Submitted:
31 January 2024
Posted:
01 February 2024
You are already at the latest version
Abstract
Keywords:
1. Introduction
2. Refracted Gravity
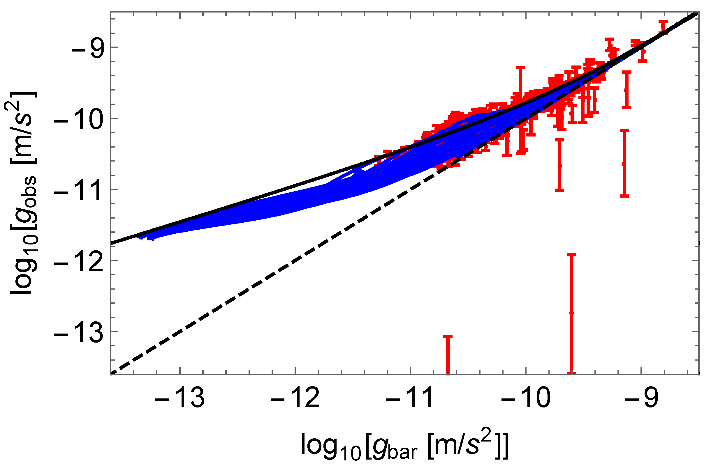
3. Dynamics of disk galaxies
3.1. Mass model
3.2. Dynamical model
3.3. Results
4. Dynamics of Elliptical Galaxies
4.1. Mass model
4.2. Dynamical model
4.3. Results
5. Dynamics of Galaxy Clusters

6. Covariant Refracted Gravity

7. Discussion and conclusions
Funding
Institutional Review Board Statement
Informed Consent Statement
Data Availability Statement
Acknowledgments
Conflicts of Interest
Abbreviations
| The following abbreviations are used in this manuscript | baryonic Tully-Fisher relation | |
| BTFR | baryonic Tully-Fisher relation | |
| CMB | cosmic microwave background | |
| CRG | covariant refracted gravity | |
| DE | dark energy | |
| DM | dark matter | |
| DMS | DiskMass Survey | |
| GCs | globular clusters | |
| GR | General Relativity | |
| HSB | high surface brightness | |
| CDM | cold dark matter | |
| LSB | low surface brightness | |
| MDAR | mass discrepancy–acceleration relation | |
| MOND | MOdified Newtonian Dynamics | |
| RAR | radial acceleration relation | |
| RG | Refracted Gravity | |
| SNaeIa | Ia Supernovae | |
| SPARC | Spitzer Photometry and Accurate Rotation Curves | |
| SPS | stellar population synthesis | |
| TeVeS | Tensor Vector Scalar gravity | |
| WFL | weak field limit | |
References
- Planck Collaboration; Aghanim, N.; Akrami, Y.; Ashdown, M.; Aumont, J.; Baccigalupi, C.; Ballardini, M.; Banday, A.J.; Barreiro, R.B.; Bartolo, N.; et al. Planck 2018 results. VI. Cosmological parameters. A&A, 2020; 641, A6arXiv:astro-ph.CO/1807.06209]. [Google Scholar] [CrossRef]
- Davis, M.; Efstathiou, G.; Frenk, C.S.; White, S.D.M. The evolution of large-scale structure in a universe dominated by cold dark matter. ApJ 1985, 292, 371–394. [Google Scholar] [CrossRef]
- Springel, V.; Frenk, C.S.; White, S.D.M. The large-scale structure of the Universe. Nature 2006, 440, 1137–1144. [Google Scholar] [CrossRef]
- Markevitch, M. Chandra Observation of the Most Interesting Cluster in the Universe. The X-ray Universe 2005; Wilson, A., Ed., 2006, Vol. 604, ESA Special Publication, p. 723, [arXiv:astro-ph/astro-ph/0511345]. [CrossRef]
- Clowe, D.; Bradač, M.; Gonzalez, A.H.; Markevitch, M.; Randall, S.W.; Jones, C.; Zaritsky, D. A Direct Empirical Proof of the Existence of Dark Matter. ApJL 2006, 648, L109–L113. [Google Scholar] [CrossRef]
- Paraficz, D.; Kneib, J.P.; Richard, J.; Morandi, A.; Limousin, M.; Jullo, E.; Martinez, J. The Bullet cluster at its best: weighing stars, gas, and dark matter. A&A, 2016; 594, A121arXiv:astro-ph.CO/1209.0384]. [Google Scholar] [CrossRef]
- Cyburt, R.H.; Fields, B.D.; Olive, K.A.; Yeh, T.H. Big bang nucleosynthesis: Present status. Reviews of Modern Physics, 2016; 88, 015004arXiv:astro-ph.CO/1505.01076]. [Google Scholar] [CrossRef]
- Zwicky, F. Die Rotverschiebung von extragalaktischen Nebeln. Helvetica Physica Acta 1933, 6, 110–127. [Google Scholar]
- Rubin, V.C.; Ford, W. Kent, J. Rotation of the Andromeda Nebula from a Spectroscopic Survey of Emission Regions. ApJ 1970, 159, 379. [Google Scholar] [CrossRef]
- Bosma, A. The distribution and kinematics of neutral hydrogen in spiral galaxies of various morphological types. PhD thesis, University of Groningen, University of Groningen, 1978. [Google Scholar]
- Sanders, R.H. Mass discrepancies in galaxies: dark matter and alternatives. A&ARv 1990, 2, 1–28. [Google Scholar] [CrossRef]
- Dodelson, S.; Gates, E.I.; Turner, M.S. Cold Dark Matter. Science 1996, 274, 69–75. [Google Scholar] [CrossRef]
- Kirshner, R. Measuring the Universe with Supernovae. APS Meeting Abstracts, 1996, APS Meeting Abstracts, p. F4.01.
