Submitted:
10 January 2024
Posted:
10 January 2024
You are already at the latest version
Abstract
Keywords:
1. Introduction
2. Gravity-induced progressive collapse
3. Simulated modular building
4. Response under module loss scenario
4.3. 12-storey
5. Parametric investigation
5.1. Inter-module connection: stiffness and strength change
5.2. Intra-module connection: pin/rigid, plastic hinges and anti-collapse remediation
Conclusion
- Unlike low-rise traditional steel buildings, 4-storey MSBs are robust against corner module removal. No columns buckle at the base level, and no plastic hinges appear in structural members. In addition, in the corner module removal scenario, Inter-module connections showed a significant safety factor in all cases, so no inter-module failure was observed.
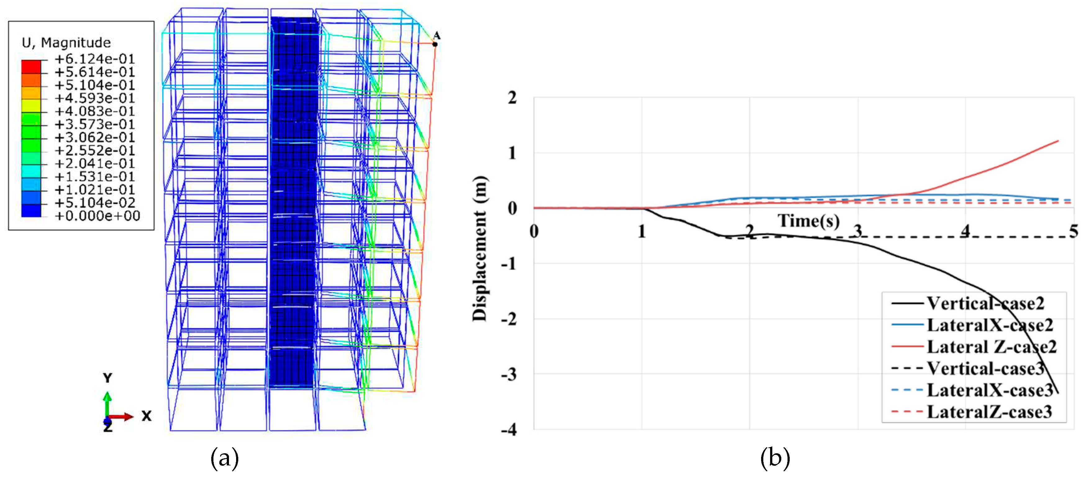
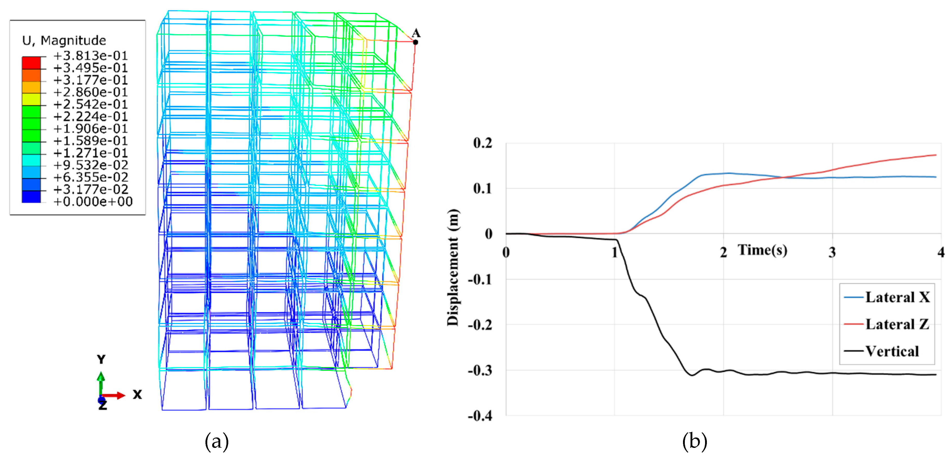
- In 12-MSBs, where many columns collapse simultaneously, the core wall has a minimal impact on robustness because there might not be enough time for load sharing. However, 8-MSBs benefited from the core wall system and maintained their robustness. The core wall helps the robustness of MSBs in two ways: The first is enhancing load sharing when the core is located at the centre (zone 1). The second is reducing lateral displacements, provided that the core wall is directly connected to the modules above the missing module (zone 2 or 3).
