Preprint
Article

This version is not peer-reviewed.

Influence of the Weather Conditions in the North-West Region of the Russian Federation on Flax Fiber Characters according to the Results of a 30-Years Research

A peer-reviewed article of this preprint also exists.

Submitted:

10 January 2024

Posted:

11 January 2024

You are already at the latest version

Abstract
Weather has significant impact on growth and plants development. It is important to analyze the influence of changing climate conditions on expression of plants agronomical characters. Two flax varieties were grown from 1987 to 2018 in the North-West of Russia. Whether conditions and their influence on flax agronomic characters were analyzed using variance and correlations analyses. Significant influence of year conditions on the manifestation of all evaluated characters was revealed. Starting from June high temperatures accelerate the development of plants at all stages. Prolongation of germination - flowering period is the most important for fiber productivity improvement. Oppositely, for formation of high quality fiber fast ripening in hot weather after flowering is preferable. Such data give possibility to predict the amount and quality of yield. Usage of weather conditions data also permits to compare results obtained in different years. Suggested method of year’s meteorological conditions classification can be used in other genebanks for systematization and analyses of crops field evaluation results. Correlation analyses reviled 3 correlated pleiades: (1) pleiade of productivity, (2) pleiade of fiber quality and yield, (3) pleiade of the growing season phases duration, the sums of active temperatures and precipitation during each period. Great influence of growing conditions on economically valuable traits indicates the necessity of searching for genotypes with stable characters manifestation for breeding new varieties, which will give stable yield and fiber of good quality.
Keywords: 
;  ;  ;  ;  

1. Introduction

Weather conditions have a great impact on the growth, development and yield of agricultural crops, including flax. Very favorable conditions for cultivation of this crop have historically developed in the Non-Chernozem zone of the Russian Federation. Here, for many centuries, flax farming has brought up to 70% of the total crops production income, occupying only 6-8% in the structure of sown areas [1]. However, recently, significant weather anomalies have been observed more and more often: dry years are exchanged for years with excessive moisture, precipitation falls unevenly, and temperature anomalies are also observed. Under such conditions, cultivation of varieties capable of adapting to rapid changes in weather conditions continues to be the most effective mean of increasing the yield and quality of the products obtained. However, in modern flax varieties, when cultivated in production conditions, the realization of the yield potential inherent in them reaches at best 30-35%. This is mainly due to the significant influence of adverse weather factors [2], in connection with which the creation and cultivation of highly plastic varieties, would allow to substantially neutralize the degree of negative impact of weather conditions fluctuations.
The successful solution of this problem should be based on understanding the influence of environmental conditions on the growth and development of plants. The life of each plant begins with the stage of germination. The optimum temperature for fiber flax germination is considered to be +10-13°C [3], and for linseed – +20-25°C [4]. An increase in temperature up to +45°C completely suppresses the development of the embryo [4]. Cold delays the emergence of seedlings, but does not affect field germination [5]. Laboratory experiments on the flax seeds germination in Petri dishes at +1-4°C with control at +20°C showed that low temperature delays full germination for 7-8 days in fiber flax and on average for 5-6 days in the linseed variety Bukharsky 37 [6].
Another prerequisite for the successful germination of flax seeds is a sufficient amount of moisture in the soil. It is necessary for the rapid hydrolysis of storage proteins and the conversion of fat into sugars [7]. Lack of water after sowing delays the germination. Soil moisture content of 40-60% of the total moisture capacity is considered to be optimal for flax sowing [3].
The period of plants’ germination in a physiological sense is associated with the phase of vernalization. Though the species L. usitatissimum does not have true winter forms [8], many scientists distinguish a group of semi-winter flaxes of southern origin that withstand prolonged cooling and are cultivated in the native territories as winter crop. Delay of growth and development at low temperatures in this case helps to avoid damage of the reproductive organs by freezing [9]. The evaluation of 439 accessions from VIR collection made it possible to divide them into 3 groups according to the peculiarities of passing the stage of vernalization: 1) fiber flax can undergo it at temperatures of +3-5°C in 7-10 days; 2) linseed and large-seeded Mediterranean genotypes - in 15 days at +2-4°C; 3) semi-winter flaxes from Azerbaijan and Asia minor are vernalized at 0 - +2°C for 20-25 days. In general, at a low temperature, the vernalization slows down flax development, and at higher temperature, it accelerates [8].
Young flax plants stand short-term frosts up to - 5°C [10]. On the other hand, freezing of seedlings, which does not cause visible damage, later causes a lag in growth at the beginning of development, a delay of flowering and the development of a greater height by the time of maturation, a decrease of the stem diameter and a change in the structure of its anatomical elements: an increase of the phloem and xylem area due to the core, an increase in the area of bast bundles relative to other elements of the phloem [10], as well as the prolongation of the entire growing season [11]. Artificial vernalization of flax seeds at subzero temperatures and sowing in autumn in the northern regions leads to an extension of the growing season due to the duration of the germination – flowering phase [12]. According to other data, the germination of flax seeds in different temperature conditions does not affect its further development and yield [13].
The next phenological stage of development, specific for flax, is the fir like phase. This name is associated with the external similarity of a low, but very leafy stem with a tree. Researchers determine the beginning and the end of this period in a different ways, based on the number of true leaves formed, the number of days that have passed since germination, and the height of the main stem. At the same time, the fir like phase prolongs until leaf primordia continue to appear on the growth cone and the formation of inflorescence begins, that is until appearance of the first flower tubercles [7,14].
The fir like phase is characterized by intensive development of the root system and slow increase of the stem height, the presence of wax plaque on the leaves, reduced metabolic rate. [15]. Physiologically, this period basically coincides with the so-called light stage, during which flax plants show sensitivity to the photoperiod. It is believed that cultivated flax is a long–day plant [8,16,17]. At the same time, numerous differences in the degree of response to photoperiod reduction were found among the accessions of fiber flax and linseed [12,16,17,18,19,20,21,22].
With the end of the light stage and the appearance of flower tubercles on the cone of growth, the formation of leaf primordia stops. The phase of rapid intercalary growth of the stem and branches of the future inflorescence begins [7]. At the same time, the formation of bast fiber bundles and intensive development of fiber in the flax stem occurs [8].
The period from the beginning of the generative phase to the end of flowering is especially important in the ontogenesis of flax, since at this time occurs not only a rapid increase in the size of vegetative organs, but also the most intensive accumulation of biomass, and the size of the inflorescence and the number of flowers in it are determined [12]. When there is a lack of moisture in the soil during the period of rapid growth, the number of fibrous bundles in the stem is significantly reduced; wood grows, so the yield and fiber quality decreases [15]. High temperature during flowering reduces the number of bolls [23], seed yield, oil content and quality [24].
From the biological point of view, maturation begins immediately after fertilization with the initiation of embryo development. Environmental conditions have a significant impact on flax in the last stages of its development. Low temperatures during this period slow down vegetation, contribute to the development of the diseases. During the fibers maturation, the average daily temperature of +18-20°C is the most favorable. Lower temperatures slow down this process [15].
Under controlled conditions, an increase of temperature accelerates the maturation of stems and bolls, and reduces the number of seeds in the bolls, the size of seeds, oil content and its iodine number. Change of temperature three weeks after flowering does not affect the weight of the seeds or the characteristics of the oil [25].
Lack of moisture in hot weather after flowering, reduces the seeds size, the yield and oil content decrease. It is important that against the drought background, even additional fertilization does not compensate for the loss of seed yield [26,27].
Some environmental factors have a specific effect on the development of flax during certain periods of its vegetation, but most of them affect physiological processes constantly. Such characteristics of growing conditions include, first of all, temperature, humidity, chemical composition of the soil.
In the first 10 days after germination, flax weakly reacts to an increase of air temperature. But then it promotes intensive growth, productivity in seeds, straw and fiber [13]. In general, low temperature slows down the transition to flowering, and high temperature reduces this stage [8].
High temperature accelerates the development of flax and helps to shorten the growing season, as well as increases the number of stems and branching of the inflorescence. Thus, the manifestation of the fiber flax and linseed characters depends on temperature conditions [28]. Too hot weather inhibits growth and reduces the yield of fiber [13,27,28]. At the same time, optimal temperatures required for growth depend on the variety and geographical origin of flax and are not the same for different stages of its development [29].
Humidity is of particular importance for the growth of flax. For this reason, its cultivation succeeds well near water reservoirs and in low places [15]. Drought causes the stoppage of many physiological processes, such as cell growth, stomatal closure and decreased respiration, depression of photosynthesis, wilting, which ultimately leads to inhibition of growth, a decrease in yield and its quality [30,31]. Sufficient soil moisture increases the total height, yield of straw, seeds, etc. [32]. With a lack of moisture, the percentage of the bast and woody parts in the stem decreases, especially in its lower third part, which leads to a decrease in the yield of fiber [27].
Despite the fact that the influence of individual environmental factors on flax growth and development has been evaluated well, the complex interaction of genotype and environment has not been tested sufficiently. Different experiments showed different results. The analysis of variance carried out for many characters, including the number of days before maturation and the height of plants, showed a high significance of the interaction between the genotype and the place of cultivation [33]. This does not agree with the results obtained after flax growing in an artificial climate, when the duration of the growth phases turned out to be the same as in the field [34], that is, a change in conditions did not cause a modification of the character. The weather conditions of different years had a significant influence on the fiber quality characters [35] and fiber flax plants’ height [36]. The combined effect of various factors on flax yield was demonstrated in field conditions. The influence of the variety genotype on the formation of yield increases significantly under favorable weather conditions. And under unfavorable hydrothermal parameters, the influence of potassium content in the soil and its acidity increases [37]. Our previous experiments also have shown the genotypes’ diversity in stability of characters expression in different environmental conditions. So, the results of analyses of the influence of genotypes, growing conditions and their interaction on the agronomic characters of both fiber flax and linseed, depends on the characters of the evaluated genotypes and (or) variability of growing conditions [38,39]. The duration of the main periods of vegetation most often depends mainly on weather conditions. The height of plants by 55-80% is determined by the genotype. The fiber yield and the mass of 1000 seeds are usually determined by the genotype. Characters of fiber quality in different experiments showed significantly different levels of the influence of genotypes, conditions of the year and their interaction.
Analysis of the interrelationships between the manifestations of economically valuable characters is also of great importance for breeding. The interdependence of characters is a necessary requirement for the reliability of the organism existence and arises on the basis of the selection of the most stable individuals, but it is not absolute, since the independence of some processes from each other is equally necessary for the organism [40]. Correlations between characters are distinguished by the type of their relationships. Phenotypic correlations reflect the relationship of characters in a population where variation is a consequence of both genetic and environmental differences. Ecological correlations calculated on the basis of the expression of plant characters of one genotype in specific environmental conditions demonstrate a component of the covariance of traits that depends only on the heterogeneity of the growing conditions. Genotypic correlation, on the contrary, is a covariance based solely on genetic differences. It can be calculated as a correlation between the average values of genotypes’ characters [41]. Strong genotypic correlations indicate the potential for combining desirable traits in one variety, as well as selection of breeding material estimating only some easily identifiable traits. Strong ecological correlations show the reliability of changes of various characters under the influence of environmental variations.
The information available in the bibliography about the correlations between flax characters is sketchy and does not give a complete picture of their interdependence, because often the authors do not separate the genotypic and environmental components of the links. When testing correlations between flax characters, the main attention is paid to the assessment of genotypic relationships. First of all, great interest is attached to the finding of the possibility of selecting early maturing plants by early flowering. However, in various investigations, diametrically opposite results were obtained for assessing correlations between the duration of the two main periods of flax development [42,43]. Apparently, these differences are related to the use of very diverse groups of accessions for the experiments.
One of the main components of fiber flax productivity is the height of plants. Numerous experiments have shown that in various accessions its relationship with other characteristics varies greatly, but in all cases strong positive correlations were observed between the total height and length of the stem, height and weight of the technical part of the stem [44]. Similar results were obtained in our previous experiments [38].
Evaluation of the correlation between earliness and height of flax plants has been conducted for a long time. Researchers have approached this problem from different perspectives. Having collected and evaluated about 1.5 thousand flax genotypes from various regions of the world, N.I.Vavilov [45] found that, in general, cultivated flax of the species L. usitatissimum has a negative correlation between the duration of the growing season and the height of plants. The shorter is the growing season, the higher are the flax plants, and the closer they are to the normal type of fiber flax; the less is their branching, the less is the production of bolls and seeds. With the prolongation of the growing season, the number of branches of the inflorescence increases, the number of stems, the number of bolls and, accordingly, the height of plants decreases. A.P. Basova and co-authors [46] proposed two approaches to evaluation of this issue and noted that early fiber flaxes are in general higher than late-maturing linseeds. But the earlier forms among fiber flaxes, for example, that originating from Arkhangelsk, are shorter than the comparatively later genotypes from Pskov. Similar results were obtained in Italy after evaluation of fiber flexes, grown as winter crop [47]. The negative correlation of earliness and height found by N.I.Vavilov in plants at the level of various types of L. usitatissimum (linseed and fiber flax) is beyond doubt. But scientists have not yet come to a consensus on the relationship of these characters within the group of fiber flaxes. The reason for this situation, apparently, is the dependence of this relationship on both – the composition of the evaluated grope of genotypes and the conditions of their cultivation [38].
The same applies to the relationship between earliness and seed yield, which was evaluated mainly using linseed, as well as between the yield and its components [48,49].
If some information about the genotypic correlations between flax characters can be found in the bibliography, then ecological correlations have practically not been evaluated.
The lack of data on the paratypical variability of flax traits and the relationships between them is of particular importance now – in an era of tangible climate change.
The high variability of economically valuable flax characters, the significant dependence of their manifestation on many environmental factors, as well as the lack of a reliable methodology for assessing the potential of plants at the initial stages of breeding complicates the breeding process. The main difficulties arise during determination of the plants’ genotypes by their phenotype and selection for increased productivity, as well as improvement of other quantitative traits, because they are inherited polygenically and are strongly influenced by weather conditions. Therefore, in order to increase the effectiveness of breeding, it is necessary to evaluate the indicators of continuous variability of economically valuable characters, to establish the ratio of paratypic and genotypic variation, to determine the stability of their expression in various environmental conditions [50].
In addition, it becomes urgent to develop approaches to predicting the stability of the manifestation of economically valuable traits of varieties in changing climatic conditions.
VIR world collection of fiber flax, which has been evaluated for many decades on the territory of the VIR Pushkin Laboratories in the North-West of Russia, as well as data on the assessment of weather conditions directly at the place of plants cultivation, provides a good opportunity to identify and clarify the genotype–phenotype relationships, the proportion of the influence of weather conditions on the tested characters, identifying highly adaptive accessions that can be used in the further breeding process.
To achieve these goals variation of two fiber flax varieties agronomic characters along 30 years of field and laboratory evaluation was compared with appropriate weather conditions of their cultivation. Investigation included searching for patterns of agronomic characters variation depending on the conditions of the year and the ranking of 30 years of study based on weather conditions that have a significant effect on the flax characters. It is necessary stage for expanding 30 years of data on other flax varieties that have undergone a 2-3-year assessment over these years and forecasting fiber quality based on the conditions of the year.

