Submitted:
05 February 2024
Posted:
05 February 2024
You are already at the latest version
Abstract
Keywords:
1. Introduction
2. Origins and Varieties

2.1. Production Technology
2.2. Land Preparation
2.3. Variety Selection
2.4. Types of Leaves
2.5. Seed Preparation
2.6. Planting
2.7. Crop Management
2.8. Harvesting
2.9. Storage
2.10. Post-Harvest Handling
2.11. Transportation
- Use sturdy containers or crates with cushioning material to prevent damage.
- Secure the load with straps or ropes and padding between layers.
- Keep sweet potatoes at the right temperature and properly ventilated.
- Handle them gently to avoid bruising.
- Monitor sweet potatoes during transit for signs of damage or spoilage
2.12. Processing
2.13. Packaging
2.14. Insects and Pests
2.15. Diseases
2.16. Marketing
- (i)
- Develop a strong brand identity.
- (ii)
- Highlight their unique qualities and health benefits.
- (iii)
- Utilize social media.
- (iv)
- Set up a booth at farmers’ markets or participate in local food events.
- (v)
- Collaborate with local restaurants, chefs, or food bloggers.
- (vi)
- Develop a professional website
- (vii)
- Offer tastings and cooking demonstrations.
- (viii)
- Create eye-catching packaging with clear information.
- (ix)
- Partner with local grocery stores or specialty food shops.
- (x)
- Encourage customer testimonials and reviews.
2.17. Cost of Production
3. Nutritional Composition
3.1. Vimamins
3.2. Minerals
4. Physiological Functions of Sweetpotato Storage Root and Leaves
4.1. Antioxidant Capacities

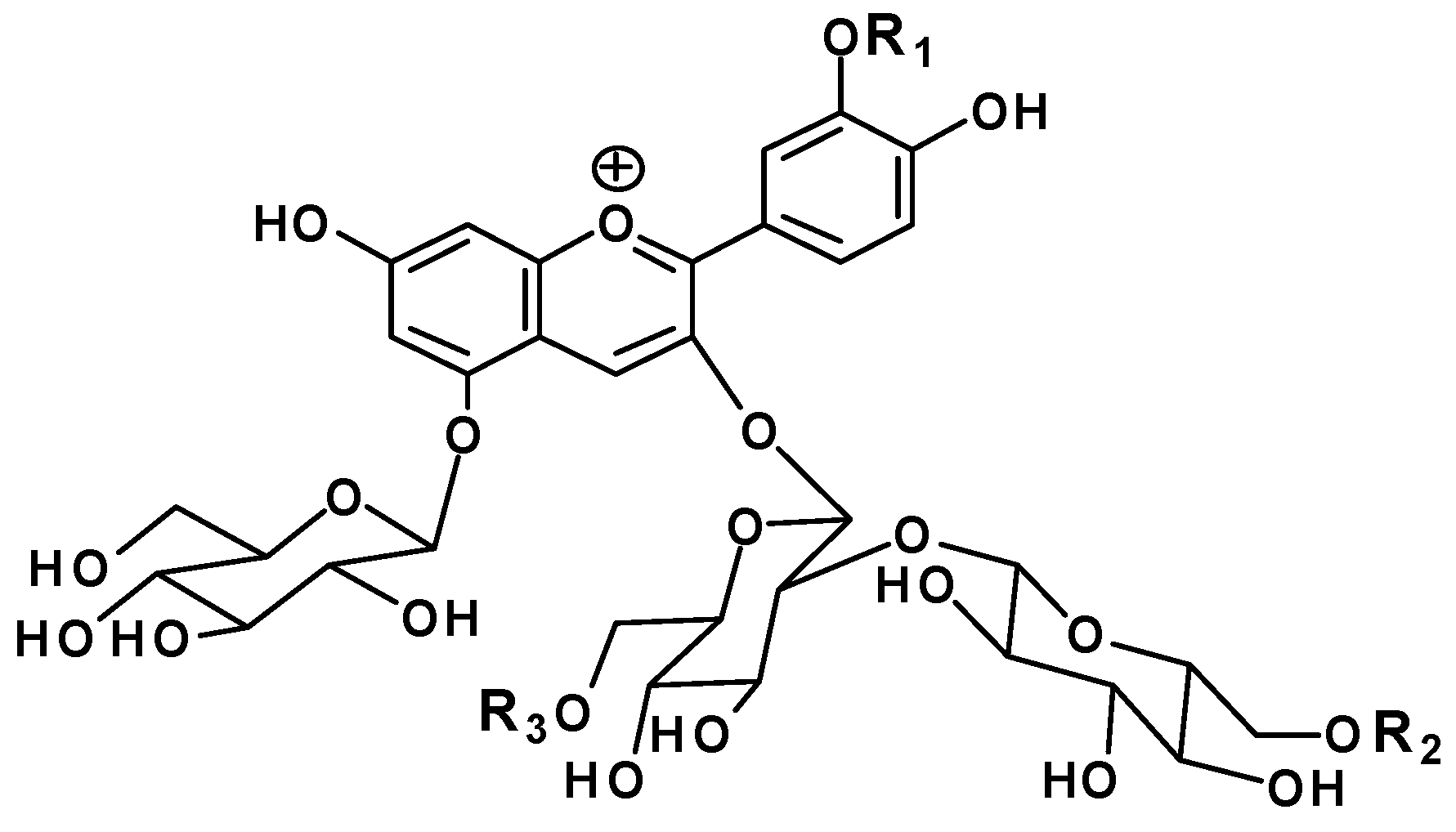
4.2. Anthocyanins
| Anthocyanin | R1 | R2 | R3 | Mf | Mw | Aglycon | ||
| YGM-0a | H | H | H | C33H41O21 | 773.67 | Cy | ||
| YGM-0b | CH3 | H | H | C34H43O21 | 787.70 | Pn | ||
| YGM-0c* | H | ND | ND | C40H45O23 | 893.78 | Cy | ||
| YGM-0d* | H | ND | ND | C42H47O24 | 935.82 | Cy | ||
| YGM-0e* | CH3 | ND | ND | C41H47O23 | 907.81 | Pn | ||
| YGM-0f* | CH3 | ND | ND | C42H49O24 | 937.83 | Pn | ||
| YGM-0g* | H | ND | ND | C43H49O24 | 949.84 | Cy | ||
| YGM-1a | H | PHB | Caf | C49H51O26 | 1055.92 | Cy | ||
| YGM-1b | H | Caf | Caf | C50H53O27 | 1085.95 | Cy | ||
| YGM-2 | H | H | Caf | C42H47O24 | 935.82 | Cy | ||
| YGM-3 | H | Fer | Caf | C52H55O27 | 1111.99 | Cy | ||
| YGM-4b | CH3 | Caf | Caf | C52H55O27 | 1111.99 | Pn | ||
| YGM-5a | CH3 | PHB | Caf | C50H53O26 | 1069.95 | Pn | ||
| YGM-5b | CH3 | H | Caf | C43H49O24 | 949.84 | Pn | ||
| YGM-6 | CH3 | Fer | Caf | C53H57O27 | 1126.02 | Pn | ||
| YGM Yamagawamurasaki; Cy, Pn cyanidin, and peonidin, respectively. PHB, Caf, Fer= p-hydroxybenzoic, caffeic and ferulic acid, respectively; ND =not determined; Mf= molecular formula of flavylium cation; Mw= molecular weight calculated as flavylium cation; *The chemical structures of these anthocyanins have been partially determined. | ||||||||

4.3. Caffeic Acid Derivatives

4.4. Anti-Diabetic Potential of Sweetpotatoes
4.5. Anti-Inflammatory Activity of Sweetpotatoes
4.6. Anticancer Potential of Sweetpotatoes
4.7. Antimutagenic Properties in Sweetpotatoes
4.8. Anti-Microbial Activity
4.9. Cardiovascular Potential of Sweetpotatoes


4.10. Obesity
4.11. Brain Function
4.12. Healthy Vision
4.13. Immune System
4.14. Blood Pressure Levels
4.15. Digestion
- i.
- Fiber: Sweet potatoes are rich in dietary fiber, which adds bulk to the stool, promotes regular bowel movements, and fuels beneficial gut bacteria.
- ii.
- Water content: Sweet potatoes have a high-water content, which can prevent dehydration and support proper digestion.
- iii.
- Digestive enzymes: Sweet potatoes contain enzymes that can assist in the breakdown and digestion of carbohydrates, making them easier to digest and absorb.
- iv.
- Anti-inflammatory properties: Sweet potatoes have anti-inflammatory properties due to the presence of antioxidants and other compounds, which may alleviate digestive inflammation and promote better digestion.
- v.
- Vitamin B6: Sweet potatoes are a good source of vitamin B6, which supports the production of digestive enzymes necessary for efficient digestion. Remember, individual experiences with digestion may vary.
5. Industrial Application of Sweetpotato and Its Leaves
- i.
- Starch Production: Sweet potatoes can be processed to extract starch, which has various industrial applications. Sweet potato starch can be used to produce biodegradable plastics, adhesives, paper, textiles, and pharmaceuticals.
- ii.
- Ethanol Production: Sweet potatoes can serve as a feedstock for ethanol production. The starchy content of sweet potatoes can be fermented and converted into bioethanol, which can be used as a renewable fuel source or as an ingredient in the production of alcoholic beverages.
- iii.
- Animal Feed: Sweet potato byproducts, such as peelings and leaves, can be used in animal feed production to provide a sustainable and cost-effective source of energy, fiber, and nutrients for livestock.
- iv.
- Industrial Enzymes: Sweet potatoes contain enzymes that can be extracted and used in various industrial processes, such as brewing, baking, and waste treatment. These enzymes can improve process efficiency and reduce the use of harsh chemicals.
- v.
- Bioplastics: Sweet potato starch can be used to produce biodegradable and environmentally friendly bioplastics that can replace traditional plastics derived from fossil fuels and contribute to reducing plastic waste pollution.
- vi.
- Nutraceuticals: Sweet potatoes contain bioactive compounds that have potential health benefits. Extracts from sweet potatoes can be processed and used as ingredients in nutraceutical products, such as dietary supplements, functional foods, and natural additives.
- vii.
- Industrial Colorants: Sweet potatoes’ vibrant colors, particularly the purple-fleshed varieties, contain natural pigments that can be used as food colorants. These natural colorants can replace synthetic colorants and can be utilized in various food and beverage applications.
- viii.
