Preprint
Article

This version is not peer-reviewed.

An Effective Flux Framework for Linear-Irreversible Heat Engines: The Case Study of a Thermoelectric Generator

A peer-reviewed article of this preprint also exists.

Submitted:

25 December 2023

Posted:

26 December 2023

You are already at the latest version

Abstract
We consider an autonomous heat engine in simultaneous contact with a hot and a cold reservoir, and described within a linear-irreversible framework. In the tight-coupling approximation, the rate of entropy generation is effectively written in terms of a single thermal flux which is a homogeneous function of the hot and cold fluxes. The specific algebraic forms of the effective flux are deduced in scenarios containing internal and external irreversibilities for the typical example of a thermoelectric generator.
Keywords: 
;  ;  ;  

1. Introduction

In the thermodynamic study of irreversible processes, the rate of entropy generation, S ˙ , is a fundamental quantity. It may be expressed as the sum of the products of flux J α and its associated thermodynamic force X α , or S ˙ = α J α X α . For a device that involves energy conversion—such as a heat engine, the description requires at least two flux-force pairs, such that
S ˙ = J 1 X 1 + J 2 X 2 .
Here, J 2 is the spontaneous heat flux ( J 2 X 2 > 0 ), while the velocity flux J 1 is the driven flux ( J 1 X 1 < 0 ). In order to satisfy the second law, we must have S ˙ 0 .
For a generic heat engine, in simultaneous contact with two heat reservoirs at temperatures T h > T c , let Q ˙ h and Q ˙ c respectively denote the thermal flux entering and exiting the engine. The power output of the device is given by:
P = Q ˙ h Q ˙ c = F x ˙ ,
where F is the external load and x ˙ is the velocity flux. The overall rate of entropy generation is
S ˙ = Q ˙ c T c   Q ˙ h T h .
In order to express the above in the canonical form, we use (2) to rewrite
S ˙ = x ˙ F T c + Q ˙ h 1 T c 1 T h ,
and thus identify the following two flux-force pairs:
J 1 = x ˙ , X 1 = F T c ,
J 2 = Q ˙ h , X 2 = 1 T c 1 T h ,
The description of irreversible processes is further enriched by the assuming small magnitudes of the forces and proposing linear flux-force relations: J α = β L α β X β , where L α β are the Onsager coefficients which obey
L α α 0 , L α α L β β L α β 2 ,
where we assume Onsager reciprocity, L β α = L α β . Now, it is also well known that there is no unique choice of the flux-force pairs to express the rate of entropy generation. Thus, for the thermal flux J 2 , one may choose the cold flux Q ˙ c . Accordingly, the modified force X 1 = F / T h . Other authors have proposed using a mean thermal flux over the hot and cold fluxes [1,2]. The mean flux also plays a role in the linear-irreversible framework for coupled autonomous machines [3]. In these previous approaches, two fluxes in general describe the rate of entropy generation, as in Eq. (1). However, under the so-called strong coupling condition, L α α L β β = L α β 2 , we have the result that J 1 is directly proportional to J 2 . In this case, only one flux is adequate to describe the rate of entropy generation.
Motivated by the above observation, in this paper, we develop an approach to describe the rate of entropy generation in terms of a single effective flux Q ˙ and its corresponding generalized force F . Now, in the case of a single effective flux that describes our engine, we let S ˙ = Q ˙ F . Further, we keep the thermodynamic description within a linear framework, which implies a linear flux-force relation, Q ˙ = λ F , where λ is a suitable transport coefficient. So, the rate of entropy generation is effectively expressed as:
S ˙ = Q ˙ 2 λ .
The applicability of the second law requires that λ > 0 [4]. The exact form of Q ˙ depends on details of the model, in particular the way irreversibilities are treated within the model. In this paper, we apply our formalism to the Constant Properties Model of a thermoelectric generator (TEG), whuch provides a paradigmatic model for such a heat engine. In this case, internal and external irreversibilities can be formulated relatively easily [5,6,7,8]. Under various approximations whereby one or the other kind of irreversibilities can be neglecred, we identify the corresponding effective flux along with the transport coefficient λ for each case.
The paper is organized as follows. In Section II, we outline the effective flux approach and develop the basic expressions for power output. In Section III, we describe the so-called Constant Properties Model of a TEG. In Section IV, we determine the effective thermal flux in a TEG with an internal irreversibility only, while Section V deals exclusively with an external irreversibility. Section VI is devoted to TEG with both internal and external irreversibilities. Finally, in Section VII, we conclude with a discussion of our results.