2. Results and discussion

2.1. Meteorological conditions of the experiment

Meteorological observations during the years of the experiment were carried out at a meteorological station located directly on the experimental field. The air temperature was recorded every hour and the average air temperature per day was calculated. The amount of precipitation was recorded daily. The sums of active temperatures (>10°C) and precipitation (mm) were calculated separately for each decade and month from May to August, as well as the sums of effective temperatures (>20°C). The level of humidity in the territory for each month of the experiment was also expressed by the Selyaninov hydrothermal coefficient (HTC), which was calculated as the ratio between the total precipitation in mm during the period with mean air temperatures higher than 10°С, and the sum of temperatures for the same period of time reduced tenfold. For fiber flax, HTC values more than 1 are necessary. A coefficient, which is higher than 1.6, means that the humidity is excessive [51].
For current work, the results of fiber flax field evaluation in the period from 1987 till 2018 was selected, except for 1993 and 2003, which turned out to be extremely unfavorable for flax. The straw was totally rotted in the field, that’s why the technological analysis of the fiber was not carried out. Thus, the total period of flax evaluation presented in this article was 30 years.
The sums of active temperatures, precipitation and hydrothermal coefficient for each of the main phases of plants’ development of both varieties (sowing-germination, germination-flowering, flowering-ripening, germination-ripening), as well as the sum of temperatures for the entire growing season from sowing and from germination to ripening were calculated separately.
The average temperature of May during 30 years of evaluation was 11.9°C (ranging from 4.5°C in 1994 to 17.3°C in 2016), June - 16.5°C (from 12.8°C in 1990 to 21.6°C in 2013), July - 18.8°C (from 11.5ºC in 2008 to 23.6°C in 2011), and August - 17.0°C (from 12.7°C in 1987 to 19.9ºC in 2015), and the amount of precipitation respectively was - 44.9 mm (from 6.9 mm in 1996 to 83.4 mm in 2017), 69.7 mm (from 8.8 mm in 1990 to 145.9 mm in 2010), 82.2 mm (from 33.4 mm in 1999 to 186.5 mm in 2017) and 81.5 mm (from 9.1 in 2002 to 237.4 in 2017) (Figure 1, Table S1).
The sum of active (>10°C) temperatures for the month in May was on average 293°C (from 140 in 1994 to 536 in 2016), June 485°C (from 385 in 1990 to 649 in 2013), July 584°C (from 356 in 2008 to 762 in 2011) and August 521°C (from 395 in 1987 to 618 in 2015). From May to August, the sum of active temperatures averaged 1884°C (from 1490 in 2008 to 2398 in 2013) (Table S1, Figure 1). The highest variation coefficient for the sum of active temperatures was observed in May - 33%. In June, July and August, it was low and amounted to 13, 13 and 10%%, respectively. The coefficient of variation for the amount of precipitation from May to August was high and totaled 49% in May, 55% in June, 45% in July and 68% in August. Thus, the greatest temperature fluctuations were observed only in May, which cannot be said about the amount of precipitation (Figure 1, Table S1).
In general the average air temperature during the period from May, 1 till August, 31 in 3 10-years periods of observations was not equal. First two decades had statistically equal medium temperatures, but the third one appeared to be ~20°C hotter than the others. These data show the tendency of global warming. At the same time, total amount of precipitation remained on the same level. Looking ahead, we can say that this warming did not lead yet to the significant changes of flax characters expression (data is not shown).
The hydrothermal coefficient (HTC) averaged in May 1.69 (from 0.26 in 2009, 2016, 2017 to 3.89 in 1996), in June 1.48 (from 0.22 in 1990, 2018 to 3.37 in 2009), in July 1.43 (from 0.54 in 1999 to 4.27 in 2017) and in August 1.61 (from 0.16 in 1996, 2002 to 4.27 in 1987, 2017), which indicated mostly sufficient and even excessive moisture. However, if we consider by decades, then during the sowing time (the first and/or second decades of May) in 21 among 30 years of evaluation conditions can be characterized as insufficient humidification or even drought (Figure 1, Table S1). Most often the lack of moisture has been felt in recent years.

2.2. Correlations between the characteristics of weather conditions during the period from 1987 to 2018 (30 years of evaluation)

As already noted, weather conditions varied greatly depending on the year of evaluation. Correlations have been recorded between the characteristics of weather conditions, most of which relate to mathematical ones rather than phenological patterns (Figure 2). So the sums of active temperatures for a month are closely correlated with appropriate sums of effective temperatures and both of them with the cumulative temperature for the period from May to August. The total monthly active and effective temperatures are related to the active temperatures for each of the three decades. The exception is the first decade of May, which does not affect other weather characteristics. As a rule, active temperatures for decades are not related to each other even within a month; however, the hottest of them (the 2nd and 3rd decades of July and the 1st decade of August) are consistently interrelated. It is interesting that there is a connection between the temperature of the second decade of May and the third decade of July, but this can be explained by a strong violation of the normality of the distribution of characteristics, particularly the manifestation of maximum temperatures of these decades in 2010 and 2014. Thus, almost all temperature characteristics of different years form one pleiad with the "sum of active/effective temperatures from May to August" in the center (Figure 2). At the same time none of the individual decades’ sums of effective temperatures are correlated with other temperature characters. But this is not surprising, since in this region average day temperature rare exceeds 20°C.
Rains distribution was not so regular. Precipitation characteristics formed two pleiades: (1) precipitation and HTC in May and (2) precipitation and HTC in June-August, together with the total rainfalls from May to August. Precipitation of all three decades in May and August correlated with the corresponding totals for the month, and the second and third decades of June and the first and third ones in July with the corresponding totals for the month. Precipitation from June to August correlated with precipitation of the entire period from May to August; however, May precipitation was not associated with it. Precipitation in the first decade of June was independent of all other characters. The presence of a relationship between the amount of precipitation in the second decade of June and the third one in August is explained by the rainstorms at this time in 2009 and 2017, that is, again, a disorder of the data distribution normality.
The hydrothermal coefficient of each month is expectedly strongly correlated with the appropriate amount of precipitation. This may explain the almost identical correlations of monthly precipitation and HTC with precipitation by decade, but in May precipitation in the second decade was not directly associated with HTC.
The pleiades of precipitation and temperature are connected by negative correlations between the hydrothermal coefficient in May and the total active temperatures in May and its third decade, which can be explained by abnormally high total temperatures and, accordingly, low May HTC in 2013 and 2016. Again, a moderate correlation between the sum of active temperatures and the amount of precipitation in the second decade of July is also associated with a violation of the data distribution normality, all due to the fact that in 1987 this period was the coldest (122°C) and the driest (1.9 mm) for the entire period of experiment, and in 1988, on the contrary, it was abnormally hot (228°C) and wet (62.0 mm). Interestingly, the second decade of July, with the exception of these two years, is the most uniform (CV=12%) in terms of precipitation, on average, rainfall was 19.3±0.4 mm.
Thus, the connections between the characteristics of weather conditions and their fluctuations can indirectly affect both economically valuable flax characters and the connections between them, and show mathematically correct, but biologically senseless connections.

