Preprint
Review

This version is not peer-reviewed.

Radiation Damping Treated by Classicalization of Quantum Mechanics—Theoretical Issue of Cyclotron Radiation

A peer-reviewed article of this preprint also exists.

Submitted:

30 November 2023

Posted:

19 December 2023

You are already at the latest version

Abstract
In this paper, we review a new treatment of classical radiation damping, which resolves a well-known contradiction in the Abraham-Lorentz equation that has long been a concern. This radiation damping problem has already been solved in quantum mechanics by the method introduced by Friedrichs. Based on Friedrichs’ treatment, we solved this long-standing problem by classicizing quantum mechanics by replacing the canonical commutation relation in quantum mechanics with the Poisson bracket relation in classical mechanics. As an application of our new approach, we will analyze the anomalous damping experienced by electrons undergoing cyclotron motion inside a waveguide near the cut-off frequency. This anomalous damping cannot be described using the existing Abraham-Lorentz equation.
Keywords: 
;  ;  ;  ;  ;  ;  ;  ;  

1. Introduction

Analyzing light radiated from electrons in decaying motion, such as cyclotron motion, through experiments and observations to characterize the system plays an important role in a wide range of fields from astrophysics and plasma physics to accelerator light source technology. Cyclotron radiation is essentially a classical phenomenon described by classical mechanics and the classical Maxwell equations.
However, in the well-known Abraham-Lorentz equation proposed to handle such classical decay processes, a term appears in the force equation for the charged particle that contains the third-order derivative of the particle’s position with respect to time. Therefore, it conflicts with basic principle in physics, and the theoretical underpinnings of this phenomenon have remained unresolved [1,2,3,4,5]. Specifically, we encounter runaway solutions caused by the third-order differential terms, and acausal behavior resulting from Dirac’s initial conditions proposed to solve the first problem [2].
This problematic behavior in the Abraham-Lorentz equation can be traced back to the fact that the Liénard-Wiechert potentials are used to derive the electromagnetic field emitted by the particle as it accelerates. These potentials neglect back-reaction on the charged particle from the emitted field, and hence ultimately cannot provide a solution that is fully consistent with basic physical principles.
Furthermore, as discussed below, the essence of this problem is related to one of the most fundamental problems in physics, that is, how to derive a damping solution that breaks time symmetry from the basic equation of motion that is symmetric in time. Therefore, we cannot expect a theoretical solution to this problem unless we quantitatively clarify the exact mechanical basis for the breaking of symmetry in the direction of time. One of the authors of this paper (TP) has worked on the problem of symmetry breaking for many years together with Ilya Prigogine, and has clarified that the essence lies in the following four points [6,7,8]. That is,
1) A resonance singularity may appear in the dynamical solutions for which the frequency denominator becomes zero. This is the so-called small denominator problem related to non-integrability and instability that may lead to chaos of dynamical systems.
2) However, even if the denominator becomes zero, if the frequency has a continuous spectrum, by analytically continuing the frequency in the denominator into the complex plane, the contribution from the part divided by zero can be mathematically consistently treated as a δ function. (Note that because the δ function has even parity with respect to its variable, the appearance of this distribution breaks the parity symmetry with respect to the sign reversal of the frequency denominator as an odd function)
3) As a result of analytic continuation into the complex plane, the state function of a dynamical system can be extended to include elements of a non-Hilbert space, which is an extension of the conventional Hilbert space.
4) Furthermore, as a result, solutions that break time symmetry can be obtained in a manner that is mathematically consistent with the fundamental laws of physics.
In reaching the above conclusion, what was decisive was Friedrichs’ historical discovery regarding the emission of photons in quantum mechanics [9]. Let us consider the problem of an atom decaying into the vacuum of free space. Friedrichs’ surprising discovery was that if a resonance singularity occurs because the discrete spectrum of energy in the unperturbed system overlaps with the continuous spectrum, then when a perturbation is applied to that system, the discrete spectrum can disappear from the spectrum of the total Hamiltonian with the interaction, and that a complete set of the spectrum can be obtained that consists only of the continuous spectrum. As a result of the disappearance of the discrete spectrum from the complete set, it has become clear that the excited state, which was stable in the unperturbed system, decays exponentially and breaks time-symmetry without any contradiction with the fundamental laws in quantum mechanics under the influence of the resonance interaction. Therefore, the description of quantum radiation damping based on the fundamental laws has been established in quantum mechanics, in contrast to the situation in classical mechanics. Combining Friedrichs’ discovery with the method for non-Hilbert space extension in 3) mentioned above, many interesting phenomena have been explored related to quantum radiation damping beyond the free-space case [10,11,12,13,14,15] Further background on the Friedrichs model and the description of resonances in quantum systems can be found, for example, in Refs. [16,17].
In this paper, we will show that by replacing the canonical commutation relation from the second quantized formalism of quantum mechanics with the Poisson bracket relation from classical mechanics, we can describe classical radiation damping without any contradiction with the fundamental laws of classical mechanics. This replacement procedure is, so to speak, a classicalization of the corresponding quantum system.
As an application of our treatment of classical radiation damping, we will analyze the anomalous damping that occurs when electrons inside a waveguide rotate with a cyclotron frequency near the lower bound on the waveguide mode (the cut-off frequency), which is unique to a given waveguide. This anomalous damping is a result of a singularity at the the cut-off in frequency space, and it corresponds to the Van Hove singularity in the density of states [10,18], which is well known in quantum systems [19,20]. This anomalous damping cannot be described using the existing Abraham-Lorentz equation.
However, since this paper is primarily an overview of our classicalization method, the reader is referred to Refs.[21,22] for detailed calculations.

