1. Introduction
Nowadays, it has become a global consensus that we should fully utilize renewable energy sources due to concerns regarding energy security and environmental degradation. As a typical major energy consumer, the electrified railway system is with a strong demand for energy conservation [
1]. Renewable energy sources, photovoltaic (PV), wind power (WP), etc., can be integrated with conventional traction power supply system (TPSS) which solely obtains electricity from the public grid powering the electrified railway, forming an electrified railway smart microgrid system (ERSMS) [
2,
3,
4]. Apparently, the ERSMS is an energy saving and environmental-friendly option [
5,
6,
7,
8,
9]. However, both traction load and renewable energy sources are highly stochastic and fluctuating. Potentially, this produces some power quality and transient disturbance issues to ERSMS operation. In addition, the regenerative braking energy (RBE) generated by locomotives will be injected to the overhead line, impacting the power flow of ERSMS as well [
10,
11]. Incorporating an energy storage system (ESS) into the ERSMS has become a common choice for power conditioning and RBE storage [
12,
13,
14,
15]. However, there are two main challenges for building a complex ERSMS containing an ESS: the first is to appropriately select energy storage media for matching the energy requirement of specific usage scenario; the second is to develop a high-performance energy management strategy (EMS) for distributing energy within the ERSMS, mitigating fluctuations and enhancing energy utilization efficiency.
There are a number of energy storage media, which are classified into two categories: high energy density and longer response time ones, represented by various batteries; high power density and short response time ones, represented by supercapacitors, flywheels [
16]. Considering the substantial energy and power requirements of traction load and the fluctuation of renewable energy sources, a hybrid ESS (HESS) composing of batteries and supercapacitors is a reasonable solution for the ERSMS.
For EMS, the common method involves initially decomposing the power generated by renewable energy sources. This allows the HESS to store high-frequency components, while providing low-frequency or constant components to meet the load demand. The early used single-step methods are gradually abandoned [
17,
18,
19]. Currently, the methods are time-frequency analysis-based ones such as Discrete Fourier Transform (DFT) [
20], Discrete Wavelet Transform (DWT) [
21] and Empirical Mode Decomposition (EMD) [
22]. Both DFT and DWT are generally inappropriate for analyzing nonlinear and non-stationary signals [
23]. Although the EMD is a better choice, it comes with mode mixing and disparate amplitudes issues in the intrinsic mode functions (IMFs) [
24,
25]. To tackle such issues, the complementary ensemble empirical mode decomposition with adaptive noise (CEEMDAN) was employed in [
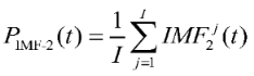
26], providing a resolution to the challenges encountered in EMD. Nevertheless, this method enhances the classification of IMFs using an improved empirical approach, there is room for further improve. After energy decomposition, it is essential to determine the energy distribution within the entire energy system. Recently, Liu et. al. developed a bi-level model of a railway traction substation energy management system for attaining optimal power reference and HESS size [
27]. An EMS for ERSMS including PV and ESS has been proposed in [
28], which enhances the overall economic efficiency of system operations. However, these approaches are restricted to a single renewable energy source or a single ESS, so that further research on EMS for ERSMS incorporating multiple renewable energy sources and HESS is required.
In view of the above, the present investigation aims to address the shortcomings of the EMD, as well as the research gaps in the complex energy distribution strategy for ERSMS. The main contribution and innovation of this work are as follows.
i) Combining the CEEMDAN and the grey relation analysis (GRA), an integrated empirical mode decomposition (IEMD) is proposed. The IEMD first divides the renewable energy into a series of IMFs, then classifies the IMFs to low frequency and high frequency components for distribution.
ii) On the basis of the supercapacitor absorbing high-frequency components and the HESS regulating low-frequency components of the renewable energy power, a two-stage distribution strategy is proposed for minimizing fluctuations of the renewable energy power in the ERSMS.
The remainder of this paper is organized as follows.
Section 2 introduces the ERSMS configuration, including structure and operation modes.
Section 3 introduces an integrated empirical mode decomposition method to decompose the renewable energy power. A two-stage energy distribution is proposed to distribute the power within the ERSMS in
Section 4.
Section 5 presents results based on designed case study. Finally, conclusions are drawn in
Section 6.
2. ERSMS Configuration
2.1. Structure
The structure of a typical ERSMS is presented in
Figure 1 which composes of four parts: a public grid, a TPSS, a renewable energy generation system and an HESS. In the TPSS a V/v connection traction transformer is installed for obtaining the power from the three-phase public grid supplying the traction load of the two single-phase catenary sections. A railway power conditioner (RPC) with single-phase ac-dc-ac topology is employed not only balancing the power between section a and section b [
29], but also providing a dc link that a number of renewable energy generation and energy storage units can be connected to. So far, in this ERSMS the power exchanges among the four parts.
2.2. Operation modes
Different operation modes of the ERSMS can be classified based on the state of the traction load PL which is defined as the total power of the trains and the traction network loss of both section a and section b. By comparing PL with its traction state threshold value Ptra and regenerative state threshold value Preg, the following three ERSMS operation modes are defined.
Mode 1: PL >Ptra > 0
This is traction mode that traction power of the trains is more than regenerative braking power of the other trains. According to the absolute difference between the PL and the total renewable energy generation power Pren, as well as the relative capacities of available charging and discharging power of the HESS, PHESS_Avail and PHESS_Surp, this mode is further divided into four scenarios.
When