- Peebles, P.J.; Ratra, B. The cosmological constant and dark energy. Reviews of Modern Physics 2003, 75, 559–606. [Google Scholar] [CrossRef]
- Weinberg, S. The cosmological constant problem. Reviews of Modern Physics 1989, 61, 1–23. [Google Scholar] [CrossRef]
- Luo, M.J. The cosmological constant problem and re-interpretation of time. Nuclear Physics B, 2014; 884, 344–356arXiv:physics.gen-ph/1312.2759]. [Google Scholar] [CrossRef]
- Velten, H.E.S.; vom Marttens, R.F.; Zimdahl, W. Aspects of the cosmological “coincidence problem”. European Physical Journal C, 2014; 74, 3160arXiv:astro-ph.CO/1410.2509]. [Google Scholar] [CrossRef]
- Fleury, P.; Dupuy, H.; Uzan, J.P. Can All Cosmological Observations Be Accurately Interpreted with a Unique Geometry? Phys. Rev. Lett. 2013; 111, 091302arXiv:astro-ph.CO/1304.7791]. [Google Scholar] [CrossRef] [PubMed]
- Douspis, M.; Salvati, L.; Aghanim, N. On the tension between Large Scale Structures and Cosmic Microwave Background. arXiv e-prints, arXiv:1901.05289, [arXiv:astro-ph.CO/1901.05289].
- Del Popolo, A.; Le Delliou, M. Small Scale Problems of the ΛCDM Model: A Short Review. Galaxies, 2017; 5, 17arXiv:astro-ph.CO/1606.07790]. [Google Scholar] [CrossRef]
- de Martino, I.; Chakrabarty, S.S.; Cesare, V.; Gallo, A.; Ostorero, L.; Diaferio, A. Dark Matters on the Scale of Galaxies. Universe 2020, 6. [Google Scholar] [CrossRef]
- McGaugh, S.S.; Schombert, J.M.; Bothun, G.D.; de Blok, W.J.G. The Baryonic Tully-Fisher Relation. ApJL 2000, 533, L99–L102. [Google Scholar] [CrossRef] [PubMed]
- McGaugh, S.S. The Mass Discrepancy-Acceleration Relation: Disk Mass and the Dark Matter Distribution. ApJ 2004, 609, 652–666. [Google Scholar] [CrossRef]
- McGaugh, S.S.; Lelli, F.; Schombert, J.M. Radial Acceleration Relation in Rotationally Supported Galaxies. Phys. Rev. Lett. 2016; 117, 201101arXiv:astro-ph.GA/1609.05917]. [Google Scholar] [CrossRef]
- Milgrom, M. A modification of the Newtonian dynamics as a possible alternative to the hidden mass hypothesis. ApJ 1983, 270, 365–370. [Google Scholar] [CrossRef]
- Milgrom, M. A modification of the Newtonian dynamics - Implications for galaxies. ApJ 1983, 270, 371–383. [Google Scholar] [CrossRef]
- Milgrom, M. A modification of the newtonian dynamics : implications for galaxy systems. ApJ 1983, 270, 384–389. [Google Scholar] [CrossRef]
- Matsakos, T.; Diaferio, A. Dynamics of galaxies and clusters in {refracted gravity}. arXiv e-prints, 2016; arXiv:1603.04943, [arXiv:astro-ph.GA/1603.04943]. [Google Scholar]
- Sanna, A.P.; Matsakos, T.; Diaferio, A. Covariant formulation of refracted gravity. A&A, 2023; 674, A209arXiv:astro-ph.CO/2109.11217]. [Google Scholar] [CrossRef]
- Deur, A. A relation between the dark mass of elliptical galaxies and their shape. MNRAS, 2014; 438, 1535–1551arXiv:astro-ph.GA/1304.6932]. [Google Scholar] [CrossRef]
- Deur, A. A correlation between the dark content of elliptical galaxies and their ellipticity. arXiv e-prints, 2020; arXiv:2010.06692, [arXiv:astro-ph.GA/2010.06692]. [Google Scholar]
- Sollima, A.; Nipoti, C. Globular clusters in modified Newtonian dynamics: velocity dispersion profiles from self-consistent models. MNRAS, 2010; 401, 131–142arXiv:astro-ph.GA/0909.1656]. [Google Scholar] [CrossRef]
- Mateo, M.L. Dwarf Galaxies of the Local Group. Ann. Rev. Astron. Astrophys. 1998, 36, 435–506. [Google Scholar] [CrossRef]
- Cesare, V.; Diaferio, A.; Matsakos, T.; Angus, G. Dynamics of DiskMass Survey galaxies in refracted gravity. A&A, 2020; 637, A70arXiv:astro-ph.GA/2003.07377]. [Google Scholar] [CrossRef]
- Bershady, M.A.; Verheijen, M.A.W.; Swaters, R.A.; Andersen, D.R.; Westfall, K.B.; Martinsson, T. The DiskMass Survey. I. Overview. ApJ 2010, arXiv:astro-ph.CO/1004.4816]716, 198–233. [Google Scholar] [CrossRef]
- Cesare, V. Dynamics of Disk and Elliptical Galaxies in Refracted Gravity. Physical Sciences Forum 2021, 2. [Google Scholar] [CrossRef]
