Submitted:
10 January 2024
Posted:
10 January 2024
You are already at the latest version
Abstract
Keywords:
1. Introduction
2. Problem Formulation
3. Proposed Group Orthogonal Waveform Design Algorithm
| Algorithm 1 Group Orthogonal Waveforms Design Algorithm |
|
Initialization Select randomly (Constant modulus is not required). Set constant modulus using the phases of . Select randomly {λi}, {αijk}, {βin} and , set l=0. Repeat Compute by solving sub-problem (16). Compute by solving sub-problem (17). Compute by solving sub-problem (18). Compute by solving sub-problem (19). Compute using (20), l=l+1. Until . |
3.1. Solving sub-problem (16)
3.2. Solving sub-problem (17)
3.3. Solving sub-problem (18)
3.4. Solving sub-problem (19)
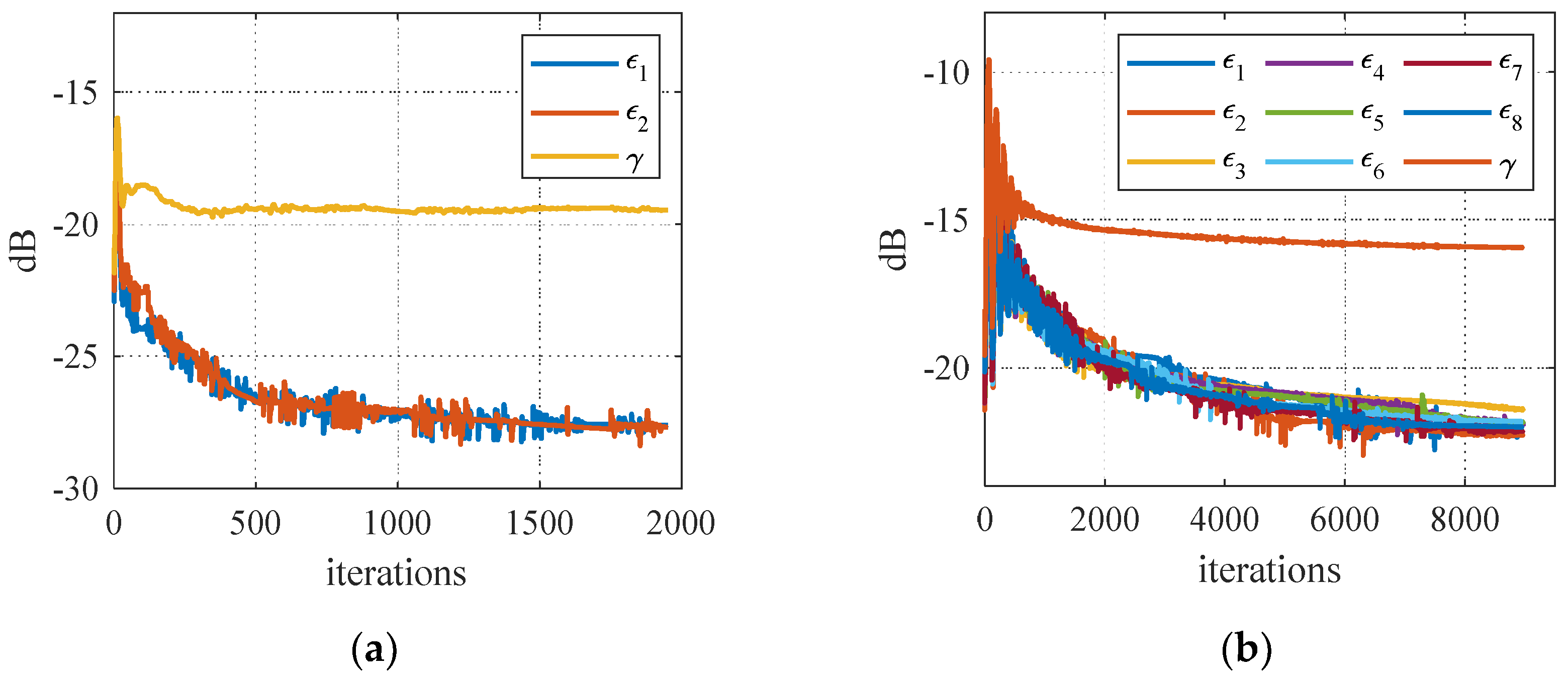
4. Numerical Results
4.1. Effect of weighting factor w
4.2. Obtained correlation functions
4.3. Effect of parameters M, N, G
4.4. Anti-jamming simulation
5. Conclusions
Author Contributions
Funding
Data Availability Statement
Conflicts of Interest
References
- Li, J.; Stoica, P. MIMO Radar with Colocated Antennas. IEEE Signal Process. Mag. 2007, 24, 106–114. [Google Scholar] [CrossRef]
- Fishler, E.; Haimovich, A.; Blum, R.S.; Cimini, L.J.; Chizhik, D.; Valenzuela, R.A. Spatial Diversity in Radars—Models and Detection Performance. IEEE Trans. Signal Process. 2006, 54, 823–838. [Google Scholar] [CrossRef]
- Haimovich, A.M.; Blum, R.S.; Cimini, L.J. MIMO Radar with Widely Separated Antennas. IEEE Signal Process. Mag. 2008, 25, 116–129. [Google Scholar] [CrossRef]
- Bergin, J.; Guerci, J.R. MIMO Radar: Theory and Application; Artech House: Boston, USA, 2018; pp. 45–49. [Google Scholar]
- Friedlander, B. Waveform Design for MIMO Radars. IEEE Trans. Aerosp. Electron. Syst. 2007, 43, 1227–1238. [Google Scholar] [CrossRef]
- Kajenski, P.J. Design of Low-Sidelobe Phase-Coded Waveforms. IEEE Trans. Aerosp. Electron. Syst. 2019, 55, 2891–2898. [Google Scholar] [CrossRef]
- Hassan, A.K.; Al-Saggaf, U.M.; Moinuddin, M.; Alshoubaki, M.K. Statistical Method Based Waveform Optimization in Collocated MIMO Radar Systems. Mathematics 2023, 11, 680. [Google Scholar] [CrossRef]
- Pace, P. Detecting and Classifying Low Probability of Intercept Radar, 2nd ed.; Artech House: Boston, USA, 2008; pp. 358–377. [Google Scholar]
