Submitted:
17 January 2024
Posted:
17 January 2024
You are already at the latest version
Abstract
Keywords:
1. Introduction
2. Introduction to Tradition Static Voltage Stability Analysis Methods
2.1. Singular Value Decomposition Method
2.2. Sensitivity Analysis Method
2.3. Continuation Power Flow Method
2.4. Voltage Collapse Point Method
2.5. Bifurcation Theory Method
| Method | Advantages | Disadvantages | Applicability |
| Singular Value Decomposition Method | Rapid assessment of voltage stability margin | Computation dependent on eigenvalue decomposition of the Jacobian matrix | Suitable for fast evaluation of voltage stability in large-scale power systems |
| Sensitivity Analysis Method | Identification of regions of voltage relative instability | Requires solving and maintaining the sensitivity matrix | Used to analyze the impact of control variables on system stability |
| Continuation Power Flow Method | Iterative calculation of power flow distribution at critical states | High computational complexity in iterative calculations | Applied to compute voltage stability margin near critical states |
| Voltage Collapse Point Method | Direct computation of system voltage limit points | Increased complexity in augmented Jacobian matrix calculation | Used to determine voltage limit points and stability margins |
| Bifurcation Theory Method | Analysis of sudden qualitative changes near critical points | Sensitivity to system parameter variations | Utilized to predict stability changes near critical states |