2. Problems with the Abraham-Lorentz equation

The Abraham-Lorentz equation is given by
m d 2 x d t 2 = F ext ( t ) + m τ d 3 x d t 3 .
Here τ 2 e 2 / ( 3 m c 3 ) , which can be thought of as the time required for light to pass the classical electron radius. This equation has the following formal solution for the acceleration a ( t ) d 2 x / d t 2
a ( t ) = a ( 0 ) 1 m τ 0 t d t F ext ( t ) e t / τ e t / τ .
Therefore, even in the case of F ext ( t ) = 0 , there is a runaway solution that immediately diverges with time when a ( 0 ) 0 .
Dirac showed that this runaway solution can be removed by choosing the initial condition
a ( 0 ) = 1 m τ 0 d t F ext ( t ) e t / τ .
However, because future information about the external force determines this initial condition, it violates causality.

3. Classic Friedrichs’ model

In order to address these problems, let us consider the following Hamiltonian [21],
H = ω 1 q 1 * q 1 + d k ω k q k * q k + λ d k q 1 q 1 * V k q k V k * q k * ,
where ω 1 e B / m e is the frequency of the electron experiencing cyclotron motion under the influence of a static, uniform magnetic field with magnitude B > 0 . The evolution of the electron is described by the normal mode q 1 , while the normal mode of the electromagnetic field is given by q k with wave number k. The coupling between the particle and the field is determined by the dimensionless coupling constant λ e 2 ω 1 / ( 2 m e ε 0 c 3 ) and the interaction form factor V k . The coupling constant is of order 10 6 for typical cyclotron frequency. While the details of the form factor V k are not so essential for the presentation in this work, they can be found for the case of a rectangular waveguide in Ref. [21]. Finally, the constants c, e, m e , and ε 0 represent the speed of light, the elementary charge, the mass of the electron, and the vacuum permittivity, respectively.
This Hamiltonian is obtained by approximating Maxwell’s equations for the Lorentz force on the particle when an electron in cyclotron motion interacts with its own radiated field (self-interaction) [21]. The approximation mainly consists of two approximations, one of which is ignoring field-field interactions, and the other is the dipole approximation.
In addition to these approximations, when considering cyclotron motion in an infinitely long waveguide which is parallel to the external magnetic field, we have performed an approximation that ignores all other modes, including transverse magnetic (TM) modes, leaving only the lowest transverse electric (TE) modes. We emphasize that the so-called virtual terms q 1 q k and q 1 * q k * have not been neglected, which is to say that we do not impose the rotating wave approximation. This ensures the field description includes relativistic effects and that causality is maintained in the emission process.
For the system in which the electron is confined in a rectangular waveguide, the light disperses according to
ω k = c 2 k 2 + ω c 2 .
for the lowest TE mode [2]. Here, ω c is the cut-off frequency corresponding to that TE mode, and the light in that mode behaves as if it had a mass determined by the cut-off frequency. The case ω c = 0 corresponds to the electron in free space.
If we were to perform second quantization on the normal modes of this Hamiltonian, we would obtain the well-known quantum Friedrichs model, in which the phenomenon of harmonic oscillator damping by photon emission is solved as an exact solution to the Schrödinger equation [8,9]. That solution presented by Friedrichs makes this model historically important in that the phenomenological quantum jump proposed by Bohr was first strictly derived from the Schrödinger equation which is based on fundamental laws of physics (However, in Friedrichs’ paper, this system is discussed in the form of the ordinary Schrödinger equation, which is not in second quantized form, as a coupled system of point spectra and continuous spectra.) As explained below, Friedrichs’ model gives a non-trivial solution due to the resonance singularity. By focusing on this, we can understand that from an equation that is symmetrical in the direction of time, broken time symmetric solutions can be obtained without contradicting mathematics.
Let us emphasize, however, that instead of performing second quantization the normal modes are treated below as classical quantities. Hence, instead of commutation relations, these modes obey the Poisson bracket in the form
{ f , g } = i α f q α g q α * f q α * g q α ,
Here, the subscript α corresponds to the normal mode of the particle 1 or the field mode k. Notice we use the conventional discrete notation as short-hand; for the continuous variable α = k , the summation must be replaced with integration over k. The system normal modes can be shown to obey the specific relations
{ q 1 , q 1 * } = i , { q k , q k * } = i δ ( k k ) , { q α , q β } = 0 ,
in which β is also 1 or k but α β . The above three relations are precisely analogous to those we would obtain from the commutators if we had imposed second quantization. Since the algebra in the two cases exactly the same, the results obtained for the present case are precisely analogous to those we would find in the quantum case. Because our present classical theory can be treated precisely in parallel with the quantum case, we refer to the present model as the classical Friedrichs model.
Since the Hamiltonian (4) appears in bilinear form, it is strictly diagonalizable with respect to new normal modes by the so-called Bogoliubov transformation [8]. The idea that we propose here in solving the classical radiation damping problem is to replace the quantum mechanical commutation relation with the Poisson bracket relation and, so to speak, classicalize the quantum system, since the Poisson bracket relation and the commutation relation are algebraically isomorphic. This means that an exact solution in quantum mechanics can be directly rewritten as an exact solution in classical mechanics.
Before considering the problem of irreversibility by damping of the accelerated motion of the electron in the waveguide, first consider the case that there is no waveguide wall, that is, ω c = 0 (the free-space case). Moreover, let us first consider a hypothetical situation where no damping occurs, that is, a fictitious case where ω 1 < 0 (we emphasize that this is physically meaningful in the quantum case, but is not actually possible for a classical system). We will see that for this fictitious case in classical mechanics the charged particle cannot decay by emitting light, even though it is moving with circular acceleration. If there were no waveguide walls, this would not be possible under classical mechanics, and the motion of charged particles that undergo acceleration would always emit light and be decayed. But, in quantum mechanics, the electron with negative energy corresponds to a bound state, so it is possible to continue the motion and remain in a stable state. In fact, as we will show later, even in classical mechanics, if cyclotron motion occurs inside a waveguide made of a perfect conductor, there is indeed a situation that the accelerated motion will continue without light emission, just as in quantum mechanics. It seems instructive to explain this hypothetical situation in preparation for understanding the mechanism of classical radiation damping.
