Submitted:
06 December 2023
Posted:
15 December 2023
You are already at the latest version
Abstract
Keywords:
1. Introduction
2. Theory and Results
2.1. Overview of the solutions for the real diffusion
2.1.1. Cartesian case
- the solutions are divergent at large arguments,
- the solution asymptotically becomes a non-zero constant,
- the solutions have a local maxima and a decay to zero at large arguments,
- the solutions have oscillations proportional to the value of and have quicker and quicker decays to zero at larger values.
2.1.2. Spherical case
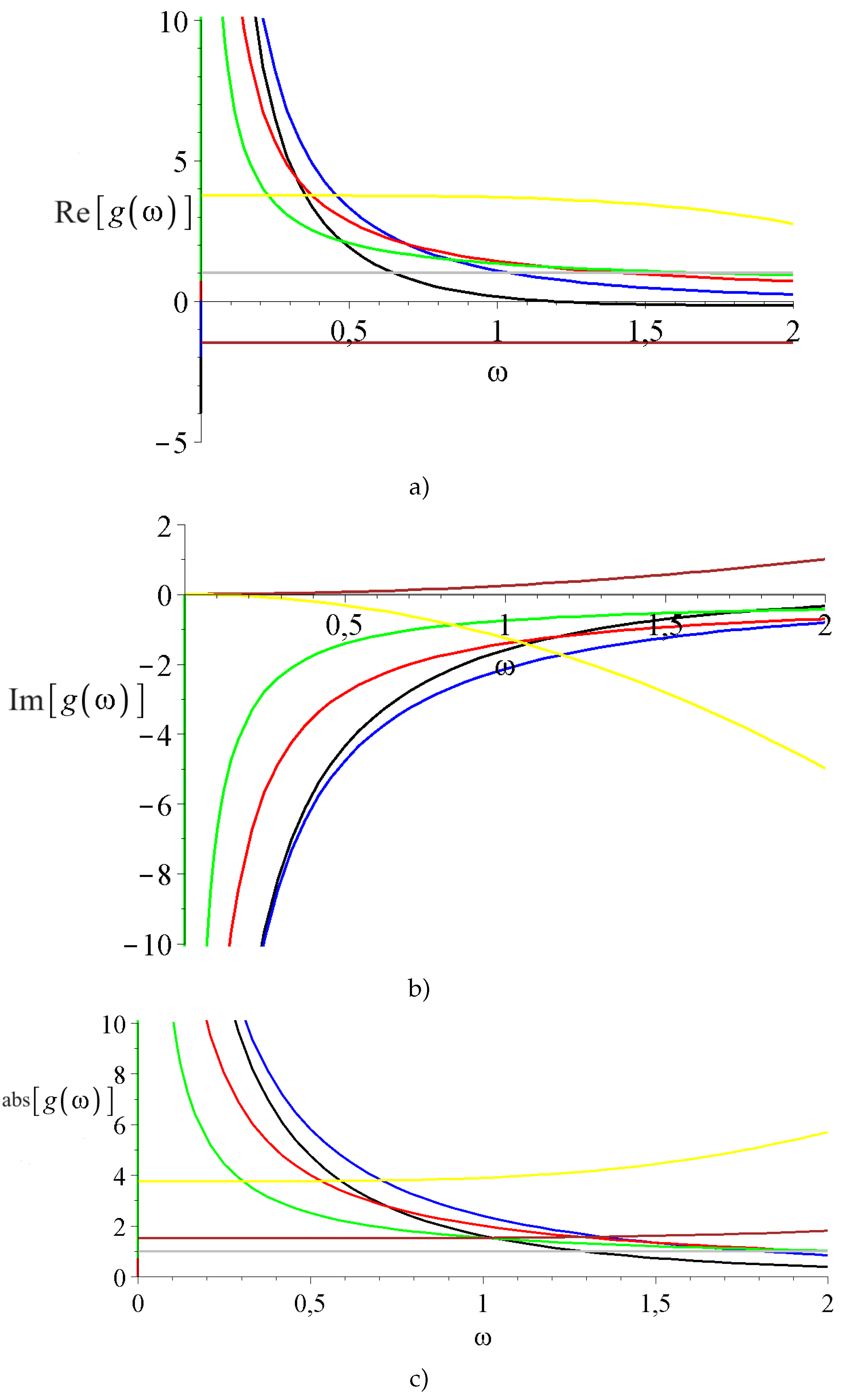
2.2. Solutions of the complex diffusion equation
2.2.1. The Cartesian case



2.2.2. Spherical coordinate system
3. General consequences



4. Summary and Outlook
Conflicts of Interest
References
- Crank, J. The Mathematics of Diffusion; Oxford, Clarendon Press, 1956.
- Ghez, R. Diffusion Phenomena; Dover Publication Inc, 2001.
- Benett, T. Transport by Advection and Diffusion: Momentum, Heat and Mass Transfer,; John Wiley & Sons, 2013.
- Newman, J.; Battaglia, V. The Newman Lectures on Transport Phenomena; Jenny Stanford Publishing, 2021.