2.3. Economically valuable flax characters and their variation over 30 years of evaluation

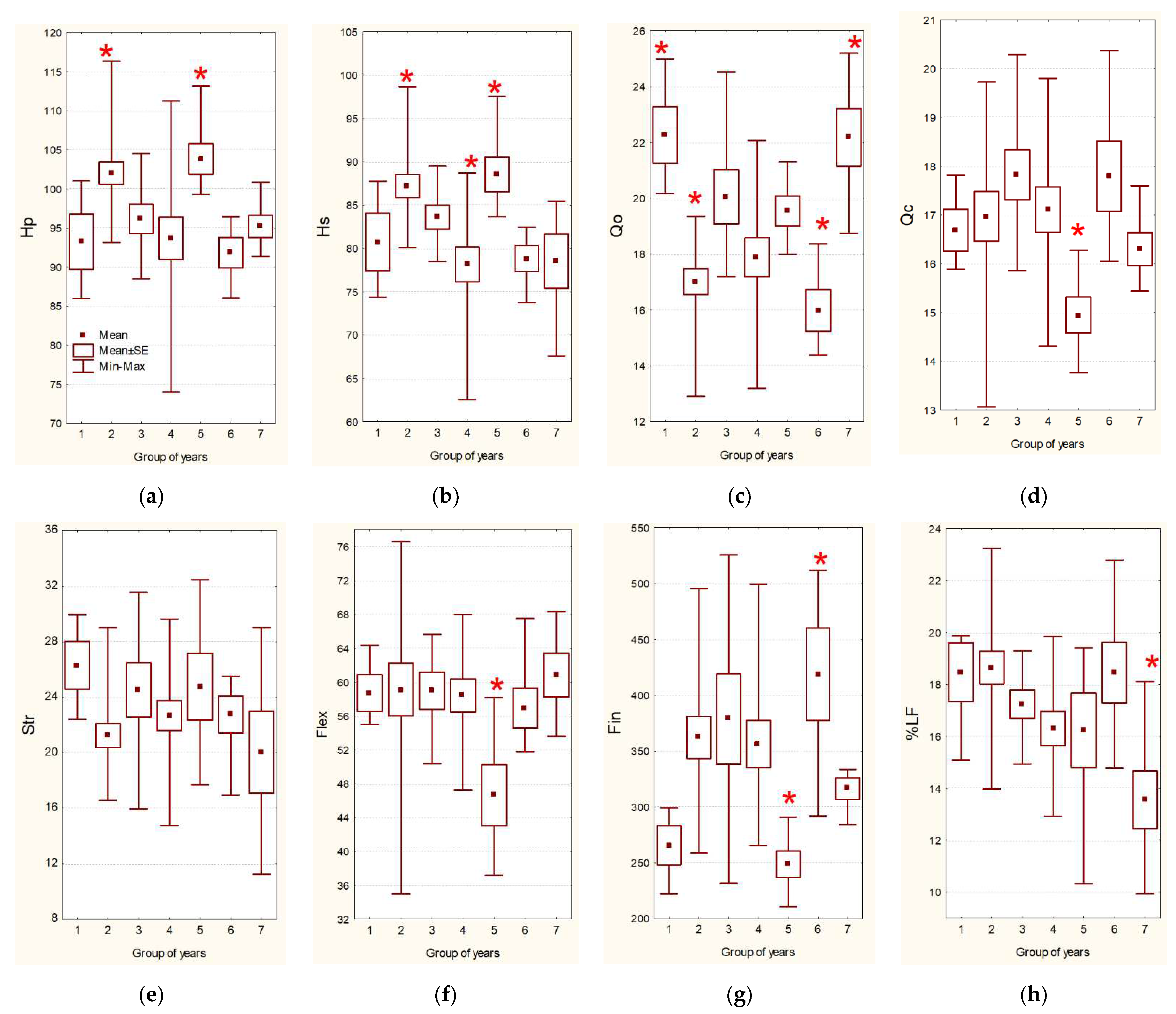
It must be mentioned that fiber flax varieties Svetoch and Priziv 81 do not have related ancestors in their pedigrees. Both varieties do not differ significantly in plants height. During the experiment, the total height and technical length of the stem varied slightly (CV=7-9%) in both varieties these characters were on average 97±1 and 83±1 cm, respectively. The most favorable for height development were 1991 and 2017, when the total plants height reached 104-116 cm, technical length – 90-99 cm, and unfavorable year was 2018, when a total height reached only 74–82 cm and technical length – 63-68 cm (Figure 3, Table S2).
For straw and fiber yield, old variety Svetoch is less productive than Priziv 81 (StPr = 610±32g and 682±32g; TF=143±8g and 170±9g; LF=99±6g and 125±7g respectively). Straw and fiber productivity are highly variable characters (CV=25-36%). For all three productivity indicators (straw yield, total and long fiber content) 2002 was the most favorable year: StPr max=875g and 1018g; TF max=241g and 287g; LF max=169g and 226g for the Svetoch and Priziv 81, respectively. And the worst ones were 2000 and 2018: StPr min=155g and 327g; TF min=38g and 87g; LFmin=26g and 52g respectively. For straw yield, the best ones were also 1991 and 2008, for long fiber -1991 and 2004, and the worst for straw formation also appeared to be 1998 (Figure 3, Table S2).
In addition to low straw productivity, variety Svetoch has a lower fiber content, both total and long, compared to variety Priziv 81 (%TF =23.5±0.5 and 24.9±0.5%; %LF=16.1±0.5 and 18.2±0.5% respectively). These are moderately varying characters (CV=10.1-20.3%). The year 1999 was the most favorable for increasing the formation of both total and long fiber (%TFmax=28.6 and 29.7%; %LFmax=20.7 and 23.2% for Svetoch and Priziv 81 respectively), and the worst one was 1989 (%TFmin=19.6 and 29.7%; %LFmin=9.9 and 13.4% for Svetoch and Priziv 81 respectively). For total fiber output 1987 and 2002 were the best years, and for long fiber formation – 1991, 2004, 2005. The worst conditions for long fiber output developed in 2008 and 2016. (Figure 3, Table S2).
Two evaluated varieties do not significantly differ in fiber quality (Str = 23±0.8 and 23±0.9N; Flex=58±2 and 57±2mm; Fin=352±15 and 341±17km/g; Qo=18.6±0.5 and 18.7±0.5; Qc=17.0±0.3, 16.8±0.3 for Svetoch and Priziv 81, respectively). Among the fiber quality characters, the least variable ones are complex indicators Qc and Qo (CV=10-11% and 16%, respectively). Flexibility and breaking load occupy an intermediate position with CV=15-17% and 20-22%, respectively. Fineness is a highly variable indicator (CV=23-28%). It is impossible to determine weather conditions favorable for all quality characteristics at the same time. For simple quality indicators such as breaking load, 2006, 2007, 2009 and 2010 years were the most favorable (Strmax= 30.0 and 32.5N for the Svetoch and the Priziv 81, respectively); and 1989 was the most unfavorable one (Strmin= 11.2 and 11.5N respectively). Fiber flexibility was the best in 2004 and 2005 (Flexmax= 77 mm for both varieties), and the worst was observed in 1987 (Flexmin= 44 and 35mm for Svetoch and Priziv 81, respectively). Fineness was the best in 1996, 1999 and 2000 (Finmax= 526 and 512 km/g), and the worst in 1987 (Finmin= 253 and 211 km/g) for Svetoch and Priziv 81, respectively. Complex quality indicator detected organolepticaly was the best in 2007, 2013 and 2014 (Qomax=24.5 and 25.2), and the worst in 1987, 1988, 1999, 2000 (Qomin=12.9 and 13.7) for Svetoch and Priziv 81, respectively. The most favorable weather for the calculated quality parameter was in 1996, 1999, 2000, 2004 (Qcmax=20.4 and 19.3) and unfavorable conditions have developed in 1987 (Qomin=14.5 and 13.1) for Svetoch and Priziv 81, respectively. (Figure 3, Table S2).
Average seed productivity of Svetoch variety (126±8 g) exceeds that of Priziv 81 (105±6 g). The most favorable year for this character was 2008. (SePrmax=239 and 187g accordingly for two varieties), and unfavorable one was 2000 (SePrmin=36 and 38 g respectively) (Figure 3, Table S2).
Both varieties germinated simultaneously on 12±1 day after sawing. However, Svetoch started flowering and mature later then Priziv 81 (g-f =42±2 and 40±1; f-m=35±1 and 33±1; g-m=77±2 and 72±2, respectively). The fastest germination (4-6 days after sawing) happened in 1995. This period was the longest in 1990, 2006, 2014 and lasted for 19-21 days. The earliest flowering took place in 1988, 1989, 1997, 1999 – on 33–31 days after germination (Svetoch and Priziv 81 respectively), and was greatly delayed in 1987 – till 54 and 50 days for Svetoch and Priziv 81 respectively. The shortest period from flowering till ripening was observed in 1988, 1989, 2001, 2010 (on days 24 and 25, respectively for Svetoch and Priziv 81), this period was the longest in 1987, 2008, 2017 (47 and 44 days for Svetoch and Priziv 81 respectively). Total flax growing season was shorter than the others in 1988 and 1989 (58 and 56 days for Svetoch and Priziv 81 respectively), and the longest in 1987 and 2008 (97 days for both varieties) (Figure 3, Table S2).
Thus, among all 30 years of evaluation, it is impossible to single out a season that is definitely the most favorable for flax development. This may be due to a complexity of positive and negative correlations system formed by economically valuable traits in variable cultivation conditions.
Also testing of two fiber flax varieties for 30 years has shown that economically valuable characters react differently to the changes in weather conditions. Calculation of the variation coefficient of economically valuable characters between replicas within each year and of their average values between years showed that all the evaluated traits can be divided into 3 groups.
The first group included the most stable characters with the lowest coefficient of variation: total height 2.4 - 10.2 (on average, 8.5% over the years of testing) and height to inflorescence 2.2 - 11.5 (on average, 8.9%); total fiber content 6.1 - 14.9 (on average, 11.4%); weight of 1000 seeds 1.6 - 6.5 (on average 6.3%); the growing season - 11.4%, A small coefficient of variation of these characters, apparently, explains the significant success in flax breeding according to these indicators.
The second group included medium varying characters: long fiber content (%) 5.9 - 29.0 (average 17.2%); fiber breaking load 5.7 - 26.3 (average 19.5%); fiber flexibility 4.7 - 16.8 (average 15.3%); fiber metric number 7.7 - 29.3 (average 23.3%)
The third group included highly variable characters - the yield of straw (average 28.3%), as well as the yield of long (average 36.0%) and total fiber (average 30.2%), the yield of seeds (average 34.9%).

2.4. Ecological correlations between economically valuable characters

On the basis of a 30-year evaluation of varieties Svetoch and Priziv 81 correlation matrices of relationships between economically valuable characters were constructed for each of them. After the z-transformation of matrices, their high similarity was proved (r=0.96). Actually all very strong and strong correlations (r>0.7) in both matrices were almost identical, some of the moderate correlations (0.7>r>0.5) in one variety became weak (0.5>r>0.36) and only a few moderate ones (r<0.52) was not found in the second variety (Table S3). It is important, that during the current experiment, which lasted for 30 years, weather conditions were very variable and the results reviled the potential adaptability of tested varieties to the environmental changes. Another reason of such stability of correlation matrixes may be the long breeding process and strict selection of genotypes, which give stable yield in variable weather conditions. As the tested varieties don’t have any genealogical relations, it can be supposed that detected correlations may refer to the total group of fiber flexes adapted to cultivation in non - chernozem zone of Russian Federation. That’s why we will discuss only correlation matrix of Svetoch variety as the oldest one.
Flax economically valuable characters formed three pleiades: (1) pleiade of productivity, (2) pleiade of fiber quality and yield, (3) pleiade of the of the growing season phases duration, the sums of active temperatures and precipitation during each period of development (Figure 4).
In pleiade of productivity total plants height and height to inflorescence were closely related to each other, which is similar to the results, obtained for genetic correlations in fiber flax [38,44] and linseed [39]. The straw yield expectedly very strongly correlated with the total fiber yield. Both characters were strongly correlated on one hand with the yield of long fiber and they all together were moderately dependent on the total plants height and length of the stem to inflorescence (which coincides with genetic correlations in linseed [39]); on the other hand they were linked with the productivity of seeds and the weight of 1000 seeds. Calculated fiber quality parameter forms the center of the pleiad that includes fiber quality and yield characters. This fiber quality indicator strongly depends on fineness, flexibility and also moderately linked with the yield of long and total fiber; the latter two characters moderately correlate with each other. Fineness is also moderately positively correlated with flexibility and negatively with fiber quality number (estimated organoleptically). Fiber strength is independent of other characteristics (Figure 4).
The center of the third pleiad is formed by the duration of the growing season (from sowing and from germination to ripening), which is moderately correlated with the period from germination till flowering and strongly with the period from flowering till ripening. It is interesting to consider the relationships between the duration of the growing season phases and weather conditions during these periods. It was discovered that the duration of the growing season phases are moderately associated with precipitation and HTC of the corresponding periods, as well as with precipitation and HTC of the flowering-ripening period. All together precipitation and HTC are strongly interconnected, which suggests that particularly precipitation after flowering, and not air temperature, is responsible for the prolongation of plants vegetation. Precipitation accumulated during the flowering-ripening period is moderately correlated with the duration of the corresponding period, as well as with the sum of active temperatures for the entire growing season. The sum of active temperatures during the flowering – ripening period strongly correlates with the duration of the corresponding period and with the sum of active temperatures for the entire growing season, which in its turn is moderately related to the sum of active temperatures during the germination – flowering period, the latter has a moderate positive correlation with the duration of the sowing – germination phase. Precipitation during the period from germination till flowering strongly correlates with the HTC for the same period (Figure 4). Of course, some of these correlations can be explained by natural interdependence of the evaluated characters.
It is also interesting to consider how the weather conditions of each month affect the growing season phases. Temperatures of the first decade of May are positively associated with active temperatures during the germination-flowering period, which are negatively affected by precipitation of the first decade of May, which in their turn are positively associated with the HTC during germination-flowering stage of development. The sum of the active temperatures in May is moderately positively related to the sum of the active temperatures during entire growing season. But there are no reliable correlations between total precipitation and sum of temperatures in May with the duration of growing season phases. That is, weather in May does not have a direct effect on the duration of flax phenophases and other economically important characters. The sums of the active temperatures in the first decade of June, during whole June and the sum of the effective temperatures in June have negative correlations with the duration of the germination-flowering phase of development. The influence of effective temperatures is especially strong. So, the high temperatures in June, mainly during its first decade, accelerate the beginning of flowering. The sums of active temperatures in the second decade of July, the whole July and the sum of the July effective temperatures are negatively associated with the duration of flowering-ripening period. That is, the high temperatures of July, especially its second decade, play a key role in the rapid maturation. Active and effective temperatures in June and July (especially its second decade), as well as active and effective temperatures from May to August, are negatively associated with the duration of the ripening. Active and effective temperatures from May to August negatively correlate with the duration of the germination-flowering phase (Figure 4). In general, high temperatures promote plants development, and rains prolong it.
The influence of weather conditions and the duration of the vegetation phases on the characters of productivity and quality of flax fiber are uncertain. Positive correlations of height to inflorescence (moderate) and total height (weak) were noted with precipitation and HTC during the germination-flowering phase, as well as with precipitation in the first decade of June, when flax passes the stage of rapid growth. The duration of the germination-flowering phase is moderately correlated with the productivity of straw and total fiber yield. That is, the basis for the productivity of flax varieties is formed before flowering (Figure 4).
A negative relationship between the duration of the flowering-maturation phase and calculated fiber quality parameter was revealed, that is, with prolonged maturation, the quality of the fiber deteriorates. Another complex fiber quality indicator, estimated manually, is moderately correlated with the active temperatures of the second decade of August and August as a whole; it is also influenced by the sum of active and effective temperatures from May to August and the entire growing season. That is, for improvement of fiber quality, it is desirable for plants to ripen faster after flowering. Also it is preferably for maturation to takes place in the hot second decade of August (Qo) or earlier if hot weather started since the end of July (Figure 4).