In this fictitious case, the frequency denominator ω 1 ω k cannot be zero, so the system has no resonance singularity because ω k 0 . In this case, the Hamiltonian (4) can be diagonalized as
H = ω ˜ 1 Q 1 * Q 1 + + d k ω k Q k * Q k ,
where the renormalized normal modes Q 1 and Q k are given by the linear classical Bogoliubov transformation,
Q 1 = N 1 ω 1 + ω ˜ 1 2 ω 1 q 1 + ω 1 ω ˜ 1 2 ω 1 q 1 * + λ d k V k ω k ω ˜ 1 q k + V k * ω k + ω ˜ 1 q k * , Q k = q k 2 λ ω 1 V k * ξ + ( ω k ) ω k + ω 1 2 ω 1 q 1 ω k ω 1 2 ω 1 q 1 *
+ λ d k V k ω k ω k i ε q k + V k * ω k + ω k q k * ,
with the infinitesimal ε > 0 . For brevity, we leave the limit ε 0 implicit from this point forward.
The renormalized normal modes are fixed by the Green function boundary values G ( ζ ) 1 / ξ ( ζ ) , in which ω , ξ ± ( ω ) ξ ( ω ± i 0 ) . The function ξ ( ζ ) is given by
ξ ( ζ ) ζ 2 ω 1 2 4 λ 2 ω 1 d k ω k | V k | 2 ζ 2 ω k 2 .
We use the analytic continuation indicated in Eq.(10) for t > 0 . For the case without the waveguide wall and the no resonance singularity ( ω 1 < 0 ), we have the the renormalized real frequency ω ˜ 1 associated with the mode Q 1 , which is the solution of the dispersion equation on the first Riemann sheet,
ξ ( ω ˜ 1 ) = 0 .
The quantity N 1 is the normalization factor for mode Q 1 and is given by
N 1 1 2 ω 1 d ξ ( ζ ) d ζ ζ = ω ˜ 1 1 2 .
Corresponding to Eq.(7), we have the relations,
{ Q 1 , Q 1 * } = i , { Q k , Q k * } = i δ ( k k ) , { Q α , Q β } = 0 .
The inverse transformation is given by
q 1 = N 1 ω ˜ 1 + ω 1 2 ω 1 Q 1 ω ˜ 1 ω 1 2 ω 1 Q 1 *
λ d k ( ω k + ω 1 ) V k ξ ( ω k ) Q k + ( ω k ω 1 ) V k * ξ + ( ω k ) Q k * , q k = Q k λ N 1 V k * Q 1 ω ˜ 1 ω k + Q 1 * ω ˜ 1 + ω k
+ 2 λ 2 ω 1 V k * d k V k ξ ( ω k ) ( ω k ω k i ε ) Q k + V k * ξ + ( ω k ) ( ω k + ω k ) Q k * .
We next define the action of the Liouvillian operator L H on a given function f, which is written as the Poisson bracket of f with the Hamiltonian H in the form
L H f i { H , f } ,
where the imaginary factor i has been introduced to guarantee that the Liouvillian acts as a Hermitian operator within the Hilbert space. The Liouvillian is an operator which generates the time evolution in classical dynamics as
A ( t ) = e + i L H t A ( t )
for physical variable A, and
ρ ( t ) = e i L H t ρ ( t )
for state function ρ in the phase space. Equation (18) corresponds to the Heisenberg representation and Eq.(19) corresponds to the Shorödinger representation, respectively. In the representation that diagonalizes the Hamiltonian (8), it is given by
L H = α Ω α Q α * Q α * Q α Q α ,
where Ω 1 ω ˜ 1 and Ω k ω k with the same rule of the summation sign presented at Eq.(6).
Using Eq.(8), the equation of motion for the renormalized electron mode Q 1 is given by
i d Q 1 d t = L H Q 1 = Ω 1 Q 1 .
This equation shows that Q 1 is an eigenfunction of the Liouvillian with the eigenvalue Ω 1 = ω ˜ 1 . We have the solution of this equation as
Q 1 ( t ) = e i ω ˜ 1 t Q 1 ( 0 ) .
Similarly, we obtain,
Q k ( t ) = e i ω k t Q k ( 0 ) .
Then, using the Bogoliubov transformation (Eqs.(9) and (10)) and inverse transformation (Eqs.(15) and (16)), we can obtain the solution for the original variables q 1 ( t ) and q k ( t ) for arbitrary initial conditions. As one can see there are no exponentially decaying terms in time. Hence, the charged particle would maintain its trajectory without exponential damping for this fictitious situation with ω 1 < 0 in classical mechanics. We have obtained this hypothetical result for the classical case. Meanwhile, for the corresponding quantum case, the bound state solution really does exist that corresponds to the above classical solution. In this state, the electron can indeed continue its motion perpetually without emitting photons.
Now that we have described this hypothetical situation, we can now discuss the main subject of this paper, the problem of classical radiative damping. First, as before, we will discuss the case where there is no waveguide, that is, the case ω c = 0 . In classical systems, a resonant singularity always exists because ω 1 0 such that the propagator denominator ω 1 ω k can be zero. As a condition on V k we assume that
ω 1 2 + 4 λ 2 ω 1 d k ω k | V k | 2 ζ 2 ω k 2 > 0 .
This implies G ( ζ ) is analytic with no singularities on the first Riemann sheet of the complex ζ 2 plane with the cut [ ω c 2 , ) (this applies for the case ω c = 0 without the waveguide as well).
In that case, it can be shown that Q 1 in Eq.(9) diverges and the given Bogoliubov transformation becomes meaningless. Furthermore, in that case, the dispersion relation ξ ( ζ ) = 0 no longer has a real solution, and through a cut starting from the branch point of ζ = 0 on the complex ζ -plane, this dispersion relation has instead complex-valued solutions at ζ = ω ˜ 1 ± i γ with γ > 0 in the second Riemann sheet. The solution of ξ ( ζ ) = 0 ,
ζ = z 1 ω ˜ 1 i γ
leads to the decay process in the future t > 0 . Therefore, there is a possibility that this solution is the correct solution when describing the decay process of classical cyclotron motion.
The crucial part of the contribution that Friedrichs showed with quantum systems is that Q 1 is not necessary for diagonalization, as the modes corresponding to Q k in the above Eq.(10) alone form a complete set for describing the system [9]. The result applies to our classical system by simply replacing the commutation relation between canonical variables with a Poisson bracket relation. As a result, the Hamiltonian of the system is not the form of the expression in Eq.(8), but instead is diagonalized, as in
H = + d k ω k Q k * Q k .
This is what we call the Friedrichs solution to the classical radiation problem. In this case, Q k ( t ) = Q k ( 0 ) exp [ i ω k t ] is obtained exactly as the solution for each mode of the continuous wave number. We can substitute that solution into the inverse Bogoliubov transformation (15) with Q 1 set to zero and perform the contour integral with respect to the continuous variable k to obtain the original mode q k . In doing so, further calculating the contribution from the pole at ζ = z 1 of this fraction coming from the factor 1 / ξ + ( ζ ) , we find that the original normal mode q 1 of the electron has a factor exp [ i z 1 t ] that decays and oscillates according to the complex frequency z 1 . In this way one can describe the process of radiation damping without contradiction with the fundamental principles of mechanics such as the runaway solution in the Abraham-Lorentz equation. The above means that, as far as the motion of the original modes interacting with each other is concerned, the phenomenon of radiation damping can technically be described without contradicting the dynamical principles based on the fundamental laws of physics.