- Industrial Fibers: Sweet potato peelings and residues can be processed to obtain dietary fibers with functional properties. These fibers can produce low-calorie and high-fiber food products, such as breakfast cereals, baked goods, and snacks.
- ix.
- Phytochemical Extracts: Sweet potato leaves contain many bioactive compounds that can be extracted and used to produce dietary supplements, functional foods, and pharmaceuticals. The phytochemical extracts from sweet potato leaves have shown potential health benefits, such as antioxidant and anti-inflammatory properties.
- x.
- Natural Colorants: Sweet potato leaves can be used to extract a vibrant green color that can be used naturally in various food, beverage, and cosmetic products.
- xi.
- Soil Revitalization: Sweet potato leaves have high amounts of organic matter and nutrients that can act as a natural fertilizer when incorporated into the soil. This helps improve soil health and productivity, making sweet potato leaves a valuable resource for sustainable agricultural practices.
- xii.
- Cosmetic Ingredients: The bioactive compounds in sweet potato leaves have potential applications in the cosmetic industry. They can be used in skincare, haircare, and cosmetics as natural ingredients for their potential anti-aging, skin-soothing, and UV-protective properties.
- xiii.
- Medicinal Uses: Sweet potato leaves have traditionally been used in some cultures for their medicinal properties. They are believed to have benefits for conditions such as diabetes, high blood pressure, and digestive disorders. Further research is needed to explore and validate their potential medicinal uses.

6. Foods from Sweetpotatoes Storage Roots

7. Foods from Sweetpotato Leaves

8. Use of Sweetpotatoes as Food Ingredients
9. Sweetpotato Leaves as Ornamentals

10. Future of Sweetpotatoes for the Next Century and Recommendation for Future Research
- Conduct a study on sweetpotato leaves’ nutritional composition and bioactive compounds to identify their potential health benefits and culinary applications.
- Explore sustainable farming practices for sweet potato production, including irrigation strategies, integrated pest management, and soil management techniques to optimize yield, quality, and sustainability.
- Investigate the potential of sweet potatoes as a staple crop in regions with food security challenges to enhance food security and combat malnutrition.
- Develop innovative sweet potato-based products to meet consumer demands for healthier and more diverse options, such as snacks, baked goods, beverages, and other processed food products.
- Research the potential industrial applications of sweetpotato leaves, such as the production of phytochemical extracts, functional food ingredients, or natural colorants.
- Conduct breeding programs and genetic studies to develop sweetpotato and its leaf varieties with enhanced nutritional profiles, disease resistance, and improved agronomic traits.
- Investigate the safety aspects of sweet potato leaves, including pesticide residues, microbial contamination, and post-harvest handling practices.
- Develop guidelines and recommendations for proper cultivation, harvesting, processing, and storage to ensure the safety and quality of sweet potatoes and its leaves.
- Utilize genetic engineering techniques to improve various traits of sweet potatoes, such as increasing resistance to diseases, pests, or environmental stressors.
- Investigate the effects of climate change on sweet potato production and explore strategies to enhance its resilience, such as developing heat and drought-tolerant varieties.
11. Conclusion
Author Contributions
Funding
Institutional Review Board Statements
Informed Consent Statements
Availability Statements
Conflicts of Interest
References
- FAO. 2016. Crop Production Data. Available at http://www.fao.org/faostat/en/#data/QC.
- Bovell-Benjamin, A.C. Sweet Potato: A Review of Its Past, Present, and Future Role in Human Nutrition. Adv. Food Nutr. Res. 2007, 52, 1–59. [Google Scholar]
- Mohanraj, R.; Sivasankar, S. Sweet Potato (Ipomoea batatas [L.] Lam)-A Valuable Medicinal Food: A Review. J. Med. Food 2014, 17, 733–741. [Google Scholar] [CrossRef]
- Shandilya, U.K.; Sharma, A. Functional Foods and Their Benefits: An Overview. J. Nutr. Health Food Eng. 2017, 7, 2–5. [Google Scholar] [CrossRef]
- Steed, L.E.; Truong, V.D. Anthocyanin Content, Antioxidant Activity, and Selected Physical Properties of Flowable Purple-Fleshed Sweetpotato Purees. J. Food Sci. 2008, 73, S215–S221. [Google Scholar] [CrossRef]
- Jung, S.; Shin, J.; Kim, J.Y.; Kwon, O. Shinzami Korean Purple-fleshed Sweet Potato Extract Prevents Ischaemia–Reperfusioninduced Liver Damage in Rats. J. Sci. Food Agric. 2015, 95, 2818–2823. [Google Scholar] [CrossRef]
- Statista, 2024. U.S. sweetpotato production from 2000 to 2023. https://www.statista.com/statistics/193218/us-sweet-potato-production-since-2000/.
- Hoover MW, Harmon SJ. Carbohydrate changes in sweetpotato flakes made by the enzyme activation technique. Food Technol 1967, 21, 1529–1532.
- Grace MH, Truong AN, Truong VD, Raskin I, Lila M. Novel value-added uses for sweetpotato juice and flour in polyphenol- and proteinenriched functional food ingredients. Food Sci & Nutr 2015, 3, 415–424. [CrossRef]
- Kotecha PM, Kadam SS. 1998. Sweetpotato. In: Handbook of Vegetable Science and Technology. Production, Composition, Storage and Processing (Salunkhe DK, Kadam SS, editors). New York: Marcel Dekker, Inc., pp. 71–97.
- Kays, SJ. 1985. The Physiology of yield in the sweetpotato. In: Sweetpotato Products: A Natural Resource for the Tropics (Bouwkamp JC, editor). Boca Raton, FL: CRC Press, pp. 79–132.
- 12. Lim PK, Jinap S, Sanny M, Tan CP, Khatib K. 2014. The influence of deep frying using various vegetable oils on acrylamide formation in sweetpotato (Ipomoea batatas L. Lam) chips. J Food Sci 79: T115–T212. [CrossRef]
- Owori C. and Hagenimana V. Quality evaluation of sweetpotato flour processed in different agroecological sites using small scale processing technologies. Afr Potato Assoc Conf Proc 2000, 5, 483–490. [CrossRef]
- Schwartz SJ, Walter WM, Carroll DE, Giesbrecht FG. 1987. Chemical, physical and sensory properties of a sweetpotato French-fry type product during frozen storage. J Food Sci 52:617–619, 633. [CrossRef]
- Truong VD, Walter WM Jr. 1994. Physical and sensory properties of sweetpotato purée texturized with cellulose derivatives. J Food Sci 59:175–1180.
- Truong AN, Simunovic J, Truong VD. 2012. Process development for producing pasteurized anthocyanin-rich juice and recovering starch from purple-fleshed sweetpotatoes. Abstract and Poster Presentation # 230-24, Annual Meeting, Institue of Food Technologists, Las Vegas, NV, June 25–28, 2012.
- Van Hal, M. 2000. Quality of sweetpotato flour during processing and storage. Food Rev Int, 16:1–37.
- Walter WM Jr, Wilson PW. 1992. Frozen sweetpotato products. In: Sweetpotato Technology for the 21st Century (Hill WA, Bonsi CK, Loretan PA, editors). Tuskegee, AL, pp. 400–406.
- Islam, S. Sweetpotato (Ipomoea batatas L.) Leaf: Its Potential Effect on Human Health and Nutrition. Journal of Food Science. 2006, 71, R13–R21. [Google Scholar] [CrossRef]
- Smith, Tara P., S. Stoddard, M. Shankle, and J. Schultheis. 2009. Sweetpotato in the United States, p. 287-323. In G. Loebenstein, G. Thottappilly [eds], pp. 522, The Sweet Potato. Springer Netherlands.
- Abidin, P.E. 2004. Sweetpotato breeding for northeastern Uganda: Farmer varieties, farmer-participatory selection, and performance stability. Ph.D. Thesis, Wageningen University, The Netherlands. 152 pp. ISBN¶ 90-8504-033-7..
- Tang, Y.; Cai, W.; Xu, B. Profiles of Phenolics, Carotenoids and Antioxidative Capacities of Thermal Processed White, Yellow, Orange and Purple Sweet Potatoes Grown in Guilin, China. Food Sci. Hum. Wellness 2015, 4, 123–132. [Google Scholar] [CrossRef]
- Kurata, R.; Sun, H.N.; Oki, T.; Okuno, S.; Ishiguro, K.; Sugawara, T. Sweet Potato Polyphenols. In Sweet Potato Chemistry, Processing and Nutrition; Elsevier Inc.: Amsterdam, The Netherlands, 2019: pp. 177–222.
- Luo, D.; Mu, T.; Sun, H. Profiling of Phenolic Acids and Flavonoids in Sweetpotato (Ipomoea batatas L.) Leaves and Evaluation of Their Anti-Oxidant and Hypoglycemic Activities. Food Biosci. 2021; 39, 100801. [Google Scholar]
- Kim, H.; Koo, K.A.; Park, W.S.; Kang, D.; Kim, H.S.; Lee, B.Y.; Goo, Y.; Kim, J.; Lee, M.K.; Woo, D.K. Anti-obesity Activity of Anthocyanin and Carotenoid Extracts from Color-fleshed Sweet Potatoes. J. Food Biochem. 2020, 44, e13438. [Google Scholar] [CrossRef] [PubMed]
- Naomi, R.; Bahari, H.; Yazid, M.D.; Othman, F.; Zakaria, Z.A.; Hussain, M.K. Potential Effects of Sweet Potato (Ipomoea batatas) in Hyperglycemia and Dyslipidemia—A Systematic Review in Diabetic Retinopathy Context. Int. J.Mol. Sci. 2021, 22, 10816. [Google Scholar] [CrossRef]
- 27. Mohanraj R, Sivasankar S. Sweetpotato (Ipomoea batatas [L.] Lam)—A valuable medicinal food: A Review. J Med Food 2014, 17, 733–741. [CrossRef] [PubMed]
- Padmaja, G. 2009. Uses and nutritional data of sweetpotato. In: The Sweetpotato (Loebenstein G, Thottapilly G, editors). Dordrecht, Netherlands: Springer, pp. 189–233.
- Tsou SCS, Hong TL. 1992. The nutrition and utilization of sweetpotato. In: Sweetpotato Technology for the 21st Century (Hill WA, Bonsi CK, Loretan PA, editors). Tuskegee, AL: Tuskegee University, pp. 359–366.
- Islam, S. 2008. Potential Chemo-preventative properties isolated from Ipomoea batatas leaves. pp. 96-109. In: Functional Foods and Chronic Diseases. ISBN 978-0976753544. Publisher: Functional Food Center at D & A Inc., TX, USA.