3. Static Voltage Stability Analysis Method Based on Impedence Model Index
3.1. Definition of Impedance Model Index
3.2. Impedance Model Index for Renewable Energy Single-Infeed Distribution Power Systems
3.3. Impedance Model Index for Renewable Energy Aggregated Distribution Power Systems
3.4. Impedance Model Index for Renewable Energy Multi-Infeed Distribution Power Systems
4. Analysis of Factors Affecting Static Voltage Stability
4.1. Criteria for Static Voltage Stability in Renewable Energy Integrated Distribution Power Systems
4.2. Impact of Reactive Power Compensation on Impedance Model Index
4.3. Influence of Renewable Energy Aggregation Topology on Static Voltage Stability
5. Case Study Analysis
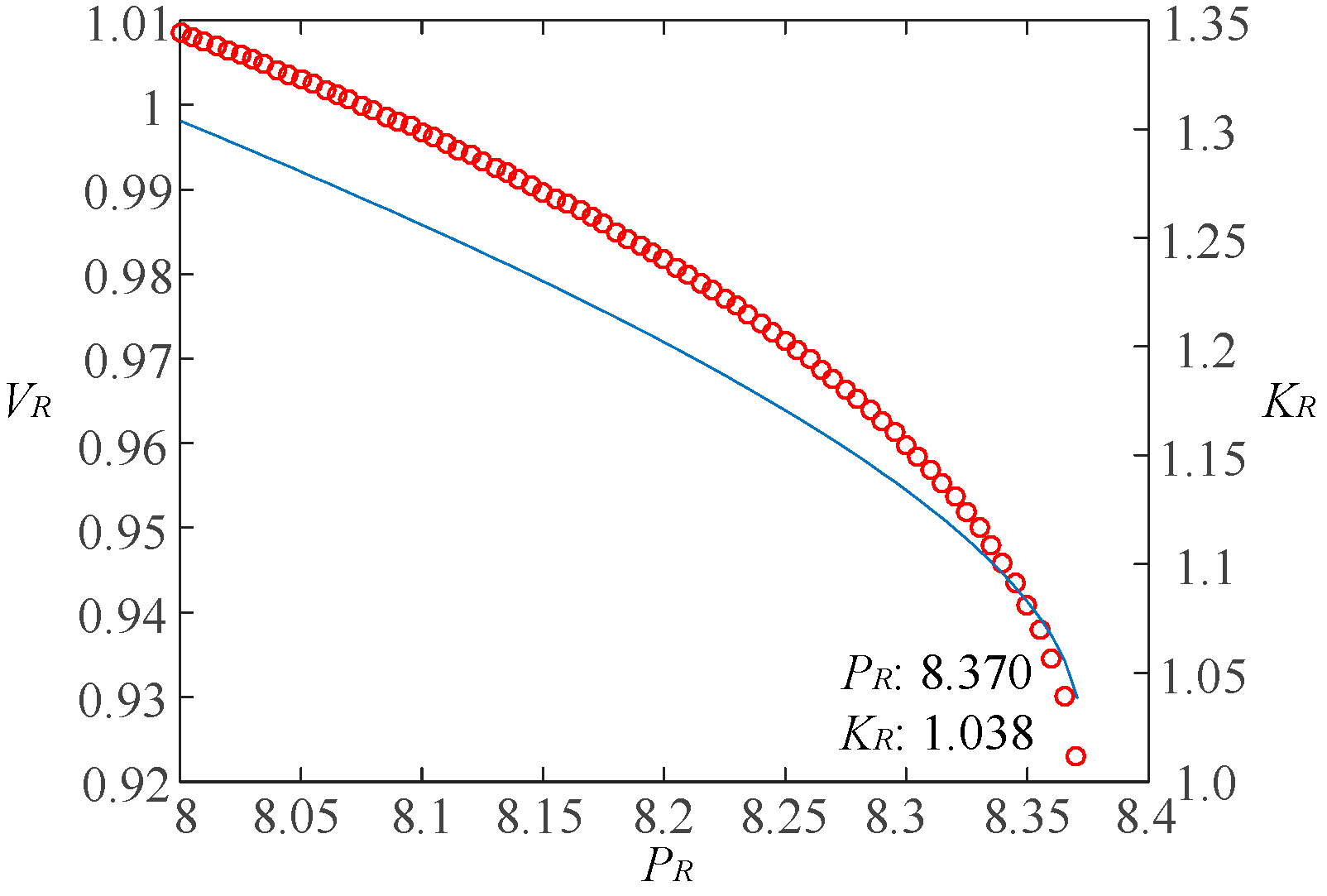
5.1. Calculation of Impedance Model Index for Renewable Energy Single-Infeed Distribution Power Systems
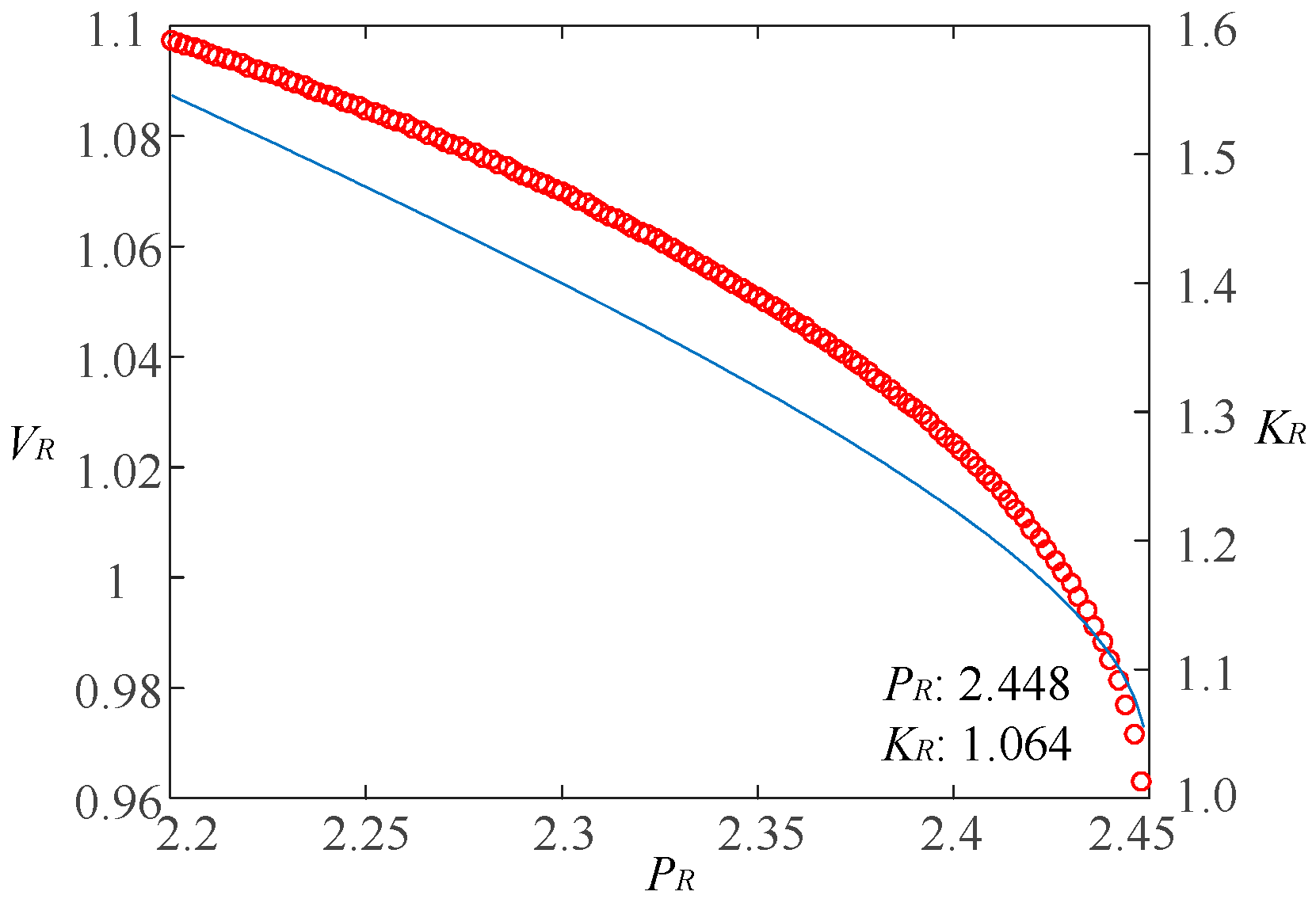
5.2. Calculation of Impedance Model Index for Renewable Energy Aggregated Distribution Power Systems
5.3. Calculation of impedance model index for renewable energy multi-infeed distribution power systems
5.4. Impact of Network Topology on Impedance Model Index
6. Conclusion
Author Contributions
Data Availability Statement
Acknowledgments
Conflicts of Interest
References
- Tielens et al.. The relevance of inertia in power systems[J]. New & Sustainable Energy Reviews, 2016, 55: 999-1009.
- P. Kundur et al. Definition and classification of power system stability[J]. IEEE Transactions on Power Systems, 2004, 19(3): 1387-1401.