2.5. The influence of year conditions and genotype on the expression of morphological, phenological and economically valuable flax characters

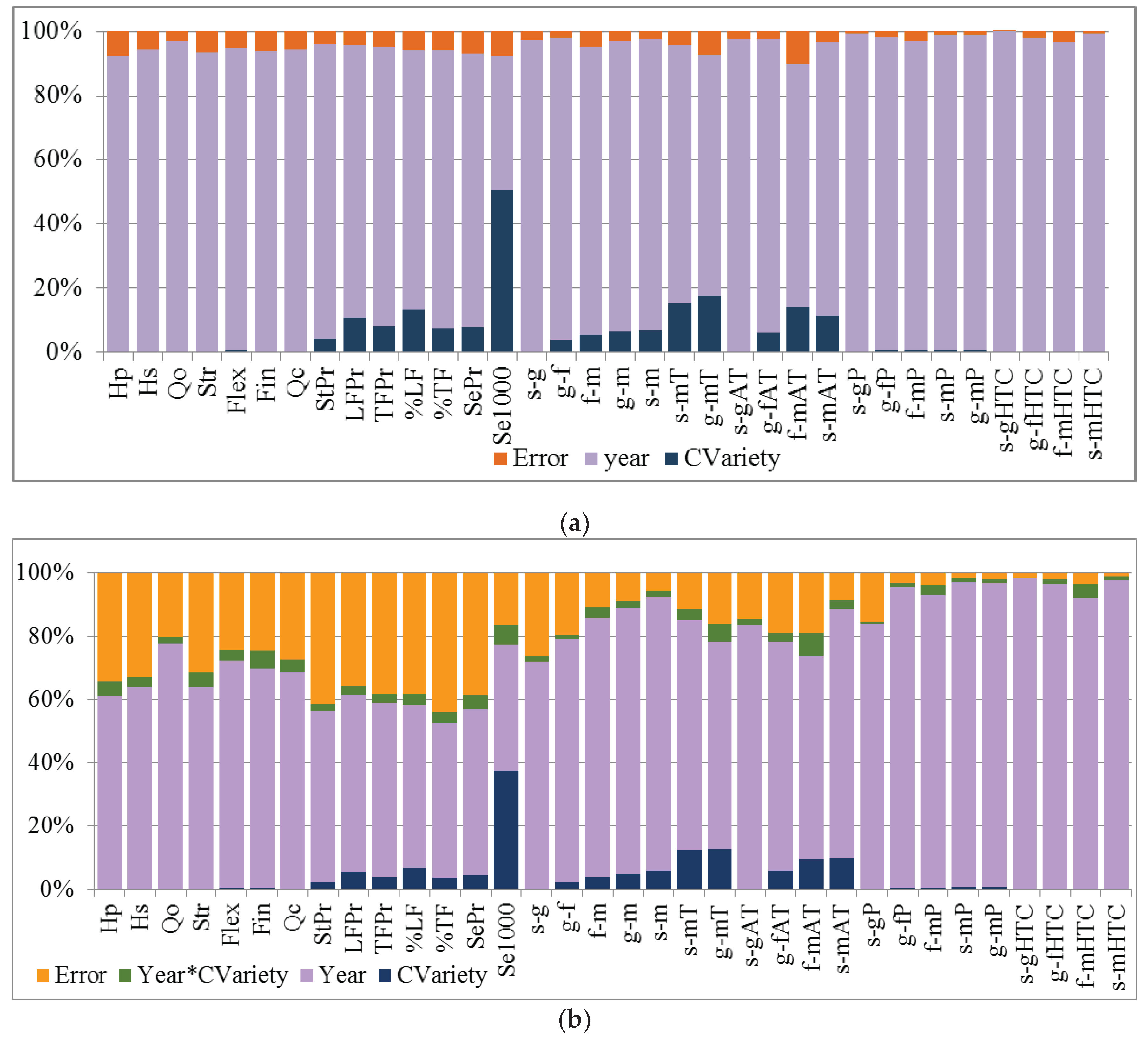
The analysis of variance which was carried out both for a sampling of each variety average values over 30 years, and for several replications of each variety grown in one year, revealed a significant influence of the year conditions on the manifestation of all the evaluated characters (Figure 5). For the sampling of the average values of the variety’s characters, the effect size of the year was almost the only one (the share of influence, ŋ2> 92%) which influenced plants’ height, all characters of fiber quality, duration of the sowing-germination phase, sums of temperatures and precipitation for this period, as well as hydrothermal coefficients for all phases of development. Since the evaluated varieties differ in the ripening time, the analysis of variance showed a significant effect of the genotype on phenological phases (4-7%) and related to them sums of active temperatures (6-18%) and precipitation (~1%). The genotype also had a slight but significant effect (4-13%) on the characteristics of the yield of both fiber and seeds, which are characterized by high variability and dependence on environmental conditions. Separately should be noted, a weakly variable and highly conservative trait – the mass of 1000 seeds, which, despite significant differences in environmental conditions, showed a greater dependence on the genotype (51%) than the conditions of evaluation years (42%).
Variance analysis of several replications of each variety over 30 years allowed specifying the influence of the genotype and the year of evaluation on agronomic characters (Figure 5). It turned out that the interaction of year conditions and genotypes has a small but significant effect, especially on the characters of fiber quality (breaking load, flexibility, fineness, Qc: ŋ2 = 3-6%), the weight of 1000 seeds (6%), phenophases (flowering – ripening, germination – ripening and sowing – ripening: 2-3%), the sums of temperatures (3-7%), precipitation (1-3%) and HTC (1-4%) for the periods germination – flowering, flowering – ripening, germination – ripening. Moreover, this was implemented against the influence of the year conditions, whereas the random variation within the year (between replications) was quite high from 5 to 41%.
Thus, it is necessary to find a way to range the years in order to understand exactly what conditions are favorable for early maturation, high yield and the best quality of flax fiber.

2.6. Ranking of evaluation years by weather conditions

2.6.1. Ranking the years of study using factor analysis

One of the most effective ways to organize the results obtained and reduce the number of analyzed characters without loss of informativeness is factor analysis. It allows you to identify factors that have a similar effect on groups of related characteristics of years, and already on this basis to identify similar years of evaluation.
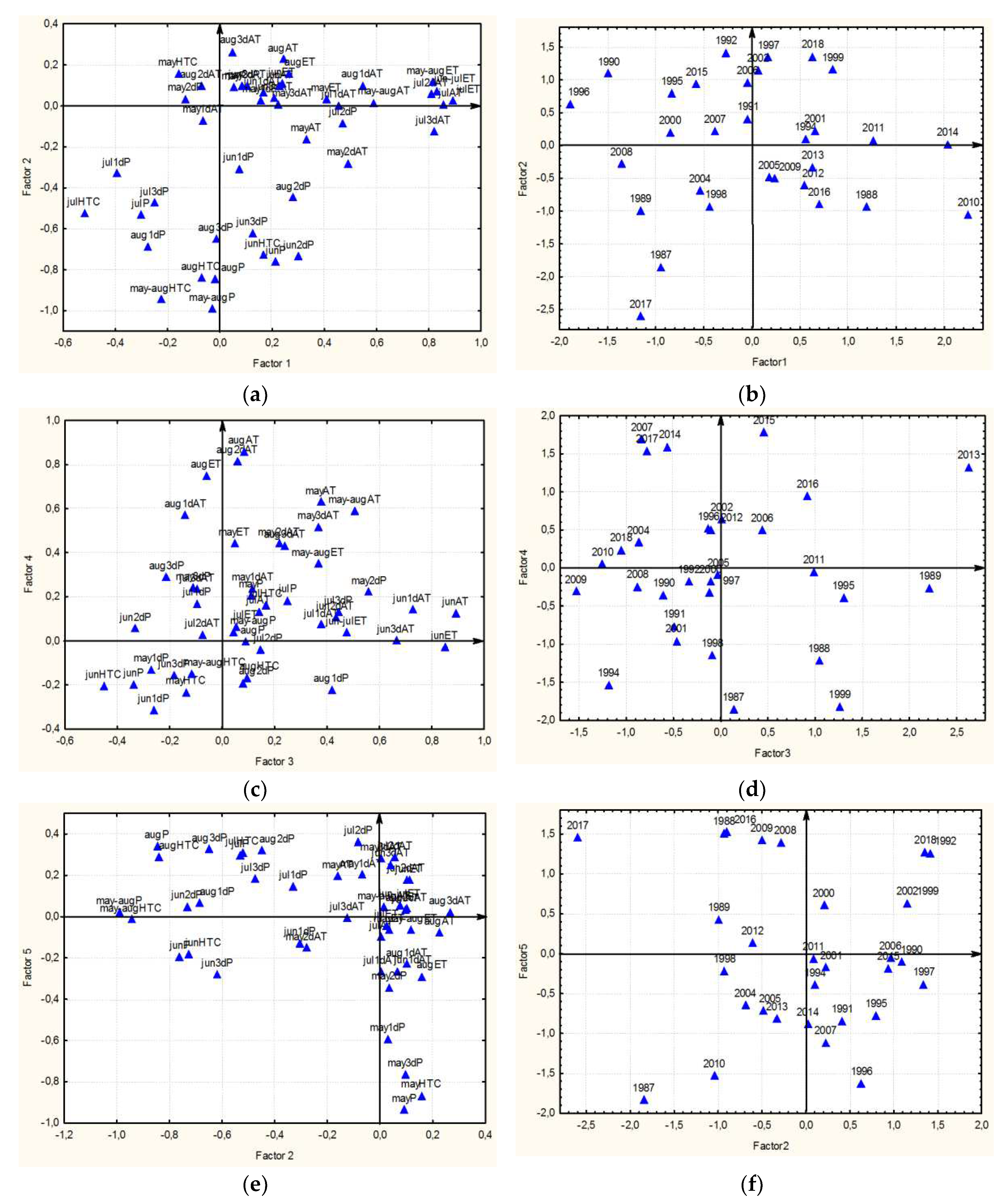
Seven factors justifying 66% of total variation among the characters were identified using scree test (Figure S4). Initial results of the factor analysis could not be uniquely interpreted, as many of the characters had great loads of several factors (data not shown). Consequently, a rotation of the axes Varimax (Varimax raw) was carried out to reach the simplest elementary structure (Figure 6, Table S5, Table S6).
The first factor (accounting 16% of the variation) can be interpreted as heat in July – early August, and during the growing season. It determines the high loads on the sum of active temperatures for each of the decades of July and the total month, as well as the first decade of August, the sum of effective temperatures in July, June-July and during the growing season. Also, this factor is positively associated with the amount of precipitation in the second decade of July and negatively with the first decade of the same month and the HTC of July (Figure 6, Table S5).
The lowest loads of the first factor, have 1987, 1989, 1990, 1996, 2008, i.e. it was cold during flowering and maturation of flax in July and early August, and the highest loads have – 1988, 2010, 2011, 2014 – which were hot during these periods (Figure 6, Table S6).
The second factor (accounting 17% of the variation) can be defined as a drought from June to August, as it characterizes the minimum amount of precipitation in each of the decades and in total in June and August, as well as in the third decade and in total July, and also low HTC from June to August and totally for the entire vegetation season (Figure 6, Table S5).
According to this factor, the lowest loads have 1987, 1988, 1989, 2017, which were rainy from June to August, during the period from rapid growth to the ripening of flax, and the greatest loads have the driest years – 1990, 1992, 1997, 1999, 2002, 2006, 2018 (Figure 6, Table S6).
The third factor (accounting 12% of the variation) can be interpreted as the heat in June and determines the high active temperatures in each decade and in total in June, as well as the sum of active temperatures from May to August and effective temperatures in June. The precipitation amount of the second decade of May is also associated with this factor (Figure 6, Table S5).
According to this factor, the lowest loads had 1994, 2009, 2010 with a cold June, which, as a rule, accounts for the fir like stage, rapid growth and budding; and the greatest loads have 1989, 2013 - years with the hottest June (Figure 6, Table S6).
The fourth factor (accounting 11% of the variation) is responsible for the heat in mid-late May and in August. It characterizes the high active temperatures in the second and third decades and the totals of May, in each of the decades and the totals of August, the totals from May to August, as well as the effective temperatures of May and August (Figure 6, Table S5).
According to this factor, the lowest loads have 1987, 1994, 1999, with cold May (the phases of seedlings and fir like stage) and August (ripening), and the greatest loads have 2007, 2013, 2014, 2015, 2017 year, which are characterized by hot May and August (Figure 6, Table S6).
The fifth factor (accounting 10% of the variation) determines the drought in May – low precipitation in all decades and in total in May, as well as low HTC during this period (Figure 6, TableS5).
According to this factor, the lowest loads have 1987, 1996, 2010, with rainy May, falling on the period of seedlings – fir like stage, and the greatest loads – 1988, 1992, 2008, 2009, 2016, 2017, 2018 –the driest years (Figure 6, Table S6).
As a result of factor analysis, 10 groups of years were determined. Also many years of evaluation were included in two or more groups, and 1991, 1995, 1998, 2000, 2001, 2004, 2005, 2012 had reliable, but not maximum factor loads.
Thus, it is not possible to use factor analysis directly to classify years. Therefore, based on the results of factor analysis, the K-means cluster analysis (Euclidian distance) was used, which showed that the minimum number of clusters combining all 5 factors and 30 years of evaluation is 7.