- Islam, S. 2014. Medicinal and Nutritional Qualities of Sweetpotato Tips and Leave. Cooperative Extension Service. FSA6135. p. 1-4.
- Islam, S. 2016. Potential Antidiabetic & anticancer activities in the leaves of sweetpotatoes. Int. J Adv. Sci., Eng. Tech., 4.2: 135-138.
- Islam, S. Some bioactive constituents, antioxidant, and antimutagenic activities in the Leaves of Ipomoea batatas Lam. Genotypes. American Journal of Food Science & Technology. 2016, 4.3, 70–80. [Google Scholar]
- Wang, H.; Cao, G.; Prior, R.L. Oxygen Radical Absorbing Capacity of Anthocyanins. J. Agric. Food Chem. 1997, 45, 304–309. [Google Scholar] [CrossRef]
- Bradbury JH, Singh U. Ascorbic and dehydroascorbic acid content of tropical root crops from the South Pacific. J Food Sci 1986, 51, 975–978. [CrossRef]
- Low JW, Arimond M, Osman N, Cunguara B, Zano F, Tschirley D. A food-based approach introducing orange-fleshed sweetpotatoes increased vitamin A intake and serum retinol concentrations in young children in rural Mozambique. J Nutr 2007, 137, 1320–1327. [CrossRef]
- Tanumihardjo, SA. Food-based approaches for ensuring adequate vitamin A nutrition. Compr Rev Food Sci & Food Safety 2008, 7, 373–381. [Google Scholar]
- Van Jaarsveld PJ, Faber M, Tanumihardjo SA, Nestel P, Lombard CJ, Spinnler Benade AJ. 2005. β-carotene rich orange-fleshed sweetpotato improves the vitamin A status of primary School Children associated with the modified relative dose response test. Amer J. Clin. Nutr. 81: 1081-1087. [CrossRef]
- Teow, C.C.; Truong, V.-D.; McFeeters, R.F.; Thompson, R.L.; Pecota, K.V.; Yencho, G.C. Antioxidant Activities, Phenolic and beta-Carotene Contents of Sweet Potato Genotypes with Varying Flesh Colours. Food Chem. 2007, 103, 829–838. [Google Scholar] [CrossRef]
- Li, L.; Aldini, G.; Carini, M.; Chen, C.-Y.O.; Chun, H.-K.; Cho, S.-M.; Park, K.-M.; Correa, C.R.; Russell, R.M.; Blumberg, J.B. Characterisation, Extraction Efficiency, Stability and Antioxidant Activity of Phytonutrients in Angelica Keiskei. Food Chem. 2009, 115, 227–232. [Google Scholar] [CrossRef]
- Nguyen, H.C.; Chen, C.-C.; Lin, K.-H.; Chao, P.-Y.; Lin, H.-H.; Huang, M.-Y. Bioactive Compounds, Antioxidants, and Health Benefits of Sweet Potato Leaves. Molecules 2021, 26, 1820. [Google Scholar] [CrossRef] [PubMed]
- Islam, S Yoshimoto, M., Yahara, S., Okuno, S., and Yamakawa, O. 2002. Identification and characterization of foliar polyphenolic compositions in sweet potato (Ipomoea batatas). J. Agricultural and Food Chemistry. 50(13): 3718-3722.
- Islam, S. , Yoshimoto, Ishiguro, K. and Yamakawa, O. 2003. Bioactive and Functional properties of Ipomoea Batatas L. Leaves. Acta Horticulturae, 628: 693-699.
- Islam, S. , Yoshimoto, Y. Okuno, S., Ishiguro, Yamakawa. 2003. Effect of artificial shading and temperature on radical scavenging activity and polyphenolic compositions in sweetpotato leaves. J American Society for Horticultural Science. 128 (2): 182-187.
- Islam, S. Yoshimoto, Y. and Yamakawa, O. 2003. Distribution and physiological function of caffeoylquinic acid derivatives in sweetpotato genotypes. Journal of Food Science, 68 (1): 111-118.
- Islam, S. , Yoshimoto, M., Terahara, N. and Yamakawa, O. 2002. Anthocyanin compositions in sweetpotato leave. Bioscience, Biotechnology, and Biochemistry. 66: 2483-2486.
- Islam, S. 2019. Antimutagenicity of the water extracts, radical scavenging activity, and phenolic acids in the tops of diverse Ipomoea batatas (L.) Lam. Advances in Biomedical Sciences.4: 46-51.
- Ooi CP, Loke SC. Sweet potato for type 2 diabetes mellitus. Cochrane Database Syst Rev. 2013 Sep 3;2013(9):CD009128. PMID: 24000051; PMCID: PMC6486146. [CrossRef]
- Arisanti CIS, Wirasuta IMAG, Musfiroh I, Ikram EHK, Muchtaridi M. Mechanism of Anti-Diabetic Activity from Sweet Potato (Ipomoea batatas): A Systematic Review. Foods. 2023 Jul 24;12(14):2810.PMID: 37509903; PMCID: PMC10378973. [CrossRef]
- Willcox ML, Elugbaju C, Al-Anbaki M, Lown M, Graz B. Effectiveness of Medicinal Plants for Glycaemic Control in Type 2 Diabetes: An Overview of Meta-Analyses of Clinical Trials. Front Pharmacol. 2021 Nov 26;12:777561. PMID: 34899340; PMCID: PMC8662558. [CrossRef]
- Ludvik BH, Mahdjoobian K, Waldhaeusl W, Hofer A, Prager R, Kautzky-Willer A, et al. The effect of Ipomoea batatas (Caiapo) on glucose metabolism and serum cholesterol in patients with type 2 diabetes: a randomized study. Diabetes Care 2002, 5(1):239-40.
- Ludvik B, Neuffer B, Pacini G. Efficacy of Ipomoea batatas (Caiapo) on diabetes control in type 2 diabetic subjects treated with diet. Diabetes Care 2004, 27(2):436-40. [CrossRef]
- Ludvik B, Hanefeld M, Pacini G. Improved metabolic control by Ipomoea batatas (Caiapo) is associated with increased adiponectin and decreased fibrinogen levels in type 2 diabetic subjects. Diabetes Obesity and Metabolism 2008, 10(7):586-92. [CrossRef]
- El Sheikha, AF & Ray, RC. 2017. Potential impacts of bioprocessing of sweet potato: Review. Crit Rev Food Sci Nutr. 57(3), pp.455-71. https://pubmed.ncbi.nlm.nih.gov/25975980/. [CrossRef]
- Laurie, SM; Faber, M & Claasen, N. 2018. Incorporating orange-fleshed sweet potato into the food system as a strategy for improved nutrition. Food Res Int. 1(104), pp.77-85. https://pubmed.ncbi.nlm.nih.gov/29433786/¶. [CrossRef]
- Wang, S; Nie, S & Zhu, F. 2016. Chemical constituents and health effects of sweetpotato. Food Res Int. 89(1), pp.90-116. https://pubmed.ncbi.nlm.nih.gov/28460992/¶. [CrossRef]
- Dewi NKSM, Ramona Y, Saraswati MR, Wihandani DM, Wirasuta IMAG. The Potential of the Flavonoid Content of Ipomoea batatas L. as an Alternative Analog GLP-1 for Diabetes Type 2 Treatment-Systematic Review. Metabolites. 2023,14(1):29. PMID: 38248832; PMCID: PMC10819535. [CrossRef]
- Ogurtsova, K. , da Rocha Fernandes J.D., Huang Y., Linnenkamp U., Guariguata L., Cho N.H., Cavan D., Shaw J.E., Makaroff L.E. IDF Diabetes Atlas: Global estimates for the prevalence of diabetes for 2015 and 2040. Diabetes Res. Clin. Pract. 2017,128:40–50. [CrossRef]
- Al-Ishaq, R.K. , Abotaleb M., Kubatka P., Kajo K., Büsselberg D. Flavonoids and their anti-diabetic effects: Cellular mechanisms and effects to improve blood sugar levels. Biomolecules. 2019, :430. [CrossRef]
- Sen Tseng, P. , Ande C., Moremen K.W., Crich D. Influence of Side Chain Conformation on the Activity of Glycosidase Inhibitors. Angew. Chem.-Int. Ed. 2023, 62:2–6. [CrossRef]
- Sasaki, K.; Oki, T.; Kai, Y.; Nishiba, Y.; Okuno, S. Effect of Repeated Harvesting on the Content of Caffeic Acid and Seven Species of Caffeoylquinic Acids in Sweet Potato Leaves. Biosci. Biotechnol. Biochem. 2015, 79, 1308–1314. [Google Scholar] [CrossRef]
- Miketinas DC, Bray GA, Beyl RA, Ryan DH, Sacks FM, Champagne CM. Fiber Intake Predicts Weight Loss and Dietary Adherence in Adults Consuming Calorie-Restricted Diets: The POUNDS Lost (Preventing Overweight Using Novel Dietary Strategies) Study. J Nutr. 2019 Oct 1;149(10):1742-1748. PMID: 31174214; PMCID: PMC6768815. [CrossRef]
- Extend Longevity (Zhao, LG., Zhang, QL., Zheng, JL. et al. Dietary, circulating beta-carotene and risk of all-cause mortality: a meta-analysis from prospective studies. Sci Rep 6, 2016, 26983. [CrossRef]
- Bie N, Duan S, Meng M, Guo M, Wang C. Regulatory effect of non-starch polysaccharides from purple sweet potato on intestinal microbiota of mice with antibiotic-associated diarrhea. Food Funct. 2021,12(12):5563-5575. [CrossRef] [PubMed]
- Brown L, Rosner B, Willett WW, Sacks FM. Cholesterol-lowering effects of dietary fiber: a meta-analysis. Am J Clin Nutr. 1999, 69(1):30-42. [CrossRef] [PubMed]
- Islam SN, Nusrat T, Begum P, Ahsan M. Carotenoids and β-carotene in orange fleshed sweet potato: A possible solution to vitamin A deficiency. Food Chem. 2016, 15;199:628-31.Epub 2015 Dec 12. PMID: 26776017. [CrossRef] [PubMed]
- Huang Z, Liu Y, Qi G, Brand D, Zheng SG. Role of Vitamin A in the Immune System. J Clin Med. 2018 Sep 6;7(9):258. PMID: 30200565; PMCID: PMC6162863. [CrossRef]
- de Medeiros PHQS, Pinto DV, de Almeida JZ, Rêgo JMC, Rodrigues FAP, Lima AÂM, Bolick DT, Guerrant RL, Oriá RB. Modulation of Intestinal Immune and Barrier Functions by Vitamin A: Implications for Current Understanding of Malnutrition and Enteric Infections in Children. Nutrients. 2018 Aug 21;10(9):1128. PMID: 30134532; PMCID: PMC6164597. [CrossRef]
- Yoshimoto, M. 2001. New trends of processing and use of sweetpotato in Japan.Farming Japan, 35: 22-28.