- Sancisi, R. The visible matter – dark matter coupling. Dark Matter in Galaxies, [arXiv:astro-ph/astro-ph/0311348]. Ryder, S., Pisano, D., Walker, M., Freeman, K., Eds.; 2004; Volume 220, 233. [Google Scholar] [CrossRef]
- de Vaucouleurs, G. General Physical Properties of External Galaxies. Handbuch der Physik 1959, 53, 311. [Google Scholar] [CrossRef] [PubMed]
- Freeman, K.C. On the Disks of Spiral and S0 Galaxies. ApJ 1970, 160, 811. [Google Scholar] [CrossRef]
- Sérsic, J.L. Influence of the atmospheric and instrumental dispersion on the brightness distribution in a galaxy. Boletin de la Asociacion Argentina de Astronomia La Plata Argentina 1963, 6, 41–43. [Google Scholar]
- Young, D. Iterative Methods for Solving Partial Difference Equations of Elliptic Type. Transactions of the American Mathematical Society 1954, 76, 92–111. [Google Scholar] [CrossRef]
- Bell, E.F.; de Jong, R.S. Stellar Mass-to-Light Ratios and the Tully-Fisher Relation. ApJ 2001, 550, 212–229. [Google Scholar] [CrossRef]
- Bershady, M.A.; Verheijen, M.A.W.; Westfall, K.B.; Andersen, D.R.; Swaters, R.A.; Martinsson, T. The DiskMass Survey. II. Error Budget. ApJ, 2010; 716, 234–268arXiv:astro-ph.CO/1004.5043]. [Google Scholar] [CrossRef]
- Angus, G.W.; Gentile, G.; Swaters, R.; Famaey, B.; Diaferio, A.; McGaugh, S.S.; Heyden, K.J.v.d. Mass models of disc galaxies from the DiskMass Survey in modified Newtonian dynamics. MNRAS, 2015; 451, 3551–3580arXiv:astro-ph.GA/1505.05522]. [Google Scholar] [CrossRef]
- Milgrom, M. Quasi-linear formulation of MOND. MNRAS, 2010; 403, 886–895arXiv:astro-ph.CO/0911.5464]. [Google Scholar] [CrossRef]
- Aniyan, S.; Freeman, K.C.; Gerhard, O.E.; Arnaboldi, M.; Flynn, C. The influence of a kinematically cold young component on disc-halo decompositions in spiral galaxies: insights from solar neighbourhood K-giants. MNRAS, 2016; 456, 1484–1494arXiv:astro-ph.GA/1511.06047]. [Google Scholar] [CrossRef]
- Cesare, V.; Colonnelli, I.; Aldinucci, M. Practical Parallelization of Scientific Applications. 2020 28th Euromicro International Conference on Parallel, Distributed and Network-Based Processing (PDP), 2020, pp. 376–384. [CrossRef]
- Aldinucci, M.; Cesare, V.; Colonnelli, I.; Martinelli, A.R.; Mittone, G.; Cantalupo, B.; Cavazzoni, C.; Drocco, M. Practical parallelization of scientific applications with OpenMP, OpenACC and MPI. Journal of Parallel and Distributed Computing 2021, 157, 13–29. [Google Scholar] [CrossRef]
- Cesare, V.; Diaferio, A.; Matsakos, T. The dynamics of three nearby E0 galaxies in refracted gravity. A&A, 2022; 657, A133arXiv:astro-ph.GA/2102.12499]. [Google Scholar] [CrossRef]
- Lelli, F.; McGaugh, S.S.; Schombert, J.M. SPARC: Mass Models for 175 Disk Galaxies with Spitzer Photometry and Accurate Rotation Curves. AJ, 2016; 152, 157arXiv:astro-ph.GA/1606.09251]. [Google Scholar] [CrossRef]
- Li, P.; Lelli, F.; McGaugh, S.; Schombert, J. Fitting the radial acceleration relation to individual SPARC galaxies. A&A, 2018; 615, A3arXiv:astro-ph.GA/1803.00022]. [Google Scholar] [CrossRef]
- Lelli, F.; McGaugh, S.S.; Schombert, J.M.; Pawlowski, M.S. One Law to Rule Them All: The Radial Acceleration Relation of Galaxies. ApJ, 2017; 836, 152arXiv:astro-ph.GA/1610.08981]. [Google Scholar] [CrossRef]
- Pota, V.; Forbes, D.A.; Romanowsky, A.J.; Brodie, J.P.; Spitler, L.R.; Strader, J.; Foster, C.; Arnold, J.A.; Benson, A.; Blom, C.; Hargis, J.R.; Rhode, K.L.; Usher, C. The SLUGGS Survey: kinematics for over 2500 globular clusters in 12 early-type galaxies. MNRAS, 2013; 428, 389–420arXiv:astro-ph.CO/1209.4351]. [Google Scholar] [CrossRef]
- Brodie, J.P.; Romanowsky, A.J.; Strader, J.; Forbes, D.A.; Foster, C.; Jennings, Z.G.; Pastorello, N.; Pota, V.; Usher, C.; Blom, C.; Kader, J.; Roediger, J.C.; Spitler, L.R.; Villaume, A.; Arnold, J.A.; Kartha, S.S.; Woodley, K.A. The SAGES Legacy Unifying Globulars and GalaxieS Survey (SLUGGS): Sample Definition, Methods, and Initial Results. ApJ, 2014; 796, 52arXiv:astro-ph.GA/1405.2079]. [Google Scholar] [CrossRef]