- Keel, B.M.; Baden, J.M.; Heath, T.H. A Comprehensive Review of Quasi-Orthogonal Waveforms. In Proceedings of the 2007 IEEE Radar Conference, Waltham, USA, 17-20 April 2007. [Google Scholar]
- Liu, H.; Zhou, S.; Zang, H.; Cao, Y. Two Waveform Design Criteria for Colocated MIMO Radar. In Proceedings of the 2014 International Radar Conference, Lille, France, 13-17 October 2014. [Google Scholar]
- Gini, F.; Maio, A.D.; Patton, L. Waveform Design and Diversity for Advanced Radar Systems; IET: London, UK, 2012; pp. 89–117. [Google Scholar]
- He, H.; Stoica, P.; Li, J. Designing Unimodular Sequence Sets with Good Correlations—Including an Application to MIMO Radar. IEEE Trans. Signal Process. 2009, 57, 4391–4405. [Google Scholar] [CrossRef]
- Song, J.; Babu, P.; Palomar, D.P. Sequence Set Design with Good Correlation Properties via Majorization-Minimization. IEEE Trans. Signal Process. 2016, 64, 2866–2879. [Google Scholar] [CrossRef]
- Li, Y.; Vorobyov, S.A. Fast Algorithms for Designing Unimodular Waveform(s) with Good Correlation Properties. IEEE Trans. Signal Process. 2018, 66, 1197–1212. [Google Scholar] [CrossRef]
- Wang, J.; Wang, Y. Designing Unimodular Sequences with Optimized Auto/Cross-Correlation Properties via Consensus-ADMM/PDMM Approaches. IEEE Trans. Signal Process. 2021, 69, 2987–2999. [Google Scholar] [CrossRef]
- Esmaeili-Najafabadi, H.; Ataei, M.; Sabahi, M.F. Designing Sequence with Minimum PSL Using Chebyshev Distance and its Application for Chaotic MIMO Radar Waveform Design. IEEE Trans. Signal Process. 2017, 65, 690–704. [Google Scholar] [CrossRef]
- Alaee-Kerahroodi, M.; Modarres-Hashemi, M.; Naghsh, M. M. Designing Sets of Binary Sequences for MIMO Radar Systems. IEEE Trans. Signal Process. 2019, 67, 3347–3360. [Google Scholar] [CrossRef]
- Lin, Z.; Pu, W.; Luo, Z.Q. Minimax Design of Constant Modulus MIMO Waveforms for Active Sensing. IEEE Signal Process. Lett. 2019, 26, 1531–1535. [Google Scholar] [CrossRef]
- Sankuru, S.P.; Jyothi, R.; Babu, P.; Alaee-Kerahroodi, M. Designing Sequence Set with Minimal Peak Side-Lobe Level for Applications in High Resolution RADAR Imaging. IEEE Open J. Signal Process. 2020, 2, 17–32. [Google Scholar] [CrossRef]