, the HESS is in charging state. In this situation, part of the
Pren is used to meet the
PL, and all the rest are stored in the HESS, donated as
PHESS. The power flow relationship among the four parts of the ERSMS is demonstrated by
Figure 2 (a) and Equation 1.
When

, the HESS is in charging state. After meeting the
PL and fully charging the HESS, there is some excess power that cannot be utilized by the ERSMS. This part of power is named as abandoned power
Pabd which will be injected into the public grid or discarded. The power flow relationship of the ERSMS is demonstrated by
Figure 2 and Equation 2.
When

, the HESS is in discharging state. Under this condition, both
Pren and
PHESS support the
PL together. The power flow relationship of the ERSMS is demonstrated by
Figure 2 (c)and Equation 3.
When

, the HESS is in discharging state. Compared to previous condition, Pren and PHESS is insufficient for filling the PL. We have no choice but to purchase the lacking power from the public grid. The power flow relationship of the ERSMS is demonstrated in
Figure 2 (d) and Equation 4.
Mode 2: PL <Preg < 0
This is regenerative mode that traction power of the trains is less than regenerative braking power of the other trains. Apparently, the HESS is needed to be in charging state under this mode. By comparing the sum of Pren and |PL| with PHESS_Avail, this mode can be further divided into two scenarios.
When

, the HESS is in charging state. Although the HESS works at its maximum capacity, the
PHESS cannot completely stores the |
PL| (i.e., RBE) and
Pren. As a result, there is some
Pabd yet. The power flow relationship of the ERSMS is illustrated by
Figure 2 (e) and Equation 5.
When

, the HESS is a charging state. In this case, all the energy from the renewable energy generation and locomotive braking are stored into the HESS. The power flow of the ERSMS is illustrated by
Figure 2 (f) and Equation 6.
Mode 3: Preg <PL < Ptra
This is no-load mode regarding that there is no train load. The PL is only the open circuit loss of the traction network. Based on the comparison between Pren and PHESS_Avail, this mode is further divided into two scenarios.
When

, the HESS is in charging state. Part of
Pren is absorbed by the maximum capacity of the HESS. The remaining of
Pren becomes
Pabd, excepting the little part addressing the network loss. The power flow relationship of the ERSMS is presented by
Figure 2 (g) and Equation 7.
When

, the HESS is in charging state. Excepting the little power for the network loss, renewable energy is fully stored in the HESS. The power flow relationship of the ERSMS is presented by
Figure 2 (h) and Equation 8.
As presented above, modes 1-1, 1-2, 1-3, 3-1, and 3-2 are fully energy self-sufficient; renewable energy may be abandoned in modes 1-2, 2-1, and 3-1; and purchasing power from the external grid is required in mode 1-4.
HESS Protection Strategy
Typically, the state of charge (SOC) is the most critical factor for an energy storage system affecting the operating status and stability. For an HESS, five operation zones of the batteries and supercapacitors are defined according to their SOCs as shown in
Figure 3: no charging/discharging zone, charge/discharge warning zone, and optimum working zone.
When the SOC of battery or supercapacitor is outside the optimum working zone, the HESS cannot be charged or discharged at its maximum power capacity. Therefore, it is necessary to restrict the charging or discharging power according to the battery's or supercapacitor's remaining capacity. Based on the operation zone definition of
Figure 3, a protection strategy is given as:
where the subscripts c and d represent the charging and discharging states, respectively;