- Forbes, D.A.; Alabi, A.; Brodie, J.P.; Romanowsky, A.J.; Strader, J.; Foster, C.; Usher, C.; Spitler, L.; Bellstedt, S.; Pastorello, N.; Villaume, A.; Wasserman, A.; Pota, V. The SLUGGS Survey: A Catalog of Over 4000 Globular Cluster Radial Velocities in 27 Nearby Early-type Galaxies. AJ, 2017; 153, 114arXiv:astro-ph.GA/1701.04835]. [Google Scholar] [CrossRef]
- Mathews, W.G.; Brighenti, F. Hot Gas in and around Elliptical Galaxies. Ann. Rev. Astron. Astrophys. 2003, 41, 191–239. [Google Scholar] [CrossRef]
- Pulsoni, C.; Gerhard, O.; Arnaboldi, M.; Coccato, L.; Longobardi, A.; Napolitano, N.R.; Moylan, E.; Narayan, C.; Gupta, V.; Burkert, A.; Capaccioli, M.; Chies-Santos, A.L.; Cortesi, A.; Freeman, K.C.; Kuijken, K.; Merrifield, M.R.; Romanowsky, A.J.; Tortora, C. The extended Planetary Nebula Spectrograph (ePN.S) early-type galaxy survey: The kinematic diversity of stellar halos and the relation between halo transition scale and stellar mass. A&A, 2018; 618, A94arXiv:astro-ph.GA/1712.05833]. [Google Scholar] [CrossRef]
- Pota, V.; Romanowsky, A.J.; Brodie, J.P.; Peñarrubia, J.; Forbes, D.A.; Napolitano, N.R.; Foster, C.; Walker, M.G.; Strader, J.; Roediger, J.C. The SLUGGS survey: multipopulation dynamical modelling of the elliptical galaxy NGC 1407 from stars and globular clusters. MNRAS, 2015; 450, 3345–3358arXiv:astro-ph.GA/1504.03325]. [Google Scholar] [CrossRef]
- Scott, N.; Cappellari, M.; Davies, R.L.; Verdoes Kleijn, G.; Bois, M.; Alatalo, K.; Blitz, L.; Bournaud, F.; Bureau, M.; Crocker, A.; Davis, T.A.; de Zeeuw, P.T.; Duc, P.A.; Emsellem, E.; Khochfar, S.; Krajnović, D.; Kuntschner, H.; McDermid, R.M.; Morganti, R.; Naab, T.; Oosterloo, T.; Sarzi, M.; Serra, P.; Weijmans, A.M.; Young, L.M. The ATLAS3D project - XXI. Correlations between gradients of local escape velocity and stellar populations in early-type galaxies. MNRAS, 2013; 432, 1894–1913arXiv:astro-ph.CO/1211.4615]. [Google Scholar] [CrossRef]
- Strader, J.; Romanowsky, A.J.; Brodie, J.P.; Spitler, L.R.; Beasley, M.A.; Arnold, J.A.; Tamura, N.; Sharples, R.M.; Arimoto, N. Wide-field Precision Kinematics of the M87 Globular Cluster System. ApJS, 2011; 197, 33arXiv:astro-ph.CO/1110.2778]. [Google Scholar] [CrossRef]
- Zhang, Z.; Xu, H.; Wang, Y.; An, T.; Xu, Y.; Wu, X.P. Probing the Mass Distributions in NGC 1407 and Its Associated Group with the X-Ray Imaging Spectroscopic and Optical Photometric and Line-Strength Indices Data. ApJ 2007, 656, 805–817. [Google Scholar] [CrossRef]
- Paggi, A.; Kim, D.W.; Anderson, C.; Burke, D.; D’Abrusco, R.; Fabbiano, G.; Fruscione, A.; Gokas, T.; Lauer, J.; McCollough, M.; Morgan, D.; Mossman, A.; O’Sullivan, E.; Trinchieri, G.; Vrtilek, S.; Pellegrini, S.; Romanowsky, A.J.; Brodie, J. Constraining the Physical State of the Hot Gas Halos in NGC 4649 and NGC 5846. ApJ, 2017; 844, 5arXiv:astro-ph.GA/1706.02303]. [Google Scholar] [CrossRef]
- Fabricant, D.; Lecar, M.; Gorenstein, P. X-ray measurements of the mass of M 87. ApJ 1980, 241, 552–560. [Google Scholar] [CrossRef]
- Rusli, S.P.; Erwin, P.; Saglia, R.P.; Thomas, J.; Fabricius, M.; Bender, R.; Nowak, N. Depleted Galaxy Cores and Dynamical Black Hole Masses. AJ, 2013; 146, 160arXiv:astro-ph.CO/1310.5310]. [Google Scholar] [CrossRef]
- Jeans, J.H. On the theory of star-streaming and the structure of the universe. MNRAS 1915, 76, 70–84. [Google Scholar] [CrossRef]
- Mamon, G.A.; okas, E.L. Dark matter in elliptical galaxies - II. Estimating the mass within the virial radius. MNRAS 2005, 363, 705–722. [Google Scholar] [CrossRef]
- Cappellari, M. Measuring the inclination and mass-to-light ratio of axisymmetric galaxies via anisotropic Jeans models of stellar kinematics. MNRAS, 2008; 390, 71–86arXiv:astro-ph/0806.0042]. [Google Scholar] [CrossRef]
