Submitted:
11 January 2024
Posted:
12 January 2024
You are already at the latest version
Abstract
Keywords:
1. Introduction
2. Methodology
2.1. Research subject
2.2. Research methodology
2.2.1. Simulation model
2.2.2. Validation of Model Independence from the Grid
2.2.3. Boundary Conditions and Computational Conditions
3. Results
3.1. Aerodynamic Forces and Moments
3.2. Flow field morphology
4. Discussion
4.1. The universality of the research findings
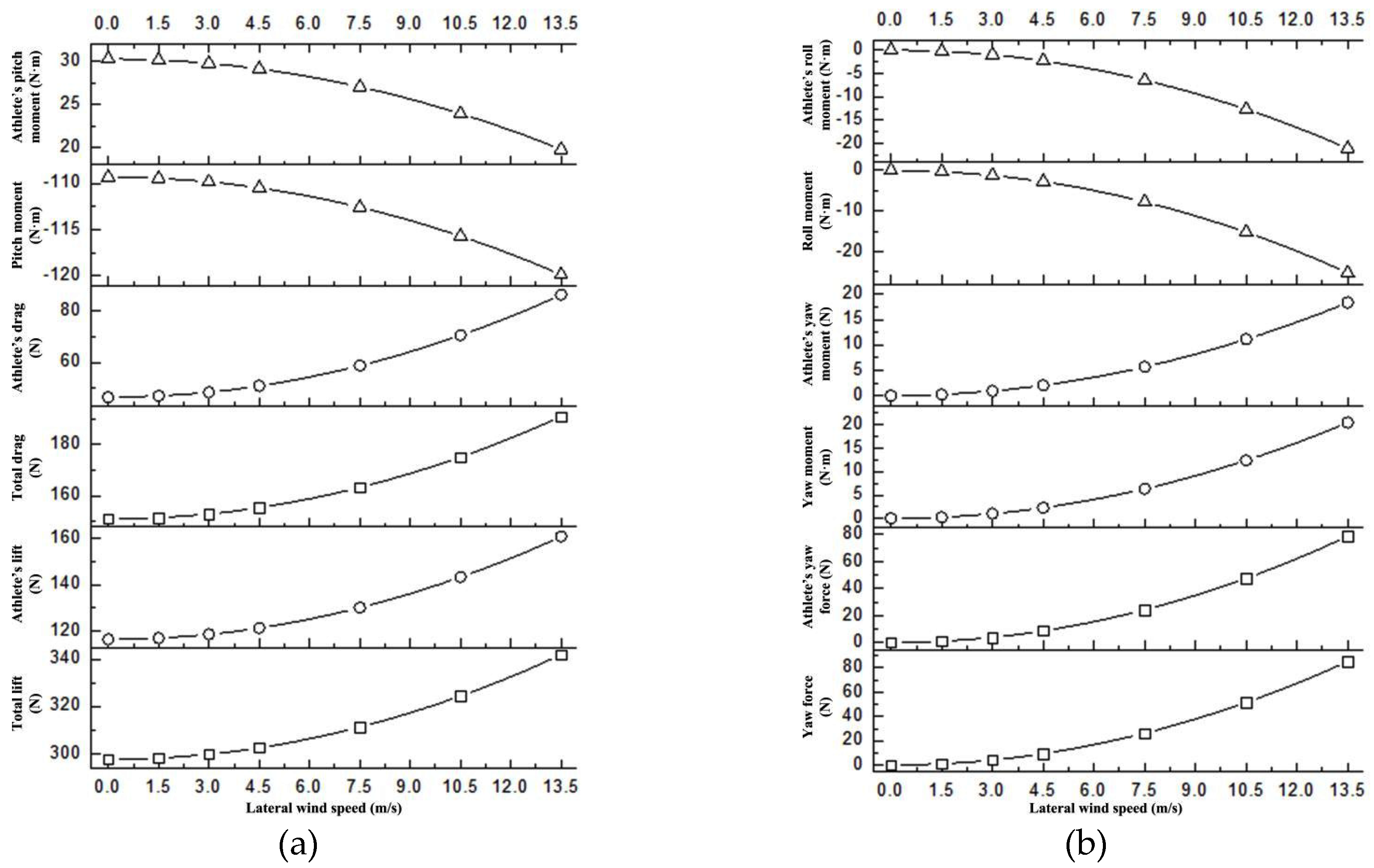
4.2. The influence of lateral environmental wind
4.3. The influence of yaw rotation
4.4. The influence of roll rotation
5. Conclusion
- 1)
- Lateral environmental wind generates yaw force, yaw moment, and roll moment. These forces and moments are minimal at lower wind speeds (less than 3 m/s) but become more noticeable and cannot be ignored at higher wind speeds (greater than 4.5 m/s). However, the yaw force, yaw moment, and roll moment generated by the athlete are dominant, while the influence of the skis is minimal. Additionally, lateral wind affects the lift, drag, and pitch moment of the athlete. The impact is minimal at lower wind speeds but becomes more evident and cannot be neglected at higher wind speeds, although it has almost no effect on the skis.