- Hu, J.; Wei, Z.; Li, Y.; Li, H.; Wu, J. Designing Unimodular Waveform(s) for MIMO Radar by Deep Learning Method. IEEE Trans. Aerosp. Electron. Syst. 2021, 57, 1184–1196. [Google Scholar] [CrossRef]
- Feng, D.; Xu, L.; Pan, X.; Wang, X. Jamming Wideband Radar Using Interrupted-Sampling Repeater. IEEE Trans. Aerosp. Electron. Syst. 2017, 53, 1341–1354. [Google Scholar] [CrossRef]
- Pace, P. Developing Digital RF Memories and Transceiver Technologies for Electromagnetic Warfare; Artech House: Boston, USA, 2022. [Google Scholar]
- Akhtar, J. Orthogonal Block Coded ECCM Schemes against Repeat Radar Jammers. IEEE Trans. Aerosp. Electron. Syst. 2009, 45, 1218–1226. [Google Scholar] [CrossRef]
- Zhang, J.; Xu, N. Discrete Phase Coded Sequence Set Design for Waveform-Agile Radar Based on Alternating Direction Method of Multipliers. IEEE Trans. Aerosp. Electron. Syst. 2020, 56, 4238–4252. [Google Scholar] [CrossRef]
- Boyd, S.; Vandenberghe, L. Convex Optimization; Cambridge University Press: Cambridge, UK, 2009; pp. 215–271. [Google Scholar]
- Panoui, A.; Lambotharan, S.; Chambers, J.A. Game Theoretic Distributed Waveform Design for Multistatic Radar Networks. IEEE Trans. Aerosp. Electron. Syst. 2016, 52, 1855–1865. [Google Scholar] [CrossRef]





| Waveforms Design methods | Title 2 | Title 3 |
|---|---|---|
| Fixed Waveform | M=3, N=256 | PSL=−23.22 dB |
| Primal-Dual [18] | MG=6, N=256 | PSL=−20.18 dB |
| Proposed methods when w=0.9 | M=3, G=2, N=256 | PSL1=−19.18 dB PSL2=−19.39 dB PCL=−25.56 dB |
| Proposed methods when w=0.1 | M=3, G=2, N=256 |
PSL1=−25.64 dB PSL2=−25.88 dB PCL=−18.51 dB |
Disclaimer/Publisher’s Note: The statements, opinions and data contained in all publications are solely those of the individual author(s) and contributor(s) and not of MDPI and/or the editor(s). MDPI and/or the editor(s) disclaim responsibility for any injury to people or property resulting from any ideas, methods, instructions or products referred to in the content. |
© 2024 by the authors. Licensee MDPI, Basel, Switzerland. This article is an open access article distributed under the terms and conditions of the Creative Commons Attribution (CC BY) license (http://creativecommons.org/licenses/by/4.0/).