- N. Hatziargyriou et al.. Definition and classification of power system stability – revisited & extended[J]. IEEE Transactions on Power Systems, 2021, 36(4): 3271-3281.
- HE Jingbo et al.. New Issues and Classification of Power System Stability With High Shares of News and Power Electronics[J]. Proceedings of the CSEE, 2021,41(2):461-473.
- P. Ge et al.. Comprehensive transient stability enhancement control of a VSG considering power angle stability and fault current limitation[J]. CSEE Journal of Power and Energy Systems. [CrossRef]
- D. A. Leiva Roca, P. Mercado and G. Suvire, "System Frequency Response Model Considering the Influence of Power System Stabilizers," in IEEE Latin America Transactions, vol. 20, no. 6, pp. 912-920, June 2022. [CrossRef]
- S. Ranjan, D. C. Das, A. Latif, N. Sinha, S. M. S. Hussain and T. S. Ustun, "Maiden Voltage Control Analysis of Hybrid Power System With Dynamic Voltage Restorer," in IEEE Access, vol. 9, pp. 60531-60542, 2021. [CrossRef]
- Y. Song, D. J. Hill and T. Liu, "Static Voltage Stability Analysis of Distribution Systems Based on Network-Load Admittance Ratio," in IEEE Transactions on Power Systems, vol. 34, no. 3, pp. 2270-2280, May 2019. [CrossRef]
- US-Canada Power Outage Task Force. Final report on the August 14th 2003 blackout in the United States and Canada[R/OL]. http://www.ferc.gov/.
- Australian Energy Market Operator. Black system South Australia 28 September 2016—third preliminary report[R]. Australia: Australian Energy Market Operator Limited, 2016.