- 2)
- Under the conditions of asymmetric postures, the multi-body system experiences noticeable yaw force, yaw moment, and roll moment, while also significantly affecting the lift, drag, lift-to-drag ratio, and pitch moment of the system. Among these effects, the adverse impact of roll rotation is generally more significant than that of yaw rotation, given the same rotation angle.
- 3)
- The multi-body system exhibits yaw self-stabilization and roll self-stabilization phenomena, which can provide a solution for maintaining flight stability. This can be achieved by adopting an appropriate yaw rotation angle and/or roll rotation angle to partially or even completely counteract the adverse effects of lateral environmental wind.
- 4)
- This study, utilizing CFD numerical simulations, presents the first investigation into the mechanisms underlying the effects of unfavorable conditions on aerodynamic characteristics and stability of flight phase in ski jumping. It provides important scientific guidance for training athletes in achieving stable flight and enhancing their sport performance. Furthermore, it facilitates the formulation of effective technical requirements to improve flight stability and offers valuable support for real-time prediction and decision-making during competitions.
Author Contributions
Funding
Institutional Review Board Statement
Informed Consent Statement
Conflicts of Interest
References
- Hu, Q.; Chen, Q.; Zhang, W. A review of aerodynamics research in ski jumping. China Sport Sci. Tech. 2018, 54, 132–139. [Google Scholar]
- Virmavirta, M.; Isolehto, J.; Komi, P.; Brüggemann, G.P.; Müller, E.; Schwamederet, H. Characteristics of the early flight phase in the Olympic ski jumping competition. J. Biomech. 2005, 38, 2157–2163. [Google Scholar] [CrossRef] [PubMed]
- Murakami, M.; Iwase, M.; Seo, K.; Ohgi, Y.; Koyanagi, R. Ski jumping flight skill analysis based on high-speed video image[J]. Procedia Eng. 2010, 2, 2381–2386. [Google Scholar] [CrossRef]
- Schwameder, H. Biomechanics research in ski jumping: 1991-2006. Sports Biomech. 2008, 7, 114–136. [Google Scholar] [CrossRef]
- Hu, Q.; Liu, Y. A review of wind tunnel experimental research on aerodynamic drag reduction in winter sports. China Sport Sci. Tech. 2022, 42, 55–67. [Google Scholar]
- Virmavirta, M.; Kivekäs, J. Aerodynamics of an isolated ski jumping ski. Sports Eng. 2019, 22, 1–6. [Google Scholar] [CrossRef]
- Elfmark, O.; Ettema, G.; Gilgien, M. Assessment of the steady glide phase in ski jumping. J. Biomech. 2022, 139, 111139. [Google Scholar] [CrossRef]
- Virmavirta, M.; Kivekäs, J. Is it still important to be light in ski jumping? Sports Biomech. 2021, 20, 407–418. [Google Scholar] [CrossRef]
- Gardan, N.; Schneider, A.; Polidori, G.; Trenchard, H.; Seigneur, J.M.; Beaumont, F.; Fourchet, F.; Taiar, R. Numerical investigation of the early flight phase in ski-jumping. J. Biomech. 2017, 50, 29–34. [Google Scholar] [CrossRef]
- Jung, A.; Staat, M.; Müller, W. Flight style optimization in ski jumping on normal, large, and ski flying hills. J. Biomech. 2014, 47, 716–722. [Google Scholar] [CrossRef] [PubMed]
