Submitted:
01 January 2024
Posted:
03 January 2024
You are already at the latest version
Abstract
Keywords:
1. Introduction
2. Materials and Methods
3. Results
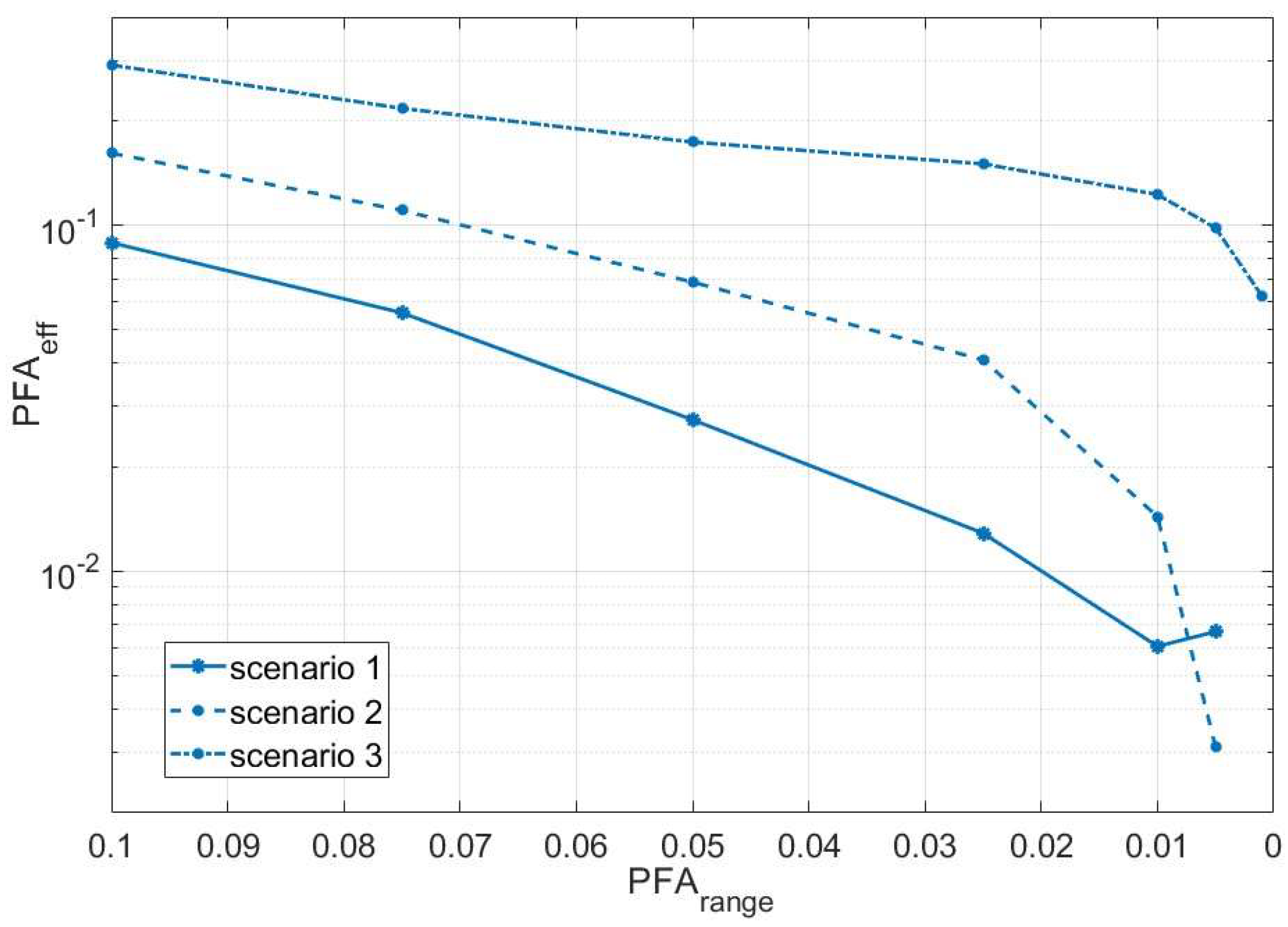
3.1. Effective probablity of false alarm
3.2. Mean error in range
3.2. Number of echoes per unit of time
4. Discussion
5. Conclusions
Author Contributions
Funding
Conflicts of Interest
References
- I. Bilik, O. Longman, S. Villeval and J. Tabrikian, "The Rise of Radar for Autonomous Vehicles: Signal Processing Solutions and Future Research Directions," IEEE Signal Processing Magazine, vol. 36, n. 5, pp. 20-31, Sept. 2019. [CrossRef]
- H.A. Ignatious, H. El-Sayed, M. Khan, “An overview of sensors in Autonomous Vehicles,” Procedia Computer Science, vol. 198, pp. 736-741, 2022. [CrossRef]
- X. Gao, S. Roy and G. Xing, "MIMO-SAR: A Hierarchical High-Resolution Imaging Algorithm for mmWave FMCW Radar in Autonomous Driving,” IEEE Transactions on Vehicular Technology, vol. 70, n. 8, pp. 7322-7334, 2021. [CrossRef]
- E. Marti, J. Perez, M.A. de Miguel M.A., F. Garcia, “A review of sensor technologies for perception in automated driving,” IEEE Intelligent Transportation Systems Magazine, vol. 11, n. 4, pp. 94-108, 2019. [CrossRef]
- G. Reina, D. Johnson, and J. Underwood, “Radar sensing for intelligent vehicles in urban environments,” Sensors, vol. 15, n. 6, pp. 14661–14678, 2015. [CrossRef]
- S. M. Patole, M. Torlak, D. Wang and M. Ali, "Automotive radars: A review of signal processing techniques,” IEEE Signal Processing Magazine, vol. 34, n. 2, pp. 22-35, 2017. [CrossRef]
- M. Wagner, F. Sulejmani, A. Melzer, P. Meissner and M. Huemer, "Threshold-Free Interference Cancellation Method for Automotive FMCW Radar Systems,” 2018 IEEE International Symposium on Circuits and Systems (ISCAS), Florence, Italy, 2018, pp. 1-4. [CrossRef]
- W. Stark, M. Ali, M. Maher, “Digital Code Modulation (DCM) for Automotive Application,” Uhnder White Paper, 2020.
- R. Plšičík, M. Danko, “Introducing to using mmWave Radar development board AWR1843,” IEEE ELEKTRO Conference, Krakow, 2022. [CrossRef]
- Y. Peng, X. H. Wang, J. J. Hu, Y. Xu and X. W. Shi, "Design of Miniature Millimeter Wave Radar System Based on TI Integrated Chip,” 2022 International Conference on Microwave and Millimeter Wave Technology (ICMMT), Harbin, China, 2022, pp. 1-3. [CrossRef]
