Preprint
Article

This version is not peer-reviewed.

The Push Forward in Rehabilitation; Validation of a Machine Learning Method for Detection of Wheelchair Propulsion Type

A peer-reviewed article of this preprint also exists.

Submitted:

15 December 2023

Posted:

18 December 2023

You are already at the latest version

Abstract
Within rehabilitation, there is great need for a simple method to monitor wheelchair use, especially whether it is active or passive. For this purpose, an existing measurement technique was extended with a method for detecting self or attendant pushed wheelchair propulsion. The validity was determined by comparison with manual annotation of wheelchair use. Twenty-four amputation and stroke patients completed a semi-structured course of active and passive wheelchair use. Based on a machine learning approach, a method was developed that detected the type of movement. The machine learning method was trained based on the data of a single wheel sensor as well as a setup using an additional sensor on the frame. The method showed high accuracy (F1 = 0.886, frame and wheel sensor) even if only a single wheel sensor was used (F1 = 0.827). The developed and validated measurement method is ideally suited to easily determine wheelchair use and the corresponding activity level of patients in rehabilitation.
Keywords: 
;  ;  ;  ;  

1. Introduction

The health benefits of a more active lifestyle are becoming increasingly clear, but so are the short- and long-term health dangers of insufficient exercise [1]. Yet, people with disabilities are significantly less (16–62%) likely to meet physical activity guidelines, making them more susceptible to inactivity related health problems than the general population [2]. Lower-limb orthopedic patients in inpatient rehabilitation do much less physical activity than recommended in guidelines, especially in the elderly population [3]. In stroke patients, physical activity is recommended, yet most of the time patients spend their time sedentary [4] even if they can walk. For wheelchair bound stroke or amputee patients, sedentary time will be even more prevalent. For the activity level of this target group, it is more important that they use the capacities they still have. So, given that they are wheelchair-bound, it is important that they push the wheelchair manually as often as possible.
It is therefore essential to have a good understanding of the activity pattern of people with disabilities, and to be able to give individuals insight into their physical activity behavior. However, there are only a few measurement methods that are easy to use and particularly focused on activity level within Manual Wheelchair Users (MWUs). A method that does meet these requirements is a prerequisite for collecting more data on activity patterns within the MWU target group. This method should be applicable within both clinical and outpatient settings. With more insight into the physical activity behavior of wheelchair users in the different rehabilitation stages, more targeted advice can be given, allowing these patients to monitor their ability to follow the rehabilitation doctor's advice at an individual level using the same measurement method.
Intervention studies regarding Behavior Change Techniques (BCTs) [5] report tools like self-monitoring as effective elements [6] for changing activity patterns in people. Those BCTs rely on tools available for accurately monitoring physical activity, but for manual wheelchair users (MWUs) activity monitors are scarce, especially for quantifying free-living lifestyle behaviors. Although well validated for wheelchair movement, methods often show limited validity for distinguishing between self- and attendant-propulsion [7] if no body worn sensors are incorporated. Especially for certain MWU groups with alternative propulsion modes like one hand and one foot, typically leading to overestimation of active time for MWUs [8]. In wheelchair sports, reliable Inertial Measurement Unit (IMU) based methods are available to measure mobility performance [9]. The accelerometers, gyroscopes and magnetometers in these IMUs are used to measure wheelchair kinematics that are recalculated to wheelchair mobility performance characteristics, like distance traveled, speed, accelerations, turns and so on. But with a focus on sports this method was never validated for distinguishing between self-pushing or being pushed. Once validated, this method could be very beneficial in rehabilitation, since it would provide important information about the activity level of wheelchair users, by providing mobility characteristics over the course of the day, but then also whether it was performed by the user or an attendant.
The success of using a physical activity monitoring method depends on its ease of use and validity for the entire target group of MWUs. For ease of use, it is important that the instrumentation is as simple as possible, with as few sensors as possible and preferably not worn on the body. For validity, it is important that the measurement system works well not only for the average wheelchair user, but also for people with alternative, somewhat less conventional patterns in propulsion. Popp et al. [7] described multiple IMU-sensor configurations for detecting active or passive wheelchair use, with the best results if both accelerometer and gyroscope data of multiple sensors were used (93% accuracy) compared to only accelerometer-based predictions (82%). Within an IMU, a selection can be made of which sensors are actively used, to match usage in terms of frequency and data to the application. Although still more power consuming than accelerometers, due to recent technological advancement, the gyroscopes in a miniature IMU can easily be used for over a week. So, there is less limitation in using gyroscopes to measure wheelchair movement, compared to previous studies like Popp [7]. If no body-worn sensors are used, the detection of active or passive propulsion will mainly focus on differences in wheelchair kinematics. Variation in movement (speed and rotational speed) is a good indication of active propulsion. But this is especially true for the more active wheelchair user. For the less active wheelchair user, low speeds and combinations of foot and hand propulsion lead to patterns which are less unambiguous and more difficult to interpret. Therefore, it is important to test wheelchair activity monitoring with actual wheelchair users with different and alternative propulsion patterns that represent the target group, since untrained wheelchair users show different propulsion patterns [10].
This research aims to validate a newly developed method for detecting self or attendant pushed wheelchair propulsion. The method should be able to detect active or passive propulsion in the toughest conditions, so for subjects with a variety of active propulsion techniques in free movement and tasks that are deemed challenging for detection algorithms. In a research setting, it is easy to use a more comprehensive measurement and analysis configuration, so for this investigation into the most appropriate method for measuring active or passive propulsion, multiple sensors were used. Moreover, the method for monitoring physical activity of MWUs should be sensitive to all forms of propulsion. To be able to detect patterns that are less obvious and discern the most subtle differences, a range of machine learning methods was used. The best method regarding accuracy and ease of use, with minimal instrumentation and no body worn sensors, could then be selected.