- Thomas, J.; Saglia, R.P.; Bender, R.; Erwin, P.; Fabricius, M. The Dynamical Fingerprint of Core Scouring in Massive Elliptical Galaxies. ApJ, 2014; 782, 39arXiv:astro-ph.GA/1311.3783]. [Google Scholar] [CrossRef]
- Rantala, A.; Johansson, P.H.; Naab, T.; Thomas, J.; Frigo, M. The Simultaneous Formation of Cored, Tangentially Biased, and Kinematically Decoupled Centers in Massive Early-type Galaxies. ApJL, 2019; 872, L17arXiv:astro-ph.GA/1812.02732]. [Google Scholar] [CrossRef]
- Humphrey, P.J.; Buote, D.A.; Gastaldello, F.; Zappacosta, L.; Bullock, J.S.; Brighenti, F.; Mathews, W.G. A Chandra View of Dark Matter in Early-Type Galaxies. ApJ 2006, 646, 899–918. [Google Scholar] [CrossRef]
- Bell, E.F.; McIntosh, D.H.; Katz, N.; Weinberg, M.D. The Optical and Near-Infrared Properties of Galaxies. I. Luminosity and Stellar Mass Functions. ApJS 2003, 149, 289–312. [Google Scholar] [CrossRef]
- Zibetti, S.; Charlot, S.; Rix, H.W. Resolved stellar mass maps of galaxies - I. Method and implications for global mass estimates. MNRAS, 2009; 400, 1181–1198arXiv:astro-ph.CO/0904.4252]. [Google Scholar] [CrossRef]
- Cappellari, M.; Emsellem, E.; Krajnovic, D.; McDermid, R.M.; Scott, N.; Verdoes Kleijn, G.A.; Young, L.M.; Alatalo, K.; Bacon, R.; Blitz, L.; Bois, M.; Bournaud, F.; Bureau, M.; Davies, R.L.; Davis, T.A.; De Zeeuw, P.T.; Duc, P.A.; Khochfar, S.; Kuntschner, H.; Lablanche, P.Y.; Morganti, R.; Naab, T.; Oosterloo, T.; Sarzi, M.; Serra, P.; Weijmans, A.M. VizieR Online Data Catalog: ATLAS3D project. I. (Cappellari+, 2011). VizieR Online Data Catalog.
- Vikhlinin, A.; Kravtsov, A.; Forman, W.; Jones, C.; Markevitch, M.; Murray, S.S.; Van Speybroeck, L. Chandra Sample of Nearby Relaxed Galaxy Clusters: Mass, Gas Fraction, and Mass-Temperature Relation. ApJ 2006, 640, 691–709. [Google Scholar] [CrossRef]
- McGaugh, S.S. The Baryonic Tully-Fisher Relation of Galaxies with Extended Rotation Curves and the Stellar Mass of Rotating Galaxies. ApJ 2005, 632, 859–871. [Google Scholar] [CrossRef]
- Sanders, R.H. Clusters of galaxies with modified Newtonian dynamics. MNRAS 2003, 342, 901–908. [Google Scholar] [CrossRef]
- McGaugh, S.S. A tale of two paradigms: the mutual incommensurability of ΛCDM and MOND. Canadian Journal of Physics, 2015; 93, 250–259arXiv:astro-ph.CO/1404.7525]. [Google Scholar] [CrossRef]
- Bekenstein, J.D. Relativistic gravitation theory for the modified Newtonian dynamics paradigm. Phys. Rev. D 2004, 70, 083509. [Google Scholar] [CrossRef]
- Skordis, C. TOPICAL REVIEW: The tensor-vector-scalar theory and its cosmology. Classical and Quantum Gravity, 2009; 26, 143001arXiv:astro-ph.CO/0903.3602]. [Google Scholar] [CrossRef]
- Bekenstein, J.D. Tensor-vector-scalar-modified gravity: from small scale to cosmology. Philosophical Transactions of the Royal Society of London Series A, 2011; 369, 5003–5017arXiv:astro-ph.CO/1201.2759]. [Google Scholar] [CrossRef] [PubMed]
- Hernandez, X.; Sussman, R.A.; Nasser, L. Approaching the Dark Sector through a bounding curvature criterion. MNRAS, 2019; 483, 147–151arXiv:astro-ph.GA/1705.06356]. [Google Scholar] [CrossRef]
- Skordis, C.; Złośnik, T. New Relativistic Theory for Modified Newtonian Dynamics. Phys. Rev. Lett. 2021; 127, 161302arXiv:astro-ph.CO/2007.00082]. [Google Scholar] [CrossRef] [PubMed]
- Kunz, M.; Liddle, A.R.; Parkinson, D.; Gao, C. Constraining the dark fluid. Phys. Rev. D, 2009; 80, 083533arXiv:astro-ph.CO/0908.3197]. [Google Scholar] [CrossRef]
- Kunz, M. Degeneracy between the dark components resulting from the fact that gravity only measures the total energy-momentum tensor. Phys. Rev. D 2009, 80, 123001. [Google Scholar] [CrossRef]
- Makler, M.; de Oliveira, S.Q.; Waga, I. Constraints on the generalized Chaplygin gas from supernovae observations. Physics Letters B 2003, 555, 1–6. [Google Scholar] [CrossRef]
- Bento, M.C.; Bertolami, O.; Sen, A.A. Letter: Generalized Chaplygin Gas Model: Dark Energy-Dark Matter Unification and CMBR Constraints. General Relativity and Gravitation 2003, 35, 2063–2069. [Google Scholar] [CrossRef]