2. The effective flux approach

In the proposed scheme, we assume the validity of Eqs. (3) and (8). It is convenient to define the ratio β = Q ˙ c / Q ˙ h . Then, we can express Eq. (3) as:
S ˙ = Q ˙ h T c ( β θ ) .
Now, to assign a specific form to the effective flux, we note that Q ˙ c Q ˙ h , where the equality implies a vanishing power output. The effective flux is bounded by the given hot and cold fluxes: Q ˙ c Q ˙ Q ˙ h . More generally, we demand that Q ˙ is a homogeneous function of Q ˙ h and Q ˙ c , so that we can express Q ˙ = Q ˙ h q ( β ) , where q ( β ) is to be determined as a function of β .
Thus, Eq. (8) can be written as:
S ˙ = Q ˙ h 2 q 2 ( β ) λ .
From Eqs. (9) and (10), we can write:
Q ˙ h = λ T c ( β θ ) q 2 ( β ) .
Finally, power output can be expressed as: P = ( 1 β ) Q ˙ h . Upon using Eq. (11), we obtain
P ( β ) = λ T c ( 1 β ) ( β θ ) q 2 ( β ) .
Note that apart from q ( β ) , P is expressed as a universal expression in terms of β [9,10]. The actual expression for P as followed under different models dictates the form taken by the function q ( β ) , which in turn determines the effective flux Q ˙ . We shall illustrate these cases using the TEG model as described in the following.

3. TEG model

Thermoelectricity is a non-equilibrium phenomenon, which can be studied within the framework of Onsager-Callen theory [11,12,13,14]. The coupling between the gradients of temperature and electric potential gives rise to various thermoelectric effects. Consider the thermoelectric material (TEM) to be a one-dimensional substance of length L with fixed values of internal resistance R and Seebeck coefficient α . Let I denote the constant current flowing through the TEM (see Figure 1). Also, we work within the strong-coupling assumption [15,16], and so any heat leakage between the reservoirs is negligible. Then, based on Onsager formalism and Domenicali’s heat equation [17], thermal fluxes at the end points of TEM are written as follows.
Q ˙ h   = α T h M I 1 2 R I 2 ,
Q ˙ c   = α T c M I + 1 2 R I 2 .
In the above equations, the first term corresponds to convective heat flow, where T h M ( T c M ) is the local temperature of TEM at hot (cold) side. The second term is the Joule heat received by each reservoir. Assuming a Newtonian heat flow [18,19] between a reservoir and TEM, the hot and cold fluxes are also given by
Q ˙ h = K h   ( T h   T h M   ) ,
Q ˙ c = K c   ( T c M   T c   ) ,
where K h   and K c   are the heat transfer coefficients. From the equality of Eqs. (13) and (15), we get an expression for T h M , as:
Substituting this in Eq. (15), we can write
Q ˙ h = K h   2 α T h   I R I 2 2 ( K h   + α I ) .
Similarly, for the cold flux, we obtain:
Q ˙ c = K c   2 α T c   I + R I 2 2 ( K c   α I ) .
Using the definition of β , we can express the electric current as function of β : I ( β ) . Further, we verify that I is a monotonic function of β . Thereby, we express power output in terms of the variable β , as in Eq. (12).