2. Materials and Methods

2.1. Subjects

Stroke and lower extremity amputation patients admitted to Basalt rehabilitation centre were asked to participate in the study. Participants had to be mainly wheelchair-bound but sufficiently far along in the rehabilitation process to participate safely and responsibly. The inclusion criteria were over the age of 18 years, able to independently transfer safely from bed to wheelchair, and be able to safely move around within the rehabilitation centre.
Twenty-four in-patient MWUs) (2 females, 22 males, age 57.8 ± 12.7) participated in this study of which 11 people recovering from stroke (seven right sided and six left sided) and 13 after amputation (nine uni-lateral trans tibial, one double trans tibial and one uni-lateral trans femoral). Each participant signed a written informed consent after being informed about the procedure and goal of the research project, as described in the ethical approval N21.178 by the Basalt Ethical Commission.

2.2. Device

Two Movesense HR+ sensors (www.movesense.com) were placed in mounts fixed to the right wheel hub and the middle of the crossbars on the frame. The Movesense HR+ is a lightweight (10g including coin cell battery), 10 DOF IMU that connects via Bluetooth to a mobile device running a dedicated app. The 3-axis gyroscope as well as 3-axis acceleration data was retrieved at 50Hz using the Movesense Showcase app from both synchronized sensors and stored as a JSON file on the mobile device for further analysis.

2.3. Measurement

Participants were picked up at their rooms where the sensors were placed on the Quickie loaner wheelchair. They were escorted to an outdoor covered area where they had to perform a series of short wheelchair tests (see Figure 1). These tests consisted of segments of wheelchair motion that were deemed difficult for the distinction on self-pushing or being pushed, due to a lot of rotation and variation in speed. The parts consisted of wheelchair riding: 9m slow, 9m normal speed, 9m slalom and 9m with 2 intermediate stops to almost standstill. These tests were performed both by the attendant pushing the wheelchair and by the participant pushing himself. The participants were asked which propulsion modes they used in daily life and those modes were included in the different tests. So, some stroke patients used 1 hand and 1 foot, whereas one amputation preferred to drive backward with foot (prosthetic leg) propulsion. Based on the propulsion techniques used, the number of tests performed slightly differed. After the more standardized tests, participants drove around the rehab centre in different propulsion modalities and at different surfaces, finishing in their own room again. The measurements took ~25 minutes. The supervisor manually kept track of times for the different propulsion modalities, during the tests and in the free movement through the rehabilitation centre.