- Zeng H, Lazarova DL, Bordonaro M. Mechanisms linking dietary fiber, gut microbiota and colon cancer prevention. World J Gastrointest Oncol. 2014 Feb 15;6(2):41-51. PMID: 24567795; PMCID: PMC3926973. [CrossRef]
- McNabney SM, Henagan TM. Short Chain Fatty Acids in the Colon and Peripheral Tissues: A Focus on Butyrate, Colon Cancer, Obesity and Insulin Resistance. Nutrients. 2017 Dec 12;9(12):1348. PMID: 29231905; PMCID: PMC5748798. [CrossRef]
- Ray D, Alpini G, Glaser S. Probiotic Bifidobacterium species: potential beneficial effects in diarrheal disorders. Focus on “Probiotic Bifidobacterium species stimulate human SLC26A3 gene function and expression in intestinal epithelial cells”. Am J Physiol Cell Physiol. 2014 Dec 15;307(12):C1081-3. Epub 2014 Sep 10. PMID: 25209264; PMCID: PMC4269664. [CrossRef]
- Majid, M.; Nasir, B.; Zahra, S.S.; Khan, M.R.; Mirza, B.; Haq, I.u. Ipomoea batatas L. Lam. Ameliorates Acute and Chronic Inflammations by Suppressing Inflammatory Mediators, a Comprehensive Exploration Using In Vitro and In Vivo Models. BMC Complement Altern. Med. 2018, 18, 216. [CrossRef]
- Park, S.Y.; Lee, S.Y.; Yang, J.W.; Lee, J.S.; Oh, S.D.; Oh, S.; Lee, S.M.; Lim, M.H.; Park, S.K.; Jang, J.S.; et al. Comparative Analysis of Phytochemicals and Polar Metabolites from Colored Sweet Potato (Ipomoea batatas L.) Tubers. Food Sci. Biotechnol. 2016, 25, 283–291. [CrossRef]
- Oki, T.; Masuda, M.; Furuta, S.; Nishiba, Y.; Terahara, N.; Suda, I. Involvement of Anthocyanins and Other Phenolic Compounds in Radical-scavenging Activity of Purple-fleshed Sweetpotato Cultivars. J. Food Sci. 2002, 67, 1752–1756. [Google Scholar] [CrossRef]
- Cordeiro, N.; Freitas, N.; Faria, M.; Gouveia, M. Ipomoea batatas (L.) Lam.: A Rich Source of Lipophilic Phytochemicals. J. Agric. Food Chem. 2013; 61, 12380–12384. [Google Scholar] [CrossRef]
- Islam, S. 2008. Antimicrobial activities of Ipomoea batatas L. Leaf. J Food Agric. Env. 6:16-21.
- Li WL, Yu HY, Zhang XJ, Ke M, Hong T. Purple sweet potato anthocyanin exerts antitumor effect in bladder cancer. Oncol Rep. 2018 Jul;40(1):73-82. Epub 2018 May 8. PMID: 29749527; PMCID: PMC6059756. [CrossRef]
- Sugata M, Lin CY, Shih YC. Anti-Inflammatory and Anticancer Activities of Taiwanese Purple-Fleshed Sweet Potatoes (Ipomoea batatas L. Lam) Extracts. Biomed Res Int. 2015;2015:768093. Epub 2015 Oct 5. PMID: 26509161; PMCID: PMC4609785. [CrossRef]
- Hsu HY, Chen BH. A Comparative Study on Inhibition of Breast Cancer Cells and Tumors in Mice by Carotenoid Extract and Nanoemulsion Prepared from Sweet Potato (Ipomoea batatas L.) Peel. Pharmaceutics. 2022 May 2;14(5):980. PMID: 35631566; PMCID: PMC9144854. [CrossRef]
- Asadi K, Ferguson LR, Philpott M, Karunasinghe N. Cancer-preventive Properties of an Anthocyanin-enriched Sweet Potato in the APCMIN Mouse Model. J Cancer Prev. 2017 Sep;22(3):135-146. Epub 2017 Sep 30. PMID: 29018778; PMCID: PMC5624454. [CrossRef]
- Islam,, S. Adam, Z. Ishrar, I. 2020. Comparative study on some in vitro biological activities of freeze-dried leaf extracts of six advanced accessions of Ipomoea batatas (L.) Lam. Nutrition & Food Science. 10 (1): 1-7.
- Islam, S., Z. Adam and H. Sorker. 2018. Assessing the morphological properties of the new accessions of Ipomoea batatas Lam leaves. J. agricultural, environmental & consumer sciences Journal. 18: 29-33.
- Islam, S. Ehiorobo, I and Garner, J. 2012. Lipid and Fatty Acid Compositions of Chilling Tolerant Sweet potato (Ipomoea batatas L.) Genotypes. American Journal of Plant Physiology, 7: 252-260.
- Jace, E. , Adam, Z. Walker, R. and Islam, S. 2012. Antioxidant activity and phenolic contents of orange-fleshed Sweetpotatoes. Arkansas Environ. Agric. & Conns. J., 11: 34-38.
- Islam, I. et al. 2009. Antimutagenic & antioxidative phytochemicals from Ipomoea batatas L. Int J. Cancer Research. 5: 83-94.
- Islam, S. 2009. Polyphenol contents and caffeic acid derivatives from leaves of Ipomoea batatas. Acta Horic, 841: 527-530.
- Islam, S. et al. 2009. Development of selection procedures of sweetpotato genotypes according to chilling tolerance. Journal of Food, Agriculture, & Environment. 7: 237-245.
- Ciccone MM, Cortese F, Gesualdo M, Carbonara S, Zito A, Ricci G, De Pascalis F, Scicchitano P, Riccioni G. Dietary intake of carotenoids and their antioxidant and anti-inflammatory effects in cardiovascular care. Mediators Inflamm. 2013, 2013:782137. Epub 2013 Dec 31. PMID: 24489447; PMCID: PMC3893834. [CrossRef]
- 90. Mei X, Mu T-H, Han J-J. 2010. Composition and physicochemical properties of dietary fiber extraction from residues of 10 varieties of sweetpotato by a sievign method. J Agric & Food Chem, 58: 7305–7310.
- Cho, H. , Cindi, B., Islam, S., and Lee, S, O. 2021. Sweetpotato Leaves Inhibit Lipopolysaccharide-Induced Inflammation in RAW 264.7 Macrophages via Suppression of NF-κB Signaling Pathway. Foods. 10 (9): 2051(1-16). [CrossRef]
- Peng Z, Li J, Guan Y, Zhao G. 2013. Effect of carriers on physicochemical properties, antioxidant activities and biological components of spray-dried purple sweetpotato flours. LWT— Food Sci Technol 51: 348–355. [CrossRef]
- 93. Suda I, Ishikawa F, Hatakeyama M, Miyawaki M, Kudo T, Hirano K, Ito K, Ito A, Yamakawa O, Horiuchi S. 2008. Intake of purple sweetpotato beverage effects on serum hepatic biomarker levels of healthy adult men with borderline hepatitis. Eur J Clin Nutr, 62:60–67.
- Islam. S., Chowdhury, A. and Akanda, J. 2023. Nineral, Vitamin C, and Oxalate Contents of the 26 Sweetpotato (Ipomoea batatas [L.] Lam) Aceessions Grwoing in the Southern United States. Journal of Agricultural, Environmental and Consumer Science, 23:49-54.
- Sun, H.; Zhang, P.; Zhu, Y.; Lou, Q.; He, S. Antioxidant and Prebiotic Activity of Five Peonidin-Based Anthocyanins Extracted from Purple Sweetpotato (Ipomoea batatas (L.) Lam.). Sci. Rep. 2018, 8, 5018.
- Behera, S.; Chauhan, V.B.S.; Pati, K.; Bansode, V.; Nedunchezhiyan, M.; Verma, A.K.; Monalisa, K.; Naik, P.K.; Naik, S.K. Biology and Biotechnological Aspect of Sweet Potato (Ipomoea batatas L.): A Commercially Important Tuber Crop. Planta 2022, 256, 40. [CrossRef]
- Massi-Benedetti, M.; Federici, M.O. Cardiovascular Risk Factors in Type 2 Diabetes: The Role of Hyperglycaemia. Exp. Clin. Endocrinol. Diabetes 1999, 107, S120–S123. [Google Scholar] [CrossRef] [PubMed]
- Onat, D.; Brillon, D.; Colombo, P.C.; Schmidt, A.M. Human Vascular Endothelial Cells: A Model System for Studying Vascular Inflammation in Diabetes and Atherosclerosis. Curr. Diab. Rep. 2011, 11, 193–202. [Google Scholar] [CrossRef] [PubMed]
- Nicoletto, C.; Vianello, F.; Sambo, P. Effect of Different Home-Cooking Methods on Textural and Nutritional Properties of Sweetpotato Genotypes Grown in Temperate Climate Conditions. J. Sci. Food Agric. 2018, 98, 574–581. [Google Scholar] [CrossRef]
- Rabbani, M.B. , Islam, S. and Lee, S. 2023. Effect of Cooking Methods on the Bioactive Compounds and Physiological Function of Sweetpotato Leaves. (Ipomoea batatas [L.] Lam). Journal of Agricultural, Environmental and Consumer Science, 23:55-63.
- Murador, D.C.; da Cunha, D.T.; de Rosso, V.V. Effects of Cooking Techniques on Vegetable Pigments: A Meta-Analytic Approach to Carotenoid and Anthocyanin Levels. Food Res. Int. 2014, 65, 177–183. [Google Scholar] [CrossRef]
- Cakrawati, D.; Srivichai, S.; Hongsprabhas, P. Effect of Steam-Cooking on (Poly) Phenolic Compounds in Purple Yam and Purple Sweet Potato Tubers. Food Res. 2021, 5, 330–336. [Google Scholar] [CrossRef] [PubMed]
- Carrera, C.; Zelaya-Medina, C.F.; Chinchilla, N. ; Ferreiro-González,M.; Barbero, G.F.; Palma,M. How Different CookingMethods Affect the Phenolic Composition of Sweet Potato forHuman Consumption (Ipomea batata (L.) Lam) Agronomy 2021,; 11, 1636.