4. Complex normal modes and broken time-symmetry

However, in Friedrichs’ solution above, the charged particle modes have disappeared from the renormalized modes that move independently of each other as a result of diagonalizing the Hamiltonian. This raises a new question. That is, can there really be an independent mode, i.e., an eigenstate of the Liouvillian, of a renormalized charged particle with decaying oscillation with the above complex frequency z 1 . On this question we have an affirmative solution. In that case, however, the function space describing the motion must necessarily be extended to a non-Hilbert space in order to allow the Liouvillian, which can only act as a Hermitian operator in the original Hilbert space, to have complex eigenvalues z 1 . Below is a brief sketch of the complex normal modes and their derivation in that extended function space. For more details, see reference [22].
Let us illustrate it only for the case ω c = 0 . As discussed below, the case in a waveguide, i.e., ω c 0 , is more complicated than the example given here, so we will leave that for future works. With complex eigenvalues, renormalized modes for the unstable particle are given by a pair of dual forms as follows
Q 1 * = N 1 ω 1 + ω ˜ 1 2 ω 1 q 1 * + ω 1 ω ˜ 1 2 ω 1 q 1 + λ d k V k * [ ω k ω ˜ 1 ] + q k * + V k ω k + ω ˜ 1 q k ,
Q ˜ 1 = N 1 ω 1 + ω ˜ 1 2 ω 1 q 1 + ω 1 ω ˜ 1 2 ω 1 q 1 * + λ d k V k [ ω k ω ˜ 1 ] + q k + V k * ω k + ω ˜ 1 q k * .
Here, the + sign attached to the parentheses of the frequency denominator of 1 / [ ζ ω 1 ] is a function analytically continued from above the branch cut into the lower half of the complex ζ -plane. Note that the direction of the analytic continuation in Eq.(27) is the same as in Eq.(28). In this case, the normalizing factor N 1 is essentially complex, even without the phase factor, unlike in the Hilbert space case.
Furthermore, renormalized modes for the field are given by a pair of dual forms as follows
Q k * = q k * 2 λ ω 1 V k ξ d + ( ω k ) ω k + ω 1 2 ω 1 q 1 * ω k ω 1 2 ω 1 q 1
+ λ d k V k * ω k ω k + i ε q k * + V k ω k + ω k q k , Q ˜ k = q k 2 λ ω 1 V k * ξ + ( ω k ) ω k + ω 1 2 ω 1 q 1 ω k ω 1 2 ω 1 q 1 *
+ λ d k V k ω k ω k i ε q k + V k * ω k + ω k q k * .
Here,
1 ξ d + ( ω k ) 1 ξ + ( ω k ) z 1 ω k [ z 1 ω k ] + ,
is the so-called delayed analytically-continued function, which is a function defined such that the effect of the pole of 1 / ξ + ( ω k ) at ω k = z 1 on the lower-half plane is canceled [6].
These dual complex normal modes satisfy relations such as
{ Q ˜ 1 , Q 1 * } = i , { Q ˜ k , Q k * } = i δ ( k k ) , { Q ˜ α , Q ˜ β } = 0 ,
and so on, corresponding to Eq.(14).
These dual modes were obtained by analytically continuing the integral path to the complex ω k -plane in the integral of the Hamiltonian (26) written using Friedrichs’ solution, separating the ω k = z 1 pole from its contour integral, and letting it be given to the renormalized complex mode corresponding to the charged particle.Then, by this dual mode, the Hamiltonian is diagonalized into a dual form as
H = z 1 Q 1 * Q ˜ 1 + + d k ω k Q k * Q ˜ k .
Using these complex renormalized modes, the Liouvillian is given by (as z k ω k )
L H = α z α Q α * Q α * Q ˜ α Q ˜ α ,
where the summation sign follows the same rules as Eq.(6).
From this expression, we obtain
i d Q ˜ 1 d t = L H Q ˜ 1 = z 1 Q ˜ 1
corresponding to Eq.(21). Thus, we obtain a damped oscillating solution Q ˜ 1 ( t ) = exp [ i z 1 t ] Q ˜ 1 ( 0 ) of the Liouvillian with complex eigenvalue z 1 .
The above reveals that in the presence of a resonance singularity, the Liouvillian can have complex eigenvalues when the function space in which it acts is extended to the non-Hilbert dual space, which can include renormalized complex normal modes that break time-symmetry without contradicting the fundamental laws of physics. By using this representation, it is possible to discuss in detail not only the phenomena of damping of the motion of charged particles in classical mechanics, but also the nature of the light emitted in the process, based on the principles of dynamics. Thus, it provides a theoretical basis for discussing the various properties of light emitted from cyclotron motion of charged particles in a self-consistent way.

