283 NL CH4 kg VS-1 in May to 209 NL CH4 kg VS-1 in September.
The fiber fractions content (NDF, ADF, ADL) found at crop maturity (H1) were in line with those observed by others authors (Dinka et al., 2004; Wöhler-Geske et al., 2016). Furthermore, according to previous findings (Hansson & Fredriksson, 2004; Köbbing et al., 2013), the results confirmed that fiber contents, especially lignin, negatively affected biomethane yield due to its recalcitrance during anaerobic digestion, for this reason green summer CR (May-October) with high nutrient content is required instead of CR harvested in autumn that is characterized by a lower biogas potential due to its higher lignin content. In our study younger plants harvested in September, as regrowth of August cut, allowed to achieve the highest biomethane production than the mature biomass.
Another important aspect that appeared to influence the anaerobic digestion efficiency, the BMP assay accuracy and the biomethane yield was the inoculum feeding and enriching with various wastes such as agro-industrial residues, water, and vegetation water prior to beginning each test. In this study, the inoculum non-feed and its impoverishment over time negatively influenced the BMP production of CR samples harvested in October that significantly decreased on average 55%. In recent times, Sciuto et al. (2023) evaluated the potential and the use of giant reed from natural wetlands for local energy production showing that the biomass harvest times and its characteristics affected the biomethane yield but there was no decrease, in terms of BMP production, related to the inoculum management that was fed and enriched prior to beginning each assay.
The evaluation of the HSTW unit hydraulic conductivity revealed in line with previous studies that the spatial evolution of clogging since the beginning of the operation period (2014) and during the observation period (2022) was more severe in the area close to the inlet along the T1 with a reduction on average 91% for clean gravel (Knowles & Davies, 2009; Licciardello et al., 2020; A. Pedescoll et al., 2012). However, to date, although the partial clogging numerous studies demonstrated that there was no capacity reduction for removal of organic matter and suspended solids of the HSTW system and the quality of the effluent was always acceptable according to the Italian legislation limits (L.D. 152/06 and M.D. 185/03) (Marzo et al., 2018; Vymazal, 2018). Another important finding of the present study, that has not been extensively studied in previous researches, is Ks influence on biomass growth and development, as well as on its morphological and chemical characteristics. Our results showed that in the partially clogged areas of the HSTW there was a lower culms number with higher dry weight per culm and height, while in the unclogged areas the number of culms was higher, but each plant had a lower dry weight and height. In addition, the higher weight of each plant in the partially clogged area coincided with a higher fiber fractions and DM content that were lower in the unclogged areas. All this is confirmed, also, by the biomethane yield results obtained from the BMP assays. Consequently, the greater energy yield, in terms of methane BMP production, was obtained by using younger CR plants harvested in September within the T3, which was the most unclogged transect of the HSTW bed characterized by biomass with a low DM and fibers content.
Finally, our findings show that within the circular economy concept, biomass from TWs, including CR, could be used for energy purposes, thereby contributing to the renewable energy cycle without competing for land utilized for food supplies.

5. Conclusion

In this study, both the potential of TWs CR aerial biomass for biogas production and the HSTW hydraulic conductivity influence on the biomethane yield were evaluated by using a BMP testing approach. The results showed the successfully possibility of integrating the depuration role of CR vegetation with the bioenergy production into TWs, thanks to the potential of CR to produce satisfactory methane yield although is not a common energy crop.
Considering that plant mature biomass (i.e. August) was characterized by a higher fiber content which negatively affected biomethane yield, younger plants (i.e. September) allowed to obtain higher BMP production. Also, HSTW hydraulic conductivity appeared to influence by plant growth the methane yield and the greater energy yield was obtained by using CR juvenile stages (i.e. September) harvested within the T3, which was the most unclogged transect of the HSTW bed promote a vegetative biomass with a low DM and fibers content.
In the framework of a circular economy, the research could contribute to encourage plant operators to reuse biomass from TWs for local energy production, in order to increase the sustainability of the system and to reduce the maintenance costs. Furthermore, this study could help plant operators (i) to understand hydraulic characteristics effects on the biomass development and on its chemical and morphological characteristics; (ii) to improve TWs treatment efficiency, system management and lifespan. Thus, vegetation in TWs could give a relevant contribute in bioenergy production, as well as play a key role in WW treatment process. This additional biomass function could help the spreading of TWs in inner Mediterranean areas where the availability of large surfaces dedicated to TWs is greater than in coastal areas.