- Hong, K.H.; Koh, E. Effects of Cooking Methods on Anthocyanins and Total Phenolics in Purple-fleshed Sweet Potato. J. Food Processing Preserv. 2016, 40, 1054–1063. [Google Scholar] [CrossRef]
- Hou, F.; Mu, T.; Ma, M.; Blecker, C. Optimization of Processing Technology Using Response Surface Methodology and Physicochemical Properties of Roasted Sweet Potato. Food Chem. 2019, 278, 136–143. [Google Scholar] [CrossRef]
- Burgos, G. ; Amoros,W.; Muñoa, L.; Sosa, P.; Cayhualla, E.; Sanchez, C.; Díaz, C.; Bonierbale, M. Total Phenolic, Total Anthocyanin and Phenolic Acid Concentrations and Antioxidant Activity of Purple-Fleshed Potatoes as Affected by Boiling. J. Food Compos. Anal. 2013, 30, 6–12. [CrossRef]
- Johnson, M, Pace RD. 2010. Sweetpotato leaves: properties and synergistic interactions that promote health and prevent disease. Nutr Rev, 68: 604–615.
- Sun H, Mu T, Xi L, Zhang M, Chen J. 2014. Sweetpotato (Ipomoea batatas L.) leaves as nutritional and functional foods. Food Chem, 156: 380–389. [CrossRef]
- Roullier C, Duputié A, Wennekes P, Benoit L, Bringas VMF, Rossel G, Tay D, McKey, D and Lebot, V 2013a. Disentangling the Origins of Cultivated Sweetpotato (Ipomoea batatas (L.) Lam.). PLoS ONE, 8(5): e62707.
- Roullier C, Benoit L, McKey DB, and Lebot V. 2013. Historical collections reveal patterns of diffusion of sweetpotato in Oceania obscured by modern plant movements and recombination. PNAS, 110: 2205–2210.
- Bohac JR, Dukes PD, Austin DF. 1995. Sweetpotato Ipomoea batatas (Convolvulaceae). In: Evolution of Crop Plants (Smartt J, Simmonds NW, editors). Essex: Longman Scientific and Technical, pp. 57–62.
- B. Ludvik, M. Hanefeld, G. Pacini. 2008. Improved metabolic control by Ipomoea batatas (Caiapo) is associated with increased adiponectin and decreased fibrinogen levels in type 2 diabetic subjects. Diabetes, obesity and Metabolism. [CrossRef]
- 113. Xu J, Su X, Lim S, Griffin J, Carey E, Katz B, Tomich J, Smith JS, Wang W. 2015. Characterization and stability of anthocyanins in purple-fleshed sweetpotato P40. Food Chem. 186: 90–96.114.
- Austin, DF. 1988. The taxonomy, evolution, and genetic diversity of sweetpotato and related wild species. In: Exploration, Maintenance, and Utilization of the Sweetpotato Genetic Resources. Lima, Peru: International Potato Center, pp. 27–60.
- Steed LE, Truong VD. 2008. Anthocyanin content, antioxidant activity and selected physical properties of flowable purple-fleshed sweetpotato purées. J Food Sci 73:S215–S221. Steed LE, Truong VD, Simunovic J, Sandeep KP, Kumar P, Cartwright GD, Swartzel KR. 2008. Continuous flow microwave-assisted processing and aseptic packaging of purple-fleshed sweetpotato purées. J Food Sci, 73:E455–E462. [CrossRef]
- Islam, S. , Porter, O, Izekor, S. and Garner, J. O. 2007. Quality characteristics and yield attributes of sweetpotato genotypes grown under sustainable cultural conditions. Journal of Food, Agriculture & Environment, 5:220-224.
- Antonio GC, Alves DG, Azoubel PM, Murr FEX, Park KJ. 2008. Influence of osmotic dehydration and high temperature short time processes on dried sweetpotato (Ipomoea batatas Lam.). J Food Eng, 84:375–382.
- Arancibia, R. A. , Smith, C. D., LaBonte, D. R., Main, J. L., Smith, T. P., & Villordon, A. Q. 2014. Optimizing Sweetpotato Production for Fresh and Processing Markets through Plant Spacing and Planting-harvest Time. HortTechnology hortte, 24(1), 16-24. [CrossRef]
- Ezeano, C. I. 2010. Technology use in sweetpotato production, consumption, and utilization among households in southeastern Nigeria. Journal of Agriculture and Social Research. 10 (1): 36-42.
- Ravi V, Indira P. 1999. Crop physiology of sweetpotato. In: Horticultural Reviews, Vol. 23 (Janick J, editor). Amers, IA: John Wiley & Sons, pp. 277–284.
- Truong, V.D.; McFeeters, R.F.; Thompson, R.T.; Dean, L.L.; Shofran, B. Phenolic Acid Content and Composition in Leaves and Roots of Common Commercial Sweetpotato (Ipomea batatas L.) Cultivars in the United States. J. Food Sci. 2007, 72, C343–C349.
- Antonio, G. C. , Takeiti, C. Y., Oliveira. R., A., and Park, K. J. 2011. Sweetpotato: Production, Morpholological and physicochemical characteristics, and technological Process. Fruit, Vegetable and Cereal Science and Biotechnology, 5 (special issue): 1-18. 11.
- Islam, S. , Rabbani, B., and Sorker. 2020. Exploration on the unconventional accessions of sweetpotato tops as leafy greens. J. Agril. Environ. Consumer Sci. 20: 33-37.
- Selokela, L.M.; Laurie, S.M.; Sivakumar, D. Impact of Different Postharvest Thermal Processes on Changes in Antioxidant Constituents, Activity and Nutritional Compounds in Sweet Potato with Varying Flesh Colour. South Afr. J. Bot. 2022, 144, 380–388. [Google Scholar] [CrossRef]
- Aditya Parmar, Sascha M. Kirchner, Barbara Sturm & Oliver Hensel. 2017. Pre-harvest Curing: Effects on Skin Adhesion, Chemical Composition and Shelf-life of Sweetpotato Roots under Tropical Conditions. East African Agricultural and Forestry Journal 82:2-4, pages 130-143. [CrossRef]
- Aditya Parmar, Oliver Hensel & Barbara Sturm. 2017. Post-harvest handling practices and associated food losses and limitations in the sweetpotato value chain of southern Ethiopia. NJAS: Wageningen Journal of Life Sciences 80:1, pages 65-74. [CrossRef]
- R.C. Ray & V. Ravi. 2005. Post Harvest Spoilage of Sweetpotato in Tropics and Control Measures. Critical Reviews in Food Science and Nutrition, 45:7-8, pages 623-644. [CrossRef]
- Tomlins K, Owori C, Bechoff A, Menya G, Westby A. 2012. Relationship among the carotenoid content and sensory attributes of sweetpotato. Food Chem, 131: 14–21.
- Amagloh, Francis Kweku, Alhassan, Sampson, Nyarko, George, Atuna, Richard Atinpoore, Carey, Edward Ewing and Low, Jan W. “Packaging containers for long-distance transport of sweetpotato [Ipomoea batatas (L) Lam] storage roots in Ghana” Open Agriculture, vol. 3, no. 1, 2018, pp. 596-608. [CrossRef]
- George, J.B. (1988). Postharvest, handling, transporting and losses during the marketing of sweetpotatoes. Acta Hortic. 218, 369-374. [CrossRef]
- Wang, S.; Nie, S.; Zhu, F. Chemical Constituents and Health Effects of Sweet Potato. Food Res. Int. 2016, 89, 90–116. [Google Scholar] [CrossRef] [PubMed]
- Abalos, R.A.; Naef, E.F.; Aviles, M.V.; Gómez, M.B. Vacuum Impregnation: A Methodology for the Preparation of a Ready-to-Eat Sweet Potato Enriched in Polyphenols. LWT 2020, 131, 109773. [Google Scholar] [CrossRef]
- Kr˛ecisz, M.; Kolniak-Ostek, J.; St˛epie ’ n, B.; Łyczko, J.; Pasławska, M.; Musiałowska, J. Influence of Drying Methods and Vacuum Impregnation on Selected Quality Factors of Dried Sweet Potato. Agriculture 2021, 11, 858. [Google Scholar] [CrossRef]
- Sarah Chilungo, S. , Muzhingi, T., Truong, V. D., and Allen, J. C. 2019. Effect of Storage and Packaging Materials on Color and Carotenoid Content of Orange-Fleshed Sweetpotato Flours. International Journal of Innovative Science and Research Technology. 4 (9): 363-369.
- Erturk, E. and Picha, D.H. 2002. Modified atmosphere packaging of fresh-cut sweetpotatoes (Ipomoea batatas L.). Acta Hortic. 583: 223-230. [CrossRef]
- Vannini, Micaela, Paola Marchese, Laura Sisti, Andrea Saccani, Taihua Mu, Hongnan Sun, and Annamaria Celli. 2021. Integrated Efforts for the Valorization of Sweet Potato By-Products within a Circular Economy Concept: Biocomposites for Packaging Applications Close the Loop. Polymers 13, no. 7: 1048. [CrossRef]
- Krochmal-Marczak, Barbara, Barbara Sawicka, Barbara Krzysztofik, Honorata Danilčenko, and Elvyra Jariene. 2020. “The Effects of Temperature on the Quality and Storage Stalibity of Sweet Potato (Ipomoea batatas L. [Lam]) Grown in Central Europe” Agronomy 10, no. 11: 1665. [CrossRef]
- Chakraborty, C. , Roychowdhury, R. Chakraborty, S., Chakravorty, P. and Ghosh, D. 2017. A Review on Post-Harvest Profile of Sweet Potato. International Journal of Current Microbiology and Applied Sciences. Volume 6 (5): 1894-1903. [CrossRef]
- Abong’, G.O.; Muzhingi, T.; Okoth, M.W.; Ng’ang’a, F.; Emelda Ochieng, P.; Mbogo, D.M.; Malavi, D.; Akhwale, M.; Ghimire, S. Processing Methods Affect Phytochemical Contents in Products Prepared from Orange-fleshed Sweetpotato Leaves and Roots. Food Sci. Nutr. 2021, 9, 1070–1078. [Google Scholar] [CrossRef]
- Betoret, E.; Betoret, N.; Rocculi, P. ; Dalla Rosa,M. Strategies to Improve Food Functionality: Structure–Property Relationships on High Pressures Homogenization, Vacuum Impregnation and Drying Technologies. Trends Food Sci. Technol. 2015, 46, 1–12 -140.