4. TEG with internal irreversibility

In this case, the only source of irreversibility is the internal electrical resistance of the working substance. No dissipation is involved in thermal contacts with heat reservoirs. More precisely, we consider the limit K h   , K c   . This leads to the simplification: T h M = T h and T c M = T c . Also, we have considered bypass or heat leaks to be negligible. This is the so-called exoreversible model [16,20]. So, Eqs. (17) and (18) are simplified to
Q ˙ h   = α T h   I 1 2 R I 2
Q ˙ c   = α T c   I + 1 2 R I 2 .
Now, expressing I in terms of β by using Eq. (19) and (20), we obtain
I = 2 α T h R ( β θ ) ( 1 + β ) .
So, the power output can be expressed in the form
P ( β ) = K int T h 4 ( 1 β ) ( β θ ) ( 1 + β ) 2 ,
where we define the thermal conductance of TEM as [5,7]
K int = α 2 ( T h + T c ) 2 R .
Comparing the expressions of power in Eqs. (12) and (22), we identify λ = K int T h T c as the effective thermal conductivity, and q ( β ) = ( 1 + β ) / 2 . So, the effective thermal flux Q ˙ = Q ˙ h q ( β ) is given by:
Q ˙ = Q ˙ h + Q ˙ c 2 .
Thus, the entropy generation in an exoreversible model may be effectively described by a thermal flux which is the arithmetic mean of the hot and cold fluxes.

5. TEG with external irreversibility

In this case, the sources of irreversibility are the heat exchangers having finite thermal conductances, K h   and K c   , on the hot and the cold side, respectively. Also, we assume that TEM has zero internal resistance ( R = 0 ). This is the so-called endoreversible approximation [18,19]. Then, the heat fluxes are simplified to
Q ˙ h = α K h   T h I K h   + α I , Q ˙ c   = α K c   T c   I K c   α I .
Again, from the above expressions, we obtain I in terms of the variable β :
I = K h   K c   α ( β θ ) ( θ K c   + β K h   ) .
Therefore, the output power in terms of β is given by
P = K ext   T h   ( 1 β ) ( β θ ) β ,
where the contact thermal conductance is
K ext   = K c   K h   K h   + K c   .
Again, a comparison between Eqs. (12) and (27) suggests that q ( β ) = β , or, in other words, the mean thermal flux is the geometric mean:
Q ˙ = Q ˙ h   Q ˙ c   ,
with an effective thermal conductivity as
λ = K ext   T h   T c   .
From Eqs. (22), (27), and (60), we see that for thermoelectric generator, the power output can be written in the form of Eq. (12), where λ is a constant specific to each irreversibility. More importantly, the effective heat flux has been found to be in the form of either the arithmetic mean or the geometric mean over the hot and cold fluxes. However, so far we have considered TEG with only one kind of irreversibility. In the following, we find specific configurations with both internal and external irreversibilities, and show instances of the effective heat flux in the form of generalized means.

6. TEG with internal and external irreversibilities

In the Constant Properties Model, Joule heat is distributed equally between hot and cold junctions [21,22]. We first study simpler configurations where the external irreversibility is assumed only at one junction while the other junction is perfectly connected with the reservoir. Finally, a configuration with external irreversibility at both junctions is considered. For convenience, we define v as the ratio of external to internal thermal conductances:
v = K ext   K int ,
where, K int and K ext   are defined as in Eqs. (23) and (28) respectively.