- Softening Horizontal inter-module connections can worsen or improve the performance of the remaining modules against gravity-induced progressive collapse. In an 8-storey modular building, 50 % and 90% of softening in HCs accelerated and delayed the progressive collapse respectively by increasing flexibility. However, they were accompanied by many connection failures that led to the collapse of the whole building. Therefore, choosing an optimized inter-module connection stiffness is essential for the robustness of MSBs.
- Preventing plastic hinges from forming can be considered as an anti-collapse mechanism. It turned the unstable bare-frame 8-storey MSB against the corner module removal scenario into a robust one.
- In the corner-module removal scenario, the early set of plastic hinges formed in the ceiling beams of the first elevation (in the X-direction), which means structural members in this region have higher participation in carrying redistributed loads.
Author Contributions
Conflicts of Interest
References
- Lawson, M.; Ogden, R.; Goodier, C.I. Design in modular construction. vol. 476. CRC Press Boca Raton, FL; 2014.
- Ferdous, W.; Bai, Y.; Ngo, T.D.; Manalo, A.; Mendis, P. New advancements, challenges and opportunities of multi-storey modular buildings – A state-of-the-art review. Eng. Struct. 2019. [CrossRef]
- Thai, H.T.; Ngo, T.; Uy, B. A review on modular construction for high-rise buildings. Structures 2020, 28, 1265–1290. [Google Scholar] [CrossRef]
- Ye, Z.; Giriunas, K.; Sezen, H.; Wu, G.; Feng, D.C. State-of-the-art review and investigation of structural stability in multi-story modular buildings. J. Build. Eng. 2021. [CrossRef]
- Gunawardena, T.; Ngo, T.; Mendis, P. Behaviour of multi-storey prefabricated modular buildings under seismic loads. Earthq. Struct 2016, 11, 1061–1076. [Google Scholar] [CrossRef]
- Lacey, A.W.; Chen, W.; Hao, H.; Bi, K. Review of bolted inter-module connections in modular steel buildings. J. Build. Eng. 2019. [CrossRef]
- Corfar, D.-A.; Tsavdaridis, K.D. A comprehensive review and classification of inter-module connections for hot-rolled steel modular building systems. J. Build. Eng. 2022, 50, 104006. [Google Scholar] [CrossRef]
- Rajanayagam, H.; Poologanathan, K.; Gatheeshgar, P.; Varelis, G.E.; Sherlock, P.; Nagaratnam, B.; Hackney, P. A-State- Of-The-Art review on modular building connections. Structures, vol. 34, Elsevier; 2021, p. 1903–22.
- Lacey, A.W.; Chen, W.; Hao, H.; Bi, K. Effect of inter-module connection stiffness on structural response of a modular steel building subjected to wind and earthquake load. Eng. Struct. 2020. [Google Scholar] [CrossRef]
- Rajanayagam, H.; Gunawardena, T.; Mendis, P.; Poologanathan, K.; Gatheeshgar, P.; Dissanayake, M.; Corradi, M. Evaluation of inter-modular connection behaviour under lateral loads: An experimental and numerical study. J. Constr. Steel Res. 2022, 194, 107335. [Google Scholar] [CrossRef]
- Peng, J.; Hou, C.; Shen, L. Lateral resistance of multi-story modular buildings using tenon-connected inter-module connections. J. Constr. Steel Res. 2021. [Google Scholar] [CrossRef]
- Feng, R.; Shen, L.; Yun, Q. Seismic performance of multi-story modular box buildings. J. Constr. Steel Res. 2020. [Google Scholar] [CrossRef]
- Peng, J.; Hou, C.; Shen, L. Numerical analysis of corner-supported composite modular buildings under wind actions. J. Constr. Steel Res. 2021, 187, 106942. [Google Scholar] [CrossRef]
- Sendanayake, S. V.; Thambiratnam, D.P.; Perera, N.; Chan, T.; Aghdamy, S. Seismic mitigation of steel modular building structures through innovative inter-modular connections. Heliyon 2019. [Google Scholar] [CrossRef]
