Submitted:
15 January 2024
Posted:
16 January 2024
You are already at the latest version
Abstract
Keywords:
1. Introduction
2. Experimental Setup
3. Model Development
3.1. Physics-Based Model
3.1.1. Stack Voltage Model
3.1.2. Air Flow Model
3.1.3. Thermal Model
3.1.4. Water Management Model
3.1.4.1. Cathode Channel
3.1.4.2. Anode Channel
3.1.4.3. Proton Exchange Membrane
3.2. GT-Suite Model
4. Model Discretization
4.1. Physics-Based Model
4.2. GT-Suite Model
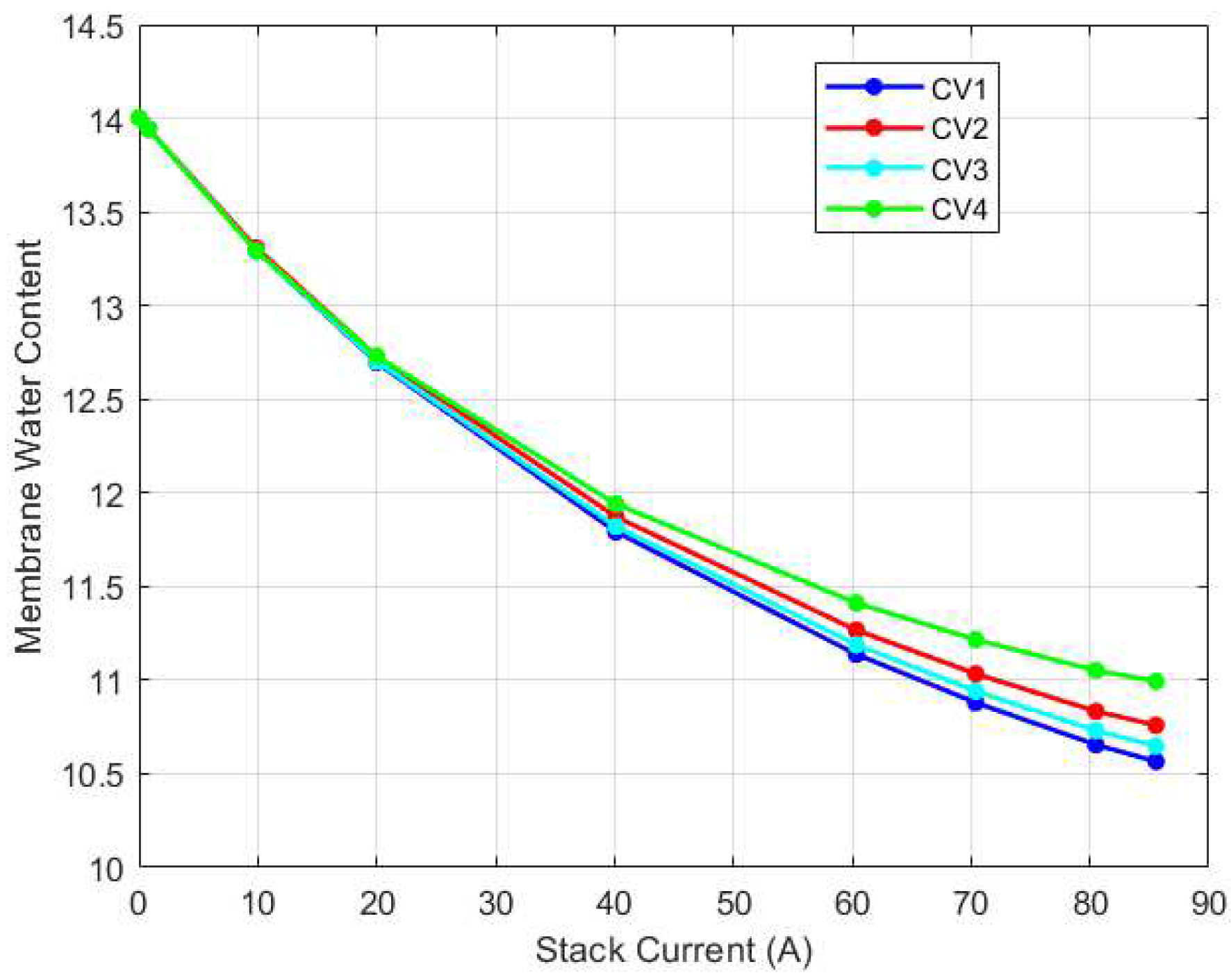
5. Results and Discussion
5.1. Lumped Model Validation
5.2. Discretized Model
6. Conclusion and Future Work
Acknowledgments
References
- Calili-Cankir, F., Ismail, M. S., Berber, M. R., Alrowaili, Z. A., Ingham, D. B., Hughes, K. J., Ma, L., & Pourkashanian, M. (2022). Dynamic models for air-breathing and conventional polymer electrolyte fuel cells: A comparative study. Renewable Energy, 195, 1001–1014. [CrossRef]
- Chen, F., Zhang, L., & Jiao, J. (2021). Modelling of humidity dynamics for open-cathode proton exchange membrane fuel cell. World Electric Vehicle Journal, 12(3). [CrossRef]
- Chen, X., Xu, J., Fang, Y., Li, W., Ding, Y., Wan, Z., Wang, X., & Tu, Z. (2022). Temperature and humidity management of PEM fuel cell power system using multi-input and multi-output fuzzy method. Applied Thermal Engineering, 203(November 2021), 117865. [CrossRef]
- Chen, X., Xu, J., Liu, Q., Chen, Y., Wang, X., Li, W., Ding, Y., & Wan, Z. (2020). Active disturbance rejection control strategy applied to cathode humidity control in PEMFC system. Energy Conversion and Management, 224(September), 113389. [CrossRef]