2.4. Data processing

Raw sensor data were processed in a custom build Python script to retrieve wheelchair motion as described by van der Slikke [9] and the modified configuration with less sensors described by Rupf [11] and van Dijk [12]. This Python script converted JSON files to IMU data timeseries that were used to calculate basic wheelchair kinematics like wheelchair speed, distance traveled and frame rotation, taking the wheelchair dimensions such as wheel diameter and track width, into account. To develop the algorithm that can distinguish between active and passive wheelchair use, wheelchair movement was divided into contiguous segments of conditional velocity above 0.1 m/s, with segments below 0.1 m/s or of a duration shorter than 2 s disregarded [7] for further analysis. Each segment was labeled active (self-propelled), or passive (pushed by attendant) based on the manual timed annotations by the test supervisor.
Wheelchair mounted sensors provide a substantial range of features available to help in distinguishing the different forms of propulsion. The key feature would be forward speed and derivatives (distance, variation in speed, acceleration), but also changes in direction could be relevant, especially in single hand propulsion. Therefore, frame rotation is also included as a potential feature. To obtain both IMU based forward and frame rotational speed, multiple sensor configurations are possible. The most accurate is a configuration with one wheel-mounted IMU and one frame-mounted IMU, but also a single wheel mounted IMU suffices, albeit less accurate [12]. For this research the results of the single wheel mounted sensor are described in the “wheel-model” (S1, see Figure 2), whereas the results of the model that also incorporates the data of the additional frame mounted sensor is referred to as the “full-model” (S2). The results of both configurations and models will be compared to provide insight in the possible additional value of the second sensor mounted on the frame. Minor offset shifts of the raw gyroscope were corrected by subtracting the mean gyroscope signal values for periods of no motion (<5o/s). Raw gyroscope and accelerometer features of wheel and frame sensor were used as predictors for sensor-based classification of segments. Forward speed is derived from the wheel gyroscope, whereas frame rotational speed is derived from the frame sensor (S2) or solely based on the wheel sensor using the AHRS algorithm (S1) [11] splitting the sensor movement to wheel roll, pitch, and yaw (see Figure 3).
An aggregation-based approach [13,14] was employed to turn these quantities into predictor variables. Hence, the predictors are aggregates and summarize the values of one of the quantities at all timepoints in a segment. For example, a predictor is the median of all values of the angular velocity of the wheel sensor around the yaw axis in a segment. In the approach used, it is important to only have a moderate set of predictors as having too many predictors might negatively influence the generalizability of the model. Therefore, only the median, standard deviation, skewness, and kurtosis are used as aggregate functions [13].

2.5. Performance analysis

The performance of the models was described in accuracy, precision, recall and F1 score [15], based on the True Positive (TP), True Negative (TN), False Positive (FP) and False Negative (FN). The following definitions shall be adopted:
A c c u r a c y =   T P + T N T P + T N + F P + F N P r e c i s i o n   =   T P T P + F P N R e c a l l   =   T P T P + F N F 1   = 2 ×   P r e c i s i o n   × R e c a l l P r e c i s i o n + R e c a l