- Sendanayake, S. V.; Thambiratnam, D.P.; Perera, N.J.; Chan, T.H.T.; Aghdamy, S. Enhancing the lateral performance of modular buildings through innovative inter-modular connections. Structures 2021. [Google Scholar] [CrossRef]
- Jing, J.; Charles Clifton, G.; Roy, K.; Lim, J.B.P. Performance of a novel slider device in multi-storey cold-formed steel modular buildings under seismic loading. Structures 2020. [Google Scholar] [CrossRef]
- Wang, Z.; Pan, W.; Zhang, Z. High-rise modular buildings with innovative precast concrete shear walls as a lateral force resisting system. Structures 2020, 26, 39–53. [Google Scholar] [CrossRef]
- Chua, Y.S.; Liew, J.Y.R.; Pang, S.D. Modelling of connections and lateral behavior of high-rise modular steel buildings. J. Constr. Steel Res. 2020. [Google Scholar] [CrossRef]
- Bi, J.; Zong, L.; Si, Q.; Ding, Y.; Lou, N.; Huang, Y. Field measurement and numerical analysis on wind-induced performance of modular structure with concrete cores. Eng. Struct. 2020. [Google Scholar] [CrossRef]
- Shi, F.; Wang, H.; Zong, L.; Ding, Y.; Su, J. Seismic behavior of high-rise modular steel constructions with various module layouts. J. Build. Eng. 2020. [Google Scholar] [CrossRef]
- Lawson, R.M.; Richards, J. Modular design for high-rise buildings. Proc Inst Civ Eng Build 2010, 163, 151–164. [Google Scholar] [CrossRef]
- Deng, E.F.; Zong, L.; Ding, Y.; Zhang, Z.; Zhang, J.F.; Shi, F.W.; Cai, L.M.; Gao, S.C. Seismic performance of mid-to-high rise modular steel construction - A critical review. Thin-Walled Struct. 2020. [Google Scholar] [CrossRef]
- Yee, S.S.; Kong, K.H.; Liew, J.Y.R.; Dai, Z. Response Behaviour of High-Rise Modular Building under Wind and Seismic Loads. ce/papers 2021, 4, 1747–1756. [Google Scholar] [CrossRef]
- Luo, F.J.; Bai, Y.; Hou, J.; Huang, Y. Progressive collapse analysis and structural robustness of steel-framed modular buildings. Eng. Fail. Anal. 2019. [Google Scholar] [CrossRef]
- Alembagheri, M.; Sharafi, P.; Hajirezaei, R.; Tao, Z. Anti-collapse resistance mechanisms in corner-supported modular steel buildings. J. Constr. Steel Res. 2020. [Google Scholar] [CrossRef]
- Alembagheri, M.; Sharafi, P.; Hajirezaei, R.; Samali, B. Collapse capacity of modular steel buildings subject to module loss scenarios: The role of inter-module connections. Eng. Struct. 2020, 210. [Google Scholar] [CrossRef]
- Sharafi, P.; Alembagheri, M.; Kildashti, K.; Ganji, H.T. Gravity-Induced Progressive Collapse Response of Precast Corner-Supported Modular Buildings. J. Archit. Eng. 2021. [Google Scholar] [CrossRef]
- Alembagheri, M.; Sharafi, P.; Tao, Z.; Hajirezaei, R.; Kildashti, K. Robustness of multistory corner-supported modular steel frames against progressive collapse. Struct. Des. Tall Spec. Build. 2021, 30, e1896. [Google Scholar] [CrossRef]
- Chen, Z.; Khan, K.; Khan, A.; Javed, K.; Liu, J. Exploration of the multidirectional stability and response of prefabricated volumetric modular steel structures. J. Constr. Steel Res. 2021, 184, 106826. [Google Scholar] [CrossRef]
- Peng, J.; Hou, C.; Shen, L. Progressive collapse analysis of corner-supported composite modular buildings. J. Build. Eng. 2022, 48, 103977. [Google Scholar] [CrossRef]
- Thai, H.T.; Ho, Q.V.; Li, W.; Ngo, T. Progressive collapse and robustness of modular high-rise buildings. Struct. Infrastruct. Eng. 2021. [Google Scholar] [CrossRef]
- Zhang, J.-Z.; Yam, M.C.H.; Li, G.-Q.; Wang, Y.-Z. Anti-collapse behavior of modular steel buildings with corrugated panels. J. Constr. Steel Res. 2022, 193, 107279. [Google Scholar] [CrossRef]
- Board, A.B.C. National construction code (NCC). Counc Aust Gov 2016.
- 2014, C. 392: Code for anti-collapse design of building structures 2014.