- Yusheng Xue, Taishan Xu, Bing Liu and Yaozong Li, "Quantitative assessments for transient voltage security," in IEEE Transactions on Power Systems, vol. 15, no. 3, pp. 1077-1083, Aug. 2000. [CrossRef]
- K. Ellithy et al., "Voltage stability evaluation of real power transmission system using singular value decomposition technique," 2008 IEEE 2nd International Power and Energy Conference, Johor Bahru, Malaysia, 2008, pp. 1691-1695. [CrossRef]
- K. Alzaareer et al., "Sensitivity Analysis for Voltage Stability Considering Voltage Dependent Characteristics of Loads and DGs," in IEEE Access, vol. 9, pp. 156437-156450, 2021. [CrossRef]
- P. S. Nirbhavane, L. Corson, S. M. H. Rizvi and A. K. Srivastava, "TPCPF: Three-Phase Continuation Power Flow Tool for Voltage Stability Assessment of Distribution Networks With Distributed Energy Resources," in IEEE Transactions on Industry Applications, vol. 57, no. 5, pp. 5425-5436, Sept.-Oct. 2021. [CrossRef]
- J. Flueck, R. Gonella and J. R. Dondeti, "A new power sensitivity method of ranking branch outage contingencies for voltage collapse," in IEEE Transactions on Power Systems, vol. 17, no. 2, pp. 265-270, May 2002. [CrossRef]
- G. Pierrou and X. Wang, "Analytical Study of the Impacts of Stochastic Load Fluctuation on the Dynamic Voltage Stability Margin Using Bifurcation Theory," in IEEE Transactions on Circuits and Systems I: Regular Papers, vol. 67, no. 4, pp. 1286-1295, April 2020. [CrossRef]
- J. M. Lim and C. L. DeMarco, "SVD-Based Voltage Stability Assessment From Phasor Measurement Unit Data," in IEEE Transactions on Power Systems, vol. 31, no. 4, pp. 2557-2565, July 2016. [CrossRef]
- Gao, G. K. Morison, P. Kundur. Voltage stability evaluation using modal analysis[J]. IEEE Transactions on Power Systems, 1992, 7(4): 1529-1542.
- PAN Xueping et al.. Method for evaluating voltage weak area of AC power system at DC receiving end considering sensitivity and static voltage stability margin[J]. Electric Power Automation Equipment,2019,39(3):1-8.
- CUI Xinhui et al.. A New Method of Sensitivity Analysis for Static Voltage Stability Online Prevention and Control of Large Power Grids[J]. 2020, 44(1):246-254.
- ZHOU Jianfang, HE Yuqing, HE Hongbin, et al. Calculation Method for Continuation Power Flow Based on Line Voltage Stability Index, Proceedings of the CSU-EPSA. 2018(08), pp:140-144.
- CHEN Gang, ZHOU Yan, ZHAO Jinquan et al. A Three-Stage Progressive Voltage Stability Contingency Screening and Ranking Method for Large Power Grids, Southern Power System Technology. 2018(01), pp:70-75.
- CHEN Chang et al.. Improved point of collapse method for direct calculation of static voltage stability margin[J]. Electric Power Automation Equipment,2020,40(11):150-155.
- TANG Xiaobo, GAO Lei. Analysis on Static Voltage Stability Considering Restriction of Branch Power[J]. Power System Technology,2011,35(4):99-102.
- Kwatny H, G. Static bifurcati on in electric power networks: loss of steady-state stability and voltage collapse[J]. IEEE Trans on CAS, 1986, 33(10): 981-991.
- Chiang H D, Ju meau R J. A more efficient formulation for computation of the maximum l oading in electric power system[J]. IEEE Trans on Power Systems,1995,10(2): 635-646.
- Z. A. Kamaruzzaman, A. Mohamed. Impact of grid-connected photovoltaic generator using P-V curve and improved voltage stability index[C]//2014 IEEE International Conference on Power and Energy (PECon). Kuching, Malaysia, 2014: 196-200.






















| Capacities of each group of renewable energy sources | Aggregation bus maximum grid-connected capacity | |
| 0.115, 0.145, 0.165 | 2.842 | 1.008 |
| 0.165, 0.130, 0.135 | 2.841 | 1.010 |
| 0.135, 0.150, 0.140 | 2.838 | 1.012 |
| Before Adding AC Branches | 1.5412 | 1.3155 | 1.4870 | 1.2717 |
| After Adding AC Branches | 5.0474 | 1.6547 | 2.1329 | 1.6498 |
| Improvement Margin of the Index(%) | 227.50 | 25.78 | 43.44 | 29.73 |
| Before DC Line Connection | 1.5412 | 1.3155 | 1.4870 | 1.2717 |
| After DC Line Connection | 1.5462 | 1.3351 | 1.5062 | 1.3297 |
| Improvement Margin of the Index(%) | 0.32 | 1.49 | 1.29 | 4.56 |
Disclaimer/Publisher’s Note: The statements, opinions and data contained in all publications are solely those of the individual author(s) and contributor(s) and not of MDPI and/or the editor(s). MDPI and/or the editor(s) disclaim responsibility for any injury to people or property resulting from any ideas, methods, instructions or products referred to in the content. |
© 2024 by the authors. Licensee MDPI, Basel, Switzerland. This article is an open access article distributed under the terms and conditions of the Creative Commons Attribution (CC BY) license (http://creativecommons.org/licenses/by/4.0/).