and

stand for the target charging and discharging power of the batteries or supercapacitors, respectively;
Pc and
Pd are the target charging and discharging values without regard to restrict the charging or discharging power, respectively.
3. Integrated Empirical Mode Decomposition
Recognizing the shortcomings of unclear classification of the IMFs of conventional EMD methods, an IEMD is proposed combining a CEEMDAN decomposition and a GRA classification. First, apply the CEEMDAN to an original signal, i.e., the renewable energy power, by the following steps.
Step 1: Add the Gaussian white noise signal

to
Pren(t) which is the renewable energy generation power in time domain. The signal for the
j-th is represented as

. The experimental signal

is decomposed by the EMD to obtain

. The first IMF and the residual of the decomposition, donated as

and

, are given as:
Step 2: Add

to the first residual

, represented as

. The

are decomposed through the EMD as well obtaining their first-order components

. Similarly, the second IMF and residual are acquired:
Step 3: Repeat the above process until the residual is monotony function and cannot be decomposed. At last, the original signal can be represented as the sum of a series IMFs as well as the residual.
After the decomposition above, some IMFs featuring fast fluctuation with lower magnitudes are defined as high-frequency IMFs (HF-IMFs); the others exhibiting slow fluctuation with higher magnitudes are defined as low-frequency IMFs (LF-IMFs). Although the IMFs can be simply classified by watching their shapes, in this work a GRA method is utilized to quantitatively classify them. Taking the use of the GRA, all the IMFs are classified by the following steps.
Step 1: The IMF and residual sequences are normalized by dividing their mean values.
where,

and

represent the mean values of the IMFs and the residual, respectively.
Step 2: The first IMF

is selected as the reference sequence in discrete time domain

, while the remaining IMFs and residual are designated as the comparison sequence

.
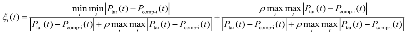
Step 3: Calculate the gray correlation coefficient

and determine the grey correlation degree
ri.
where
ρ is the resolution coefficient (within the [0,1] interval; the value is usually 0.5).
Step 4: According to the values of
ri, the

are sorted in ascending order. The ones with their
r values close to the
r1 are classified as HF-IMFs, the others with their
r values far from the
r1 are the LF-IMFs.
where,
u and
v are the numbers of the HF-IMFs and the LF-IMFs, respectively.
4. Two-Stage Energy Distribution
So far, the decomposed renewable energy generation power should be distributed for utilization. The first distribution stage is based on that the supercapacitors absorb high-frequency renewable energy power PHF(t) avoiding potential power quality and stability issues. The remaining low-frequency renewable energy power PLF(t) is distributed by the second stage according to the operation modes as presented in subsection 2.2. The criterion is supplying the traction low by the renewable energy as much as possible. The two-stage distribution process is given in Algorithm 1.
After the initializing steps, the first stage starts from checking the SOCSC. If it is within the normal range, the supercapacitors will be charged or discharged according to the PHF(k) under the given strategy. On the contrary, when SOCSC is out of the normal range, the PHF(k) will be discarded. Finally, refresh SOCHESS by SOCSC.
The second stage starts from operation mode judgement. Then, if the SOCHESS is within a normal range, the HESS will balance the power flow among the ERSMS through charging or discharging under the given strategy. On the contrary, the SOCHESS out of the normal range, the HESS takes no action so that the traction load can just supplied by external grid.