Author Contributions

The authors contributed with equal effort to the realization of the paper. They were individually involved as follows: Writing – original draft, Liviana Sciuto, Feliciana Licciardello; Writing – Review & Editing, Conceptualization, Liviana Sciuto, Feliciana Licciardello, Antonio Carlo Barbera, Vincenzo Scavera, Giuseppe Luigi Cirelli; Methodology, Data Curation and Software, Liviana Sciuto, Feliciana Licciardello, Salvatore Musumeci, Massimiliano Severino; Supervision, Giuseppe Luigi Cirelli.

Acknowledgments

This research was funded by the University of Catania-PIAno di inCEntivi per la RIcerca di Ateneo 2020/2022—Linea di Intervento 3 “Starting Grant” and by the PhD Course in Agricultural, Food and Environmental Science (Di3A, University of Catania). The authors thank the SIMBIOSI Consortium and its technical personnel for their availability and assistance during the field and laboratory activities.

References

  1. Al-Isawi, R. , Scholz, M., Wang, Y., & Sani, A. Clogging of vertical-flow constructed wetlands treating urban wastewater contaminated with a diesel spill. Environ. Sci. Pollut. Res. 2015, 22, 12779–12803. [Google Scholar] [CrossRef]
  2. Avellan, C. T. , Ardakanian, R., & Gremillion, P. The role of constructed wetlands for biomass production within the water-soil-waste nexus. Water Sci. Technol. 2017, 75, 2237–2245. [Google Scholar] [CrossRef] [PubMed]
  3. Barbagallo, S. , Barbera, A., Cirelli, G. L., Milani, M., Toscano, A., & Albergo, R. Evaluation of herbaceous crops irrigated with treated wastewater for ethanol production. J. Agric. Eng. 2013, 44, 554–559. [Google Scholar] [CrossRef]
  4. Barbera, A. C. , Borin, M., Ioppolo, A., Cirelli, G. L., & Maucieri, C. Carbon dioxide emissions from horizontal sub-surface constructed wetlands in the Mediterranean Basin. Ecol. Eng. 2014, 64, 57–61. [Google Scholar] [CrossRef]
  5. Cirelli, G. L. , Consoli, S., Di Grande, V., Milani, M., & Toscano, A. Subsurface constructed wetlands for wastewater treatment and reuse in agriculture: Five years of experiences in Sicily, Italy. Water Sci. Technol. 2007, 56, 183–191. [Google Scholar] [CrossRef]
  6. Dandikas, V. , Heuwinkel, H., Lichti, F., Drewes, J. E., & Koch, K. Correlation between Biogas Yield and Chemical Composition of Grassland Plant Species. Energy Fuels 2015, 29, 7221–7229. [Google Scholar] [CrossRef]
  7. de Matos, M. P. , von Sperling, M., & de Matos, A. T. Clogging in horizontal subsurface flow constructed wetlands: influencing factors, research methods and remediation techniques. Rev. Environ. Sci. Biotechnol. 2018, 17, 87–107. [Google Scholar] [CrossRef]
  8. Dinka, M. , Ágoston-Szabá, E., & Tóth, I. Changes in nutrient and fibre content of decomposing Phragmites australis litter. Int. Rev. Hydrobiol. 2004, 89, 519–535. [Google Scholar] [CrossRef]
  9. Dragoni, F. , Giannini, V., Ragaglini, G., Bonari, E., & Silvestri, N. Effect of Harvest Time and Frequency on Biomass Quality and Biomethane Potential of Common Reed (Phragmites australis) Under Paludiculture Conditions. Bioenergy Res. 2017, 10, 1066–1078. [Google Scholar] [CrossRef]
  10. Dragoni, F. , Ragaglini, G., Corneli, E., o di Nasso, N. N., Tozzini, C., Cattani, S., & Bonari, E. Giant reed (Arundo donax L.) for biogas production: Land use saving and nitrogen utilisation efficiency compared with arable crops. Ital. J. Agron. 2015, 10, 192–201. [Google Scholar] [CrossRef]
  11. Garcia-Artigas, R. , Himi, M., Revil, A., Urruela, A., Lovera, R., Sendrós, A., Casas, A., & Rivero, L. Time-domain induced polarization as a tool to image clogging in treatment wetlands. Science of the Total Environment 2020, 724. [Google Scholar] [CrossRef]
  12. Geurts, J. J. M. , Oehmke, C., Lambertini, C., Eller, F., Sorrell, B. K., Mandiola, S. R., Grootjans, A. P., Brix, H., Wichtmann, W., Lamers, L. P. M., & Fritz, C. Nutrient removal potential and biomass production by Phragmites australis and Typha latifolia on European rewetted peat and mineral soils. Sci. Total Environ. 2020, 747, 141102. [Google Scholar] [CrossRef] [PubMed]