6.1. Finite K h  

Here, the external irreversibility is only at the hot junction due to the finite thermal conductance ( K h   ). The cold junction is assumed to be ideal. Thermal fluxes are obtained as
Q ˙ h = K h   2 α T h I R I 2 2 ( K h   + α I ) ,
Q ˙ c = α T c I + 1 2 R I 2 .
The expression of I in terms of β
I = α T h 4 R 4 θ v ( 1 + θ ) ( 1 + β ) + { 4 θ + v ( 1 + θ ) ( 1 + β ) } 2 + 16 v ( 1 + θ ) ( β θ ) ,
where v = 2 R K h   / α 2 T h ( 1 + θ ) . Then, the power output can be written as:
P ( β ) = 8 ( 1 + θ ) K h   T h ( 1 β ) ( β θ ) A q 2 ( β ) ,
where A = 4 { 2 + v ( 1 + θ ) + 4 θ 2 + v 2 ( 1 + θ ) 2 + 4 v ( 1 + θ ) } . The effective thermal flux is given by
Q ˙ = 1 A 1 / 2 { v ( 1 + θ ) 4 θ } Q ˙ h 2 + v ( 1 + θ ) Q ˙ c 2 + { 4 ( 2 + θ ) + 2 v ( 1 + θ ) } Q ˙ h Q ˙ c + 2 ( Q ˙ h + Q ˙ c ) 4 θ 2 + v 2 ( 1 + θ ) 2 + 4 v ( 1 + θ ) a 1 Q ˙ h 2 + a 2 Q ˙ c 2 + a 3 Q ˙ c Q ˙ h 1 / 2 ,
where
a 1 = v 2 ( 1 + θ ) 2 + 16 θ 2 8 v θ ( 1 + θ ) 4 [ 4 θ 2 + v 2 ( 1 + θ ) 2 + 4 v ( 1 + θ ) ] ,
a 2 = v 2 ( 1 + θ ) 2 4 [ 4 θ 2 + v 2 ( 1 + θ ) 2 + 4 v ( 1 + θ ) ] ,
and a 3 = 1 a 1 a 2 . Note that the coefficients have been defined so that a 1 + a 2 + a 3 = 1 . The effective flux has been written in the particular form above to make it clear that Q ˙ lies between Q ˙ h and Q ˙ c . For the limiting cases, when v 0 (physically, R 0 ), Q ˙ Q ˙ h Q ˙ c yielding the effective flux corresponding to the endoreversible approximation. On the other hand, when v implying K h   at finite R, Q ˙ ( Q ˙ h + Q ˙ c ) / 2 corresponding to exoreversible approximation. The effective thermal conductance λ for this case is given by
λ = 2 K h   T h T c ( 1 + θ ) 2 + v ( 1 + θ ) + 4 θ 2 + v 2 ( 1 + θ ) 2 + 4 v ( 1 + θ ) .
For the limiting cases, λ reduces to K h   T h T c as v 0 and to α 2 ( T h + T c ) T h T c / 2 R as v respectively.

6.2. Finite K c  

In this case, thermal contact at the hot junction is perfect and the cold junction has finite thermal conductance K c   . Then, the thermal fluxes are given as
Q ˙ h = α T h I 1 2 R I 2 ,
Q ˙ c = K c   2 α T c I + R I 2 2 ( K c   α I ) .
The expression for I in terms of β is
I = α T h 4 R β 4 β + v ( 1 + β ) ( 1 + θ ) { 4 β + v ( 1 + β ) ( 1 + θ ) } 2 16 v β ( 1 + θ ) ( β θ ) ,
where v = 2 R K c   / { α 2 T h ( 1 + θ ) } . From the expression of the power output, the normalized effective thermal flux is found to be
Q ˙ = 1 B 1 / 2 v ( 1 + θ ) Q ˙ h 2 + { v ( 1 + θ ) 4 } Q ˙ c 2 + { 4 ( 1 + 2 θ ) + 2 v ( 1 + θ ) } Q ˙ h Q ˙ c + 2 ( Q ˙ h + Q ˙ c ) 4 + v 2 ( 1 + θ ) 2 + 4 v θ ( 1 + θ ) b 1 Q ˙ h 2 + b 2 Q ˙ c 2 + b 3 Q ˙ h Q ˙ c 1 / 2 ,
where B = 4 { v ( 1 + θ ) + 2 θ + 4 + v 2 ( 1 + θ ) 2 + 4 v θ ( 1 + θ ) } and
b 1 = v 2 ( 1 + θ ) 2 4 [ 4 + v 2 ( 1 + θ ) 2 + 4 v θ ( 1 + θ ) ] ,
b 2 = v 2 ( 1 + θ ) 2 + 16 8 v ( 1 + θ ) 4 [ 4 + v 2 ( 1 + θ ) 2 + 4 v θ ( 1 + θ ) ] ,
where b 3 = 1 b 1 b 2 . For the limiting cases, Q ˙ reduces to effective thermal flux in the case of endoreversible ( v 0 ) and exoreversible ( v ) models. The effective thermal conductance equals
λ = 2 K c   T h T c ( 1 + θ ) v ( 1 + θ ) + 2 θ + 4 + v 2 ( 1 + θ ) 2 + 4 v θ ( 1 + θ ) ,
which goes to K c   T h T c and α 2 ( T h + T c ) T h T c / 2 R respectively in the above limits.