5. Results
5.1. Parameters
The active power of the traction load of a traction substation during a given period is obtained from traction calculation based on a train operation schedule, as shown in
Figure 4. For easy discerning the results, a short part of this load is zoomed in for illustrating the energy management performance.
The renewable energy generation power under consideration is based on the weather data of a Chinese city.
Figure 5 gives the wind power
PWind, PV power
PPV as well as their sum, i.e., the renewable energy power
Pren =
PWind +
PPV, corresponding to the time of
Figure 4. The average value and peak value of the wind power are 8.02 MW and 13.7 MW, respectively. The PV power fluctuates more severely with its average value of 6.92 MW and peak value of 25.38 MW. The total renewable energy power is with an average value of 14.94 MW and a peak value of 37.06 MW.
Besides, the parameters of the HESS on concern are given in
Table 1.
5.2. Case study
The highly fluctuating renewable energy power shown in
Figure 5 is decomposed and classified by the IEMD. Initially, the renewable energy power decomposition is conducted through the CEEMDAN procedure. As presented in
Figure 6, seven IMFs and one residual (Res) of the renewable energy power are obtained. The IMFs and Res exhibit different shapes in terms of oscillation speed and magnitude.
To divide these components more clearly, the IMFs are classified through the GRA procedure. According to
Figure 6, the IMF1 (yellow line) is the most fluctuating component in both speed and magnitude angles. This means that the components correlate with this IMF1 are high-frequency ones, vice versa are low-frequency ones. Using IMF1 as the target sequence and the other six IMFs as comparison sequence, the grey correlation degree (
r- value) can be obtained. Based on these
r values, a correlation heatmap of the IMFs is depicted as shown in
Figure 7. The IMF2, IMF3, IMF4, IMF5 and IMF6 are with about 0.7
r value to IMF1, i.e., high correlation. However, the
r value of the IMF7 is less than 0.4, i.e., not highly correlated with IMF1. This conclusion can be obtained by observing the color of the first column of the heatmap as well. Besides, the residual magnitude is extremely small, it is treated as one of the LF-IMFs. As a result, the
Pren is divided into two sets, i.e.,