- Lee, K.D.; Park, M.J.; Kim, K.Y. Optimization of ski jumper’s posture considering lift-to-drag ratio and stability. J. Biomech. 2012, 45, 2125–2132. [Google Scholar] [CrossRef]
- Yu, J.; Ma, X.; Qi, S.; Liang, Z.; Wei, Z.; Li, Q.; Ni, W.; Wei, S.; Zhang, S. Key transition technology of ski jumping based on inertial motion unit, kinematics and dynamics. Biomed. Eng. Online. 2023, 22, 21. [Google Scholar] [CrossRef]
- Grosz, W.R. Improving performance by adopting the optimal flight position in ski jumping. Bulletin of the Transilvania University of Brasov, Series IX: Sciences of Human Kinetics. 2020, 13, 139–144. [Google Scholar] [CrossRef]
- Schmolzer, B.; Müller, W. The importance of being light: aerodynamic forces and weight in ski jumping. J. Biomech. 2002, 36, 1059–1069. [Google Scholar] [CrossRef] [PubMed]
- Schmolzer, B.; Müller, W. Individual flight styles in ski jumping: results obtained during Olympic games competitions. J. Biomech. 2005, 38, 1055–1065. [Google Scholar] [CrossRef] [PubMed]
- Murakami, M.; Iwase, M.; Seo, K.; Ohgi, Y.; Koyanagi, R. High-speed video image analysis of ski jumping flight posture. Sports Eng. 2014, 17, 217–225. [Google Scholar] [CrossRef]
- Seo, K.; Watanabe, I.; Murakami, M. Aerodynamic force data for a V-style ski jumping flight. Sports Eng. 2004, 7, 31–39. [Google Scholar] [CrossRef]
- Müller, W. Performance factors in ski jumping. J. Biomech. 2006, 39, 192–213. [Google Scholar] [CrossRef]
- Ryu, M.; Cho, L.; Cho, J. Aerodynamic analysis on postures of ski jumpers during flight using computational fluid dynamics. T. Jpn. Soc. Aeronaut. S. 2015, 58, 204–212. [Google Scholar] [CrossRef]
- Mannion, P.; Toparlar, Y.; Blocken, B.; Hajdukiewicz, M.; Andrianne, T.; Cliffordet, E. Improving CFD prediction of drag on Paralympic tandem athletes: influence of grid resolution and turbulence model. Sports Eng. 2018, 21, 123–135. [Google Scholar] [CrossRef]
- Hu, Q.; Wang, X.; Liu, Y. Research progress of bobsleigh aerodynamics. J. Med. Biomech. 2020, 35, 377–383. [Google Scholar]
- Zhang, Y.; Ke, P.; Hong, P. Aerodynamic drag reduction analysis of race walking formations based on CFD numerical simulations and wind tunnel experiments. Appl. Sci. 2023, 13, 10604. [Google Scholar] [CrossRef]
- Tang, W.; Suo, X.; Yang, C.; Cao, F.; Wu, X.; Liu, Y. Computational fluid dynamics simulation and optimization of in-run stage in ski-jumping. China Sport Sci. 2022, 42, 62–70. [Google Scholar]
- Yu, J.; Liao, Z.; Ma, X.; Qi, S.; Liang, Z.; Wei, Z.; Zhang, S. Optimization of stable flight posture of ski jumping based on computational fluid dynamics simulation technology. Sports Biomech. 2023. [Google Scholar] [CrossRef]
- Li, X.; Wang, X.; Chen, L.; Zhao, T. Effects of body angles on the aerodynamic characteristics in the flight period of ski jumping: a simulation study. Sports Biomech. 2023. [Google Scholar] [CrossRef]
- Cao, L.; Guo, Y.; Li, X.; Chen, L.; Wang, X.; Zhao, T. Optimization of ski attitude for the in-flight aerodynamic performance of ski jumping. Biology. 2022, 11, 1362–1373. [Google Scholar] [CrossRef] [PubMed]