- Di Penta, D., Bencherif, K., Sorine, M., & Zhang, Q. (2006). A reduced fuel cell stack model for control and fault diagnosis. Journal of Fuel Cell Science and Technology, 3(4), 384–388. [CrossRef]
- Dutta, S., Shimpalee, S., & Van Zee, J. W. (2001). Numerical prediction of mass-exchange between cathode and anode channels in a PEM fuel cell. International Journal of Heat and Mass Transfer, 44(11), 2029–2042. [CrossRef]
- Headley, A., Yu, V., Borduin, R., Chen, D., & Li, W. (2016). Development and Experimental Validation of a Physics-Based PEM Fuel Cell Model for Cathode Humidity Control Design. IEEE/ASME Transactions on Mechatronics, 21(3), 1775–1782. [CrossRef]
- Huo, D., & Hall, C. M. (2023). Data-driven prediction of temperature variations in an open cathode proton exchange membrane fuel cell stack using Koopman operator. Energy and AI, 14(May), 100289. [CrossRef]
- Ishaku, J., Lotfi, N., Zomorodi, H., & Landers, R. G. (2014). Control-oriented modeling for open-cathode fuel cell systems. Proceedings of the American Control Conference, 268–273. [CrossRef]
- Karnik, A. Y., Stefanopoulou, A. G., & Sun, J. (2007). Water equilibria and management using a two-volume model of a polymer electrolyte fuel cell. Journal of Power Sources, 164(2), 590–605. [CrossRef]
- Meyer, R. T., & Yao, B. (2006). Modeling and Simulation of a Modern Pem Fuel Cell System. ASME 2006 4th International Conference on Fuel Cell Science, Engineering and Technology, FUELCELL 2006, V, 133–150. [CrossRef]
- Nguyen, T. V., & White, R. E. (1993). A Water and Heat Management Model for Proton-Exchange-Membrane Fuel Cells. Journal of The Electrochemical Society, 140(8), 2178–2186. [CrossRef]
- O'hayre R., Cha S-W., Colella W., & Prinz, F.B. (2016). Fuel Cell Fundamentals.John Wiley & Sons.