- Scherrer, R.J. Purely Kinetic k Essence as Unified Dark Matter. Phys. Rev. Lett. 2004, 93, 011301. [Google Scholar] [CrossRef]
- Bruni, M.; Lazkoz, R.; Rozas-Fernández, A. Phenomenological models for unified dark matter with fast transition. MNRAS, 2013; 431, 2907–2916arXiv:astro-ph.CO/1210.1880]. [Google Scholar] [CrossRef]
- Cadoni, M.; Casadio, R.; Giusti, A.; Mück, W.; Tuveri, M. Effective fluid description of the dark universe. Physics Letters B, 2018; 776, 242–248arXiv:gr-qc/1707.09945]. [Google Scholar] [CrossRef]
- Sotiriou, T.P.; Faraoni, V. f(R) theories of gravity. Reviews of Modern Physics, 2010; 82, 451–497arXiv:gr-qc/0805.1726]. [Google Scholar] [CrossRef]
- Sebastiani, L.; Vagnozzi, S.; Myrzakulov, R. Mimetic gravity: a review of recent developments and applications to cosmology and astrophysics. arXiv e-prints, 2016; arXiv:1612.08661, [arXiv:gr-qc/1612.08661]. [Google Scholar] [CrossRef]
- Berezhiani, L.; Khoury, J.; Wang, J. Universe without dark energy: Cosmic acceleration from dark matter-baryon interactions. Phys. Rev. D, 2017; 95, 123530arXiv:hep-th/1612.00453]. [Google Scholar] [CrossRef]
- Ferreira, E.G.M.; Franzmann, G.; Khoury, J.; Brandenberger, R. Unified superfluid dark sector. JCAP, 2019; 2019, 027arXiv:astro-ph.CO/1810.09474]. [Google Scholar] [CrossRef]
- Arbey, A.; Coupechoux, J.F. Unifying dark matter, dark energy and inflation with a fuzzy dark fluid. JCAP, 2021; 2021, 033arXiv:astro-ph.CO/2007.05376]. [Google Scholar] [CrossRef]
- Campigotto, M.C.; Diaferio, A.; Fatibene, L. Conformal gravity: light deflection revisited and the galactic rotation curve failure. Classical and Quantum Gravity, 2019; 36, 245014arXiv:astro-ph.CO/1712.03969]. [Google Scholar] [CrossRef]
- Suzuki, N.; Rubin, D.; Lidman, C.; Aldering, G.; Amanullah, R.; Barbary, K.; Barrientos, L.F.; Botyanszki, J.; Brodwin, M.; Connolly, N.; et al. The Hubble Space Telescope Cluster Supernova Survey. V. Improving the Dark-energy Constraints above z > 1 and Building an Early-type-hosted Supernova Sample. ApJ, 2012; 746, 85arXiv:astro-ph.CO/1105.3470]. [Google Scholar] [CrossRef]
- Amendola, L.; Tsujikawa, S. Dark Energy: Theory and Observations; Cambridge University Press, 2015. [Google Scholar]
- Copeland, E.J.; Sami, M.; Tsujikawa, S. Dynamics of Dark Energy. International Journal of Modern Physics D 2006, 15, 1753–1935. [Google Scholar] [CrossRef]
- Frusciante, N.; Perenon, L. Effective field theory of dark energy: A review. Physics Reports, 2020; 857, 1–63arXiv:astro-ph.CO/1907.03150]. [Google Scholar] [CrossRef]
- Wen, S.; Wang, S.; Luo, X. Comparing dark energy models with current observational data. JCAP, 2018; 2018, 011arXiv:astro-ph.CO/1708.03143]. [Google Scholar] [CrossRef]
- Capozziello, S.; Nojiri, S.; Odintsov, S.D. Dark energy: the equation of state description versus scalar-tensor or modified gravity. Physics Letters B 2006, 634, 93–100. [Google Scholar] [CrossRef]
- Gerardi, F.; Martinelli, M.; Silvestri, A. Reconstruction of the Dark Energy equation of state from latest data: the impact of theoretical priors. JCAP, 2019; 2019, 042arXiv:astro-ph.CO/1902.09423]. [Google Scholar] [CrossRef]
- Chevallier, M.; Polarski, D. Accelerating Universes with Scaling Dark Matter. International Journal of Modern Physics D 2001, 10, 213–223. [Google Scholar] [CrossRef]
- Linder, E.V. Exploring the Expansion History of the Universe. Phys. Rev. Lett. 2003, 90, 091301. [Google Scholar] [CrossRef] [PubMed]
- Bean, R.; Melchiorri, A. Current constraints on the dark energy equation of state. Phys. Rev. D 2002, 65, 041302. [Google Scholar] [CrossRef]
- Solà, J.; Štefančić, H. Effective equation of state for dark energy: Mimicking quintessence and phantom energy through a variable Λ. Physics Letters B 2005, 624, 147–157. [Google Scholar] [CrossRef]