2.6.2. Ranking of evaluation years using cluster analysis based on the results of factor analysis

Since factor analysis could not directly definitely separate the years of evaluation into groups, we carried out the next stage of the years’ classification. To do this, factor loads were taken, which were obtained based on the results of factor analysis. They were used as characters for k-means cluster analysis. This cluster analysis allows for an unambiguous division into groups, indicating the reliability of the inclusion of each character (in our case, a factor) in the group. Also, this cluster analysis at the next stage of analyses determines the contingent center of each cluster and relative to it creates the distance to each year in the cluster. Thus, the analysis shows the number of clusters and their relative positions, as well as the position of the year of evaluation within each cluster.
Analysis of variance showed that all five factors affect the resulting tree. The third factor has the most influence, and the fourth factor has the least influence (Table S7).
The first cluster is formed by the years with heat in May, July, August, cold in June and rains in May. It includes 2010 and 2014, which are characterized by the maximum factor loads for factors 1 and 4, as well as the minimum for factors 3 and 5 (Figure 7, Figure 8, Table 1).
The second cluster is the largest one, it is formed by the years with cold May and August, rains in May, June, July, August and in the growing season as a whole. It includes 1987, 1991, 1994, 1998, 2001, 2004, 2005 and 2012, which are characterized by minimal factor loads for factors 2, 4 and 5 (Figure 7, 8, Table 1).
The third cluster is formed by the years with heat in May and August, cold in July, rains in May, drought in June, July, August and in the growing season as a whole. It includes 1995, 1996, 2007 and 2015, which are characterized by maximum factor loads for factors 2 and 4, as well as minimum – for factors 1 and 5 (Figure 7, 8, Table 1).
The fourth cluster, the second largest one, is formed by years with drought in May, June, July and August, i.e. during the entire growing season. This cluster includes 1990, 1992, 1997, 2000, 2002, 2006 and 2018, which are characterized by maximum factor loads for factors 2 and 5 (Figure 7, 8, Table 1).
The fifth cluster is formed by the years with cold June, July and the entire growing season, having a drought in May, rains in June, July, August and in the growing season as a whole. This cluster includes 2008, 2009 and 2017, which are characterized by the maximum factor loads for factor 5, as well as the minimum for factors 1, 2 and 3 (Figure 7, 8, Table 1).
The sixth cluster is formed by the years with cold May and August, heat in June, July and entire growing season, drought in May. This cluster includes 1988, 1999 and 2011, which are characterized by the maximum factor loads for factors 1 and 3, as well as the minimum for factor 4 (Figure 7, 8, Table 1).
The seventh cluster is formed by the years with hot May, June and August, rains in June, July, August and in the whole growing season. This cluster includes 1989, 2013 and 2016, which are characterized by maximum factor loads for factors 3 and 4, as well as minimum loads for factors 2 and 5 (Figure 7, 8, Table 1).
Clusters 3 and 4 are located closest to each other; cluster 1 is the most isolated one (Figure 7).
Thus, according to the results of the joint factorial and cluster analysis, it was possible to unambiguously classify all the years of evaluation according to weather conditions.

2.7. Dependence of economically valuable characters on the grouping of years into clusters

The seven clusters obtained reflect the entire spectrum of weather conditions observed over 30 years of evaluation. Weather conditions could both positively and negatively affect the manifestation of economically valuable characters. Using the U-Mann-Whitney and t-Student’s criteria, it is possible to identify significant differences between the years from the cluster being compared from the rest of the analyzed years (Table 2, Figure 9).
Weather conditions of 2010, 2014, forming the first cluster (hot May, July, August, cold June, rains in May), caused very early (12 days earlier than in average for all years) sowing, which led to speeding up the development in the phases of germination, flowering and maturation, which positively affected the organoleptic fiber quality (22±1 compared to overall average 18±0).
Weather conditions of 1987, 1991, 1994, 1998, 2001, 2004, 2005 and 2012, forming the second cluster (cold May and August, rains in May, June, July, August and in the growing season as a whole) had a positive effect on the total plants height (104±2 compared to overall average 96±1 cm), and height to inflorescence (89±2 compared to overall average 82±1 cm), but negatively affected the organolepticaly characterized fiber quality (17±0 compared to overall average 19±0).
Weather conditions in 1995, 1996, 2007 and 2015, forming the third cluster (heat in May and August, cold in July, rains in May, drought in June, July, August and in the growing season as a whole) did not have a significant impact on the economically valuable characters of flax.
Weather conditions of 1990, 1992, 1997, 2000, 2002, 2006 and 2018, forming the fourth cluster (lack of moisture in the entire growing season) negatively affected only the height to inflorescence (78±2 compared to overall average 84±1 cm), possibly because the drought was not severe and precipitation, although in small amounts, but had fallen.
Weather conditions in 2008, 2009 and 2017, forming the fifth cluster (cold June, July and the growing season as a whole, lack of precipitation in May, rains in June, July, August and the growing season as a whole) lengthened the passage of all phases of flax development, which positively affected the total height (104±2 compared to overall average 96±1 cm), height to inflorescence (89±2 compared to overall average 82±1 cm) and seeds productivity (178±15 compared to overall average 109±5 g), however, these conditions had an extremely negative impact on fiber quality – flexibility (47±4 compared to overall average 59±1 mm), fineness (249±12 compared to overall average 357±12 km/gr) and the calculated fiber quality (15±0 compared to overall average 17±0).
Weather conditions in 1988, 1999 and 2011, forming the sixth cluster (cold May and August, hot June, July and the growing season as a whole, drought in May) led to a shortening of all phases of flax development for a week or more: germination-flowering 34±1 compared to overall average 42±1 days; flowering-ripening 26±1 compared to overall average 35±1 day; the growing season was 60±1 compared to overall average 76±1 day and to harvesting on average 11 days earlier, which had an extremely positive effect on the fiber fineness (419±41 compared to overall average 338±11 km/gr), but negatively influenced the organoleptic fiber quality (16±0 compared to overall average 19±0).
Weather conditions in 1989, 2013 and 2016, forming the seventh cluster (hot May, June and August, rains in June, July, August and in the growing season as a whole) led to a shortening of the period from germination to flowering (36±1 compared to overall average 41±1 days), which negatively affected the output of long fiber (14±1% compared to overall average 18±1%), which, however, was of better organolepticaly classified quality (22±1 compared to overall average 18±0).
Thus, for the first time we conducted the ranking and grouping of the evaluation years and valued their impact on economically valuable characters.
So, hot weather at the beginning of the growing season, which causes early germination, leads to a significant increase of the organolepticalyestimated fiber quality; drought leads to a decrease of technical length; cool and rainy weather during the period starting with rapid growth, prolongs the duration of the vegetation phases, increases plants height and seed productivity, but deteriorates the flexibility and fineness of the fiber; cold in May and the heat in June and July accelerates the passage of the vegetation period phases, improves the fineness of the fiber, but deteriorates its organoleptic parameters.
Consequentlyproposed methodology will help to classify and select other flax accessions already evaluated in 1987-2018, taking into account the appropriateweather conditions of the year, without additional study.

3. Materials and Methods

Field experiments were carried out on one field (with crops rotation) in the Leningrad region, Russian Federation. It is situated in latitude 60 North, near Baltic Sea. In June, the time of day light reaches 20 hours. The average temperature during flax vegetative period, is 14°C, total precipitation in average riches 350 mm. Soils of this region are characterized as brown podzolic, light-adobe, humus content is 3–4%, with pH 5.5–6.0. These conditions are very favorable for fiber flax cultivation.
For the current work, 2 standard varieties used for the evaluation of the VIRfiber flax collection were selected: Svetoch, (Russia, All Russia Institute of Flax, k-5333) and Priziv-81, (Belarus, Mogilev Experimental Station, k-7472). The Svetoch variety has been used in the evaluation of the VIR collection since 1954 till the present time, which allows us to compare the data of the VIR collection testing obtained during this period of time, and the variety Priziv-81 has been designated as the standard for earliness since 1987. The article analyzes the results of the field evaluation of these varieties in the period from 1987 to 2018.
Tested flax varieties were sown annually in 2–22 replicates. The date of sowing varied widely, depending on the weather conditions of the year. During the described time period, the earliest sowing was carried out in 1990 and 2004 – on April, 23, and the latest one in 1997 – on May, 24 (Table S2).
Flax was sown on the plots of 1 m2. The seeding rate was 2000 seeds /m2. The distance between rows was 8 cm. The field evaluation of the varieties was carried out in accordance with the Methodological Guidelines [52]. It included registration of periods: from sowing till germination (75% of seeds germinated s-g), from germination to full flowering (75% of plants are flowering g-f), from full flowering to early yellow ripening (half of bolls on the plot are yellow f-m), from germination to maturity (g-m), from sowing till maturity (s-m), as well as total plants height (Hp), hight to inflorescence (Hs), yields of seeds (SePr) – production in g/m2, weight of 1000 seeds (Se1000) and straw production in g/m2 (StPr).
Harvesting was carried out at the stage of early yellow ripening. Fiber was extracted by water retting at the temperature of 32–37°C and pH ≤ 2.5 for 3 days. Fiber content and quality were evaluated according to the standard method used Russion Federation [53,54]. For detection of fiber content in stems firstly, the straw was dried to constant weight, 100g of dry straw were taken from each sample for testing. The stock was broken and scutched. The total fiber content (%TF) was calculated relative to the straw weight. Fibers were hackled to separate long fibers and their content (%LF) was calculated relative to the straw weight. After this, quality of long fiber was tested. For instrumental measurements of the fiber flexibility (Flex), special fiber preparations of 30 independent strands were made. A sample of 27 cm long and 420 mg was cut from the middle of each fiber strand. All preparations were planed under the press for 8–10 hours at temperature of 20°C and humidity of 60–65%. Fiber flexibility (mm) was measured according to the free flexure of both strand ends.
The measurement of fiber breaking load (Newtons) was performed on a dynamometer using the same 30 samples (27 cm length and 420 mg weight) for each sample. It must be mentioned, that the breaking load data of the technical fibers indicates a value of comparative difference between the samples, allowing an estimation of the technical fibers strength (Str) but did not give any information about the strength of elementary fibers.
For the measurement of fiber fineness (Fin), the fiber strand was carded on a special hatchel (10 needles per 1 cm). A part of 10 mm long was cut from the middle of strand. 5 preparations of 10 mg were taken to count the number of fibers (n) in each preparation. Then the average number of fibers per preparation was calculated. Average length of 1 mg of fibre was considered as (10 mm × n/10). Finally the fineness was estimated in km/g.
Two general quality marks of technical fibers were given to the samples. One (Qo) was estimated organoleptically by experts, taking into account the length, color, brightness, fineness, flexibility, and strength. Another one (Qc) was calculated from the three described parameters according to the formula (1).
Qc = 0.2×Str + 0.1×Flex + 0.013×Fin + 2.1
All characters (being in bold in the text) used in current investigation or for statistical analyses are listed in Table 3.
Mathematical processing of the obtained results was carried out by standard statistical methods [55,56,57,58]. Influence of the genotype and conditions of the year on the expression of flax characters was evaluated using two-factor analysis of variance in the Statistica 7.0 program [59]. The effect size of the factor's influence was estimated by Fisher’s formula (2)
ŋ2=SSfactor/SStotal×100%
The variation coefficients (CV) were calculated according to the standard formula within the characters expression during 30 years for each of the varieties independently. They were classified as low when CV ≤ 10%, intermediate when 25% ≥ CV>10%, and high when CV>25% [60]
Using obtained data of 30 years evaluation of the same two flax varieties ecological correlations between their characters (Pearson correlation coefficients) were calculated according to the standard methods [56,57,58,59]. Calculations were made with the use of packet of analysis MS Excel and Statistica 7.0 for Windows. For n = 30 and p =0.05, r > 0.36 was considered as significant, 0.7 > r ≥ 0.5 as intermediate, 0.9 > r ≥ 0.7 as high, and r ≥ 0.9 as very strong correlations. Correlation pleiads were composed manually [60,61]. The similarity of different correlation matrices was evaluated using the Fisher z – transformation [60].
Factor analysis was also carried out. Principal component method of analysis was used to extract factorial load. To get the simplest structure of factor loadings, factor rotation method (Varimax raw) was used [59]. For lines classification factor scores were used. Among all possibilities of pair-factor systems, four pictures were chosen in order to show all 5 factors and indicate the most evident grouping of characters. After this, for the complete classification of lines we used cluster analysis (K-means method with distance measure Euclidian distance) [59].