- Zhang, L.; Li, X.; Wang, X.; Chen, L.; Zhao, T. Performance and biomechanics in the flight period of ski jumping: Influence of ski attitude. Biology. 2022, 11, 671–682. [Google Scholar] [CrossRef] [PubMed]
- Hu, Q.; Liu, Y. Effects of athlete’s posture on aerodynamic characteristics during flight in ski jumping. J. Med. Biomech. 2021, 36, 407–414. [Google Scholar]
- Hu, Q.; Chen, Q.; Zhang, W. Effect of the ski opening angle on the aerodynamic characteristics during flight in ski-jumping. China Sport Sci. 2018, 38, 42–49. [Google Scholar]
- Nørstrud, H.; ØYE, I.J. On CFD simulation of ski jumping. Computational Fluid Dynamics for Sport Simulation. 2009, 72, 63–82. [Google Scholar]
- Meile, W.; Reisenberger, E.; Mayer, M.; Schmolzer, B.; Muller, W.; Brenn, G. Aerodynamics of ski jumping: experiments and CFD simulations. Exp. Fluids. 2006, 41, 949–964. [Google Scholar] [CrossRef]
- Müller, W.; Platzer, D.; Schmolzer, B. Dynamics of human flight on skis: Improvements in safety and fairness in ski jumping. J. Biomech. 1996, 29, 1061–1068. [Google Scholar] [CrossRef]
- Seo, K.; Murakami, M.; Yoshida, K. Optimal flight technique for V-style ski jumping. Sports Eng. 2004, 7, 97–104. [Google Scholar] [CrossRef]
- Virmavirta, M.; Kivekäs, J. The effect of wind on jumping distance in ski jumping - fairness assessed. Sports Biomech. 2012, 11, 358–369. [Google Scholar] [CrossRef]
- Jung, A.; Müller, W.; Staat, M. Wind and fairness in ski jumping: A computer modelling analysis. J. Biomech. 2018, 75, 147–153. [Google Scholar] [CrossRef]
- Virmavirta, M.; Kivekäs, J. The effect of wind on jumping distance in ski jumping depends on jumpers’ aerodynamic characteristics. J. Biomech. 2022, 137, 111101. [Google Scholar]
- Pietschnig, J.; Pellegrini, M.; Eder, J.S.N.; Siegel, M. After all, it is an outdoor sport: Meta-analytic evidence for negative associations between wind compensation points and round scores in ski jumping competitions. PLoS ONE. 2020, 15, e0238101. [Google Scholar] [CrossRef] [PubMed]
- Jung, A.; Müller, W.; Virmavirta, M. A heuristic model-based approach for compensating wind effects in ski jumping. J. Biomech. 2021, 125, 110585. [Google Scholar] [CrossRef] [PubMed]
- Jung, A.; Müller, W.; Staat, M. Optimization of the flight technique in ski jumping: The influence of wind. J. Biomech. 2019, 88, 190–193. [Google Scholar] [CrossRef] [PubMed]
- Marques-Bruna, P.; Grimshaw, P. Mechanics of flight in ski jumping: aerodynamic stability in pitch. Sports Technol. 2009, 2, 24–31. [Google Scholar] [CrossRef]
- Marques-Bruna, P.; Grimshaw, P. Mechanics of flight in ski jumping: aerodynamic stability in roll and yaw. Sports Technol. 2009, 2, 111–120. [Google Scholar] [CrossRef]
- Müller, W.; Groshl, W.; Müller, R.; Sudi, K. Underweight in ski jumping: The solution of the problem. Sports Med. 2006, 27, 926–934. [Google Scholar] [CrossRef] [PubMed]
- Liu, J.; Zuo, Z.; Liu, S.; Wu, Y.; Wang, L. A nonlinear partially-averaged Namer-Stokes model for turbulence flow simulations. J. Drain. Irrig. Mach. Eng. 2015, 33, 572–576. [Google Scholar]