6.3. Finite K c   and K h  

In this case, both external irreversibilities are present simultaneously with internal irreversibility. For simplicity, we set K h   = K c   = K   / 2 . Thermal fluxes on either side are given as
Q ˙ h = K   2 α T h   I R I 2 2 ( K   + 2 α I ) , Q ˙ c = K   2 α T c   I + R I 2 2 ( K   2 α I ) .
Now expressing I in terms of β , we obtain:
I = α T h 2 R [ 8 v ( 1 + θ ) ( 1 β ) ( β θ ) + { v ( 1 + θ ) ( 1 + β ) + 2 ( β + θ ) } 2 ( 1 β ) v ( 1 + θ ) ( 1 + β ) + 2 ( β + θ ) ( 1 β ) ] ,
where v   = R K   / { 2 α 2 T h ( 1 + θ ) } . From the expression for power in terms of β , we can identify the effective mean as:
Q ˙ = 1 C 1 / 2 ( v + v θ 2 θ ) Q ˙ h 2 + ( v + v θ 2 ) Q ˙ c 2 + 2 ( 1 + θ ) ( v + 3 ) Q ˙ h Q ˙ c + 2 ( Q ˙ c + Q ˙ h ) ( v + 1 ) ( 1 + θ ) c 1 Q ˙ h 2 + c 2 Q ˙ c 2 + c 3 Q ˙ h Q ˙ c } 1 / 2 ,
where C = 8 ( v + 1 ) ( 1 + θ ) , and
c 1 = v ( 1 + θ ) 2 θ 4 ( v + 1 ) 2 ( 1 + θ ) 2 ,
c 2 = v ( 1 + θ ) 2 4 ( v + 1 ) 2 ( 1 + θ ) 2 ,
where c 3 = 1 c 1 c 2 . As expected, for v 0 ( R 0), Q ˙ reduces to Q ˙ h Q ˙ c and for v ( K   ), Q ˙ ( Q ˙ h + Q ˙ c ) / 2 corresponding to the exoreversible model. We can identify λ in this case as
λ = K   T h   T c   4 ( v + 1 ) .
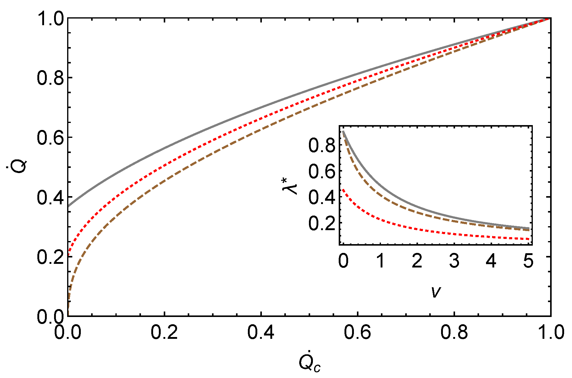
The three effective fluxes derived in this section are depicted in Figure 2, versus the cold flux where the hot flux is given.