  13. Hansson, P. A. , & Fredriksson, H. Use of summer harvested common reed (Phragmites australis) as nutrient source for organic crop production in Sweden. Agric. Ecosyst. Environ. 2004, 102, 365–375. [Google Scholar] [CrossRef]
  14. Kandel, T. P. , Sutaryo, S., Møller, H. B., Jørgensen, U., & Lærke, P. E. Chemical composition and methane yield of reed canary grass as influenced by harvesting time and harvest frequency. Bioresour. Technol. 2013, 130, 659–666. [Google Scholar] [CrossRef] [PubMed]
  15. Knowles, P. , Dotro, G., Nivala, J., & García, J. Clogging in subsurface-flow treatment wetlands: Occurrence and contributing factors. Ecol. Eng. 2011, 37, 99–112. [Google Scholar] [CrossRef]
  16. Knowles, P. R. , & Davies, P. A. A method for the in-situ determination of the hydraulic conductivity of gravels as used in constructed wetlands for wastewater treatment. Desalination Water Treat. 2009, 5, 257–266. [Google Scholar] [CrossRef]
  17. Köbbing, J. F. , Thevs, N., & Zerbe, S. The utilisation of reed (Phragmites australis ): a review. Mires Peat 2013, 13, 1–14. [Google Scholar]
  18. Komulainen, M. , Simi, P., Hagelberg, E., Ikonen, I. & Lyytinen, S. Reed Energy - Possibilities of Using the Common Reed for Energy Generation in Southern Finland. Rep. Turku Univ. Appl. Sci. 2008, 67, 81. [Google Scholar]
  19. Licata, M. , Gennaro, M. C., Tuttolomondo, T., Leto, C., & la Bella, S. Research focusing on plant performance in constructed wetlands and agronomic application of treated wastewater - A set of experimental studies in Sicily (Italy). PLoS ONE 2019, 14, 1–27. [Google Scholar] [CrossRef]
  20. Licciardello, F. , Aiello, R., Alagna, V., Iovino, M., Ventura, D., & Cirelli, G. L. Assessment of clogging in constructed wetlands by saturated hydraulic conductivity measurements. Water Sci. Technol. 2019, 79, 314–322. [Google Scholar] [CrossRef]
  21. Licciardello, F. , Milani, M., Consoli, S., Pappalardo, N., Barbagallo, S., & Cirelli, G. Wastewater tertiary treatment options to match reuse standards in agriculture. Agric. Water Manag. 2018, 210, 232–242. [Google Scholar] [CrossRef]
  22. Licciardello, Feliciana, Sacco, A. , Barbagallo, S., Ventura, D., & Cirelli, G. L. Evaluation of different methods to assess the hydraulic behavior in horizontal treatment wetlands. Water (Switzerland) 2020, 12, 1–18. [Google Scholar] [CrossRef]
  23. Liu, D. , Wu, X., Chang, J., Gu, B., Min, Y., Ge, Y., Shi, Y., Xue, H., Peng, C., & Wu, J. Constructed wetlands as biofuel production systems. Nat. Clim. Change 2012, 2, 190–194. [Google Scholar] [CrossRef]
  24. Marzo, A. , Ventura, D., Cirelli, G. L., Aiello, R., Vanella, D., Rapisarda, R., Barbagallo, S., & Consoli, S. Hydraulic reliability of a horizontal wetland for wastewater treatment in Sicily. Sci. Total Environ. 2018, 636, 94–106. [Google Scholar] [CrossRef] [PubMed]
  25. Maucieri, C. , Barbera, A. C., Vymazal, J., & Borin, M. A review on the main affecting factors of greenhouse gases emission in constructed wetlands. Agric. For. Meteorol. 2017, 236, 175–193. [Google Scholar] [CrossRef]
  26. Meng, P. , Hu, W., Pei, H., Hou, Q., & Ji, Y. Effect of different plant species on nutrient removal and rhizospheric microorganisms distribution in horizontal-flow constructed wetlands. Environmental Technology (United Kingdom) 2014, 35, 808–816. [Google Scholar] [CrossRef]
  27. Naval Facilities Engineering Command. (1986). Soil Mechanics. Design Manual 7.01. Naval Facilities Engineering Command: Alexandria, VA, USA.
  28. Pedescoll, A. , Knowles, P. R., Davies, P., García, J., & Puigagut, J. A comparison of in situ constant and falling head permeameter tests to assess the distribution of clogging within horizontal subsurface flow constructed wetlands. Water Air Soil Pollut. 2012, 223, 2263–2275. [Google Scholar] [CrossRef]
  29. Pedescoll, A. , Uggetti, E., Llorens, E., Granés, F., García, D., & García, J. Practical method based on saturated hydraulic conductivity used to assess clogging in subsurface flow constructed wetlands. Ecol. Eng. 2009, 35, 1216–1224. [Google Scholar] [CrossRef]