| Discrete scheme 1 | Discrete scheme 2 | Discrete scheme 3 | Discrete scheme 4 | |
| Total grid (million) | 10 | 14.66 | 19.87 | 28.38 |
| Lift-to-drag | 1.949 | 1.948 | 1.951 | 1.949 |
| Parameters | Lateral wind condition | Yaw rotation conditions | Roll rotation conditions |
| Flight speed (m/s) | 29 | 29 | 29 |
| Attack angle (°) | 35 | 35 | 35 |
| Angle between velocity and skis (°) | 35 | 35 | 35 |
| Skis opening angle (°) | 28 | 28 | 28 |
| Angle between body and skis (°) | 16 | 16 | 16 |
| Bending angle of upper body (°) | 18 | 18 | 18 |
| Lateral wind speed (m/s) | 0/1.5/3.0/4.5/7.5/10.5/13.5 | 0 | 0 |
| Yaw rotation angle (°) | 0 | 0/2.5/5/7.5/10/12.5/15 | 0 |
| Roll rotation angle (°) | 0 | 0 | 0/2.5/5/7.5/10/12.5/15 |
| Wind speed (m/s) | Total lift (N) | Total drag (N) | Pitch moment (N·m) | Yaw force (N) | Yaw moment (N·m) | Roll moment (N·m) |
| 0 | 297.6 | 151.04 | -109.34 | 0 | 0 | 0 |
| 1.5 | 298.15 | 151.54 | -109.47 | 1.05 | 0.25 | -0.31 |
| 3 | 299.79 | 153.01 | -109.86 | 4.22 | 1.01 | -1.25 |
| 4.5 | 302.53 | 155.48 | -110.51 | 9.48 | 2.27 | -2.8 |
| 7.5 | 311.29 | 163.36 | -112.59 | 26.31 | 6.32 | -7.8 |
| 10.5 | 324.43 | 175.2 | -115.7 | 51.58 | 12.38 | -15.23 |
| 13.5 | 341.96 | 190.98 | -119.86 | 85.27 | 20.46 | -25.27 |
| Yaw rotation angle (°) | Total lift (N) | Total drag (N) | Total lift-to-drag ratio | Pitch moment (N·m) | Yaw force (N) | Yaw moment (N·m) | Roll moment (N·m) |
| 0 | 297.60 | 151.04 | 1.970 | -109.34 | 0.00 | 0.00 | 0.00 |
| 2.5 | 297.32 | 153.05 | 1.943 | -109.44 | 8.78 | 2.16 | -1.67 |
| 5 | 296.47 | 155.87 | 1.902 | -109.58 | 15.89 | 4.27 | -3.07 |
| 7.5 | 295.05 | 159.97 | 1.844 | -109.77 | 24.89 | 6.78 | -5.26 |
| 10 | 293.08 | 166.94 | 1.756 | -110.10 | 34.07 | 10.53 | -8.34 |
| 12.5 | 290.55 | 175.68 | 1.654 | -110.56 | 45.12 | 15.22 | -12.26 |
| 15 | 287.46 | 187.75 | 1.531 | -110.93 | 56.30 | 21.63 | -17.37 |
| Roll rotation angle (°) | Total lift (N) | Total drag (N) | Total lift-to-drag ratio | Pitch moment (N·m) | Yaw force (N) | Yaw moment (N·m) | Roll moment (N·m) |
| 0 | 297.60 | 151.04 | 1.970 | -109.34 | 0.00 | 0.00 | 0.00 |
| 2.5 | 295.07 | 150.65 | 1.957 | -107.92 | -12.33 | -2.91 | 2.04 |
| 5 | 291.19 | 149.32 | 1.950 | -105.53 | -28.72 | -6.47 | 4.53 |
| 7.5 | 285.46 | 147.27 | 1.938 | -102.43 | -42.07 | -11.17 | 7.82 |
| 10 | 277.25 | 145.54 | 1.905 | -99.14 | -54.08 | -16.93 | 11.85 |
| 12.5 | 262.82 | 142.88 | 1.839 | -94.68 | -69.81 | -25.45 | 17.81 |
| 15 | 245.78 | 139.13 | 1.766 | -89.83 | -83.90 | -37.77 | 23.59 |
Disclaimer/Publisher’s Note: The statements, opinions and data contained in all publications are solely those of the individual author(s) and contributor(s) and not of MDPI and/or the editor(s). MDPI and/or the editor(s) disclaim responsibility for any injury to people or property resulting from any ideas, methods, instructions or products referred to in the content. |
© 2024 by the authors. Licensee MDPI, Basel, Switzerland. This article is an open access article distributed under the terms and conditions of the Creative Commons Attribution (CC BY) license (http://creativecommons.org/licenses/by/4.0/).