2.5. Machine Learning

Several machine learning techniques were used to construct models connecting the predictor variables to the binary wheelchair use, being 0 for passive and 1 for active. A priori it is unknown which modeling techniques will perform best and therefore the accuracy of the most common binary classification algorithms were examined: Logistic Regression [16], Support Vector Machine [17], Random Forest [18], Naive Bayes [19] and XGBoost [20].
Based on the sensor configurations (S1&S2, see Figure 2) two models were constructed. In both models, features describing the linear speed and acceleration of the wheelchair, and the angular velocities and accelerations around the roll, pitch and yaw axes (Figure 3) were considered. Depending on whether the full or wheel model is considered, values of the angular velocities and accelerations directly obtained from the gyroscope of the wheel sensor (S1), or frame sensor (S2) were used. A Fast Fourier Transformation (FFT) is applied to decompose the linear speed into a Fourier series, of which the amplitudes of the coefficients were used as input for the model. Additionally, the three-dimensional values of the angular velocities and accelerations directly obtained from the gyroscope of the wheel sensor (S1), or frame sensor (S2) were used. In total 56 predictor variables were used in both models, but their signal origin differed.
Before model training, all highly correlated features (|r| > 0.7) were removed to avoid multicollinearity [21], resulting in 38 remaining predictor values for the S1 and 42 for the S2 model. The data set was randomly split into training and test sets containing 80% and 20% of all data, respectively. To ensure equal distribution over the target variable and cause of disability (stroke or amputation), a stratified sampling was used to ensure that models were equally valid for both types of patients.
The training set was used for model selection and parameter tuning, by applying 10-fold cross validation and using the F1 score as optimization criterium [15]. Then the entire training data set was used to construct the final model for predictions for each data point in the test set. These predictions are compared to the actual values and the performance of the models is then assessed by determining the accuracy, precision, recall and F1 score [15]. Finally, the model was constructed on all data, to determine the feature importance of the predictor variables [22]. In short, the feature importance score of a predictor variable is a value between 0 and 1 indicating its contribution to improving the performance of the model, with 1 being the most important. Like the data processing, modeling was done in a custom written Python script, using the packages sklearn and xgboost.

3. Results

3.1. Kinematic data

Twenty-four measurements were taken, with an average duration of 23.8 minutes (SD = 4.5 min.), during which the participants traveled 782.5 m (± 203.8m). With an average speed of 0.86 m/s (± 0.10 m/s). A typical example of the measurement as reconstructed from the sensor-based kinematic wheelchair data, is shown in Figure 4, with the track from the participant’s room to the covered area where the protocolled test was performed.
A typical speed profile of the measurements is shown in Figure 5, with a clear distinction between the different aspects of the protocol, both the short test sections as well as the transfer to the test site and free movement.

3.2. Segments

The data of all 24 participants contained 949 segments of which 527 were classified as active and 420 as passive, with an almost equal division between segments of stroke and amputation patients. For the active segments, there are slightly less examples from stroke patients (250 vs 277) and for the passive segments there are 210 examples for both stroke and amputation patients.
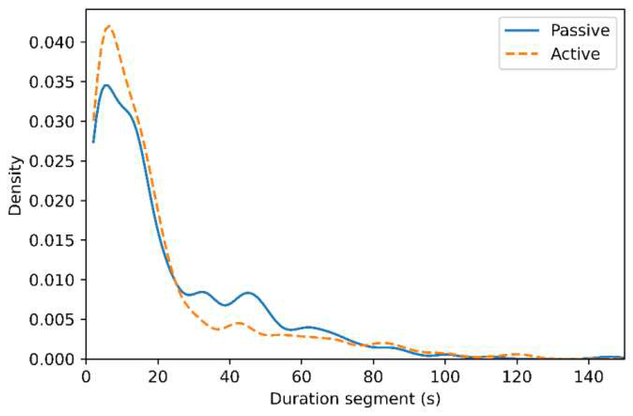
The distribution of duration for active and passive segments is shown in Figure 6, with a very similar distribution for both types. The testing protocol focused on shorter activities, and this is also visible in the duration of the segments, with mainly a segment duration of less than 20 seconds.

3.3. Classification wheelchair use with machine learning

For both models (wheel S1 and full model S2), 25 different random splits of the training and test sets were considered to account for potential randomization errors. The model and corresponding parameters that performed best across the different random splits were selected. In both models, the best performing model was a XGBoost classifier. Model parameters were set to the default values as specified in the XGBoost 1.7.5 package. The model performance is summarized in Table 1, with the F1 scores all above 0.8, but the full model slightly outperforming the wheel model.