  30. Pedescoll, Anna, Samsó, R. , Romero, E., Puigagut, J., & García, J. Reliability, repeatability and accuracy of the falling head method for hydraulic conductivity measurements under laboratory conditions. Ecol. Eng. 2011, 37, 754–757. [Google Scholar] [CrossRef]
  31. Ragaglini, G. , Dragoni, F., Simone, M., & Bonari, E. Suitability of giant reed (Arundo donax L.) for anaerobic digestion: Effect of harvest time and frequency on the biomethane yield potential. Bioresour. Technol. 2014, 152, 107–115. [Google Scholar] [CrossRef]
  32. Sacco, A. , Cirelli, G. L., Ventura, D., Barbagallo, S., & Licciardello, F. Hydraulic performance of horizontal constructed wetlands for stormwater treatment: A pilot-scale study in the Mediterranean. Ecol. Eng. 2021, 169, 106290. [Google Scholar] [CrossRef]
  33. Sanford, W. E. , Steenhuis, T. S., Parlange, J. Y., Surface, J. M., & Peverly, J. H. Hydraulic conductivity of gravel and sand as substrates in rock-reed filters. Ecol. Eng. 1995, 4, 321–336. [Google Scholar] [CrossRef]
  34. Sciuto, L. , Licciardello, F., Barbera, A. C., & Cirelli, G. Giant reed from wetlands as a potential resource for biomethane production. Ecol. Eng. 2023, 190, 106947. [Google Scholar] [CrossRef]
  35. Suliman, F. , French, H. K., Haugen, L. E., & Søvik, A. K. Change in flow and transport patterns in horizontal subsurface flow constructed wetlands as a result of biological growth. Ecol. Eng. 2006, 27, 124–133. [Google Scholar] [CrossRef]
  36. Ventura, D. , Consoli, S., Barbagallo, S., Marzo, A., Vanella, D., Licciardello, F., & Cirelli, G. L. How to overcome barriers for wastewater agricultural reuse in Sicily (Italy)? Water (Switzerland) 2019, 11, 1–12. [Google Scholar] [CrossRef]
  37. Vymazal, J. Emergent plants used in free water surface constructed wetlands: A review. Ecol. Eng. 2013, 61, 582–592. [Google Scholar] [CrossRef]
  38. Vymazal, J. The use of hybrid constructed wetlands for wastewater treatment with special attention to nitrogen removal: A review of a recent development. Water Res. 2013, 47, 4795–4811. [Google Scholar] [CrossRef]
  39. Vymazal, J. Does clogging affect long-term removal of organics and suspended solids in gravel-based horizontal subsurface flow constructed wetlands? Chem. Eng. J. 2018, 331, 663–674. [Google Scholar] [CrossRef]
  40. Wang, Q. , Xie, H., Zhang, J., Liang, S., Ngo, H. H., Guo, W., Liu, C., Zhao, C., & Li, H. Effect of plant harvesting on the performance of constructed wetlands during winter: radial oxygen loss and microbial characteristics. Environ. Sci. Pollut. Res. 2015, 22, 7476–7484. [Google Scholar] [CrossRef]
  41. Wöhler-Geske, A. , Moschner, C. R., Gellerich, A., Militz, H., Greef, J. M., & Härtung, E. Provenances and properties of thatching reed (Phragmites Australis). Landbauforsch. Volkenrode 2016, 66, 1–10. [Google Scholar] [CrossRef]
  42. Yang, Z. , Wang, Q., Zhang, J., Xie, H., & Feng, S. Effect of plant harvesting on the performance of constructed wetlands during summer. Water 2016, 8, 4–13. [Google Scholar] [CrossRef]
  43. Zhang, D. Q. , Jinadasa, K. B. S. N., Gersberg, R. M., Liu, Y., Ng, W. J., & Tan, S. K. Application of constructed wetlands for wastewater treatment in developing countries - A review of recent developments (2000-2013). J. Environ. Manag. 2014, 141, 116–131. [Google Scholar] [CrossRef]
Figure 1. Design of the hybrid-TW system at the IKEA® store in Catania (Eastern Sicily, South Italy). Red frame indicates the HSTW unit, which is the subject of this study.
Figure 1. Design of the hybrid-TW system at the IKEA® store in Catania (Eastern Sicily, South Italy). Red frame indicates the HSTW unit, which is the subject of this study.
Preprints 98925 g001
Figure 2. HSTW experimental unit. Black dots are aboveground biomass sampling points.
Figure 2. HSTW experimental unit. Black dots are aboveground biomass sampling points.
Preprints 98925 g002