5. Classical radiation of the cyclotron motion in a waveguide

So far we have considered the emission of light in the free-space case ω c = 0 . In this section we will consider the case ω c > 0 , i.e., the emission from cyclotron motion of a charged particle in a waveguide. There are several interesting emission phenomena here that could not occur in the case ω c = 0 . In the following, we will only present the main results with a brief discussion. The detailed calculations are presented in Ref.[21].
One of the interesting results is that ω c > 0 allows for the situation 0 < ω 1 < ω c in which the resonance singularity does not appear, without having to assume the fictitious situation ω 1 < 0 that we considered previously for the free-space case ω c = 0 . In this case, as in the bound state in quantum mechanics, the classical charged particle can reside in a stable mode without emitting light, even though it experiences accelerated motion. And in this case, the Bogoliubov transformation (9) and (10) allow for an analytical description of cyclotron motion.
In addition, the density of states contains a singularity in the 1-D case that is revealed by integrating with respect to frequency ω k instead of wavenumber k, as can be seen from
+ d k f ( k ) = ω c + d ω k D ( ω k ) f ( k ( ω k ) ) .
Here the density of states D ( ω k ) is given by
D ( ω k ) d k d ω k = ω k c ω k 2 ω c 2 .
This gives a branch point in complex ω k -space with a divergence occurring at ω k = ω c (see Figure 1). This is equivalent to the Van Hove singularity from solid state physics [19,20], and leads to interesting new physics in the present context.
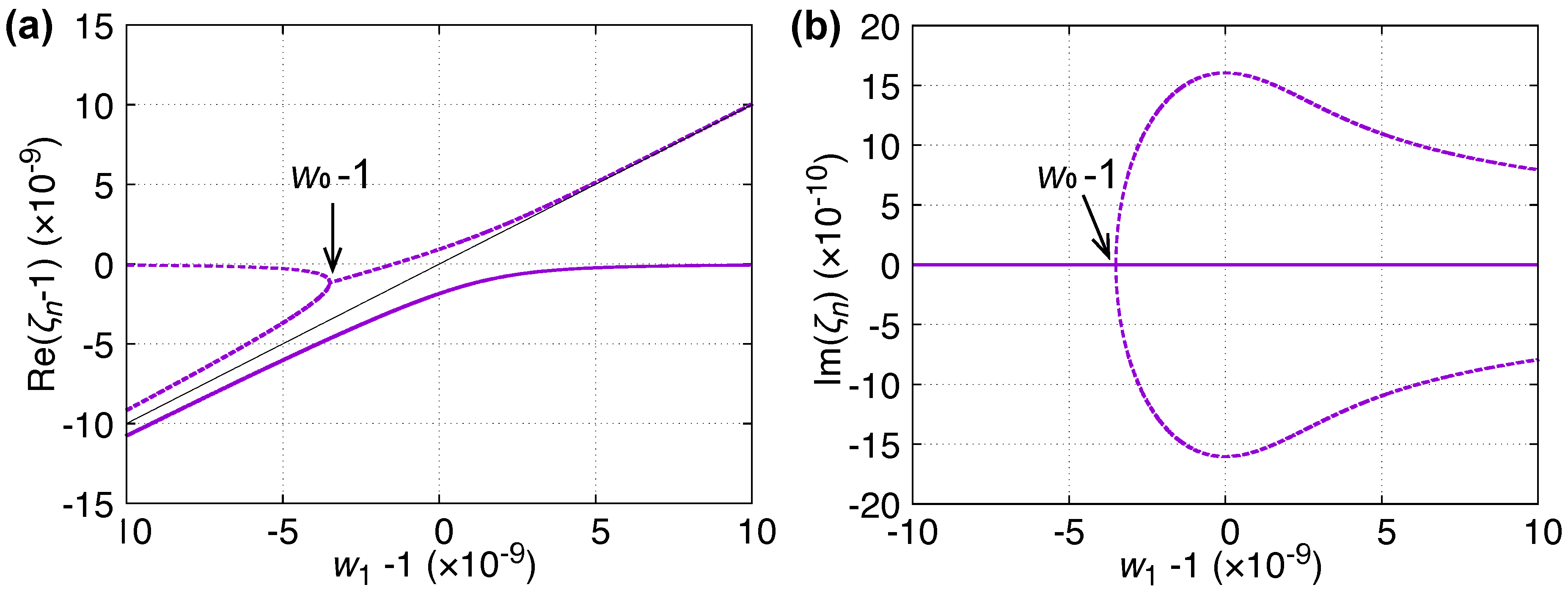
One of the significant results of this classical Van Hove singularity is that it can be shown that the stationary mode Q 1 with real eigenfrequency Ω 1 always exists regardless of the value of ω 1 . This is in contrast to the case ω c = 0 discussed above. To see this fact, we plot the solution of the dispersion equation ξ ( ζ ) = 0 for a waveguide of rectangular cross section in Figure 2 (see [21] for details). For this case, the dispersion equation is the cubic equation for ζ 2 .
In this figure, all frequency variables are measured in units of ω c , such as the dimensionless frequency w 1 ω 1 / ω c . We plot here only the solutions with Re [ ζ ] > 0 . There are also solutions with Re [ ζ ] < 0 corresponding to the negative of the solutions for Re [ ζ ] > 0 . For Re [ ζ ] > 0 there are three solutions that we call ζ n with n = 0 , 1 , 2 . In this figure we plot the solutions ζ n near the cut-off frequency (which in turn coincides with the Van Hove singularity). The lines in Figure 2(a) are for Re [ ζ ] , and the lines in Figure 2(b) are for Im [ ζ ] . The unbroken line in these plots represents the bound state with real eigenvalue ζ 0 ; meanwhile the complex solutions ζ 1 and ζ 2 are given by the dashed lines. The resonance state eigenvalue is given by that with negative imaginary part, while the anti-resonance corresponds to the eigenvalue with positive imaginary part.
Further, notice that the imaginary part of the eigenvalue for ζ 1 and ζ 2 spontaneously appears at the point w 1 = w 0 on the w 1 1 axis in Figure 2(a). Immediately before the appearance of the imaginary part of the eigenvalues, the solutions ζ 1 and ζ 2 coalesce into a single state at a so-called exceptional point [23,24,25,26,27,28]. The usual diagonalization scheme and other mathematical properties of the model break down at this point [23,26], while dynamical and spectral properties of the physical system can be significantly modified [18,28]. For present purposes we keep our focus on the Van Hove singularity itself but the interested reader is encouraged to see the related presentation in Ref. [18].
An interesting consequence of the classical Van Hove singularity is that when ω 1 is tuned near the cut-off ω c (equivalently, w 1 is close to the value 1), the decay rate of the cyclotron motion (absolute value of the non-zero imaginary part of ζ n ) is intensely magnified, assuming we have a small coupling constant λ 1 . Indeed, the exact solution for the resonance from the cubic equation above reveals that the decay rate acquires a λ 4 / 3 dependence on the coupling λ near the Van Hove singularity. If we then gradually increase the value of ω 1 so that it takes a value significantly above the Van Hove singularity, the decay rate gradually decreases and eventually takes on the usual λ 2 dependence, which is often obtained through the so-called Fermi golden rule in the corresponding quantum problem [10,21]. Indeed, near the cut-off we have the amplification ratio λ 4 / 3 / λ 2 = λ 2 / 3 10 4 1 for the electron cyclotron motion with λ 10 6 . Note that this λ 4 / 3 behavior can be understood as resulting from an exceptional point that coincides with the cut-off frequency in the limit λ 0 [18].
In this case, as discussed above, it is possible to introduce a representation in non-Hilbert space that incorporates a decay mode corresponding to the complex solution. However, we will not show the specific form of such a representation here, but leave it for future work.
When the cyclotron frequency is tuned near the cut-off, there is another significant effect that is completely ignored in the derivation of the Abraham-Lorentz equation.That is the branch point contribution coming from the lower bound of integration over the frequency ω k (see Eq.(36)) [29,30]. The solution to the dispersion equation obtained above gives the contribution from the poles in the integration over ω k . And if the imaginary part of the pole is non-zero, it gives an exponential decay contribution in time to the cyclotron motion as a Markovian process. In contrast, the contribution from the branch point gives a non-exponential contribution to the cyclotron motion as a non-Markov process [18,29,30].
We plot the electric field associated with the particle as time evolves in Figure 3 for three different values of the dimensionless frequency w 1 . In each panel the field is resolved into the absolute value of the contribution coming from the pole (unbroken line) and that coming from the branch point effect (dotted line). In Figure 3(a) we show the case in which w 1 is far above the cut-off frequency at w 1 = 1 , while in (b) we show the case in which w 1 near but slightly above the cut-off frequency, and (c) that in which w 1 is exactly at the cut-off (see [21]). The case (a) corresponds to that where the Fermi golden rule holds (hence, the Abraham-Lorentz equation is a good approximation). In this case, the branch point effect is negligible on the timescale of the relaxation time of order λ 2 . Hence the evolution is described as a Markov process to a good approximation. The cases (b) and (c) correspond to those where the Abraham-Lorentz equation is not applicable. In the case (b) there is a moderately long timescale where the exponential decay is dominant with a much larger decay rate compared to λ 2 . Further, we see that the timescale of the non-Markov process becomes much longer on the short timescale and much shorter on the long timescale compared to the case (a). In the case (c) we see that the non-Markov process cannot be neglected on any time scale.
These results show that, if we adjust the external magnetic field B in such a way that the cyclotron frequency ω 1 is close to the cut-off frequency, the cyclotron motion emits a huge intensity of light per unit time as compared with the case the cyclotron frequency is deeply embedded in the electromagnetic continuum (Fermi region). At the same time, we can observe in Figure 3(b) and (c) the non-Markovian effect near the cut-off frequency, which is difficult in experiment in the usual situation.

