Submitted:
07 February 2024
Posted:
08 February 2024
Read the latest preprint version here
Abstract
Keywords:
1. Introduction
2. Einstein-AdS black hole solution
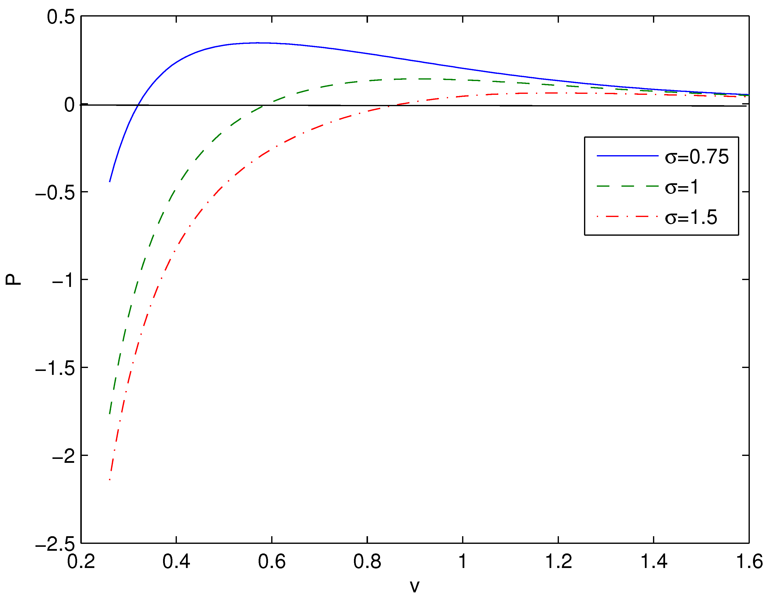
3. First law of black hole thermodynamics
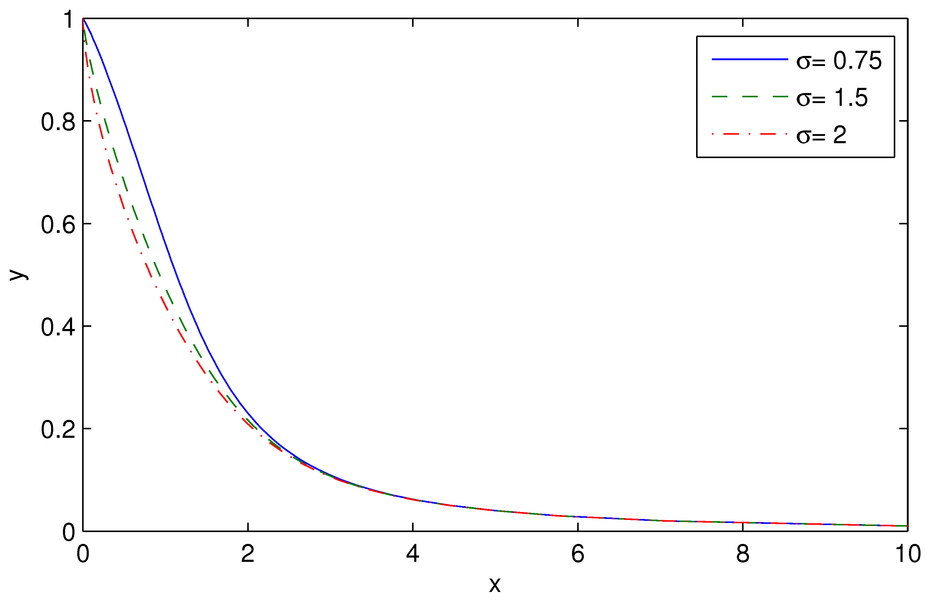
4. Thermodynamics of black holes
- Appendix A
- Appendix B
| 0.1 | 0.2 | 0.3 | 0.4 | 0.5 | 0.6 | 0.7 | 0.8 | 0.9 | 1 | |
| 1.272 | 1.233 | 1.202 | 1.176 | 1.153 | 1.132 | 1.108 | 1.097 | 1.081 | 1.067 |
5. Summary
References
- J. D. Bekenstein. Black holes and entropy, Phys. Rev. D 7 (1973), 2333-2346. [CrossRef]
- S. W. Hawking. Particle Creation by Black Holes, Commun. Math. Phys. 43 (1975), 199-220. [CrossRef]
- J. M. Bardeen, B. Carter and S. W. Hawking. The four laws of black hole mechanics, Commun. Math. Phys. 31 (1973), 161-170. [CrossRef]
- T. Jacobson. Thermodynamics of space-time: The Einstein equation of state, Phys. Rev. Lett. 75 (1995), 1260-1263. [CrossRef]
- T. Padmanabhan. Thermodynamical Aspects of Gravity: New insights, Rept. Prog. Phys. 73 (2010), 046901. [CrossRef]
- J. M. Maldacena. The Large N limit of superconformal field theories and supergravity, Int. J. Theor. Phys. 38 (1999), 1113-1133. [CrossRef]
- S. W. Hawking and D. N. Page. Thermodynamics of Black Holes in anti-de Sitter Space, Commun. Math. Phys. 87 (1983), 577. [CrossRef]
- B. P. Dolan. Black holes and Boyle’s law? The thermodynamics of the cosmological constant, Mod. Phys. Lett. A 30 (2015), 1540002. [CrossRef]
- D. Kubiznak and R. B. Mann. Black hole chemistry, Can. J. Phys. 93 (2015), 999-1002. [CrossRef]
- D. Kubiznak, R. B. Mann and M. Teo. Black hole chemistry: thermodynamics with Lambda, Class. Quant. Grav. 34 (2017), 063001. [CrossRef]
- S. Gunasekaran, R. B. Mann and D. Kubiznak. Extended phase space thermodynamics for charged and rotating black holes and Born–-Infeld vacuum polarization, JHEP 1211 (2012), 110. [CrossRef]
- M. Born and L. Infeld. Foundations of the new field theory, Nature 132 (1933), 1004; Proc. Royal Soc. (London) 144 (1934), 425-451. [CrossRef]
- S. I. Kruglov. A model of nonlinear electrodynamics, Ann. Phys. 353 (2014), 299-306. [CrossRef]
- S. I. Kruglov. Rational nonlinear electrodynamics causes the inflation of the universe, Int. J. Mod.Phys. A 35 (2020), 2050168. [CrossRef]
- S.I. Kruglov, Universe inflation based on nonlinear electrodynamics, Eur. Phys. J. Plus 135 (2020), 370. [CrossRef]