7. Discussion

The main motivation for this work was to express the rate of entropy generation, for a steady-state heat engine under the tight-coupling assumption, in terms of a single effective flux. In the standard description of linear-irreversible engines within Onsager framework, the tight coupling assumption yields a single flux to describe the rate of entropy generation. This applies to steady-state engines at the local level. However, a similar analysis has not been carried out when we scale up this description to global level such as for thermoeletric generators where the length of the thermoelectric material is finite [20]. It has been observed earlier, that thermodynamic forces in the global picture are discrete versions of the local forces. Secondly, the thermal fluxes involve quadratic terms which express Joule heating. This leads to nonlinear flux-force relations. Analogous to the tight coupling framework at the local level, we formulated entropy generation in terms of an effective thermal flux. We observed explicit forms of this flux in TEG, which is a homogeneous function of the hot and cold fluxes. In the simple case of only external (internal) irreversibility, we obtain the effective flux in the form of the arithmetic (geometric) mean of hot and cold fluxes.
For the endoreversible approximation, we chose Newton’s law which yields the geometric mean flux. We note that the form of the mean depends on the specific heat transfer law. If instead of Newton’s law, we choose inverse-temperature law of linear irreversible thermodynamics, then we have
Q ˙ h = K h   ( T h M 1 T h 1 ) ,
Q ˙ c = K c   ( T c 1 T c M 1 ) ,
where K h   , K c   are the heat transfer coefficients. The above fluxes are to be respectively matched with Q ˙ h   = α T h M   I and Q ˙ c   = α T c M   I , from Eqs. (13) and (14). Thus, we obtain
T h M = K h   + K h 2 + 4 α K h   T h 2 I 2 α T h   I ,
T c M = K c   K c 2 4 α K c   T c 2 I 2 α T c   I .
Therefore, thermal fluxes entering and exiting the thermoelectric material are as follows [23,24].
Q ˙ h   = K h 2 + 4 α K h   T h 2 I K h   2 T h   ,
Q ˙ c   = K c   K c 2 4 α K c   T c 2 I 2 T c   .
Now, by using Eqs. (57) and (58), we express I in terms of β , as
I = β K c   K h   ( β θ ) ( β K h   θ + K c   ) α T c 2 ( K c   + β 2 K h   ) 2 .
The output power in terms of β is as follows.
P ( β ) = K ext   T c ( 1 β ) ( β θ ) δ + ( 1 δ ) β 2
where K ext = K c K h / ( K h + K c ) and δ = K c   / ( K h   + K c   ) . From Eqs. (12) and (60), we have q ( β ) = δ + ( 1 δ ) β 2 1 / 2 , which defines the so-called weighted quadratic mean:
Q ˙ = δ Q ˙ h 2 + ( 1 δ ) Q ˙ c 2 1 / 2 ,
with an effective thermal conductance of λ = K ext   . We also note that as the cold (hot) contact approches the reversible limit, implying K c   ( K h   ) or δ 1 ( δ 0 ) , the effective heat flux goes to the limit Q ˙ h ( Q ˙ c ) .
An analogous effective framework was proposed for discrete heat engines running in finite cycle period τ [10]. We briefly summarize the important features of this framework. Let the total work extracted be given as W = Q h Q c and total entropy produced is Δ S = Q c / T c Q h / T h . The average power is defined as P = W / τ and the average rate of entropy production: Δ S / τ . Again, we work in the strong coupling regime. Instead of effective flux, we postulate an effective heat flowing through the system Q ¯ in time τ . This leads to defining an average effective flux as Q ¯ / τ . Now, the total rate of entropy production is considered as quadratic function of the effective flux.
τ = Q ¯ 2 λ Δ tot S .
In the case of discrete heat devices, the effective heat Q ¯ may be taken in the form of a homogeneous function of Q h and Q c . In contrast, for the case of autonomous devices, we note that it is the effective flux that is given in terms of the hot and cold fluxes exchanged with the reservoirs. Despite this difference, the form of the objective function, for instance, the power output is given by a similar expression in the formulation for discrete engines [10] and the present framework. Thus for the discrete models, we have
P ( ν ) = λ T c ( 1 ν ) ( ν θ ) q 2 ( ν )
where ν = Q c / Q h and so the efficiency, η = 1 ν . Further, the effective heat is given by Q ¯ = Q h q ( ν ) . The formulation proposed in this paper applicable to scaled-up steady state engines. Using the model example of TEG, we are able to analyze different types of irreversibilities which yield specific forms of the effective fluxes. This leads to a simplified description of these models for engines under tight-coupling condition. A similar analysis may be carried out for thermoelectric cooler or pump.