6. Summary and concluding remarks

We have presented our approach to the problem of classical radiation damping that sidesteps the problems associated with the Abraham-Lorentz equation, which is derived from the Liénard-Wiechert potentials that fail to account for the back-reaction on the particle from the field it emits during the damping process. Essentially, we have taken advantage that the decay process can already be described in a self-consistent manner in the second-quantized Friedrich model by replacing the commutation relation from the quantum formalism with the Poisson bracket relation that is applicable in the classical context. Hence, we termed our method classicalization of quantum mechanics.
Using this approach, we obtained an internally consistent description of classical radiation damping for the case of electrons undergoing cyclotron motion. Essentially, we have accounted for the influence of the emitted field on the particle itself when we exactly evaluated the integral term in Eq.(11), which is equivalent to the self-energy function from the quantum theory. Since our method does not rely on phenomenological approximations such as time-averaging that are used to obtain the Abraham-Lorentz equation, we have avoided the well-known problems in describing radiation damping in classical electrodynamics. Instead, we have relied on only two rather mild approximations: the dipole approximation and the neglection of field-field interactions. These approximations do not introduce any of the conceptual problems like the runaway solution discussed in Sec. Section 2.
However, our treatment by no means leads to all the same results as quantum mechanics. In fact, the behavior of the vacuum in the quantum theory is decisively different from that in classical mechanics. We will leave the discussion of this difference for another time.
Furthermore, in this paper, we have discussed the radiation damping process in situations that are beyond the scope of the Abraham-Lorentz theory. When the electron undergoing cyclotron motion in the waveguide is rotating with a frequency near the cut-off frequency, the usual perturbation theory based on the series expansion of the coupling constant used to derive the Abraham-Lorentz equation cannot be applied because the Van Hove singularity strongly modifies the system properties, introducing non-analytic dependence on the coupling constant.
Using our approach, we have found that near the cut-off frequency, the decay rate of cyclotron motion is much larger than in other frequency regions, resulting in the emission of a huge amount of light per unit time. Furthermore, we have pointed out that the phenomena of non-Markov processes, which are difficult to observe in the usual frequency region, become non-negligible near the cut-off frequency region of the cyclotron motion. This result indicates a possibility that non-Markov processes can be observed near this region.
In closing this paper, we would like to make two more remarks. The first remark is the fact that optical vortices with angular momentum have been observed in cyclotron radiation, a phenomenon that has been in the spotlight in recent years [31,32]. As mentioned in the introduction, cyclotron motion is ubiquitous in nature. Therefore, radiation that produces optical vortices should also occur in many places in nature. By applying our analysis to a cylindrical waveguide, we have already shown that by tuning the cyclotron frequency near the cut-off corresponding to any TE mode or TM mode in the waveguide, we can selectively emit optical vortices with the desired angular momentum. This is a consequence of the existence of the Van Hove singularity. We will present the details of this analysis elsewhere.
Another remark we would like to mention is that from the perspective of the irreversibility problem caused by the resonance singularity, research to theoretically elucidate the generation of optical vortices based on the basic principles of classical mechanics has only just begun. This problem of irreversibility, which covers a wide range of fields in physics, is likely to be an attractive subject that will lead to more and more interesting discoveries in the future.