- S.I. Kruglov. Inflation of universe due to nonlinear electrodynamics, Int. J. Mod. Phys. A 32 (2017), 1750071. [CrossRef]
- S.I. Kruglov, Universe acceleration and nonlinear electrodynamics, Phys. Rev. D 92 (2015), 123523. [CrossRef]
- K. A. Bronnikov. Regular magnetic black holes and monopoles from nonlinear electrodynamics, Phys. Rev. D 63 (2001), 044005. [CrossRef]
- Handbook of Mathematical Functions with Formulas, Graphs and Mathematical Tables, Edit by M. Abramowitz and I. Stegun. National Bureau of Standarts, Applied Mathematics Series 55 (1972).
- D. Kastor, S. Ray and J. Traschen. Enthalpy and the Mechanics of AdS Black Holes, Class. Quant. Grav. 26 (2009), 195011. [CrossRef]
- B. P. Dolan. The cosmological constant and the black hole equation of state, Class. Quant. Grav. 28 (2011), 125020.
- M. Cvetic, G. W. Gibbons, D. Kubiznak and C. N. Pope. Black Hole Enthalpy and an Entropy Inequality for the Thermodynamic Volume, Phys. Rev. D 84 (2011), 024037. [CrossRef]
- D. Kubiznak and R. B. Mann. P-V criticality of charged AdS black holes, JHEP 07 (2012), 033. [CrossRef]
- Wan Cong, D. Kubiznak, R. B. Mann and M. Visser. Holographic CFT Phase Transitions and Criticality for Charged AdS Black Holes, JHEP 08 (2022), 174. [CrossRef]
- L. Smarr. Mass Formula for Kerr Black Holes, Phys. Rev. Lett. 30 (1973), 71-73; Erratum Phys. Rev. Lett. 30 (1973), 521. [CrossRef]
- S. I. Kruglov. Rational non-linear electrodynamics of AdS black holes and extended phase space thermodynamics, Eur. Phys. J. C 82 (2022), 292. [CrossRef]
- F. Rohrlich, Classical Charged Particles, Addison Wesley, Redwood City, CA (1990).
- H. Spohn, Dynamics of Charged Particles and Their Radiation Field, Cambridge University Press, Cambridge (2004).
- P. A. M. Dirac. An extensible model of the electron, Proc. Royal Soc. (London) A 268 (1962), 57-67. [CrossRef]






Disclaimer/Publisher’s Note: The statements, opinions and data contained in all publications are solely those of the individual author(s) and contributor(s) and not of MDPI and/or the editor(s). MDPI and/or the editor(s) disclaim responsibility for any injury to people or property resulting from any ideas, methods, instructions or products referred to in the content. |
© 2024 by the authors. Licensee MDPI, Basel, Switzerland. This article is an open access article distributed under the terms and conditions of the Creative Commons Attribution (CC BY) license (http://creativecommons.org/licenses/by/4.0/).