and
So far, through the IEMD process, the decomposed LF-IMFs of renewable energy power are shown in
Figure 8. Compared with the result of conventional EMD method, the
PLF of the proposed IEMD shows much slower fluctuation with much smaller magnitude.
At last, the decomposed renewable energy power is distributed by the two-stage method for utilization. The power decomposition results of both the proposed IEMD and conventional EMD are treated by the two-stage energy distribution, yielding the ERSMS supply result given by
Figure 9. On the whole, in the ERSMS, the traction load is supplied by the renewable energy and the HESS as much as possible. After the two-stage energy distribution, the power flow of
Pren+
PHESS by IEMD (blue line) becomes significant slower fluctuation compared to that of conventional EMD (pink line). This will benefit the lifespan of the HESS.
From the perspective of electricity consumption, owing to the two-stage energy distribution, most of the traction load are supplied by the
Pren+
PHESS leading to a high energy self-sufficient rate. Furthermore, to the heavy load over 10 MW in
Figure 9 (the parts upper than the dashed line), the
Pren and
PHESS cover nearly 89% of
PL for proposed IEMD after the distribution (overlapped area of blue line and black line compared to the area of black line); while the counterpart of conventional EMD after the distribution is less than 83% (overlapped area of pink line and black line compared to the area of black line).
6. Conclusion
This work proposed an energy management strategy for the integration of renewable energy and HESS in electrified railways. This strategy incorporates an IEMD process to the renewable energy generation power and a two-stage energy distribution for the energy flow among the ERSMS. By the IEMD, the severely fluctuating renewable energy generation power is divided into high-frequency and low-frequency parts. Through the two-stage energy distribution, the former is absorbed by the supercapacitors to the best of SOCSC ability, and the later is used by the traction load as much as possible based on HESS operation. The case study validates that the proposed method provides superior energy utilization performance than convention method by means of power fluctuation and electricity consumption.
Author Contributions
Conceptualization, J.Y. and M.S.; methodology, J.Y. and M.S.; validation, M.S. and K.S.; formal analysis, M.S. and K.S.; data curation, M.S.; writing—original draft preparation, M.S.; writing— review and editing, M.S., J.Y. and K.S.; supervision, J.Y. and K.S.; funding acquisition, J.Y. and K.S. All authors have read and agreed to the published version of the manuscript.
Funding
This work was supported by the Fundamental Research Funds for the Central Universities under Grant 2021CZ103.
Institutional Review Board Statement
Not applicable.
Informed Consent Statement
Not applicable.
Data Availability Statement
Not applicable.
Conflicts of Interest
The authors declare no conflict of interest.
References
- Douglas, H.; Roberts, C.; Hillmansen, S.; Schmid, F. An assessment of available measures to reduce traction energy use in railway networks. Energy Convers. Manag. 2015, 106, 1149–1165. [Google Scholar] [CrossRef]
- Brenna, M.; Foiadelli, F.; Kaleybar, H.J. The Evolution of Railway Power Supply Systems Toward Smart Microgrids: The concept of the energy hub and integration of distributed energy resources. IEEE Electrification Mag. 2020, 8, 12–23. [Google Scholar] [CrossRef]
- de la Fuente, E.P.; Mazumder, S.K.; Franco, I.G. Railway Electrical Smart Grids: An introduction to next-generation railway power systems and their operation. IEEE Electrification Mag. 2014, 2, 49–55. [Google Scholar] [CrossRef]
- Brenna, M.; Foiadelli, F.; Kaleybar, H.J.; Fazel, S.S. Smart Electric Railway Substation Using Local Energy Hub Based Multi-Port Railway Power Flow Controller. In Proceedings of the 2019 IEEE Vehicle Power and Propulsion Conference (VPPC); October 2019. [Google Scholar]
- D'Arco, S.; Piegari, L.; Tricoli, P. Comparative Analysis of Topologies to Integrate Photovoltaic Sources in the Feeder Stations of AC Railways. IEEE Trans. Transp. Electrification 2018, 4, 951–960. [Google Scholar] [CrossRef]
- Hernandez, J.C.; Sutil, F.S. Electric Vehicle Charging Stations Feeded by Renewable: PV and Train Regenerative Braking. IEEE Lat. Am. Trans. 2016, 14, 3262–3269. [Google Scholar] [CrossRef]
- Zhu, X.; Hu, H.; Tao, H.; He, Z. Stability Analysis of PV Plant-Tied MVdc Railway Electrification System. IEEE Trans. Transp. Electrification 2019, 5, 311–323. [Google Scholar] [CrossRef]
- Aguado, J.A.; Racero, A.J.S.; de la Torre, S. Optimal Operation of Electric Railways With Renewable Energy and Electric Storage Systems. IEEE Trans. Smart Grid 2018, 9, 993–1001. [Google Scholar] [CrossRef]
- Boudoudouh, S.; Maaroufi, M. Renewable Energy Sources Integration and Control in Railway Microgrid. IEEE Trans. Ind. Appl. 2019, 55, 2045–2052. [Google Scholar] [CrossRef]
- Wang, Y.; Chen, M.; Guo, L.; Luo, J. Flexible traction power system adopting energy optimisation controller for AC-fed railway. Electron. Lett. 2017, 53, 554–556. [Google Scholar] [CrossRef]