Author Contributions

R.S.J. conceptualized the problem. J.K. performed the calculations. R.S.J. supervised the work. J.K. and R.S.J. together prepared the manuscript.

Acknowledgments

Jasleen Kaur acknowledges financial support in the form of research fellowship during her doctoral work at Indian Institute of Science Education and Research, Mohali.

Conflicts of Interest

The authors declare no conflict of interest.

Abbreviations

The following abbreviations are used in this manuscript:
TEG Thermoelectric Generator
TEM Thermoelectric Material

References

  1. C. Jarzynski and O. Mazonka, Feynman’s ratchet and pawl: An exactly solvable model, Phys. Rev. E 59, 6448 (1999). [CrossRef]
  2. S. Sheng and Z. C. Tu, Weighted reciprocal of temperature, weighted thermal flux, and their applications in finite-time thermodynamics, Phys. Rev. E 89, 012129 (2014). [CrossRef]
  3. R. S. Johal and R. Rai, Efficiency at optimal performance: A unified perspective based on coupled autonomous thermal machines, Phys. Rev. E 105, 044145 (2022). [CrossRef]
  4. S. R. De Groot and P. Mazur, Non-equilibrium thermodynamics (Courier Corporation, 2013).
  5. A. F. Ioffe, Semiconductor thermoelements, and Thermoelectric cooling (Infosearch, ltd., 1957).
  6. J. M. Gordon, Generalized power versus efficiency characteristics of heat engines: The thermoelectric generator as an instructive illustration, American Journal of Physics 59, 551 (1991). [CrossRef]
  7. Y. Apertet, H. Ouerdane, O. Glavatskaya, C. Goupil, and P. Lecoeur, Optimal working conditions for thermoelectric generators with realistic thermal coupling, EPL (Europhysics Letters) 97, 28001 (2012), arXiv:1108.6164 [physics.class-ph].
  8. Y. Apertet, H. Ouerdane, C. Goupil, and P. Lecoeur, Irreversibilities and efficiency at maximum power of heat engines: The illustrative case of a thermoelectric generator, 85, 031116 (2012), arXiv:1111.1619 [cond-mat.stat-mech].
  9. Uzdin, Raam and Kosloff, Ronnie, Universal features in the efficiency at maximal work of hot quantum otto engines, EPL 108, 40001 (2014). [CrossRef]
  10. R. S. Johal, Global linear-irreversible principle for optimization in finite-time thermodynamics, EPL (Europhysics Letters) 121, 50009 (2018). [CrossRef]
  11. L. Onsager, Reciprocal relations in irreversible processes. ii., Phys. Rev. 38, 2265 (1931). [CrossRef]
  12. H. B. Callen, The application of onsager’s reciprocal relations to thermoelectric, thermomagnetic, and galvanomagnetic effects, Phys. Rev. 73, 1349 (1948). [CrossRef]
  13. N. Pottier, Nonequilibrium Statistical Physics: Linear Irreversible Processes (Oxford University Press, 2014).
  14. H. B. Callen, Thermodynamics and an introduction to thermostatistics (New York : Wiley, 1985).
  15. C. Van den Broeck, Thermodynamic efficiency at maximum power, Phys. Rev. Lett. 95, 190602 (2005). [CrossRef]
  16. Y. Apertet, H. Ouerdane, A. Michot, C. Goupil, and P. Lecoeur, On the efficiency at maximum cooling power, EPL (Europhysics Letters) 103, 40001 (2013). [CrossRef]
  17. C. A. Domenicali, Irreversible thermodynamics of thermoelectricity, Rev. Mod. Phys. 26, 237 (1954). [CrossRef]
  18. L. Chen and Z. Yan, The effect of heat-transfer law on performance of a two-heat-source endoreversible cycle, J. Chem. Phys. 90, 3740 (1989). [CrossRef]
  19. F. L. Curzon and B. Ahlborn, Efficiency of a Carnot engine at maximum power output, American Journal of Physics 43, 22 (1975). [CrossRef]