4. Conclusions

Meteorological observations carried out in 1987 – 2018 in the North-West of the Russian Federation shoved that in general the average air temperature during the period from May, 1 till August, 31 in 3 decades of observations was not equal. First two decades had statistically equal medium temperatures, but the third one appeared to be ~2°C hotter than the others. These data show the tendency of global warming. Many temperature parameters, evaluated in current investigation are naturally interrelated except the conditions of the first decade of May, which does not affect other weather characteristics. At the same time, sums of active temperatures in the 2nd and 3rd decades of July and the 1st decade of August are consistently interrelated. So, if air and soil are well warmed up in the middle of July, they preserve this warm for a long time.
Statistically total amount of precipitation within three 10 years periods remained on the same level, though most often the lack of moisture has been felt in the latest years. At the same time, weather conditions had high variation from year to year which gave an opportunity to analyze the dependence of plans development on the conditions of experimental years.
In general weather conditions have a significant impact on the manifestation of economically valuable flax characters. The portion of their influence, depending on the trait, ranged from 40 (weight of 1000 seeds) to 80%% (fiber quality). At the same time interaction between weather conditions of different years and genotypes has a small but significant effect, especially on the characters of fiber quality (breaking load, flexibility, fineness, calculated fiber quality parameter: ŋ2 = 3-6%), the weight of 1000 seeds (ŋ2 = 6%), duration of phenophases (flowering – ripening, germination – ripening and sowing – ripening: ŋ2 = 2-3%), accumulated amounts of temperatures (ŋ2 = 3-7%), precipitation (ŋ2 = 1-3%) and HTC (ŋ2 = 1-4%) for the periods germination – flowering, flowering – ripening, germination – ripening.
No reliable correlations between total amount of precipitation and sums of accumulated temperatures in May with the duration of growing season phases and other parameters were found. That is, weather in May does not have a direct effect on the duration of flax phenophases and other economically important characters. On the contrary high temperatures in June, mainly during its first decade, accelerate the beginning of flowering. Hot weather in July, especially its second decade, plays a key role in the rapid maturation. In general, increase of temperature promotes plants development, and rains prolong it.
Positive correlations of height to inflorescence (moderate) and total height (weak) were noted with precipitation and HTC during the germination-flowering phase, as well as with precipitation in the first decade of June, when flax passes the stage of rapid growth. The duration of the germination-flowering phase is moderately correlated with the productivity of straw and total fiber yield. That is, the basis for the productivity of flax varieties is formed before flowering. High quality fiber is formed in hot conditions from the end of July till the middle of August. In conditions of the prolonged maturation fiber quality deteriorates.
In general, to obtain high yield of the best quality fiber it is preferable to plant flax early in spring and use varieties with late flowering and fast ripening.
Suggested method of year’s meteorological conditions classification can be used in other genbanks for systematization and analyses of crops field evaluation results.

Supplementary Materials

The following supporting information can be downloaded at the website of this paper posted on Preprints.org. Table S1: Temperature, precipitation and hydrothermal coefficient in 1987-2018; Table S2: Characteristics of fiber flax varieties Svetoch and Prizyv 81 by economically valuable characteristics, as well as by the sums of temperatures and precipitation during the growing seasons in 1987-2018; Table S3: Initial and z-transformed correlations between economically valuable flax characters; Figure S: Scree plot showing eigenvalues in response to the number of components for the estimated characters; Table S5. Factor loading (Varimax raw) for 45 characters; Table S6: Factor scores of 7 factors for 30 years and factor loads for the years of evaluation, as well as the classification of the years of testing based on the results of grouping by factor loads using cluster analysis (method K-means); Table S7: Cluster analysis.

Author Contributions

Conceptualization: A.V.P., E.A.P., and N.B.B.; methodology: A.V.P., E.A.P. and N.B.B.; software: A.V.P., E.A.P., A.A.S. and N.B.B.; validation: A.V.P., E.A.P., N.V.K., I.I.M. and N.B.B.; formal analysis: A.V.P., E.A.P., and N.B.B.; investigation: A.V.P., E.A.P., I.I.M. and N.B.B.; resources: E.A.P., A.V.P., A.A.S. and N.B.B.; data curation: A.V.P., E.A.P., N.V.K. and N.B.B.; writing—original draft preparation: A.V.P., E.A.P. and N.B.B.; writing—review and editing: A.V.P., E.A.P., and N.B.B.; visualization: E.A.P., A.V.P., A.A.S. and N.B.B.; supervision: N.B.B.; project administration: E.A.P. and N.B.B.; funding acquisition: E.A.P., A.V.P., N.V.K., A.A.S. and N.B.B. All authors have read and agreed to the published version of the manuscript.

Funding

This research was funded by state assignment № FGEM-2022-0005 to Federal State Budgetary Scientific Institution Federal Research Center the N.I. Vavilov All-Russian Institute of Plant Genetic Resources “The collection of oil and fibre crops at VIR: maintenance, evaluation, genetic diversity expantion”.

Data Availability Statement

All data is presented in the article.

Acknowledgments

Authors thanks L.U. Novikova for technical support for providing of weather conditions data.

Conflicts of Interest

Authors declare no conflict of interests.