- Pathapati, P.R., Xue, X., & Tang, J. (2005). A new dynamic model for predicting transient phenomena in a PEM fuel cell system. Renewable Energy, 30(1), 1-22. [CrossRef]
- Pukrushpan, J. T., Peng, H., & Stefanopoulou, A. G. (2004). Control-oriented modeling and analysis for automotive fuel cell systems. Journal of Dynamic Systems, Measurement and Control, Transactions of the ASME, 126(1), 14–25. [CrossRef]
- Pukrushpan, J. T., Stefanopoulou, A. G., & Peng, H. (2002). Modeling and control for PEM fuel cell stack system. Proceedings of the American Control Conference, 4, 3117-3122. [CrossRef]
- Sagar, A., Chugh, S., Sonkar, K., Sharma, A., & Kjeang, E. (2020). A computational analysis on the operational behaviour of open-cathode polymer electrolyte membrane fuel cells. International Journal of Hydrogen Energy, 45(58), 34125–34138. [CrossRef]
- Saleh, I.M.M., Ali,R., & Zhang, H. (2016). Simplified mathematical model of proton exchange membrane fuel cell based on horizon fuel cell stack. Journal of Modern Power Systems and Clean Energy, 4(4), 668-679. [CrossRef]
- Springer, T.E., & Zawodzinski, T.A., & Gottesfeld, S. (1991). Polyper electrolyte fuel cell model. Journal of Electrochemical Society,138(8).
- Wang, Y., Yu, D., Chen, S., & Kim, Y. (2014). Robust DC / DC converter control for polymer electrolyte membrane fuel cell application. Journal of Power Sources, 261, 292–305. [CrossRef]
- Zeng, T., Zhang, C., Huang, Z., Li, M., Chan, S. H., Li, Q., & Wu, X. (2019). Experimental investigation on the mechanism of variable fan speed control in Open cathode PEM fuel cell. International Journal of Hydrogen Energy, 44(43), 24017–24027. [CrossRef]
- Zhang, G., & Jiao, K. (2018). Three-dimensional multi-phase simulation of PEMFC at high current density utilizing Eulerian-Eulerian model and two-fluid model. Energy Conversion and Management, 176(June), 409–421. [CrossRef]





























| Symbol | Variable | Value |
| Active area of fuel cell | 150cm² | |
| Number of cells in stack | 120 | |
| Faraday constant | 96485Coulombs | |
| Membrane thickness | 0.0035cm | |
| Ideal gas constant | 8.314 J/(mol.K) | |
| Water vapor gas constant | 461.5 J/(kg.K) | |
| Oxygen gas constant | 259.8 J/(kg.K) | |
| Nitrogen gas constant | 296.9 J/(kg.K) | |
| Hydrogen gas constant | 4124.3 J/(kg.K) | |
| Water vapor molar mass | 0.018 kg/mol | |
| Oxygen molar mass | 0.032 kg/mol | |
| Nitrogen molar mass | 0.028 kg/mol | |
| Hydrogen molar mass | 0.002 kg/mol | |
| No. of electrons transferred | 2 | |
| Cathode outlet flow coefficient | 2.2e-06 kg/(s.Pa) | |
| Anode volume per cell | 2.58e-06m³ | |
| Cathode volume per cell | 2.59e-05m³ | |
| Membrane dry density | 0.002 kg/cm³ | |
| Membrane equivalent weight | 1.1 kg/mol | |
| Specific heat capacity of air | 1006 J/(kg.K) | |
| Electronic resistance | 0.00007W |
| Thermocouple/CV | Max. relative error | |
| Physics-based | GT-Suite | |
| Right/CV1 | 0.92% | 0.95% |
| Mid-right/CV2 | 1.08% | 0.68% |
| Mid-left/CV3 | 0.89% | 1.00% |
| Left/CV4 | 1.06% | 0.75% |
| Control volume (CV) | RMSE |
| CV1 | 1.17 |
| CV2 | 1.00 |
| CV3 | 1.27 |
| CV4 | 0.95 |
Disclaimer/Publisher’s Note: The statements, opinions and data contained in all publications are solely those of the individual author(s) and contributor(s) and not of MDPI and/or the editor(s). MDPI and/or the editor(s) disclaim responsibility for any injury to people or property resulting from any ideas, methods, instructions or products referred to in the content. |
© 2024 by the authors. Licensee MDPI, Basel, Switzerland. This article is an open access article distributed under the terms and conditions of the Creative Commons Attribution (CC BY) license (http://creativecommons.org/licenses/by/4.0/).