- Sarah Chilungo, S. , Muzhingi, T., Truong, V. D., and Allen, J. C. 2019. Effect of Storage and Packaging Materials on Color and Carotenoid Content of Orange-Fleshed Sweetpotato Flours. International Journal of Innovative Science and Research Technology. 4 (9): 363-369.
- Erturk, E. and Picha, D.H. 2002. Modified atmosphere packaging of fresh-cut sweetpotatoes (Ipomoea batatas L.). Acta Hortic. 583: 223-230. [CrossRef]
- Vannini, Micaela, Paola Marchese, Laura Sisti, Andrea Saccani, Taihua Mu, Hongnan Sun, and Annamaria Celli. 2021. “Integrated Efforts for the Valorization of Sweet Potato By-Products within a Circular Economy Concept: Biocomposites for Packaging Applications Close the Loop” Polymers 13, no. 7: 1048. [CrossRef]
- Talekar, N.S. 1987. Influence of cultural pest management Technology on the infestation ofsweet potato weevil. Insect sci Applic 8: 815 – 817.
- R B Chalfant,, R K Jansson,, D R Seal, and, and J M Schalk, 1990. Ecology and Management of Sweet Potato Insects. Annual Review of Entomology, 35:1, 157-180.
- K. C. Igwe, A. A. Osipitan, C. G. Afolabi O. I. Lawal (2023) Assessment of insect pests of sweet potato (Ipomoea batatas L.) and control with botanicals, International Journal of Pest Management, 69:4, 315-323,. [CrossRef]
- Delete, KM, and Brecht, JK. 1989. Quality of Tropical Sweetpotato Exposed to Controlled Atmosphere Treatments for Postharvest Insect Control. Journal of the American Society for the Horticultural Science, 114 (6): 963-968.
- Himuro C, Kohama T, Matsuyama T, Sadoyama Y, Kawamura F, Honma A, et al. 2022. First case of successful eradication of the sweet potato weevil, Cylas formicarius (Fabricius), using the sterile insect technique. PLoS ONE 17(5): e0267728.
- D. L. Gutiérrez, S. Fuentes, and L. F. Salazar, 2003. Sweetpotato Virus Disease (SPVD): Distribution, Incidence, and Effect on Sweetpotato Yield in Peru. Plant Diseases. 87(3): 297-302.
- Hegde, V. , Misra, R. S., and Jeeva, M. L. 2012. Sweetpotato Diseases: Diagbnosis and Management. Fruiit, vegetable and Cereal Science and Biotechnology. 6 (special Issue 1): 65-78.
- Cadena-Hinojosa, M. A. , and Campbell, R. N. 1981. Serologic detection of feathery mottle virus strains in sweet potatoes and Ipomoea incarnata. Plant Dis. 65:412-414.
- Carey, E. E. , Gibson, R. W., Fuentes, S., Machmud, M., Mwanga, R. O. M., Turya-mureeba, G., Zhang, L., Ma, D., Abo El-Abbas, F., El-Bedewy, R., and Salazar, L. F. 1999. The causes and control of virus diseases of sweetpotato in developing countries: Is sweetpotato virus disease the main problem?. Pages 241-248 in: Impact on a Changing World. CIP Program Report 1997–98. CIP, Lima, Peru.
- Di Feo, L. , Nome, S. F., Biderbost, E., Fuentes, S., and Salazar, L. F. 2000. Etiology of sweet potato chlorotic dwarf disease in Argentina. Plant Dis. 84:35-39.
- Estes, EA. 2009. Marketing sweetpotatoes in the United States: A serious challenge for small-tomoderate volume growers. In The Sweetpotatoes (Loebenstein G, Thottappily G, editors). Dordrecht, Netherlands: Springer. pp. 269–283. FAO. 2015. Food and Agriculture Organization Statistical Production YearbookRome: FAO.
- Uzoigwe, D. A. , Muoneke, C. O., Nwokoro, C. C., & Ene, C. O. 2019. Benefit Cost Analysis of Orange Fleshed Sweet Potato (Ipomoea batatas L.) Varieties under Varying Planting Density. Notulae Scientia Biologicae, 11(1), 145–148. [CrossRef]
- Lu, Yuzhen, Lorin Harvey, and Mark Shankle. 2023. “Survey and Cost–Benefit Analysis of Sorting Technology for the Sweetpotato Packing Lines” AgriEngineering 5, no. 2: 941-949. [CrossRef]
- Merga Boru. 2019. Cost Effectiveness of Sweet Potato Production Using Farmyard Manure and Inorganic Phosphorus Fertilizer at Assosa Western Ethiopia. Journal of Plant Sciences. Vol. 7, No. 1, 2019, pp. 1-4. [CrossRef]
- Tang, Chaochen, Yusheng Lu, Bingzhi Jiang, Jingyi Chen, Xueying Mo, Yang Yang, and Zhangying Wang. 2022. “Energy, Economic, and Environmental Assessment of Sweet Potato Production on Plantations of Various Sizes in South China” Agronomy 12, no. 6: 1290. [CrossRef]
- Afzal, Nouman, Stavros Afionis, Lindsay C. Stringer, Nicola Favretto, Marco Sakai, and Paola Sakai. 2021. “Benefits and Trade-Offs of Smallholder Sweet Potato Cultivation as a Pathway toward Achieving the Sustainable Development Goals” Sustainability 13, no. 2: 552. [CrossRef]
- Fossen, T.; Andersen, Ø.M. Anthocyanins from Tubers and Shoots of the Purple Potato, Solanum tuberosum. J. Hortic. Sci. Biotechnol. 2000, 75, 360–363-183.
- Picha, D. H. 1985. Crude protein, minerals, and total carotenoids in sweetpotatoes. Journal of Food Science. 50 (6): 1768-1769.
- Sanoussi, A. F, Adjatin, A., Dansi, A., Adebowale, A. Sanni, L. O. and Sanni, A, 2016. Mineral Composition of Ten Elites Sweet Potato (Ipomoea batatas [L.] Lam.) Landraces of Benin, International Journal of Current Microbiology and Applied Science. 5 (1): 103-115. [CrossRef]
- Ana, M.P. dos Santos, Jeane S. Lima, Ivanice F. dos Santos, Emmanuelle F.R. Silva, Fernanda A. de Santana, Dominique G.G.R. de Araujo, Liz O. dos Santos. 2019. Mineral and centesimal composition evaluation of conventional and organic cultivars sweet potato (Ipomoea batatas (L.) Lam) using chemometric tools, Food Chemistry, 273, 166-171. [CrossRef]
- P.R Warman, K.A Havard, 1998. Yield, vitamin and mineral contents of organically and conventionally grown potatoes and sweet corn, Agriculture, Ecosystems & Environment, 68, 3, 207-216,.
- Ranteallo, Y. , Ahmad, M., Syam, A., and Nilawati, A. 2023. Identification and quantification of minerals and vitamins of purple sweet potato (Ipomoea batatas) leave IOP Conf. Ser.: Earth Environ. Sci. 1230 012134. [CrossRef]
- Awol, A. 2014. Phytochemical Screening, Proximate and Mineral Composition of Sweet Potato Leaves Grown in Tepi Provision, South- west of Ethiopia Sci. Technol. Arts Res. J. 3 112.
- Everette, J. , and Islam, S. 2012. Effect of Extraction Procedures, Genotypes, and Screening Methods to Measure the Antioxidant Potential and Phenolic Content of Orange-fleshed Ipomoea batatas L. American Journal of Food Technology, 7: 50-61.
- Jung, J.-K.; Lee, S.-U.; Kozukue, N.; Levin, C.E.; Friedman, M. Distribution of Phenolic Compounds and Antioxidative Activities in Parts of Sweet Potato (Ipomoea batata L.) Plants and in Home Processed Roots. J. Food Compos. Anal. 2011, 24, 29–37.
- Zhu, F.; Cai, Y.Z.; Yang, X.; Ke, J.; Corke, H. Anthocyanins, Hydroxycinnamic Acid Derivatives, and Antioxidant Activity in Roots of Different Chinese Purple-Fleshed Sweetpotato Genotypes. J. Agric. Food Chem. 2010, 58, 7588–7596. [Google Scholar] [CrossRef] [PubMed]
- Oluyori AP, Shaw AK, Olatunji GA, Rastogi P, Meena S, Datta D, Arora A, Reddy S, Puli S. Sweet Potato Peels and Cancer Prevention. Nutr Cancer. 2016 Nov-Dec;68(8):1330-1337. Epub 2016 Sep 27. [CrossRef] [PubMed]
- 171. Hu Y, Deng L, Chen J, Zhou S, Liu S, Fu Y, Yang C, Liao Z, Chen M. 2016. An analytical pipeline to compare and characterise the anthocyanin antioxidant activities of purple sweetpoatto cultivars. Food Chem, 194: 46–54.
- Edmunds B, Boyette M, Clark C, Ferrin D, Smith T, Holmes G. 2008. Postharvest Handling of Sweetpotatoes. NC Cooperative extension Service. AG-413–10-B.
- Khoo HE, Ng HS, Yap WS, Goh HJH, Yim HS. Nutrients for Prevention of Macular Degeneration and Eye-Related Diseases. Antioxidants (Basel). 2019 Apr 2;8(4):85. PMID: 30986936; PMCID: PMC6523787. [CrossRef]
- Johra FT, Bepari AK, Bristy AT, Reza HM. A Mechanistic Review of β-Carotene, Lutein, and Zeaxanthin in Eye Health and Disease. Antioxidants (Basel). 2020 Oct 26;9(11):1046. PMID: 33114699; PMCID: PMC7692753. [CrossRef]
- Sun M, Lu X, Hao L, Wu T, Zhao H, Wang C. The influences of purple sweet potato anthocyanin on the growth characteristics of human retinal pigment epithelial cells. Food Nutr Res. 2015 Jun 11;59:27830. PMID: 26070791; PMCID: PMC4464420. [CrossRef]
- Li J, Shi Z, Mi Y. Purple sweet potato color attenuates high fat-induced neuroinflammation in mouse brain by inhibiting MAPK and NF-κB activation. Mol Med Rep. 2018 Mar;17(3):4823-4831. Epub 2018 Jan 17. [CrossRef] [PubMed]
- Widyastuti K, Mahadewa TGB, Suprapta DN, Sudewi AAR. Effect of providing purple sweet potato water extract on tumor necrosis factor-α levels, protein 53 expression, glial fibrillary acidic protein expression, brain-derived neurotrophic factor levels, and spatial working memory in rats with d-galactose induction. Dement Neuropsychol. 2022 Apr-Jun;16(2):228-236. Epub 2022 Jun 6. PMID: 35720655; PMCID: PMC9173786. [CrossRef]
- Cao L, Tan L, Wang HF, Jiang T, Zhu XC, Lu H, Tan MS, Yu JT. Dietary Patterns and Risk of Dementia: a Systematic Review and Meta-Analysis of Cohort Studies. Mol Neurobiol. 2016 Nov;53(9):6144-6154. Epub 2015 Nov 9. [CrossRef] [PubMed]
- Islam, S. , Jalaluddin, M., Garner, G., Yoshimoto, Yamakawa, O. 2005. Artificial shading and temperature influenced on anthocyanin composition of Ipomoea batatas. HortScience: 40: 176-180.