References

  1. Torikov, V.E; Shakov, V.M.; Romanova, I.N. Cultivation Practice Efficiency of New Varieties of Fiber Flax in the Southwest of Non-Chernozem Area of Russia.Bryansk State Agrarian University 2016.
  2. Korolev, K.P. Ecological comparative study of collectible flax samples in the conditions of the north-eastern part of the Republic of Belarus, сollection of scientific papers of the All-Russian Scientific Research Institute of Sheep and Goat breeding 2016, 1 №.9, 84-86.
  3. Soloviev, A.Ya. Flax growing. Agropromizdat: Moscow, Russia, 1989; 320 p.
  4. Pandey, B.N.; Ojha J. Germination of freshly harvested and stored seeds of linseed at constant temperatures. Geobios. 1981, 8(5), 229-230.
  5. O’Connor, B.J.; GustaL.V. Effect of low temperature and seeding depth on germination and emergence of seven flax (Linum usitatissimum L.) cultivars. Canadian journal plant science.1994, 74, 247-253. [CrossRef]
  6. Chernomorskaya, N.M. The effect of seed springization on the phenotypic composition of varietal populations of cultivated flax. Proceedings on Applied Botany, Genetics and Breeding. 1989, Leningrad, 125, 74-78.
  7. Dyakov, A.B. Physiology and ecology of flax. VNIIMK: Krasnodar, Russia, 2006; 215p.
  8. Sizov, I.A. Flax. Selkhozgiz: Moscow; Leningrad, Russia, 1955; 255p.
  9. Sinskaya, E.N. Issues of flax development and growth in connection with organ formation and harvest accumulation. Proceedings on the developmental biology and physiology of flax. Selhozgis: Moscow, Russia 1954.
  10. Ivanov, S.M. On the question of influence of spring frosts on the development of flax in connection with the sowing period. Proceedings on Applied Botany, Genetics and Breeding1933,3(3), 17-29.
  11. Sharov, I.Ya. The influence of environmental factors on the passage of the stages of springization and light by various varieties and forms of flax. Proceedings on Applied Botany, genetics and breeding1958,31 (3), 82-97.
  12. Sizov, I.A. Features of the passage of stage changes in various varieties and forms of flax. Proceedings on applied botany, genetics and breeding1952, 29 (2), 69-123.
  13. Afonin, M.I. Influence of daylight duration and air temperature on the growth, development and yield of flax in its ontogenesis. Proceedings on agriculture and crop production in the BSSR. Minsk: Harvest, 1969, 13, 196-201.
  14. Sullerov, A.I. Influence of various light conditions on the development and growth of flax. Proceedings of the II Scientific Conf. of the Departments of Botany and Fundamentals of Agriculture (LGPI) Pskov, 1972, 8-13.
  15. Doronin, S.V.; Tikhvinsky S.F. Fiber flax.: Kirov, Russia,2003; 111p.
  16. Minkevich, I.A. Linseed. Selkhozgiz: Moscow, Russia 1957; 179p.
  17. Sinskaya, E. N. About the types of relationships between development and growth in plants of "long and short day". A brief report on the work for 1950. VNIIMK: Krasnodar, Russia 1951, 154-162.
  18. Sorochinskaya, M. A. The importance of summer sawing in breeding of linseed for early maturation. Bulletin of scientific and technical information on oilseeds: VNIIMK: Krasnodar, Russia 1968, 11-15.
  19. Sorochinskaya, M. A. Short day – background for separation of the linseed population by productivity. Proceedings of the Kuban branch of VOGIS. 1975, 1, 122-126.
  20. Basu, N.C.; Bose, S. Preliminary studies on some botanical, anatomical, and agronomical aspects of Flax (Linum usitatissimum L.). Science and culture. 1975, 41,323-325.
  21. Pavelek, M. Response of cultivars and new selections of flax (Linum usitatissimum L.) to photoperiod. Rostlinavyroba1992,38, 133-141.
  22. Brutch, N.; Matvienko, I.; Porokhovinova, E.; Pavlov, A.; Nozkova, J.; Koshkin, V. Effect of photoperiod on Linum usitatissimum L. characters. Journal of Natural Fibers2020, 17,1345-1354. [CrossRef]
  23. Ford, J.H. Influence of time of flowering on seed development of flax. Crop science1964, 4, 52-54. [CrossRef]
  24. Shivasankar, Acharya; Sunil, Kumar; R.B.P. Nirala. Comparative assessment of the effect of weather parameters on linseed (Linum usitatissimum L.) crop production in adaptation to climate change. Indian Journal of Ecology2017, 44, 416-421.
  25. Dybing, C.D.; Zimmerman, D.C. Temperature effect on flax (Linum usitatissimum L.) growth seed production and oil quality in controlled environment. Crop science1965, 5, 184-187. [CrossRef]
  26. Minkevich, I.A. Linseed. A brief report on the work for 1950. 1951, 116-120.
  27. Sizov, I.A. The impact of meteorological factors and geographical conditions on the growth and development of flax. Proceedings on Applied Botany, genetics and breeding1958, 31(3), 3-25.
  28. Gvozdikova, N.E. Influence of light and temperature factors on the growth, development and productivity of linseed in artificial climate chambers. Bulletin of scientific and technical information on oilseeds1980, 2, 15-17.
  29. Sharov, I.Ya. The influence of environmental factors on the passage through the vernalization and light sensitive stages by various flax varieties and forms. Proceedings on Applied Botany, genetics and breeding. Leningrad, 1958, 31(3), 82-97.
  30. Bycznska, M.; Heller, K. Increasing resistance of flax Plants to drought stress. Flax and Allied Fibre Plants for Human Welfare: International conference of FAO/ESCORENA European Cooperative Research Network on Flax and other Bast Plants2003, Cairo, 15-16.
  31. Kariuki, L.W.; Masinde, P.; Githiri, S. et al. Effect of water stress on growth of three linseed (Linum usitatissimum L.) varieties. SpringerPlus2016,5,759. [CrossRef]
  32. Ermakov, A.I. Dependence of the chemical composition of flax seeds on growing conditions in different soil and climatic zones (results of geographical experiments). Proceedings on Applied Botany, genetics and breeding 1958,3, 36-60.
  33. Rao, S.K.; Singh, S.P. Genotype x location interactions for yield and its components in linseed crosses. Indian journal of agricultural science1984, 54(4), 269-272.
  34. Afonin, M.I.; Yermenko, V.A.; Baturo, S.A. Cultivation of flax in speeding up conditions of plants cultivation. Agriculture and crop production in BSSR. Minsk, 1985, 29, 111-115.
  35. Norton, A.J.; Bennett, S.J.; Hughes, M., et al. Determining the physical properties of flax fibre for industrial applications: the influence of agronomic practice. Annuals of applied biology2006. 149, 15-25. [CrossRef]
  36. Korolev, K.P.; Bome, N.А. Evaluation of flax (Linum usitatissimum L.) genotypes environmental adaptability and stability in the north-eastern Belarus. Agricultural Biology2017, 52(3), 615-621.
  37. Sorokina, O.Y. Weather conditions and productivity of flax varieties on different agrochemical backgrounds. Problems of improving the technological quality of flax. Proceedings of the international scientific and practical conference, Torshok, 2005, 137-146.
  38. Brutch, N.; Sharov, I. Y.; Pavlov, A.V.; Porokhovinova, E.A. Diversity of flax characters associated with fibre formation and environmental influence on their formation. Russian Journal of Genetics: Applied Research, 2011, 1, 361–370. [CrossRef]
  39. Pavlov, A.V.; Porokhovinova, E.A.; Novikova, L.Y.; Kutuzova, S.N.; Brutch, N.B. New linseed accessions in the VIR collection, suitable for dual utilization (seed and fiber) in the North-Western Region of the Russian Federation. Journal of Natural Fibers, 2022, 19, 7553-7565. [CrossRef]
  40. Berg, R.L. Correlation pleiades and stabilizing selection. Application of mathematical methods in biology,Leningrad, 1964, 23-61.
  41. Dragavtsev, V.A. Methods for assessing the genotypic, genetic and ecological correlations of quantitative traits in plant populations. Genetic analysis of quantitative and qualitative traits using mathematical and statistical methods, Moscow, 1973, 45-47.
  42. Afonin, M.I.; Prigun, V.S. The effect of the growing season duration on the yield of flax. Proceedings of the Belarusian Research Institute of Agriculture.1975, 19, 117-123.
  43. Patil, V.D.; Chopde, P.R.; Makne, V.J. Studies on interrelationship between yield and yield components in intervarietal crosses of linseed (Linum usitatissimum L.). ActaagronomicaHungarica. 1986, 35, 129-132.
  44. Ponomareva, M.I.; Stepin, A.D.; Kraeva, S.N. The dependence of the yield of flax products (fiber and straw) on the quantitative characteristics of flax and its use in breeding work. Modern problems of flax growing in the North-West of the Russian Federation: Proceedings of the scientific and practical conference: Pskov, 2000,34-36.
  45. Vavilov, N.I. Centers of cultivated plants origin. Proceedings on Applied Botany, genetics and breeding. 1926,16, 5-138.
  46. Basova, A.P.; Bakhteev, F.H.; Kostyuchenko, I.A.; Palmova, E.F. Problem of the growing season in breeding. Theoretical foundations of plant breeding1935.1, 863-892.
  47. Rossini, F.; Casa, R. Influence of sowing and harvest time on fibre flax (Linum usitatissimum L.) in the Mediterranean environment. Journal of agronomy and crop science2003, 189, 191-196. [CrossRef]
  48. Chandra, S. Studies on interrelationships between seed yield its components in some exotic strains of linseed (Linum usitatissimum). ActaagronomicaHungarica. 1978, 27, 74-80.
  49. Vijaykumar, S.; Vasudevanrao, M.J. Studies on quantitative variability in linseed. IV Analysis of yield components. SABRAO Journal. 1974, 6, 227-228.
  50. Polonetskaya, L.M.; Bogdan, V.Z.; Golub, I.A. Identification in the selection of long-lived flax (Linum usitatissimum L.) genotypes under various growing conditions. Proceedings of the National Academy of Sciences of Belarus. Series of Biological Sciences2009, 2, 22-27.
  51. Obieedkov, M.G. Fiber flax.Rosselkhoznadzor: Moscow, Russia, 1979.
  52. Kutuzova, S. N., Pit’ko, G. G., Lemeshev, N. K. Evaluation of flax collection. Leningrad, Russia, 1988.
  53. Arno, A.A.; Grashchenko, M.G.; Shikov, S.A. Methods of technological evaluation of flax and hemp products, Moscow, Russia, 1961.
  54. Brutch, N.B.; Porokhovinova, E.A.; Sharov, I.Y.; Soret-Morvan, O.; Morvan, C. Characters of fibre quality in lines of flax genetic collection. Journal of Natural Fibers2008,5, 95-126. [CrossRef]
  55. Lakin, G.F. Biometrics. High School: Moscow, Russia,1990; 351p.
  56. Ivanter, E.V.; Korosov, A.V. Introduction to quantitative biology. PGU: Petrozavodsk, Russia, 2003.
  57. Nasledov, A.D.; Mathematical methods of psychological research Analysis and interpretation of data. rech: St. Petersburg, Russia, 2004; 392p.
  58. Sokal, R.R.; Rohlf, F.J. Biometry: the Principles and Practice of Statistics in Biological Research, second ed. Freeman, New York, USA, 1995.
  59. StatSoft, Inc. Electronic Statistics Textbook. Tulsa, OK: StatSoft. Available online:URL. http://www.statsoft.com/textbook/ (accessed on 23 October 2023).
  60. Rostova, N.S. Correlations: structure and variability. St. Petersburg: St. Petersburg State University: Proceedings of the St. Petersburg Society of Naturalists. 2002;94, 308p.
  61. Terentyev, P.V.; Rostova, N.S. Practicum on biometrics. LSU: Leningrad, 1977; 152 p.
Figure 1. Characters of weather conditions in Pushkin in 1987-2018: (a) active temperatures in May; (b) precipitation in May; (c) active temperatures in June; (d) precipitation in June; (e) active temperatures in July; (f) precipitation in July; (g) active temperatures in in August; (h) precipitation in August; (i) active temperatures in May-August; (j) precipitation in May-August; (k) HTC in May-August; (l) average active temperature and precipitation in May-August.
Figure 1. Characters of weather conditions in Pushkin in 1987-2018: (a) active temperatures in May; (b) precipitation in May; (c) active temperatures in June; (d) precipitation in June; (e) active temperatures in July; (f) precipitation in July; (g) active temperatures in in August; (h) precipitation in August; (i) active temperatures in May-August; (j) precipitation in May-August; (k) HTC in May-August; (l) average active temperature and precipitation in May-August.
Preprints 96046 g001aPreprints 96046 g001b
Figure 2. Correlations between the characteristics of weather conditions.(a) Correlations between air temperature characteristics in different periods; (b) Correlations between precipitation and HTC characteristics in different periods.
Figure 2. Correlations between the characteristics of weather conditions.(a) Correlations between air temperature characteristics in different periods; (b) Correlations between precipitation and HTC characteristics in different periods.
Preprints 96046 g002
Figure 3. Characteristics of flax varieties Svetoch and Prizyv 81 n 1987-2018.: (a) Total plant height and Straw production ; (b) % of long total fiber after water rettining and total % of technical fiber after water rettining; (c) Quality number of long technical fiber, estimated organoleptically and Calculated quality number of long technical fiber (d) Strength of long technical fiber and Flexibility of long technical fiber (e) Fineness of long technical fiber and Long technical fiber production after water rettining; (f) Seeds production and Weight of 1000 seeds; (g) Period germination – flowering and Period germination – maturity; (h) Period sowing - germination and Period germination – maturity.
Figure 3. Characteristics of flax varieties Svetoch and Prizyv 81 n 1987-2018.: (a) Total plant height and Straw production ; (b) % of long total fiber after water rettining and total % of technical fiber after water rettining; (c) Quality number of long technical fiber, estimated organoleptically and Calculated quality number of long technical fiber (d) Strength of long technical fiber and Flexibility of long technical fiber (e) Fineness of long technical fiber and Long technical fiber production after water rettining; (f) Seeds production and Weight of 1000 seeds; (g) Period germination – flowering and Period germination – maturity; (h) Period sowing - germination and Period germination – maturity.
Preprints 96046 g003aPreprints 96046 g003b
Figure 4. Correlations between economically valuable traits and characteristics of weather conditions (a) Description of the first pleiade members; (b) Description of the second pleiade members.
Figure 4. Correlations between economically valuable traits and characteristics of weather conditions (a) Description of the first pleiade members; (b) Description of the second pleiade members.