- Lu, Q.; He, B.; Wu, M.; Zhang, Z.; Luo, J.; Zhang, Y.; He, R.; Wang, K. Establishment and Analysis of Energy Consumption Model of Heavy-Haul Train on Large Long Slope. Energies 2018, 11, 965. [Google Scholar] [CrossRef]
- Cui, G.; Luo, L.; Liang, C.; Hu, S.; Li, Y.; Cao, Y.; Xie, B.; Xu, J.; Zhang, Z.; Liu, Y.; et al. Supercapacitor Integrated Railway Static Power Conditioner for Regenerative Braking Energy Recycling and Power Quality Improvement of High-Speed Railway System. IEEE Trans. Transp. Electrification 2019, 5, 702–714. [Google Scholar] [CrossRef]
- Gao, Z.; Lu, Q.; Wang, C.; Fu, J.; He, B. Energy-Storage-Based Smart Electrical Infrastructure and Regenerative Braking Energy Management in AC-Fed Railways with Neutral Zones. Energies 2019, 12, 4053. [Google Scholar] [CrossRef]
- Lu, Q.; Gao, Z.; He, B.; Che, C.; Wang, C. Centralized-Decentralized Control for Regenerative Braking Energy Utilization and Power Quality Improvement in Modified AC-Fed Railways. Energies 2020, 13, 2582. [Google Scholar] [CrossRef]
- Ma, F.; Wang, X.; Deng, L.; Zhu, Z.; Xu, Q.; Xie, N. Multiport Railway Power Conditioner and Its Management Control Strategy With Renewable Energy Access. IEEE J. Emerg. Sel. Top. Power Electron. 2019, 8, 1405–1418. [Google Scholar] [CrossRef]
- Li, W.; Joos, G. A Power Electronic Interface for a Battery Supercapacitor Hybrid Energy Storage System for Wind Applications. In Proceedings of the 2008 IEEE Power Electronics Specialists Conference; June 2008. [Google Scholar]
- Han, X.; Chen, F.; Cui, X.; Li, Y.; Li, X. A Power Smoothing Control Strategy and Optimized Allocation of Battery Capacity Based on Hybrid Storage Energy Technology. Energies 2012, 5, 1593–1612. [Google Scholar] [CrossRef]
- Li, X. Fuzzy adaptive Kalman filter for wind power output smoothing with battery energy storage system. IET Renew. Power Gener. 2012, 6, 340–347. [Google Scholar] [CrossRef]
- Howlader, A.M.; Matayoshi, H.; Senjyu, T. A Robust H∞Controller Based Gain-scheduled Approach for the Power Smoothing of Wind Turbine Generator with a Battery Energy Storage System. Electr. Power Components Syst. 2015, 43, 2156–2167. [Google Scholar] [CrossRef]
- Makarov, Y.V.; Du, P.; Kintner-Meyer, M.C.W.; Jin, C.; Illian, H.F. Sizing Energy Storage to Accommodate High Penetration of Variable Energy Resources. IEEE Trans. Sustain. Energy 2012, 3, 34–40. [Google Scholar] [CrossRef]
- Jiang, Q.; Hong, H. Wavelet-Based Capacity Configuration and Coordinated Control of Hybrid Energy Storage System for Smoothing Out Wind Power Fluctuations. IEEE Trans. Power Syst. 2013, 28, 1363–1372. [Google Scholar] [CrossRef]
- Yuan, Y.; Sun, C.; Li, M.; Choi, S.S.; Li, Q. Determination of optimal supercapacitor-lead-acid battery energy storage capacity for smoothing wind power using empirical mode decomposition and neural network. Electr. Power Syst. Res. 2015, 127, 323–331. [Google Scholar] [CrossRef]
- Huang, N.E.; Shen, Z.; Long, S.R.; Wu, M.C.; Shih, H.H.; Zheng, Q.; Yen, N.-C.; Tung, C.C.; Liu, H.H. The empirical mode decomposition and the Hilbert spectrum for nonlinear and non-stationary time series analysis. Proc. R. Soc. Lond. Ser. A Math. Phys. Eng. Sci. 1998, 454, 903–995. [Google Scholar] [CrossRef]
- Wu, Z.; Huang, N.E. Ensemble empirical mode decomposition: A noise-assisted data analysis method. Adv. Adapt. Data Anal. 2009, 1, 1–41. [Google Scholar] [CrossRef]
- Ren, Y.; Suganthan, P.N.; Srikanth, N. A Comparative Study of Empirical Mode Decomposition-Based Short-Term Wind Speed Forecasting Methods. IEEE Trans. Sustain. Energy 2015, 6, 236–244. [Google Scholar] [CrossRef]
- Li, M.; Li, Y.; Choi, S.S. Dispatch Planning of a Wide-Area Wind Power-Energy Storage Scheme Based on Ensemble Empirical Mode Decomposition Technique. IEEE Trans. Sustain. Energy 2021, 12, 1275–1288. [Google Scholar] [CrossRef]
- Liu, P.; Lai, J.; Chen, T.; Zeng, X.; Cheng, Y. Coordination Control Strategy of Co-Phase Traction Power Supply System Integrated with Hybrid Energy Storage Systems. In Proceedings of the 2022 5th International Conference on Energy, Electrical and Power Engineering (CEEPE); April 2022. [Google Scholar]
- Li, X.; Zhu, C.; Liu, Y. Traction power supply system of China high-speed railway under low-carbon target: Form evolution and operation control. Electr. Power Syst. Res. 2023, 223. [Google Scholar] [CrossRef]
- Zhong, Z.; Zhang, Y.; Shen, H.; Li, X. Optimal planning of distributed photovoltaic generation for the traction power supply system of high-speed railway. J. Clean. Prod. 2020, 263, 121394. [Google Scholar] [CrossRef]
|
Disclaimer/Publisher’s Note: The statements, opinions and data contained in all publications are solely those of the individual author(s) and contributor(s) and not of MDPI and/or the editor(s). MDPI and/or the editor(s) disclaim responsibility for any injury to people or property resulting from any ideas, methods, instructions or products referred to in the content. |
© 2023 by the authors. Licensee MDPI, Basel, Switzerland. This article is an open access article distributed under the terms and conditions of the Creative Commons Attribution (CC BY) license (http://creativecommons.org/licenses/by/4.0/).