- Hazra, D.K.; Majumdar, S.; Pal, S.; Panda, S.; Sen, A.A. Post-Planck dark energy constraints. Phys. Rev. D, 2015; 91, 083005arXiv:astro-ph.CO/1310.6161]. [Google Scholar] [CrossRef]
- Di Paolo, C.; Salucci, P.; Fontaine, J.P. The Radial Acceleration Relation (RAR): Crucial Cases of Dwarf Disks and Low-surface-brightness Galaxies. ApJ, 2019; 873, 106arXiv:astro-ph.GA/1810.08472]. [Google Scholar] [CrossRef]
- Santos-Santos, I.M.E.; Navarro, J.F.; Robertson, A.; Benítez-Llambay, A.; Oman, K.A.; Lovell, M.R.; Frenk, C.S.; Ludlow, A.D.; Fattahi, A.; Ritz, A. Baryonic clues to the puzzling diversity of dwarf galaxy rotation curves. MNRAS, 2020; 495, 58–77arXiv:astro-ph.GA/1911.09116]. [Google Scholar] [CrossRef]
- Jiménez, M.A.; Garcia, G.; Hernandez, X.; Nasser, L. The Massive Elliptical Galaxy NGC 4649 from the Perspective of Extended Gravity. ApJ, 2013; 768, 142arXiv:astro-ph.CO/1210.8183]. [Google Scholar] [CrossRef]
- Durazo, R.; Hernandez, X.; Cervantes Sodi, B.; Sánchez, S.F. A Universal Velocity Dispersion Profile for Pressure Supported Systems: Evidence for MONDian Gravity across Seven Orders of Magnitude in Mass. ApJ, 2017; 837, 179arXiv:astro-ph.GA/1506.04099]. [Google Scholar] [CrossRef]
- Durazo, R.; Hernandez, X.; Cervantes Sodi, B.; Sanchez, S.F. A Test of MONDian Gravity in ∼300 Pressure-supported Elliptical Galaxies from the MaNGA Survey. ApJ, 2018; 863, 107arXiv:astro-ph.GA/1804.01581]. [Google Scholar] [CrossRef]
- Baumgardt, H.; Grebel, E.K.; Kroupa, P. Using distant globular clusters as a test for gravitational theories. MNRAS 2005, 359, L1–L4. [Google Scholar] [CrossRef]
- Jordi, K.; Grebel, E.K.; Hilker, M.; Baumgardt, H.; Frank, M.; Kroupa, P.; Haghi, H.; Côté, P.; Djorgovski, S.G. Testing Fundamental Physics with Distant Star Clusters: Analysis of Observational Data on Palomar 14. AJ, 2009; 137, 4586–4596arXiv:astro-ph.GA/0903.4448]. [Google Scholar] [CrossRef]
- Baumgardt, H.; Côté, P.; Hilker, M.; Rejkuba, M.; Mieske, S.; Djorgovski, S.G.; Stetson, P. The velocity dispersion and mass-to-light ratio of the remote halo globular cluster NGC2419. MNRAS, 2009; 396, 2051–2060arXiv:astro-ph.GA/0904.3329]. [Google Scholar] [CrossRef]
- Ibata, R.; Sollima, A.; Nipoti, C.; Bellazzini, M.; Chapman, S.C.; Dalessandro, E. The Globular Cluster NGC 2419: A Crucible for Theories of Gravity. ApJ, 2011; 738, 186arXiv:astro-ph.CO/1106.4909]. [Google Scholar] [CrossRef]
- Ibata, R.; Sollima, A.; Nipoti, C.; Bellazzini, M.; Chapman, S.C.; Dalessandro, E. Polytropic Model Fits to the Globular Cluster NGC 2419 in Modified Newtonian Dynamics. ApJ, 2011; 743, 43arXiv:astro-ph.CO/1110.3892]. [Google Scholar] [CrossRef]
- Frank, M.J.; Hilker, M.; Baumgardt, H.; Côté, P.; Grebel, E.K.; Haghi, H.; Küpper, A.H.W.; Djorgovski, S.G. The velocity dispersion and mass function of the outer halo globular cluster Palomar 4. MNRAS, 2012; 423, 2917–2932arXiv:astro-ph.GA/1205.2693]. [Google Scholar] [CrossRef]
- Salucci, P.; Wilkinson, M.I.; Walker, M.G.; Gilmore, G.F.; Grebel, E.K.; Koch, A.; Frigerio Martins, C.; Wyse, R.F.G. Dwarf spheroidal galaxy kinematics and spiral galaxy scaling laws. MNRAS, 2012; 420, 2034–2041arXiv:astro-ph.CO/1111.1165]. [Google Scholar] [CrossRef]
- Oh, S.H.; Hunter, D.A.; Brinks, E.; Elmegreen, B.G.; Schruba, A.; Walter, F.; Rupen, M.P.; Young, L.M.; Simpson, C.E.; Johnson, M.C.; Herrmann, K.A.; Ficut-Vicas, D.; Cigan, P.; Heesen, V.; Ashley, T.; Zhang, H.X. High-resolution Mass Models of Dwarf Galaxies from LITTLE THINGS. AJ, 2015; 149, 180arXiv:astro-ph.GA/1502.01281]. [Google Scholar] [CrossRef]
- The Dark Energy Survey Collaboration. The Dark Energy Survey. <italic>arXiv e-prints</italic> <b>2005</b>, pp. The Dark Energy Survey Collaboration. The Dark Energy Survey. arXiv e-prints, a: astro–ph/0510346, [arXiv, 0510. [Google Scholar] [CrossRef]
- Euclid Collaboration; Scaramella, R. ; Amiaux, J.; Mellier, Y.; Burigana, C.; Carvalho, C.S.; Cuillandre, J.C.; Da Silva, A.; Derosa, A.; Dinis, J.; et al. Euclid preparation. I. The Euclid Wide Survey. A&A, 2022; 662, A112arXiv:astro-ph.CO/2108.01201]. [Google Scholar] [CrossRef]