3.4. Feature importance

The importance of the different predictors in the wheel model is displayed in Table 2, showing median angular acceleration and velocity around the roll axis as most dominant. Since the correlation with the target variable is negative, larger values are associated with passive wheelchair use. The standard deviation of the linear acceleration and amplitudes of Fourier series for the linear speed are important as well. There are numerous predictor variables with non-negligible importance score, indicating that most of the collected information is relevant for classifying active and passive wheelchair use.

4. Discussion

To aid in rehabilitation application, an easy-to-use measurement method with valuable wheelchair mobility performance outcomes was extended with detection of active or passive wheelchair use, validated in this study. To enhance its use in a wide range of rehabilitation patients, tough conditions were applied in the validation, requiring a more sophisticated approach like machine learning. Using this method, results show a valid detection of active or passive wheelchair use, even based on single wheel sensor data. This method is therefore applicable in daily practice, can be used to build reference databases for activity levels in MWUs and is applicable as an intervention tool for individual monitoring of activity.
The average speed of the subjects in self-propulsion was lower than previously reported in home situations by Tolerico [23], who reported an average speed of 0.79 (± 0.19). In this study subjects with an amputation had a median speed of 0.68 m/s (± 0.31) and the stroke subjects 0.56 m/s (± 0.29), indicating the less intense propulsion styles in these groups. This lower average speed and the observed variety in propulsion modes indicates that participants were indeed selected with propulsion modes that were challenging for automatic detection. Although the measurement duration was shorter than the study of Popp et al [7], nearly all measurement time consisted of forward movement, effectively resulting in more movement time for building the model and validation, contributing to better modelling.
Even without the use of body worn sensors, the detection methods show good validity, making the method easier to use than previously described methods [7]. For ease-of-use, the single wheel sensor model is best and provides sufficiently valid detection. The major advantage of a single sensor over a multiple sensor configuration is the lack of the need for synchronization. This is not only technically easier, but it often leads to cheaper solutions and the ability to log data on the sensor without connecting to a mobile device or another sensor. The Movesense sensors used in this study are now also available with on-board logging functionality for multiple days. If even more accuracy is required, the full model with an additional frame sensor does provide slightly better results (F1 score of 0.827 vs. 0.886). These results are like previous studies [7], but the sensor configuration (especially S1) is simpler and only on the wheelchair, so the practical applications are better.
The use of different machine learning models made it possible to investigate which model produced the best results. The machine learning models gave the advantage that many aspects around wheelchair movement could be included in the model without bias. The possible interactions between the predictors and any non-linear relationships were also modelled. The number of predictor variables included is substantive, with expected overlap between variables. Forward speed and acceleration for example are likely to have a close relationship with angular velocity and acceleration around the roll axis. Therefore, all highly correlated features (|r| > 0.7) were removed to avoid multicollinearity [21], which resulted in dropping quite a few variables for further analysis (20 for S1 and 14 for S2). But otherwise, no selection was made in advance to let the model itself determine the most relevant variables. The importance is quite similar for the top five most important predictor variables (see Table 2), indicating that there is no single variable well discriminating between passive or active propulsion. Hence, a non-machine learning approach based on simpler algorithms is less likely to show similar results. The final machine learning model is included in the supplementary material for future use.
The developed method will be used for current and future research projects within the Basalt rehabilitation centre, but with the model being available, it could also be employed by other researchers. From a practical perspective, the method still requires some technical support, with data collection in the Movesense Showcase app and post measurement analysis in a Python script, but it is likely that in the foreseeable future these measurements can be done in a more user-friendly way. Already this research group is working on easy-to-use data logging of wheelchair mobility performance, in which this model for active-passive propulsion is incorporated. The option to log on-board the sensor for multiple days will increase the scope of application.

5. Conclusions

With the addition of a valid detection for active of passive propulsion, the wheelchair mobility performance monitor, as described by van der Slikke et al. [9] now offers a comprehensive tool for monitoring wheelchair kinematics, not only in sports, but also applicable in clinical practice in rehabilitation. Allowing for more research into the activity patterns in wheelchair use and eventually as a tool for individual monitoring and behavioral change towards a more active lifestyle within save boundaries.