Figure 3. Setup of the HSTW bed showing the locations of piezometers and saturated hydraulic conductivity (Ks) measurements.
Figure 3. Setup of the HSTW bed showing the locations of piezometers and saturated hydraulic conductivity (Ks) measurements.
Preprints 98925 g003
Figure 4. Common reed morphological and chemical composition according to different harvest times (H1-H3). A) Plant height; B) culms number; C) dry matter content; and D) dry weight per culm. Different letters indicate statistically significant differences (P < 0.05).
Figure 4. Common reed morphological and chemical composition according to different harvest times (H1-H3). A) Plant height; B) culms number; C) dry matter content; and D) dry weight per culm. Different letters indicate statistically significant differences (P < 0.05).
Preprints 98925 g004
Figure 5. Common reed fiber fractions content according to different harvest times (H1-H3). A) fiber content; B) Neutral Detergent Fiber (NDF) content; C) Acid Detergent Fiber (ADF) content; and D) Acid Detergent Lignin (ADL) content. Different letters indicate statistically significant differences (P < 0.05).
Figure 5. Common reed fiber fractions content according to different harvest times (H1-H3). A) fiber content; B) Neutral Detergent Fiber (NDF) content; C) Acid Detergent Fiber (ADF) content; and D) Acid Detergent Lignin (ADL) content. Different letters indicate statistically significant differences (P < 0.05).
Preprints 98925 g005
Figure 6. Common reed fiber fractions content according to different HSTW transects (T1-T3). A) August; B) September; C) October. Different letters indicate statistically significant differences (P < 0.05).
Figure 6. Common reed fiber fractions content according to different HSTW transects (T1-T3). A) August; B) September; C) October. Different letters indicate statistically significant differences (P < 0.05).
Preprints 98925 g006
Figure 7. A) Curves of biogas and BMP production. The values are the averages of the different HSTW transects for each harvest time (August – H1 and September – H2). Black squares and black triangles refer to biogas and BMP yield, respectively. B) Relationship between observed biogas and BMP production.
Figure 7. A) Curves of biogas and BMP production. The values are the averages of the different HSTW transects for each harvest time (August – H1 and September – H2). Black squares and black triangles refer to biogas and BMP yield, respectively. B) Relationship between observed biogas and BMP production.
Preprints 98925 g007
Figure 8. Curves of biogas and BMP production performed for each HSTW transects (T1-T3) of the CR samples harvested in August (H1) and September (H2). A) Biogas yield in August; B) BMP production in August; C) Biogas yield in September; D) BMP production in September.
Figure 8. Curves of biogas and BMP production performed for each HSTW transects (T1-T3) of the CR samples harvested in August (H1) and September (H2). A) Biogas yield in August; B) BMP production in August; C) Biogas yield in September; D) BMP production in September.
Preprints 98925 g008
Figure 9. Biogas and BMP production according to different harvest times (August – H1, September – H2).
Figure 9. Biogas and BMP production according to different harvest times (August – H1, September – H2).
Preprints 98925 g009
Figure 10. Relationship between observed BMP production and A) DM, B) fibers, C) NDF, ADF and ADL content.
Figure 10. Relationship between observed BMP production and A) DM, B) fibers, C) NDF, ADF and ADL content.
Preprints 98925 g010
Figure 11. Spatial variation of Ks (m day-1) values for the 9 piezometers inside the HSTW bed in September 2022 obtained by using the inverse distance weighting (IDW) approach in a Geographic Information System (GIS) environment.
Figure 11. Spatial variation of Ks (m day-1) values for the 9 piezometers inside the HSTW bed in September 2022 obtained by using the inverse distance weighting (IDW) approach in a Geographic Information System (GIS) environment.
Preprints 98925 g011