- X. Gao, G. Xing, S. Roy and H. Liu, "Experiments with mmWave Automotive Radar Test-bed,” 2019 53rd Asilomar Conference on Signals, Systems, and Computers, Pacific Grove, CA, USA, 2019, pp. 1-6. [CrossRef]
- X. Gao, S. Roy, G. Xing and S. Jin, "Perception Through 2D-MIMO FMCW Automotive Radar Under Adverse Weather," 2021 IEEE International Conference on Autonomous Systems (ICAS), Montreal, QC, Canada, 2021, pp. 1-5. [CrossRef]
- A. Correas-Serrano, M.A. González-Hiuci, “Experimental evaluation of compressive sensing for DoA estimation in automotive radar,” 19th International Radar Symposium IRS, Bonn, 2018. [CrossRef]
- S. Patole, A. B. Baral and M. Torlak, "Fast 3D Joint Superresolution Algorithm for Millimeter Wave FMCW Radars,” IEEE Open Journal of Signal Processing, vol. 4, pp. 346-365, 2023. [CrossRef]
- Y. Huang, H. Zhang, K. Guo, J. Li, G. Xu and Z. Chen, "Density-Based Vehicle Detection Approach for Automotive Millimeter-Wave Radar," 2020 IEEE 3rd International Conference on Electronic Information and Communication Technology (ICEICT), Shenzhen, China, 2020, pp. 534-537. [CrossRef]
- A. Pirkani, S. Cassidy, S. Pooni, M. Cherniakov and M. Gashinova, "Modelling and experimental validation of radar - environment interaction in automotive scenarios,” International Conference on Radar Systems (RADAR 2022), Hybrid Conference, Edinburgh, UK, 2022, pp. 395-400. [CrossRef]
- F. Meinl, M. Stolz, M. Kunert and H. Blume, "An experimental high-performance radar system for highly automated driving," 2017 IEEE MTT-S International Conference on Microwaves for Intelligent Mobility (ICMIM), Nagoya, Japan, 2017, pp. 71-74. [CrossRef]
- Y. Golovachev, A. Etinger, G.A. Pinhasi, Y. Pinhasi, “Millimeter Wave High Resolution Radar Accuracy in Fog Conditions—Theory and Experimental Verification”. Sensors 2018, 18, 2148. [CrossRef]
- A. Rasouli and J. K. Tsotsos, "Autonomous Vehicles That Interact with Pedestrians: A Survey of Theory and Practice,” IEEE Transactions on Intelligent Transportation Systems, vol. 21, n. 3, pp. 900-918, 2020. [CrossRef]