  20. J. Kaur and R. Johal, Irreversible thermodynamics of thermoelectric devices: From local framework to global description, J. Stat. Mech, 073204 (2021). [CrossRef]
  21. Y. Apertet, H. Ouerdane, C. Goupil, and P. Lecoeur, From local force-flux relationships to internal dissipations and their impact on heat engine performance: The illustrative case of a thermoelectric generator, 88, 022137 (2013). arXiv:1306.4800 [cond-mat.stat-mech]. [CrossRef]
  22. J. Kaur and R. S. Johal, Thermoelectric generator at optimal power with external and internal irreversibilities, J. Appl. Phys. 126, 125111 (2019).
  23. L. Chen, F. Sun, and C. Wu, Thermoelectric-generator with linear phenomenological heat-transfer law, Applied Energy 81, 358 (2005).
  24. M. Feidt, Jasleen Kaur, and Ramandeep S. Johal, Thermoelectric generator in endoreversible approximation: the effect of heat-transfer law under finite physical dimensions constraint, Phys. Rev. E 105, 034122 (2022). [CrossRef]
Figure 1. Block diagram of TEG in contact with hot and cold reservoirs via heat exchangers with thermal conductances K h   and K c   . R is the internal resistance of TEM with electric current I flowing through it. T h M and T c M are the local temperatures of TEM towards the hot and cold side respectively. Dashed lines indicate flow of Joule heat into each reservoir.
Figure 1. Block diagram of TEG in contact with hot and cold reservoirs via heat exchangers with thermal conductances K h   and K c   . R is the internal resistance of TEM with electric current I flowing through it. T h M and T c M are the local temperatures of TEM towards the hot and cold side respectively. Dashed lines indicate flow of Joule heat into each reservoir.
Preprints 94368 g001
Figure 2. Variation of the effective thermal flux with cold flux (measured in Watt) as in Eq. (36) shown by dashed line, Eq. (43) shown by solid line and Eq. (49) by dotted line where the parameters are set at v = 1 , θ = 0.5 , Q ˙ h = 1 Watt . The insert depicts the effective thermal conductance versus v in the corresponding cases T h = 300 K , T c = 150 K and K h   = K c   = K   = 6 × 10 3 Watt / K
Figure 2. Variation of the effective thermal flux with cold flux (measured in Watt) as in Eq. (36) shown by dashed line, Eq. (43) shown by solid line and Eq. (49) by dotted line where the parameters are set at v = 1 , θ = 0.5 , Q ˙ h = 1 Watt . The insert depicts the effective thermal conductance versus v in the corresponding cases T h = 300 K , T c = 150 K and K h   = K c   = K   = 6 × 10 3 Watt / K
Preprints 94368 g002
Disclaimer/Publisher’s Note: The statements, opinions and data contained in all publications are solely those of the individual author(s) and contributor(s) and not of MDPI and/or the editor(s). MDPI and/or the editor(s) disclaim responsibility for any injury to people or property resulting from any ideas, methods, instructions or products referred to in the content.
Copyright: This open access article is published under a Creative Commons CC BY 4.0 license, which permit the free download, distribution, and reuse, provided that the author and preprint are cited in any reuse.
Prerpints.org logo

Preprints.org is a free preprint server supported by MDPI in Basel, Switzerland.

Subscribe

Disclaimer

Terms of Use

Privacy Policy

Privacy Settings

© 2026 MDPI (Basel, Switzerland) unless otherwise stated