Author Contributions

The authors contributed equally to this manuscript. All authors have read and agreed to the published version of the manuscript..

Funding

Y.G. acknowledges support from the Japan Society for the Promotion of Science (JSPS) under KAKENHI Grant No. 22K14025 and from the Research Enhancement Strategy Office in the National Institute for Fusion Science. S.G. acknowledges support from JSPS under KAKENHI Grant No. 18K03466.

Data Availability Statement

Not applicable.

Acknowledgments

We thank Dr. Satoshi Tanaka, Dr. Hiroaki Nakamura and Dr. Naomichi Hatano for helpful discussions related to this work.

Conflicts of Interest

The authors declare no conflict of interest.

References

  1. Landau, L. D.; Lifshitz, E. M. The Classical Theory of Fields, 2nd ed.; Pergamon: London, UK, 1962. [Google Scholar]
  2. Jackson, J. D. Classical Electrodynamics, 3rd ed.; Wiley: New York, USA, 1998. [Google Scholar]
  3. Lorentz, H. A. La Théorie Électromagnétique de Maxwell et Son Application Aux Corps Mouvants. Arch. Neér; 25, 363, 1892.
  4. Abraham, M. Theorie der Elektrizität. Zweiter Band: Elektromagnetische Theorie der Strahlung. monatshefte für mathematik und physik 1905, 17, A39. [Google Scholar]
  5. Dirac, P. A. M. Classical theory of radiation electrons. Proc. R. Soc. London, Ser. A 1938,149-169.
  6. Petrosky, T.; Prigogine, I.; Tasaki, S. Quantum theory of non-integrable systems. Physica A 1991, 173, 175–242. [Google Scholar] [CrossRef]
  7. Petrosky, T.; Prigogine, I. Advances in Chemical Physics, Volume 99; Prigogine, I., Rice, S., Eds.; John Wiley and Sons: 1996.
  8. Karpov, E.; Prigogine, I.; Petrosky, T.; Pronko, G. Friedrichs model with virtual transitions. Exact solution and indirect spectroscopy. J. Math. Phys. 2000, 41, 118–131. [Google Scholar] [CrossRef]
  9. Friedrichs, K. On the perturbation of continuous spectra. Commun. Pure Appl. Math. 1948, 1, 361–406. [Google Scholar] [CrossRef]
  10. Petrosky, T.; Ting, C.O.; Garmon, S. Strongly Coupled Matter Field and Nonanalytic Decay Rate of Dipole Molecules in a Waveguide. Phys. Rev. Lett. 2005, 94, 043601. [Google Scholar] [CrossRef] [PubMed]
  11. Nakamura, H.; Hatano, N.; Garmon, S.; Petrosky, T. Quasibound States in the Continuum in a Two Channel Quantum Wire with an Adatom. Phys. Rev. Lett. 2007, 99, 210404. [Google Scholar] [CrossRef] [PubMed]
  12. Garmon, S.; Nakamura, H.; Hatano, N.; Petrosky, T. Two-channel quantum wire with an adatom impurity: Role of the van Hove singularity in the quasibound state in continuum, decay rate amplification, and the Fano effect. Phys. Rev. B 2009, 80, 115318. [Google Scholar] [CrossRef]
  13. Yamane, H.; Tanaka, S. Ultrafast Dynamics of High-Harmonic Generation in Terms of Complex Floquet Spectral Analysis. Symmetry 2018, 10, 313. [Google Scholar] [CrossRef]
  14. Tanaka, S.; Kanki, K. Dissipative dynamical Casimir effect in terms of complex spectral analysis in the symplectic Floquet space. Prog. Theor. Exp. Phys. 2020, 2020, 12A107. [Google Scholar] [CrossRef]
  15. Tanaka, S.; Kanki, K. The Dynamical Casimir Effect in a Dissipative Optomechanical Cavity Interacting with Photonic Crystal. Physics 2020, 2, 34. [Google Scholar] [CrossRef]
  16. Gadella, M.; Pronko, G. P. The Friedrichs model and its use in resonance phenomena. Fortschr. Phys. 2011, 59, 795. [Google Scholar] [CrossRef]
  17. Horwitz, L. P..; Marchand, J.-P. The Decay-Scattering System Rocky Mountain J. Math. 1971, 1, 225.
  18. Garmon, S.; Ordonez, O.; Hatano, N. Anomalous-order exceptional point and non-Markovian Purcell effect at threshold in one-dimensional continuum systems. Phys. Rev. Res. 2021, 3, 033029. [Google Scholar] [CrossRef]
  19. Mahan, G. D. Many-Particle Physics, 2nd Ed.; Plenum; New York, USA, 1990.
  20. Van Hove, L. The Occurrence of Singularities in the Elastic Frequency Distribution of a Crystal. Phys. Rev. 1953, 89, 1189. [Google Scholar] [CrossRef]
  21. Goto, Y.; Garmon, S.; Petrosky, T. Enhanced classical radiation damping of a cyclotronic electron in the vicinity of the Van Hove singularity in a waveguide. arXiv:2311.08121v2 [physics.class-ph]. arXiv:2311.08121v2 [physics.class-ph].
  22. Petrosky, T.; Ordonez, O.; Prigogine, I. Radiation damping in classical systems: The role of nonintegrability. Phys. Rev. A 2003, 68, 022107. [Google Scholar] [CrossRef]
  23. Kato, T. Perturbation Theory for Linear Operators, Springer-Verlag, Berlin, 1980.
  24. Berry, M. V. Physics of nonhermitian degeneracies. Czech J. Phys. 2004, 54, 1039. [Google Scholar] [CrossRef]
  25. W. D. Heiss, The physics of exceptional points, J. Phys. A: Math. 2012, 45, 444016.