- 180. Lim S, Xu J, Kim J, Chen T-Y, Su X, Standard J, Carey E, Griffin J, Herndon B, Katz B, Tomich J, Wang W. 2013. Role of anthocyanin-enriched purple-fleshed sweetpotato p40 in colorectal cancer prevention. Mol Nutr & Food Res, 57: 1908–1917.
- Shimozono H, Kobori M, Shinmoto H, Tsushida T. 1996. Suppression of the melanogenesis of mouse melanoma B 16 cells by sweetpotato extract. Nippon Shokuhin Kagaku Kogaku Kaishi. 43: 313-317.
- Kim, H.W.; Kim, J.B.; Cho, S.M.; Chung, M.N.; Lee, Y.M.; Chu, S.M.; Che, J.H.; Kim, S.N.; Kim, S.Y.; Cho, Y.S.; et al. Anthocyanin Changes in the Korean Purple-Fleshed Sweet Potato, Shinzami, as Affected by Steaming and Baking. Food Chem. 2012, 130, 966–972. [Google Scholar] [CrossRef]
- Xu, J.; Su, X.; Lim, S.; Griffin, J.; Carey, E.; Katz, B.; Tomich, J.; Smith, J.S. ;Wang,W. Characterisation and Stability of Anthocyanins in Purple-Fleshed Sweetpotato P40. Food Chem. 2015; 186, 90–96. [Google Scholar]
- He, W.; Zeng, M.; Chen, J.; Jiao, Y.; Niu, F.; Tao, G.; Zhang, S.; Qin, F.; He, Z. Identification and Quantitation of Anthocyanins in Purple-Fleshed Sweet Potatoes Cultivated in China by UPLC-PDA and UPLC-QTOF-MS/MS. J. Agric. Food Chem. 2016, 64, 171–177. [Google Scholar] [CrossRef]
- Lee, M.J.; Park, J.S.; Choi, D.S.; Jung, M.Y. Characterization and Quantitation of Anthocyanins in Purple-Fleshed Sweet Potatoes Cultivated in Korea by HPLC-DAD and HPLC-ESI-QTOF-MS/MS. J. Agric. Food Chem. 2013, 61, 3148–3158. [Google Scholar] [CrossRef]
- Neela S, Fanta SW. Review on nutritional composition of orange-fleshed sweet potato and its role in management of vitamin A deficiency. Food Sci Nutr. 2019 May 17;7(6):1920-1945. PMID: 31289641; PMCID: PMC6593376. [CrossRef]
- Matsufuji, H.; Kido, H.; Misawa, H.; Yaguchi, J.; Otsuki, T.; Chino, M.; Takeda, M.; Yamagata, K. Stability to Light, Heat, and Hydrogen Peroxide at Different PH Values and DPPH Radical Scavenging Activity of Acylated Anthocyanins from Red Radish Extract. J. Agric. Food Chem. 2007, 55, 3692–3701. [Google Scholar] [CrossRef]
- Padda, M.S.; Picha, D.H. Quantification of Phenolic Acids and Antioxidant Activity in Sweetpotato Genotypes. Sci. Hortic. 2008, 119, 17–20. [Google Scholar] [CrossRef]
- Shih, P.-H.; Yeh, C.-T.; Yen, G.-C. Anthocyanins Induce the Activation of Phase II Enzymes through the Antioxidant Response Element Pathway against Oxidative Stress-Induced Apoptosis. J. Agric. Food Chem. 2007, 55, 9427–9435 - 33.
- Cui, R.; Zhu, F. Effect of Ultrasound on Structural and Physicochemical Properties of Sweetpotato and Wheat Flours. Ultrason. Sonochem. 2020, 66, 105118 -125.
- Wang, et al., 2011. Antimicrobial Activity of Sweet Potato (Ipomoea batatas L.) Leaf Extracts against Foodborne Pathogens.Jourrnal of Food Safety, 2011. [CrossRef]
- Gan, et al. 2015. Antimicrobial Activity of Sweet Potato (Ipomoea batatas L.) Leaf Extracts against Pathogenic Bacteria. Food Science and Human Wellness. 2015. [CrossRef]
- Wang J, et al. 2012. Antibacterial Activity of Sweet Potato (Ipomoea batatas L.) Extracts against Foodborne Pathogens. Food Control, 2012. [CrossRef]
- Wang J, et al. 2012. Antimicrobial Activity of Sweet Potato Vine Extracts against Foodborne Pathogens. Foodborne Pathogens and Disease, 2012. [CrossRef]
- et al. , 2014. Antimicrobial Activity of Sweet Potato (Ipomoea batatas L.) Extracts against Periodontal Pathogens. Journal of Bacteriology and Virology, 2014. [CrossRef]
- Oyebode OA, et al. 2014. Evaluation of the Antimicrobial Properties of Sweet Potato (Ipomoea batatas) Leaf Extracts against Some Clinically Important Bacterial Pathogens. Journal: Journal of Medicinal Food, 2014. [CrossRef]
- Zhang Y, et al. 2019. Cardiovascular Benefits of Sweet Potato Anthocyanins: A Review. Nutrients, 2019. [CrossRef]
- Oloyede OO, et al. 2019. Sweet Potato (Ipomoea batatas L.) and its Health Benefits: A Review. European Journal of Medicinal Plants, 2019.
- Wang L, et al. 2020. Sweet Potato (Ipomoea batatas L.) Bioactive Compounds and Health Benefits: A Review. Food Chemistry, 2020. [CrossRef]
- Kaur M, et al. 2021. Sweet Potato (Ipomoea batatas L.) Leaves as a Potential Source of Bioactive Compounds: A Review. Food Chemistry, 2021. [CrossRef]
- Hou DX, et al. 2021. Effects of Sweet Potato (Ipomoea batatas L.) on Cardiovascular Disease: A Review. Nutrients, 2021.
- Ukpabi UJ, et al. 2021. Sweet Potato (Ipomoea batatas L.) and Its Health Benefits: A Review. Journal of Food Science and Technology, 2021. [CrossRef]
- Hou, DX. 2003. Potential mechanisms of cancer chemoprevention by anthocyanins. Current Mol Med 3:1-10.
- K-Islam, Yoshinaga M, Hou DX, Terahara N, Yamakawa.O. 2003. Potential chemopreventive properties of anthocyanin-rich aqueous extracts in vitro produced tissue of sweetpotato (Ipomoea batatas L.). J Agric Food Chem 51:5916–5922.
- Peluso G, Feo VD, Simone FD, Bresciano E, Vuotto ML. 1995. Studies on the inhibitory effects of caffeoylquinic acids on monocyte migration and superoxide anion production. J Natu Prods 58: 639-646.
- Suda I, Yamakawa O, Matsugano K, Sugita K, Asuma K, Irisa K, Tokumaru F. 1998.Changes of serum γ–GTP, GOT and GPT levels in hepatic function-weak in subjects by ingestion of high anthocyanin sweetpotato juice. Nippon Shokuhin Kagaku Kogaku Kaishi 45:611–617. [CrossRef]
- Toeller, M. 1994. -Glucosidase inhibitors in diabetes: efficacy in NIDDM subjects. European J. Clinical Investigation, 24: 32-35.
- 208. Matsui T, Ueda T, Oki T, Sugita K, Terahara N, Matsumoto K. 2001. α-glucosidase inhibitory action of natural acylated anthocyanins. 1. Survey of natural pigments with potent inhibitory activity. J Agric Food Chem 49: 1948–1951.
- 209. Matsui T, Ueda T, Oki T, Sugita K, Terahara N, Matsumoto K. 2001. α-glucosidase inhibitory action of natural acylated anthocyanins. 2 α-glucosidase inhibition by. isolated acylated anthocyanins. J Agric Food Chem 49: 1952–1956.
- Matsui T, Ebuchi S, Kobayashi M, Fukui K, Sugita K, Terahara N, Matsumoto K. 2002. The Antihyperglycemic effect of diacylated anthocyanin derived from Ipomoea batatas cultivar Ayamurasaki can be achieved through the α-glucosidase inhibitory action. J Agric Food Chem 50:7244–7248.
- Matsui T, Ebuchi S, Fujise T, Abesundara KJM, Doi S, Yamada H, Matsumoto K. 2004. Strong antihyperglycemic effects of the water-soluble fraction of Brazilian propolis and its bioactive constituent, 3,4,5-tri-O-caffeoylquinic acid. Biol Pharm Bull 27:1797-1803.
- Bovell-Benjamin, AC. 2007. Sweetpotato: a review of its past, present, and future role in human nutrition. Adv Food & Nutr Res, 52:1–48.
- Sunan Wang, Shaoping Nie, Fan Zhu. 2016. Chemical constituents and health effects of sweet potato. Food Research International. Volume 89 (1): 90-116. [CrossRef]
- Jiang, P.; Han, B.; Jiang, L.; Li, Y.; Yu, Y.; Xu, H.; Li, Z.; Zhou, D.; Jia, X.; Li, X.; et al. Simultaneous Separation and Quantitation of Three Phytosterols from the Sweet Potato, and Determination of Their Anti-Breast Cancer Activity. J. Pharm. Biomed. Anal. 2019, 174, 718–727. [Google Scholar] [CrossRef] [PubMed]
- Kato, K.; Nagane, M.; Aihara, N.; Kamiie, J.; Miyanabe, M.; Hiraki, S.; Luo, X.; Nakanishi, I.; Shoji, Y.; Matsumoto, K. Lipid-Soluble Polyphenols from Sweet Potato Exert Antitumor Activity and Enhance Chemosensitivity in Breast Cancer. J. Clin. Biochem. Nutr. 2021, 68, 193–200 - 215.