- UFC-DoD, U.F.C. Design of Buildings to Resist Progressive Collapse, the US Department of Defense. 2005.
- Building CC on, Codes F, Canada NRC of, Code NRC of CAC on the NB. National building code of Canada. Associate Committee on the National Building Code, National Research Council; 1965.
- Administration), G.S.A. (General S. Alternate path analysis & design guidelines for progressive collapse resistance. Gen. Serv. Adm.
- Eurocode 1. Actions on structures–Part 1–7: General actions–Accidental actions. Br Stand London 2006.
- Adam, J.M.; Parisi, F.; Sagaseta, J.; Lu, X. Research and practice on progressive collapse and robustness of building structures in the 21st century. Eng. Struct. 2018. [CrossRef]
- Standard A. Structural design actions-Part 4: Earthquake actions in Australia (AS 1170.4-2007). SAI Glob Limited NSW 2001, Aust 2007.
- Yun, X.; Gardner, L. Stress-strain curves for hot-rolled steels. J. Constr. Steel Res. 2017. [Google Scholar] [CrossRef]
- Seismic Evaluation and Retrofit of Existing Buildings. 2014. [CrossRef]
- Simulia. Abaqus 6.11 Theory Manual. Provid RI, USA DS SIMULIA Corp 2017.
- Farajian, M.; Sharafi, P.; Alembagheri, M.; Kildashti, K.; Bigdeli, A. Effects of bolted connections’ properties on natural dynamic characteristics of corner-supported modular steel buildings. InStructures 2022 Nov 1 (Vol.45, pp. 1491-1515). Elsevier.
- Farajian, M.; Sharafi, P.; Eslamnia, H.; Kildashti, K.; Bai, Y. Classification of inter-modular connections for stiffness and strength in sway corner-supported steel modular frames. J. Constr. Steel Res. 2022, 197, 107458. [Google Scholar] [CrossRef]
- Farajian, M.; Sharafi, P.; Eslamnia, H.; Bai, Y.; Samali, B. Classification system for inter-modular connections in non-sway corner-supported steel modular buildings. InStructures 2023 Mar 1 (Vol. 49, pp. 807-825). Elsevier.

































| Connection | Axial failure force | Shear failure force |
|---|---|---|
| Vertical (VC) | 1700 KN | 2000 KN |
| Horizontal (HC) | 1200 KN | 2000 KN |
| Case No. | Story No. | Building frame types |
|---|---|---|
| 1 | 4 | Bare frame (4s) |
| 2 | 8 | Bare frame (8s) |
| 3 | 8 | Bare frame + shear core at zone 1 (8 sw1) |
| 4 | 8 | Bare frame + shear core at zone 2 (8 sw2) |
| 5 | 8 | Bare frame + shear core at zone 3 (8 sw3) |
| 6 | 12 | Bare frame (12s) |
| 7 | 12 | Bare frame + shear core at zone 1 (12 sw1) |
| 8 | 12 | Bare frame + shear core at zone 2 (12 sw2) |
| 9 | 12 | Bare frame + shear core at zone 3 (12 sw3) |
| Cases | Stability State | Main Reasons |
|---|---|---|
| 1) 4s | stable | No column buckling |
| 2) 8s | collapsed | Buckling C#1 and C#2 |
| 3) 8 sw1 | stable | Less redistributed load in C#2 |
| 4) 8 sw2 | stable | Less lateral displacements |
| 5) 8 sw3 | stable | C#2 constrained with concrete core |
| 6) 12s | collapsed | Several columns buckling |
| 7) 12 sw1 | collapsed | Several columns buckling |
| 8) 12 sw2 | collapsed | Several columns buckling |
| 9) 12 sw3 | collapsed | Several columns buckling |
Disclaimer/Publisher’s Note: The statements, opinions and data contained in all publications are solely those of the individual author(s) and contributor(s) and not of MDPI and/or the editor(s). MDPI and/or the editor(s) disclaim responsibility for any injury to people or property resulting from any ideas, methods, instructions or products referred to in the content. |
© 2024 by the authors. Licensee MDPI, Basel, Switzerland. This article is an open access article distributed under the terms and conditions of the Creative Commons Attribution (CC BY) license (http://creativecommons.org/licenses/by/4.0/).