  26. Demange, G.; Graefe, E.-M.; Signatures of three coalescing eigenfunctions. J. Phys. A: Math. Theor. 2012, 45, 025303.
  27. Garmon, S.; Gianfreda, M.; Hatano, N. Bound states, scattering states, and resonant states in PT-symmetric open quantum systems. Phys. Rev. A 2015, 92, 022125. [Google Scholar] [CrossRef]
  28. Miri, M.-A.; Alù, A. Exceptional points in optics and photonics, Science 2019 363, 42.
  29. Khalfin, L. A. Contribution to the decay theory of a quasi-stationary state. Sov. Phys. JETP 1958, 6, 1053. [Google Scholar]
  30. Fonda, L.; Ghirardi, G. C.; Rimini, A. Decay theory of quantum systems. Rep. Prog. Phys. 1978, 41, 587. [Google Scholar] [CrossRef]
  31. Katoh, M.; Fujimoto, M.; Kawaguchi, H.; Tsuchiya, K.; Ohmi, K.; Kaneyasu, T.; Taira, Y.; Hosaka, M.; Mochihashi, A.; Takashima, Y. Angular Momentum of Twisted Radiation from an Electron in Spiral Motion. Phys. Rev. Lett. 2017, 118, 094801. [Google Scholar] [CrossRef] [PubMed]
  32. Katoh, M.; Fujimoto, M.; Mirian, N. S.; Konom, T.; Taira, Y.; Kaneyasu, T.; Hosaka, M.; Yamamoto, N.; Mochihashi, A.; Takashima, Y.; Kuroda, K.; Miyamoto, A.; Miyamoto, K.; Sasaki, S. Helical Phase Structure of Radiation from an Electron in Circular Motion. Sci. Rep. 2017, 7, 6139. [Google Scholar] [CrossRef] [PubMed]
Figure 1. Density of states from Eq.(37) plotted in units of 1 / c . The vertical line indicates the cut-off frequency at which the classical Van Hove singularity occurs.
Figure 1. Density of states from Eq.(37) plotted in units of 1 / c . The vertical line indicates the cut-off frequency at which the classical Van Hove singularity occurs.
Preprints 91940 g001
Figure 2. (a) Eigenvalue real parts and (b) imaginary parts near the classical Van Hove singularity. The bound state ζ 0 is shown with the unbroken line, while ζ 1 and ζ 2 are plotted with dashed lines. The damping rate (decay rate) is given by the imaginary part of ζ 1 in (b). The maximum decay rate at the cut-off ( w 1 1 = 0 ) is enhanced by a factor 10 4 over the Fermi region ( w 1 1 0 ) , which occurs on the rightmost part of the graph. Figures borrowed from Ref.[21].
Figure 2. (a) Eigenvalue real parts and (b) imaginary parts near the classical Van Hove singularity. The bound state ζ 0 is shown with the unbroken line, while ζ 1 and ζ 2 are plotted with dashed lines. The damping rate (decay rate) is given by the imaginary part of ζ 1 in (b). The maximum decay rate at the cut-off ( w 1 1 = 0 ) is enhanced by a factor 10 4 over the Fermi region ( w 1 1 0 ) , which occurs on the rightmost part of the graph. Figures borrowed from Ref.[21].
Preprints 91940 g002
Figure 3. Pole contribution (unbroken line) and branch point contribution (dotted line) to the electric field as time evolves for three values of w 1 : (a) in the Fermi region, (b) slightly above the cut-off frequency, and (c) exactly at the cut-off (so that w 1 coincides with the Van Hove singularity). The horizontal axis shows the dimensionless time τ ω c t presented in units 1 / ω c . The vertical axis shows the dimensionless electric fields presented in units of E 1 E p , p ( 0 , 1 ) , which is the initial value of the electric field for the pole effect in the Fermi region. Figures borrowed from Ref.[21].
Figure 3. Pole contribution (unbroken line) and branch point contribution (dotted line) to the electric field as time evolves for three values of w 1 : (a) in the Fermi region, (b) slightly above the cut-off frequency, and (c) exactly at the cut-off (so that w 1 coincides with the Van Hove singularity). The horizontal axis shows the dimensionless time τ ω c t presented in units 1 / ω c . The vertical axis shows the dimensionless electric fields presented in units of E 1 E p , p ( 0 , 1 ) , which is the initial value of the electric field for the pole effect in the Fermi region. Figures borrowed from Ref.[21].
Preprints 91940 g003
Disclaimer/Publisher’s Note: The statements, opinions and data contained in all publications are solely those of the individual author(s) and contributor(s) and not of MDPI and/or the editor(s). MDPI and/or the editor(s) disclaim responsibility for any injury to people or property resulting from any ideas, methods, instructions or products referred to in the content.
Copyright: This open access article is published under a Creative Commons CC BY 4.0 license, which permit the free download, distribution, and reuse, provided that the author and preprint are cited in any reuse.
Prerpints.org logo

Preprints.org is a free preprint server supported by MDPI in Basel, Switzerland.

Subscribe

Disclaimer

Terms of Use

Privacy Policy

Privacy Settings

© 2026 MDPI (Basel, Switzerland) unless otherwise stated