- Li, Z.; Yu, Y.; Wang, M.; Xu, H.; Han, B.; Jiang, P.; Ma, H.; Li, Y.; Tian, C.; Zhou, D. Anti-Breast Cancer Activity of SPG-56 from Sweetpotato in MCF-7 Bearing Mice in Situ through Promoting Apoptosis and Inhibiting Metastasis. Sci. Rep. 2019, 9, 146 - 216.
- Mahmood, N.; Moore, P. S.; Tommasi, N. D.; Simone, F. D.; Colman, S.; Hay, A. J.; Pizza, C. 1993. Inhibition of HIV infection by caffeoylquinic acid derivatives. Antiviral Chem. Chemother. 4, 235-240. [CrossRef]
- Yamakawa, O. and Yoshimoto M. 2002. Sweetpotato is a new food material with physiological functions. Food and health for the future. In ‘Proceedings 1st International Conference on Sweetpotato, Food and Health for the Future. Acta Horticulture 583, 179–185. [CrossRef]
- Jones, A. 1986. Sweetpotato heritability estimates and their use in breeding. HortSci, 21:14–17. [CrossRef]
- Zhang Y, et al. 2020. Effects of Sweet Potato Consumption on Obesity and Related Metabolic Disorders: A Systematic Review and Meta-Analysis. Nutrients, 2020. [CrossRef]
- Wu T, et al. 2018. Dietary Sweet Potato (Ipomoea batatas) Attenuates High-Fat Diet-Induced Obesity and Insulin Resistance via the Regulation of Adipose Tissue Metabolism. Journal of Medicinal Food, 2018. [CrossRef]
- Li M, et al.. 2019. Sweet Potato Consumption and Risk of Obesity: A Prospective Cohort Study., Nutrients, 2019. [CrossRef]
- Hwang YH, et al. 2014. Effects of Sweet Potato on Obesity and Obesity-Related Metabolic Disorders. Journal: Nutrition Research and Practice, 2014.
- Kim K, et al. 2019. Anti-Obesity Effects of Sweet Potato Extracts on High-Fat Diet-Induced Obese Mice. Nutrients, 2019.
- Islam, S. , Porter, O. A. Corley, A. V., and Garner, J. O. 2005. Genotypic variation of fifteen sweetpotato (Ipomoea batatas L.) varieties grown in southern Arkansas. J. Arkansas Agricultural & Rural Development, 6: 16-18.
- Islam, S. , Willy, V., Jalaluddin, M. and Garner, J. O. 2005. Ornamental sweetpotato (Ipomoea batatas L.) cultivation: genotypic and phenotypic performance of different cultivars. J. Arkansas Agricultural & Rural Development, 6:5-7. [CrossRef]
- Lee H, Kim H, Jo C, et al. Modulation of Enzyme Activities in Sweetpotato (Ipomoea batatas) by Thermal Processing. J Food Sci. 2019, 84(9):2509-2515. [CrossRef]
- Kim HJ, Kim H, Kim J, Kim S. Modulation of Enzyme Activities in Sweetpotato (Ipomoea batatas) during Storage. Foods. 2020, 9(5):571. [CrossRef]
- Kim JH, Kim H, Kim HJ, Kim S. Modulation of Enzyme Activities in Sweetpotato (Ipomoea batatas) during Processing. Foods. 2021,10(4):811. [CrossRef]
- Lee H, Kim H, Jo C, et al. Modulation of Enzyme Activities in Sweetpotato (Ipomoea batatas) by Different Cooking Methods. Foods. 2021, 10(10):2385.
- Huang Y, Zhang C, Li W, et al. Identification of Glutathione S-transferase genes in sweet potato (Ipomoea batatas) and their expression under abiotic stress. PLoS One. 2019,14(1):e0209988. [CrossRef]
- Li W, Zhang C, Lu Q, et al. Glutathione S-transferase gene family in sweet potato: Genome-wide identification and expression profiling under abiotic stresses and storage. PLoS One. 2017,12(7):e0180369. [CrossRef]
- Zhang C, Li W, Liang Q, et al. Characterization of GST gene family from sweet potato in response to Phytophthora infestans infection. Int J Mol Sci. 2017, 18(7):1450. [CrossRef]
- Zhang C, Li W, Wang Q, et al. Genome-wide identification and expression analysis of the glutathione S-transferase gene family in sweet potato wild relative Ipomoea trifida. BMC Genomics. 2017, 18(1):387.
- Jenkins DJ, Wolever TM, Taylor RH, et al. 1981. Glycemic index of foods: a physiological basis for carbohydrate exchange. Am J Clin Nutr. 34(3): 362-366. [CrossRef]
- Ojo OA, and Ojo AB. 2010. Glycemic index and glycemic load of selected carbohydrate-rich foods consumed in Nigeria. International Journal of Food Sciences and Nutrition. 61(7): 653-662. [CrossRef]
- Sun Y, and Liu B. 2019. Glycemic index of staple foods in China. Asia Pac J Clin Nutr. 28(1): 59-76. [CrossRef]
- Ojo OA, Ojo AB. 2011. Effects of sweet potato (Ipomoea batatas) leaves on blood pressure and lipid profile in spontaneously hypertensive rats. Journal of Medicinal Food. 14(3): 293-298.
- Oboh G, Ademiluyi AO, and Oyeleye SI. 2012. Antioxidant and inhibitory effect of red sweet potato (Ipomoea batatas) polyphenols on Fe2+-induced lipid peroxidation in rat brain - in vitro. Neurochemical Research. 37(2): 359-369. [CrossRef]
- Oyinloye BE, Osunsanmi FO, Ajiboye BO, et al. 2018. Protective effect of phenolic-rich extracts from selected medicinal plants against hydrogen peroxide-induced oxidative damage on H9c2 cardiomyocytes. Journal of Basic and Clinical Physiology and Pharmacology. 29(6): 671-679.
- Chen JR, Yang J, Lin PH, et al. 2015. Purple sweet potato anthocyanins attenuate hepatic lipid accumulation through activating adenosine monophosphate-activated protein kinase in human HepG2 cells and obese mice. Nutrition Research. 35(5): 421-429.
- Zhang D, and Hamauzu Y. 2004. Phenolics, ascorbic acid, carotenoids and antioxidant activity of sweet potato genotypes with different flesh colours. Food Chemistry. 86(4): 527-532.
- Hou WC, Liu JF, Chen HJ, et al. 2001. Sweet potato (Ipomoea batatas [L.] Lam) trypsin inhibitor: purification, biochemical characterization, and molecular cloning. Journal of Agricultural and Food Chemistry. 49(10): 4903-4908.
- Tian S, Nakamura K, Kayahara H. 2004. Analysis of phenolic compounds in white potato, sweetpotato, and red potato tubers. Food Chemistry. 77(2): 215-221. [CrossRef]
- Matsuura H, et al. 2012. Antioxidant activity of purple sweet potato anthocyanins and its preventive effect on hepatic oxidative stress and inflammation in high fat-diet-induced obese mice. Journal of Nutritional Science and Vitaminology, 58(5), 313-321.
- Kim JH, et al. 2014. Sweetpotato extract inhibits the development of dextran sulfate sodium-induced colitis in mice. Journal of Agricultural and Food Chemistry, 62(5), 1019-1027.
- Park JH, et al. 2016. Protective effect of sweet potato extract on collagen degradation in ultraviolet B-irradiated human dermal fibroblasts. Journal of Medicinal Food, 19(1), 67-74.
- Kim JH, et al. 2014. Sweet potato extract inhibits tumor necrosis factor-alpha production via scavenging reactive oxygen species in LPS-stimulated RAW 264.7 macrophages. Food and Chemical Toxicology, 74, 262-269.
- Jeon S, et al. 2019. Sweet potato (Ipomoea batatas) leaf extract inhibits melanogenesis in B16F10 melanoma cells and zebrafish through the regulation of CREB/MITF, MAPK, and PI3K/Akt signaling pathways. International Journal of Molecular Sciences, 20(6), 1444.
- HY, Chen BH. A Comparative Study on Inhibition of Breast Cancer Cells and Tumors in Mice by Carotenoid Extract and Nanoemulsion Prepared from Sweet Potato (Ipomoea batatas L.) Peel. Pharmaceutics. 2022 May2;14(5):980. PMID: 35631566; PMCID: PMC9144854. [CrossRef]
- Sugata M, Lin CY, Shih YC. Anti-Inflammatory and Anticancer Activities of Taiwanese Purple-Fleshed Sweet Potatoes (Ipomoea batatas L. Lam) Extracts. Biomed Res Int. 2015;2015:768093. Epub 2015 Oct 5. PMID: 26509161; PMCID: PMC4609785. [CrossRef]
- K, Ferguson LR, Philpott M, Karunasinghe N. Cancer-preventive Properties of an Anthocyanin-enriched Sweet Potato in the APCMIN Mouse Model. J Cancer Prev. 2017 Sep;22(3):135-146. Epub 2017 Sep 30. PMID: 29018778; PMCID: PMC5624454. [CrossRef]
- Li WL, Yu HY, Zhang XJ, Ke M, Hong T. Purple sweet potato anthocyanin exerts antitumor effect in bladder cancer. Oncol Rep. 2018 Jul;40(1):73-82. Epub 2018 May 8. PMID: 29749527; PMCID: PMC6059756. [CrossRef]
- Oluyori AP, Shaw AK, Olatunji GA, Rastogi P, Meena S, Datta D, Arora A, Reddy S, Puli S. Sweet Potato Peels and Cancer Prevention. Nutr Cancer. 2016 Nov-Dec;68(8):1330-1337. Epub 2016 Sep 27. [CrossRef] [PubMed]
- H, Lazarova DL, Bordonaro M. Mechanisms linking dietary fiber, gut microbiota and colon cancer prevention. World J Gastrointest Oncol. 2014 Feb 15;6(2):41-51. PMID: 24567795; PMCID: PMC3926973. [CrossRef]
Disclaimer/Publisher’s Note: The statements, opinions and data contained in all publications are solely those of the individual author(s) and contributor(s) and not of MDPI and/or the editor(s). MDPI and/or the editor(s) disclaim responsibility for any injury to people or property resulting from any ideas, methods, instructions or products referred to in the content. |
© 2024 by the authors. Licensee MDPI, Basel, Switzerland. This article is an open access article distributed under the terms and conditions of the Creative Commons Attribution (CC BY) license (http://creativecommons.org/licenses/by/4.0/).