Supplementary Materials

The following supporting information can be downloaded at: www.mdpi.com/xxx/s1, Python script and model files: “scriptmodel.py”; “FullModel.csv”; “WheelModel.csv”.

Author Contributions

Conceptualization, RvdS, AWdL, AdR, and MB; methodology, RvdS, AWdL, AdR.; software, RvdS and AWdL.; validation, RvdS and AWdL.; formal analysis, RvdS and AWdL.; investigation, RvdS and AWdL.; resources, RvdS, AWdL, AdR, and MB.; data curation, RvdS and AWdL.; writing—original draft preparation, RvdS and AWdL.; writing—review and editing, RvdS, AWdL, AdR, and MB.; visualization, RvdS.; project administration, AdR and MB.; funding acquisition, AdR and MB. All authors have read and agreed to the published version of the manuscript.

Funding

This research received no external funding

Institutional Review Board Statement

The study was conducted in accordance with the Declaration of Helsinki and approved by the Ethics Committee of Basalt Rhebilitation Centre: N21.178 by the Basalt Ethical Commission; “Physical behavior: Where, what and how much?”.

Informed Consent Statement

Informed consent was obtained from all subjects involved in the study.

Data Availability Statement

Due to privacy reasons, data is not available as separated measurements, but the core outcomes are available as base for the model provided in the supplementary materials.

Acknowledgments

The authors would like to thank all participants involved, and the staff of Basalt Rehabilitation who were responsible for patient selection and scheduling the measurements. We would also like to thank the THUAS students involved for their support in the measurements.

Conflicts of Interest

The authors declare no conflict of interest.