- P. Nimac, A. Krpič, B. Batagelj, A. Gams, “Pedestrian Traffic Light Control with Crosswalk FMCW Radar and Group Tracking Algorithm,” Sensors 2022, vol. 22, pp. 1754. [CrossRef]
- S. Sun, A.P. Petropolu, H.V. Poor, “MIMO radar for Advanced Driver-Assistance Systems and autonomous driving,” vol. 37, n.4, pp. 98-117, IEEE Signal Processing Magazine 2020. [CrossRef]
- C. Iovescu, S. Rao, “The fundamentals of millimeter wave sensors,” TI report SPYY005, 2017.
- S. Rao, “MIMO Radar,” TI Application Report SWRA554A, May 2017, revised July 2018.
- O. Faus, “Signal Processing for mmWave MIMO Radar,” Master Thesis, University of Gävle, Gävle, 2015.
- “Programming Chirp Parameters in TI Radar Devices,” Application Report SWRA553A–May 2017 – Revised February 2020.
- N. Levanon, Radar, Editor: Robert A. Meyers, Encyclopedia of Physical Science and Technology (Third Edition), Academic Press, 2003, pp. 497-510.
- C. Katzlberger, “Object detection with automotive radar sensors using CFAR algorithms,” Bachelor Thesis, Johannes Kepler University, Lenz, 2018.
- S. Ren, S. Han and B. Wang, "Stationary and Small Target Detection for Millimeter-Wave Radar," 2022 IEEE 22nd International Conference on Communication Technology (ICCT), Nanjing, China, 2022, pp. 1698-1702. [CrossRef]
- C. Xu, F. Wang, Y. Zhang, L. Xu, M. Ai and G. Yan, "Two-level CFAR Algorithm for Target Detection in mmWave Radar," 2021 International Conference on Computer Engineering and Application (ICCEA), Kunming, China, 2021, pp. 240-243. [CrossRef]
- S. Wang and R. Herschel, "Fast 3D-CFAR for Drone Detection with MIMO Radars," 2021 18th European Radar Conference (EuRAD), London, United Kingdom, 2022, pp. 209-212. [CrossRef]










Disclaimer/Publisher’s Note: The statements, opinions and data contained in all publications are solely those of the individual author(s) and contributor(s) and not of MDPI and/or the editor(s). MDPI and/or the editor(s) disclaim responsibility for any injury to people or property resulting from any ideas, methods, instructions or products referred to in the content. |
© 2024 by the authors. Licensee MDPI, Basel, Switzerland. This article is an open access article distributed under the terms and conditions of the Creative Commons Attribution (CC BY) license (http://creativecommons.org/licenses/by/4.0/).