Figure 12. Ks values according to different HSTW transects (T1-T3). Different letters indicate statistically significant differences (P < 0.05).
Figure 12. Ks values according to different HSTW transects (T1-T3). Different letters indicate statistically significant differences (P < 0.05).
Preprints 98925 g012
Figure 13. Cumulated values of culms number and dry weight per culm according to different HSTW transects (T1-T3).
Figure 13. Cumulated values of culms number and dry weight per culm according to different HSTW transects (T1-T3).
Preprints 98925 g013
Figure 14. Relationship between measured Ks values and A) culms number, B) plant height, C) DM content, D) dry weight per culm, E) fiber content, F) NDF, ADF and ADL content.
Figure 14. Relationship between measured Ks values and A) culms number, B) plant height, C) DM content, D) dry weight per culm, E) fiber content, F) NDF, ADF and ADL content.
Preprints 98925 g014
Figure 15. Relationship between measured Ks values and BMP production.
Figure 15. Relationship between measured Ks values and BMP production.
Preprints 98925 g015
Table 1. Common reed morphological and chemical characteristics for different harvest times.
Table 1. Common reed morphological and chemical characteristics for different harvest times.
Properties H1 (Aug) H2 (Sept) H3 (Oct)
Plant height (m) a 2.50±0.05 0.78±0.19 0.87±0.30
Culms number (-) a 19±5 25±13 67±26
DM (%) b 45.08±0.92 22.62±0.08 32.00±6.38
Dry weight (g DM per culm) b 39.11±8.28 4.03±1.23 3.34±1.10
Fiber content (%) c 48.98±2.76 34.76±0.97 35.21±2.90
Neutral Detergent Fiber – NDF (%) c 84.75±5.28 62.93±1.40 63.98±3.73
Acid Detergent Fiber – ADF (%) c 54.76±3.41 38.94±2.05 38.04±4.04
Acid Detergent Lignin – ADL (%) c 13.48±1.22 9.47±1.49 10.32±1.71
a Data are the average of field measurements with standard deviation; b Data are the average of three replicates with standard deviation; c Data are the average of two replicates with standard deviation.
Table 2. BMP tests and gas quality analysis results performed on CR samples harvested in August and September 2022.
Table 2. BMP tests and gas quality analysis results performed on CR samples harvested in August and September 2022.
Properties H1 (Aug) H2 (Sept)
Biogas (Nm3/tVS) 251.16±54.72 402.08±89.38
BMP (Nm3CH4/tVS) 130.57±24.29 212.70±50.62
CH4 (%) b 52.32±3.18 52.88±5.24
CO2 (%) b 16.88±4.51 14.82±3.04
H2S (%) c 20.5±14.26 74.7±9.42
a Data are the average of two replicates with standard deviation.
Table 3. Ks average ± standard deviation (SD, n = 4 per sampling point) values at each piezometer measured using falling head method with P permeameter in the HSTW unit.
Table 3. Ks average ± standard deviation (SD, n = 4 per sampling point) values at each piezometer measured using falling head method with P permeameter in the HSTW unit.
September 2022
Piezometers Distance from the Inlet Ks SD Reductions of Ks (%)
(m) (m day-1) Relative to Clean Gravel1
1 8.5 1135.02 198.8 94
2 17 1725.13 244.1 91
3 25.5 2135.68 144.1 89
4 8.5 3568.94 356.2 82
5 17 7288.32 652.3 63
6 25.5 6895.41 344.2 65
7 8.5 4597.07 198.8 76
8 17 6570.20 244.1 66
9 25.5 8432.20 320.1 57
Note: Ks, hydraulic conductivity at saturation; SD standard deviation. 1Ks = 19,466 m day-1.
Disclaimer/Publisher’s Note: The statements, opinions and data contained in all publications are solely those of the individual author(s) and contributor(s) and not of MDPI and/or the editor(s). MDPI and/or the editor(s) disclaim responsibility for any injury to people or property resulting from any ideas, methods, instructions or products referred to in the content.
Copyright: This open access article is published under a Creative Commons CC BY 4.0 license, which permit the free download, distribution, and reuse, provided that the author and preprint are cited in any reuse.
Prerpints.org logo

Preprints.org is a free preprint server supported by MDPI in Basel, Switzerland.

Subscribe

Disclaimer

Terms of Use

Privacy Policy

Privacy Settings

© 2026 MDPI (Basel, Switzerland) unless otherwise stated