References

  1. Rhodes, R. E., Janssen, I., Bredin, S. S., Warburton, D. E., & Bauman, A. Physical activity: Health impact, prevalence, correlates and interventions. Psychology & health, 2017, 32(8), 942-975. [CrossRef]
  2. Ginis, K. A. M., van der Ploeg, H. P., Foster, C., Lai, B., McBride, C. B., Ng, K., ... & Heath, G. W. Participation of people living with disabilities in physical activity: a global perspective. The Lancet, 2021, 398(10298), 443-455. [CrossRef]
  3. Peiris, C. L., Taylor, N. F., & Shields, N. Patients receiving inpatient rehabilitation for lower limb orthopaedic conditions do much less physical activity than recommended in guidelines for healthy older adults: an observational study. Journal of physiotherapy, 2013, 59(1), 39-44. [CrossRef]
  4. De Jong, A. U., Smith, M., Callisaya, M. L., Schmidt, M., & Simpson, D. B. Sedentary time and physical activity patterns of stroke survivors during the inpatient rehabilitation week. International Journal of Rehabilitation Research, 2021, 44(2), 131-137. [CrossRef]
  5. Michie, S., Ashford, S., Sniehotta, F. F., Dombrowski, S. U., Bishop, A., & French, D. P. A refined taxonomy of behaviour change techniques to help people change their physical activity and healthy eating behaviours: the CALO-RE taxonomy. Psychology & health, 2011, 26(11), 1479-1498. [CrossRef]
  6. Jaarsma, E. A., & Smith, B. Promoting physical activity for disabled people who are ready to become physically active: A systematic review. Psychology of Sport and Exercise, 2018, 37, 205-223. [CrossRef]
  7. Popp, W. L., Brogioli, M., Leuenberger, K., Albisser, U., Frotzler, A., Curt, A., ... & Starkey, M. L. A novel algorithm for detecting active propulsion in wheelchair users following spinal cord injury. Medical engineering & physics, 2016, 38(3), 267-274. [CrossRef]
  8. Nightingale, T. E., Rouse, P. C., Thompson, D., & Bilzon, J. L. Measurement of physical activity and energy expenditure in wheelchair users: methods, considerations and future directions. Sports medicine-open, 2017, 3, 1-16. [CrossRef]
  9. Van der Slikke, R. M. A., Berger, M. A. M., Bregman, D. J. J., Lagerberg, A. H., & Veeger, H. E. J. Opportunities for measuring wheelchair kinematics in match settings; reliability of a three inertial sensor configuration. Journal of Biomechanics, 2015, 48(12), 3398-3405. [CrossRef]
  10. Symonds, A., Holloway, C., Suzuki, T., Smitham, P., Gall, A., & Taylor, S. J. Identifying key experience-related differences in over-ground manual wheelchair propulsion biomechanics. Journal of Rehabilitation and Assistive Technologies Engineering, 2016, 3, 2055668316678362. [CrossRef]
  11. Rupf, R., Tsai, M. C., Thomas, S. G., & Klimstra, M. Validity of measuring wheelchair kinematics using one inertial measurement unit during commonly used testing protocols in elite wheelchair court sports. Journal of Biomechanics, 2021, 127, 110654. [CrossRef]
  12. van Dijk, M. P., van der Slikke, R. M., Rupf, R., Hoozemans, M. J., Berger, M. A., & Veeger, D. H., Obtaining wheelchair kinematics with one sensor only? The trade-off between number of inertial sensors and accuracy for measuring wheelchair mobility performance in sports. Journal of Biomechanics, 2022, 130, 110879. [CrossRef]
  13. de Leeuw, A. W., van der Zwaard, S., van Baar, R., & Knobbe, A. Personalized machine learning approach to injury monitoring in elite volleyball players. European journal of sport science, 2022, 22(4), 511-520. [CrossRef]
  14. de Leeuw, A. W., van Baar, R., Knobbe, A., & van der Zwaard, S. Modeling match performance in elite volleyball players: importance of jump load and strength training characteristics. Sensors, 2022, 22(20), 7996. [CrossRef]
  15. Sokolova, M., & Lapalme, G. A systematic analysis of performance measures for classification tasks. Information processing & management, 2009, 45(4), 427-437. [CrossRef]
  16. Cox, D. R. The regression analysis of binary sequences. Journal of the Royal Statistical Society Series B: Statistical Methodology, 1958 20(2), 215-232. [CrossRef]
  17. Cortes, C., & Vapnik, V. Support-vector networks. Machine learning, 1995, 20, 273-297. [CrossRef]
  18. Breiman, L. Random forests. Machine learning, 2001, 45, 5-32. [CrossRef]
  19. Webb, G. I., Keogh, E., & Miikkulainen, R. Naïve Bayes. Encyclopedia of machine learning, 2010, 15(1), 713-714.
  20. Chen, T., & Guestrin, C. Xgboost: A scalable tree boosting system. In Proceedings of the 22nd acm sigkdd international conference on knowledge discovery and data mining, 2016, (pp. 785-794). [CrossRef]
  21. Dormann, C. F., Elith, J., Bacher, S., Buchmann, C., Carl, G., Carré, G., ... & Lautenbach, S. Collinearity: a review of methods to deal with it and a simulation study evaluating their performance. Ecography, 2013, 36(1), 27-46. [CrossRef]
  22. Hastie, T., Tibshirani, R., Friedman, J. H., & Friedman, J. H. The elements of statistical learning: data mining, inference, and prediction, 2009, (Vol. 2, pp. 1-758). New York: springer.
  23. Tolerico, M. L., Ding, D., Cooper, R. A., Spaeth, D. M., Fitzgerald, S. G., Cooper, R., ... & Boninger, M. L. Assessing mobility characteristics and activity levels of manual wheelchair users. Journal of Rehabilitation Research & Development, 2007, 44(4). [CrossRef]