Preprints 96046 g004aPreprints 96046 g004b
Figure 5. The influence of the year conditions (Year) and genotype (CVariety) on the manifestation of morphological, phenological and economically valuable flax traits based on the results of two–factor analysis of variance: (a) sampling of average values for each variety over 30 years; (b) sampling of several repetitions of each variety over 30 years. The influence of the year conditions is significant for all characters. The influence of the variety is significant when more than 0.5%.
Figure 5. The influence of the year conditions (Year) and genotype (CVariety) on the manifestation of morphological, phenological and economically valuable flax traits based on the results of two–factor analysis of variance: (a) sampling of average values for each variety over 30 years; (b) sampling of several repetitions of each variety over 30 years. The influence of the year conditions is significant for all characters. The influence of the variety is significant when more than 0.5%.
Preprints 96046 g005
Figure 6. Factor loading for 45 characters and factor scores for 30 years of evaluation. (a) Factor 1 and Factor 2 system for flax and weather characters; (b) Factor 1 and Factor 2 system for years of evaluation; (c) Factor 3 and Factor 4 system for flax characters; (d) Factor 3 and Factor 4 system for years of evaluation; (e) Factor 2 and Factor 5 system for flax characters; (f) Factor 2 and Factor 5 system for years.
Figure 6. Factor loading for 45 characters and factor scores for 30 years of evaluation. (a) Factor 1 and Factor 2 system for flax and weather characters; (b) Factor 1 and Factor 2 system for years of evaluation; (c) Factor 3 and Factor 4 system for flax characters; (d) Factor 3 and Factor 4 system for years of evaluation; (e) Factor 2 and Factor 5 system for flax characters; (f) Factor 2 and Factor 5 system for years.
Preprints 96046 g006
Figure 7. Clustering of years of flax evaluation based on the results of factor and cluster analysis (K-means).
Figure 7. Clustering of years of flax evaluation based on the results of factor and cluster analysis (K-means).
Preprints 96046 g007
Figure 8. Characteristics of years’ grouped by the sums of active temperatures and precipitation. * - groups significantly different from others are marked: (a) sum of active temperatures of May; (b) sum of active temperatures of June; (c) sum of active temperatures of July; (d) sum of active temperatures of August; (e) total precipitation in May; (f) total precipitation in June; (g) total precipitation in July; (h) total precipitation in August; (i) sum of active temperatures from May to August (j) total precipitation from May to August.
Figure 8. Characteristics of years’ grouped by the sums of active temperatures and precipitation. * - groups significantly different from others are marked: (a) sum of active temperatures of May; (b) sum of active temperatures of June; (c) sum of active temperatures of July; (d) sum of active temperatures of August; (e) total precipitation in May; (f) total precipitation in June; (g) total precipitation in July; (h) total precipitation in August; (i) sum of active temperatures from May to August (j) total precipitation from May to August.
Preprints 96046 g008aPreprints 96046 g008b
Figure 9. Characteristics of years’ groups by economically valuable characters. * - groups significantly different from others are marked: (a) total plant height; (b) plant height from cotyledons to in-florescence; (c) quality number of long technical fiber, estimated organoleptically; (d) calculated quality number of long technical fiber; (e) strength of long technical fiber; (f) flexibility of long technical fiber; (g) fineness of long technical fiber; (h) % of long technical fiber after water rettining; (i) seeds production; (j) period germination – flowering; (k) period flowering – maturity; (l) period germination – maturity.
Figure 9. Characteristics of years’ groups by economically valuable characters. * - groups significantly different from others are marked: (a) total plant height; (b) plant height from cotyledons to in-florescence; (c) quality number of long technical fiber, estimated organoleptically; (d) calculated quality number of long technical fiber; (e) strength of long technical fiber; (f) flexibility of long technical fiber; (g) fineness of long technical fiber; (h) % of long technical fiber after water rettining; (i) seeds production; (j) period germination – flowering; (k) period flowering – maturity; (l) period germination – maturity.
Preprints 96046 g009aPreprints 96046 g009b
Table 1. Characteristics of 7 clusters obtained using the K-means method based on the results of factor analysis.
Table 1. Characteristics of 7 clusters obtained using the K-means method based on the results of factor analysis.
Cluster Characteristics of the cluster Mem-
ber of cluster
Distance
from respective cluster center
Descriptive statistics for Cluster (Factor Mean+Sd)
Factor 1 Factor 2 Factor 3 Factor 4 Factor 5
1 Hot weather inMay, July, August; Cold in June; Rains in May 2010 0,47 2,14±0,15 -0,51±0,75 -0,91±0,48 0,82±1,10 -1,20±0,46
2014 0,47
2 Cold in May, August;
Rains in May, June, July, August and growing season
1987 1,09 0,00±0,59 -0,48±0,73 -0,39±0,46 -0,69±0,86 -0,58±0,60
1991 0,42
1994 0,64
1998 0,41
2001 0,49
2004 0,57
2005 0,33
2012 0,68
3 Hot weather in May and August;Cold in July; Rains in May; Drought in June, July, August and growing season 1995 0,76 -0,92±0,67 0,65±0,31 0,20±0,90 0,90±1,03 -0,92±0,61
1996 0,58
2007 0,66
2015 0,56
4 Drought in growing season 1990 0,65 -0,25±0,71 1,08±0,42 -0,25±0,48 0,05±0,41 0,46±0,66
1992 0,40
1997 0,47
2000 0,49
2002 0,33
2006 0,45
2018 0,66
5 Cold in June, July and growing season; Drought in May; Rains in June, July, August and growing season 2008 0,54 -0,76±0,87 -1,13±1,28 -1,06±0,41 0,33±1,05 1,43±0,03
2009 0,63
2017 0,88
6 Cold in May, August;
Hot weather in June, July and growing seasonDrought in May
1988 0,60 1,10±0,22 0,10±1,04 1,10±0,14 -1,03±0,90 0,70±0,79
1999 0,60
2011 0,56
7 Hot weather in May, June,
August; Rains in June, July, August and growing season
1989 0,71 0,06±1,05 -0,74±0,35 1,92±0,89 0,67±0,83 0,38±1,18
2013 0,76
2016 0,75
Table 2. Comparison of economically valuable characters of Svetoch and Priziv 81 varieties grown in different years according to the criteria of U - Mann-Whitney and t-Student.
Table 2. Comparison of economically valuable characters of Svetoch and Priziv 81 varieties grown in different years according to the criteria of U - Mann-Whitney and t-Student.
Characters Clusters’ characters Criterion
compared cluster other cluster U-Mann-Whitney t-Students
N Mean±Se RankSum N Mean±Se RankSum Z adjusted p-level t-value p
Cluster 1 (2010, 2014)
Qo 4 22±1 208 56 18±0 1622 2,55 0,01 2,70 0,0090
sD 4 25/4±1 20 56 7/5±1 1810 -3,03 0,0024 -3,81 0,0003
gD 4 10/5±1 28 56 19/5±1 1802 -2,79 0,0053 -2,69 0,0094
fD 4 20/6±1 21 56 29/6±1 1809 -2,99 0,0028 -3,32 0,0016
mD 4 21/7±2 33 56 2/8±1 1797 -2,64 0,0083 -2,70 0,0091
Cluster 2 (1987, 1991, 1994, 1998, 2001, 2004, 2005, 2012)
Hp 16 102±1 671 44 95±1 1159 3,06 0,0022 3,12 0,0028
Hs 16 87±1 658 44 81±1 1172 2,84 0,0045 3,31 0,0016
Qo 16 17±0 322 44 19±0 1508 -2,78 0,0055 -2,74 0,0082
Cluster 3 (1995, 1996, 2007, 2015) – no difference
Cluster 4 (1990, 1992, 1997, 2000, 2002, 2006, 2018)
Hs 14 78±2 288 46 84±1 1542 -2,43 0,02 -2,87 0,0058
Cluster 5 (2008, 2009, 2017)
Hp 6 104±2 293 54 96±1 1537 2,71 0,0067 2,29 0,03
Hs 6 89±2 283 54 82±1 1548 2,45 0,01 2,25 0,03
Flex 6 47±4 76 54 59±1 1754 -2,64 0,0084 -3,36 0,0014
Fin 6 249±12 47 54 357±12 1783 -3,35 0,0008 -3,07 0,0032
Qc 6 15±0 64 54 17±0 1766 -2,93 0,0034 -3,12 0,0028
SePr 6 178±15 326 54 109±5 1504 3,52 0,0004 4,75 0,0000
g-f 6 47±2 293 54 40±1 1538 2,70 0,0070 3,16 0,0025
f-m 6 39±1 288 54 33±1 1542 2,59 0,0097 2,62 0,01
g-m 6 86±3 310 54 73±1 1520 3,13 0,0018 3,52 0,0008
s-m 6 96±2 295 54 85±1 1535 2,76 0,0058 2,80 0,0070
Cluster 6 (1988, 1999, 2011)
Qo 6 16±1 80 54 19±0 1750 -2,54 0,01 -2,44 0,02
Fin 6 419±41 266 54 338±11 1564 2,05 0,04 2,21 0,03
g-f 6 34±1 44 54 42±1 1786 -3,43 0,0006 -3,83 0,0003
f-m 6 26±1 45 54 35±1 1786 -3,41 0,0006 -3,79 0,0004
g-m 6 60±1 24 54 76±1 1806 -3,92 0,0001 -4,78 0,0000
s-m 6 72±2 29 54 88±1 1801 -3,80 0,0001 -4,94 0,0000
mD 6 22/7±1 55 54 2/8±1 1775 -3,15 0,0016 -3,08 0,0032
Cluster 7 (1989, 2013, 2016)
Qo 6 22±1 306 54 18±0 1525 3,02 0,0025 3,40 0,0012
%LF 6 14±1 66 54 18±0 1764 -2,88 0,0039 -3,50 0,0009
g-f 6 36±1 85 54 41±1 1746 -2,43 0,02 -2,36 0,02
Table 3. Description and abbreviations of the flax and year characters.
Table 3. Description and abbreviations of the flax and year characters.
Short name Characters
cv Commercial variety
Date
year Sowing year, year
sD Sowing date, day/month
gD Germination date, day/month
fD Flowering date, day/month
mD Maturity date, day/month
Vegetation period
s-g Period sowing - germination, d
g-f Period germination - flowering, d
f-m Period flowering - maturity, d
g-m Period germination - maturity, d
s-m Period sowing - maturity, d
Productivity
Hp Total plant height, cm
Hs Plant height from cotyledons to inflorescence, cm
StPr Straw production, g/m2
LFPr Long technical fibreproduction after water rettining, g/m2
TFPr Total technical fibreproduction after water rettining, g/m2
%LF % of long technical fibre after water rettining, %
%TF % of total technical fibre after water rettining, %
SePr Seeds production, g/m2
Se1000 Weight of 1000 seeds, g
Fibre quality
Str Strength of long technical fibre, N
Flex Flexibility of long technical fibre, mm
Fin Fineness of long technical fibre km/g
Qo Quality number of long technical fibre, estimated organoleptically
Qc Calculated quality number of long technical fibre (0,2×Str+0,1×Flex + 0,0013× Fin+2,1)
Sum of temperatures for vegetation period
s-mT Sum of temperatures from sowing to maturity, °C
g-mT Sum of temperatures from germination to maturity, °C
Sum of active temperatures (>10ºC) for vegetation period
s-gAT Sum of active temperatures from sowing to germination, °C
g-fAT Sum of active temperatures from germination to flowering, °C
f-mAT Sum of active temperatures from flowering to maturity, °C
s-mAT Sum of active temperatures from sowing to maturity, °C
Total precipitation for vegetation period
s-gP Total precipitation from sowing to germination, mm
g-fP Total precipitation from germination to flowering, mm
f-mP Total precipitation from flowering to maturity, mm
s-mP Total precipitation from sowing to maturity, mm
g-mP Total precipitation from germination to maturity, mm
Hydrothermal coefficient (HTC=P×10/ΣAT)for vegetation period
s-gHTC Hydrothermal coefficient from sowing to germination
g-fHTC Hydrothermal coefficient from germination to flowering
f-mHTC Hydrothermal coefficient from flowering to maturity
s-mHTC Hydrothermal coefficient from sowing to maturity
Sum of active temperatures per vegetation period
may1dAT Sum of active temperatures of 1st decade of May, °C
may2dAT Sum of active temperatures of 2nd decade of May, °C
may3dAT Sum of active temperatures of 3rd decade of May, °C
mayAT Sum of active temperatures of May, °C
jun1dAT Sum of active temperatures of 1st decade of June, °C
jun2dAT Sum of active temperatures of 2nd decade of June, °C
jun3dAT Sum of active temperatures of 3rd decade of June, °C
junAT Sum of active temperatures of June, °C
jul1dAT Sum of active temperatures of 1st decade of July, °C
jul2dAT Sum of active temperatures of 2nd decade of July, °C
jul3dAT Sum of active temperatures of 3rd decade of July, °C
julAT Sum of active temperatures of July, °C
aug1dAT Sum of active temperatures of 1st decade of August, °C
aug2dAT Sum of active temperatures of 2nd decade of August, °C
aug3dAT Sum of active temperatures of 3rd decade of August, °C
augAT Sum of active temperatures of August, °C
may-augAT Sum of active temperatures from May to August, °C
Sum of effective temperatures (>20°C) per vegetation period
mayET Sum of effective temperaturesof May, °C
junET Sum of effective temperatures of June, °C
julET Sum of effective temperatures of July, °C
augET Sum of effective temperatures of August, °C
may-augET Sum of effective temperatures from May to August, °C
jun-julET Sum of effective temperatures from June to July, °C
Total precipitation per vegetation period
may1dP Total precipitation of 1st decade of May, mm
may2dP Total precipitation of 2nd decade of May, mm
may3dP Total precipitation of 3rd decade of May, mm
mayP Total precipitation of May, mm
jun1dP Total precipitation of 1st decade of June, mm
jun2dP Total precipitation of 2nd decade of June, mm
jun3dP Total precipitation of 3rd decade of June, mm
junP Total precipitation of June, mm
jul1dP Total precipitation of 1st decade of July, mm
jul2dP Total precipitation of 2nd decade of July, mm
jul3dP Total precipitation of 3rd decade of July, mm
julP Total precipitation of July, mm
aug1dP Total precipitation of 1st decade of August, mm
aug2dP Total precipitation of 2nd decade of August, mm
aug3dP Total precipitation of 3rd decade of August, mm
augP Total precipitation of August, mm
may-augP Total precipitation from May to August, mm
Hydrothermal coefficient
mayHTC Hydrothermal coefficient of May, mm
junHTC Hydrothermal coefficient of June, mm
julHTC Hydrothermal coefficient of July, mm
augHTC Hydrothermal coefficient of August, mm
may-augHTC Hydrothermal coefficientof period from May to August, mm
Disclaimer/Publisher’s Note: The statements, opinions and data contained in all publications are solely those of the individual author(s) and contributor(s) and not of MDPI and/or the editor(s). MDPI and/or the editor(s) disclaim responsibility for any injury to people or property resulting from any ideas, methods, instructions or products referred to in the content.
Copyright: This open access article is published under a Creative Commons CC BY 4.0 license, which permit the free download, distribution, and reuse, provided that the author and preprint are cited in any reuse.
Prerpints.org logo

Preprints.org is a free preprint server supported by MDPI in Basel, Switzerland.

Subscribe

Disclaimer

Terms of Use

Privacy Policy

Privacy Settings

© 2026 MDPI (Basel, Switzerland) unless otherwise stated