- Amendola, L.; Appleby, S.; Avgoustidis, A.; Bacon, D.; Baker, T.; Baldi, M.; Bartolo, N.; Blanchard, A.; Bonvin, C.; Borgani, S.; et al. Cosmology and fundamental physics with the Euclid satellite. Living Reviews in Relativity, 2018; 21, 2arXiv:astro-ph.CO/1606.00180]. [Google Scholar] [CrossRef] [PubMed]
- Huterer, D.; Kirkby, D.; Bean, R.; Connolly, A.; Dawson, K.; Dodelson, S.; Evrard, A.; Jain, B.; Jarvis, M.; Linder, E.; Mandelbaum, R.; May, M.; Raccanelli, A.; Reid, B.; Rozo, E.; Schmidt, F.; Sehgal, N.; Slosar, A.; van Engelen, A.; Wu, H.Y.; Zhao, G. Growth of cosmic structure: Probing dark energy beyond expansion. Astroparticle Physics, 2015; 63, 23–41arXiv:astro-ph.CO/1309.5385]. [Google Scholar] [CrossRef]
- Noller, J.; Nicola, A. Cosmological parameter constraints for Horndeski scalar-tensor gravity. Phys. Rev. D, 2019; 99, 103502arXiv:astro-ph.CO/1811.12928]. [Google Scholar] [CrossRef]
- Planck Collaboration; Aghanim, N. ; Akrami, Y.; Arroja, F.; Ashdown, M.; Aumont, J.; Baccigalupi, C.; Ballardini, M.; Banday, A.J.; Barreiro, R.B.; et al. Planck 2018 results. I. Overview and the cosmological legacy of Planck. A&A, 2020; 641, A1arXiv:astro-ph.CO/1807.06205]. [Google Scholar] [CrossRef]
- de Jong, J.T.A.; Kuijken, K.; Applegate, D.; Begeman, K.; Belikov, A.; Blake, C.; Bout, J.; Boxhoorn, D.; Buddelmeijer, H.; Buddendiek, A.; et al. The Kilo-Degree Survey. The Messenger 2013, 154, 44–46. [Google Scholar] [CrossRef]
- Gwyn, S.D.J. The Canada-France-Hawaii Telescope Legacy Survey: Stacked Images and Catalogs. AJ, 2012; 143, 38arXiv:astro-ph.CO/1101.1084]. [Google Scholar] [CrossRef]
- di Porto, C.; Amendola, L. Observational constraints on the linear fluctuation growth rate. Phys. Rev. D, 2008; 77, 083508arXiv:astro-ph/0707.2686]. [Google Scholar] [CrossRef]
- Bueno Sánchez, J.C.; Perivolaropoulos, L. Dark energy and matter perturbations in scalar-tensor theories of gravity. Journal of Physics Conference Series, 2011, Vol. 283, Journal of Physics Conference Series, p. 012006. [CrossRef]
- Pace, F.; Moscardini, L.; Crittenden, R.; Bartelmann, M.; Pettorino, V. A comparison of structure formation in minimally and non-minimally coupled quintessence models. MNRAS, 2014; 437, 547–561arXiv:astro-ph.CO/1307.7026]. [Google Scholar] [CrossRef]
- Kofinas, G.; Lima, N.A. Dynamics of cosmological perturbations in modified Brans-Dicke cosmology with matter-scalar field interaction. Phys. Rev. D, 2017; 96, 084016arXiv:gr-qc/1704.08925]. [Google Scholar] [CrossRef]
- Springel, V. The cosmological simulation code GADGET-2. MNRAS 2005, 364, 1105–1134. [Google Scholar] [CrossRef]
- DESI Collaboration; Adame, A.G.; Aguilar, J.; Ahlen, S.; Alam, S.; Aldering, G.; Alexander, D.M.; Alfarsy, R.; Allende Prieto, C.; Alvarez, M.; et al. The Early Data Release of the Dark Energy Spectroscopic Instrument. arXiv e-prints, [arXiv:astro-ph.CO/2306.06308]. 2023; arXiv:2306.06308. [Google Scholar] [CrossRef]
- Grainge, K.; Alachkar, B.; Amy, S.; Barbosa, D.; Bommineni, M.; Boven, P.; Braddock, R.; Davis, J.; Diwakar, P.; Francis, V.; et al. Square Kilometre Array: The radio telescope of the XXI century. Astronomy Reports 2017, 61, 288–296. [Google Scholar] [CrossRef]







Disclaimer/Publisher’s Note: The statements, opinions and data contained in all publications are solely those of the individual author(s) and contributor(s) and not of MDPI and/or the editor(s). MDPI and/or the editor(s) disclaim responsibility for any injury to people or property resulting from any ideas, methods, instructions or products referred to in the content. |
© 2024 by the authors. Licensee MDPI, Basel, Switzerland. This article is an open access article distributed under the terms and conditions of the Creative Commons Attribution (CC BY) license (http://creativecommons.org/licenses/by/4.0/).