Figure 1. Mounted Movesense sensor and example of the test track.
Figure 1. Mounted Movesense sensor and example of the test track.
Preprints 93489 g001
Figure 2. Overview of the predictor variables used in both models. In total 8 input variables times 4 aggregate functions are derived from the wheel mounted sensor for both models (S1 & S2), and additional 6 x 4 variables derived from raw gyroscope sensor data from the wheel mounted sensor (S1) or frame mounted sensor (S2).
Figure 2. Overview of the predictor variables used in both models. In total 8 input variables times 4 aggregate functions are derived from the wheel mounted sensor for both models (S1 & S2), and additional 6 x 4 variables derived from raw gyroscope sensor data from the wheel mounted sensor (S1) or frame mounted sensor (S2).
Preprints 93489 g002
Figure 3. Wheelchair and sensor reference frame. This sensor reference frame applies when the sensor is on top of the axis, in the right wheel.
Figure 3. Wheelchair and sensor reference frame. This sensor reference frame applies when the sensor is on top of the axis, in the right wheel.
Preprints 93489 g003
Figure 4. Path reconstructed from IMU data, displayed on an overlay of the rehabilitation centre (Google Maps, 2023). The movement from the room to the elevator is shown, followed by the test and free movement in the covered outdoor area, and finally free movement on the upper floor corridor and return to the room.
Figure 4. Path reconstructed from IMU data, displayed on an overlay of the rehabilitation centre (Google Maps, 2023). The movement from the room to the elevator is shown, followed by the test and free movement in the covered outdoor area, and finally free movement on the upper floor corridor and return to the room.
Preprints 93489 g004
Figure 5. Speed plot of a typical measurement, with the first section (<11:22) representing the movement to the test site, the two parts of the test (active – passive) and the free motion (11:29>) within the rehabilitation centre and return to the room.
Figure 5. Speed plot of a typical measurement, with the first section (<11:22) representing the movement to the test site, the two parts of the test (active – passive) and the free motion (11:29>) within the rehabilitation centre and return to the room.
Preprints 93489 g005
Figure 6. Density distribution of the segment duration of passive (solid) and active (dashed) wheelchair use, showing that the protocol used produces mostly short segments.
Figure 6. Density distribution of the segment duration of passive (solid) and active (dashed) wheelchair use, showing that the protocol used produces mostly short segments.
Preprints 93489 g006
Table 1. Average performance of the wheel and full models on the test set across 25 different random splits of the total data. The performance of the full model is slightly better than the performance of the wheel model.
Table 1. Average performance of the wheel and full models on the test set across 25 different random splits of the total data. The performance of the full model is slightly better than the performance of the wheel model.
Accuracy Precision Recall F1 Score
Wheel model (S1) 0.805 0.836 0.819 0.827
Full model (S2) 0.873 0.888 0.886 0.886
Table 2. Overview of the five most important predictor variables of the wheel model. The importance of a predictor variable is assessed by determining its contribution to improving the performance of the model. The sum of all importance scores is equal to 1 and larger values indicate more important predictor variables. The correlation with the target variable is shown, defined as 0 and 1 for passive and active wheelchair use, respectively.
Table 2. Overview of the five most important predictor variables of the wheel model. The importance of a predictor variable is assessed by determining its contribution to improving the performance of the model. The sum of all importance scores is equal to 1 and larger values indicate more important predictor variables. The correlation with the target variable is shown, defined as 0 and 1 for passive and active wheelchair use, respectively.
Predictor variable Importance score Correlation target
Median angular acceleration around the roll axis 0.06 -
Median angular velocity around the roll axis 0.06 -
Standard deviation linear acceleration 0.05 +
Standard dev. amplitudes of Fourier series for linear speed 0.05 -
Kurtosis angular velocity y-component of wheel sensor 0.05 +
Disclaimer/Publisher’s Note: The statements, opinions and data contained in all publications are solely those of the individual author(s) and contributor(s) and not of MDPI and/or the editor(s). MDPI and/or the editor(s) disclaim responsibility for any injury to people or property resulting from any ideas, methods, instructions or products referred to in the content.
Copyright: This open access article is published under a Creative Commons CC BY 4.0 license, which permit the free download, distribution, and reuse, provided that the author and preprint are cited in any reuse.
Prerpints.org logo

Preprints.org is a free preprint server supported by MDPI in Basel, Switzerland.

Subscribe

Disclaimer

Terms of Use

Privacy Policy

Privacy Settings

© 2026 MDPI (Basel, Switzerland) unless otherwise stated