- Schiff, L.I. Quantum Mechanics; McGrow-Hill, 1969.
- Sakurai, J.J. Modern Quantum Mechanics (Revised Edition); Addison-Wesley, 1993.
- Messiah, A. Quantum Mechanics; North-Holland Publishing Company, 1961.
- Claude Cohen-Tannoudji, B.D.; Laloë, F. Quantum Mechanics, Volume 1: Basic Concepts, Tools, and Applications; Wiley-VCH, 2019.
- Nagasawa, M. Schrödinger Equation and Diffusion Theory; Springer, 1993.
- Aebi, R. Schrödinger Diffusion Processes; Springer, 2007.
- Barna, I.F.; Rost, J.M. Photoionisation of helium with ultrashort XUV laser pulses. Eur. Phys. J. D 2003, 27, 287–290. [Google Scholar] [CrossRef]
- Barna, I.F.; Pocsai, M.A.; Mátyás, L. Analytic Solutions of the Madelung Equation. Journal of Generalized Lie Theory and Applications 2017, 11, 271. [Google Scholar] [CrossRef]
- Simpao, V.A.; (Editors), H.C.L. Understanding the Sschrödinger Equation Some [Non]Linear Perspectives; Nos Science Publisher, 2020; chapter Chapter 6,Self-Similar and Traveling-Wave Analysis of the Madelung Equations Obtained from the Schrödinger Equation.
- Mátyás, L.; Barna, I.F. General Self-Similar Solutions of Diffusion Equation and Related Constructions. Romanian Journal of Physics 2022, 67, 101–117. doi:https://rjp.nipne.ro/2022_67_1-2/RomJPhys.67.101.pdf.
- Barna, I.F.; Mátyás, L. Advanced Analytic Self-Similar Solutions of Regular and Irregular Diffusion Equations. Mathematics 2022, 10, 3281. [Google Scholar] [CrossRef]
- Mátyás, L.; Barna, I.F. Even and Odd Self-Similar Solutions of the Diffusion Equation for Infinite Horizon. Universe 2023, 9, 264. [Google Scholar] [CrossRef]
- Bluman, G.W.; Cole, J.D. The General Similarity Solution of the Heat Equation. Journal of Mathematics and Mechanics 1969, 18, 1025–1042, https://personal.math.ubc.ca/ bluman/jmm%20article%201969.pdf. [Google Scholar]
- Sedov, L.I. Similarity and Dimensional Methods in Mechanics; CRC Press, 1993.
- Barna, I.F.; Mátyás, L. Analytic self-similar solutions of the Oberbeck–Boussinesq equations. Chaos, Solitons and Fractals 2015, 78, 249–255. [Google Scholar] [CrossRef]
- Barna, I.F.; Bognár, G.; Mátyás, L.; Hriczó, K. Self-similar analysis of the time-dependent compressible and incompressible boundary layers including heat conduction. ournal of Thermal Analysis and Calorimetry 2022, 147, 13625–13632. [Google Scholar] [CrossRef]
- Olver, F.W.J.; Lozier, D.W.; Boisvert, R.F.; Clark, C.W., Eds. NIST Handbook of Mathematical Functions; Cambridge University Press, 2010. doi:https://dlmf.nist.gov/.
- Abramowitz, M.; Stegun, I.E., Eds. Handbook of Mathematical Functions with Formulas, Graphs, and Mathematical Tables; Dover Publisher, 1970.
- Niederer, U. Maximal kinematical invariance group of the free Schrodinger equation. Helv. Phys. Acta 1972, 45, 802–810. [Google Scholar] [CrossRef]
- Shapovalov, V.N.; Bagrov, V.G.; Meshkov, A.G. Izv. Vyssh. Uchebn. Zaved., Fiz.,1971, 8, 45–50. [CrossRef]
- Beckers, J.; Patera, J.; Perroud, M.; Winternitz, P. Subgroups of the Euclidean group and symmetry breaking in nonrelativistic quantum mechanics. J. Math. Phys. 1977, 18, 72–83. [Google Scholar] [CrossRef]
- Berry, M.V.; Balázs, N.L. Nonspreading wave packets. Americal Journal of Physics 1979, 47, 264–267. [Google Scholar] [CrossRef]
- Garraway, B.M.; Suominent, K.A. Wave-packet dynamics: new physics and chemistry in femto-time. Rep, Prog. Phys. 1995, 58, 365–419, https://iopscience.iop.org/article/10.1088/0034-4885/58/4/001/pdf. [Google Scholar]
- Briggs, J.S. Trajectories and the perception of classicalmotion in the free propagation of wave packets. Natural Sciences 2022, 2, 1–18. [Google Scholar] [CrossRef]
- Briggs, J.S.; Rost, J.M. Time dependence in quantum mechanics. European Physical Journal D 2000, 10, 311. [Google Scholar] [CrossRef]
- Gemsheim, S.; Rost, J.M. Emergence of Time from Quantum Interaction with the Environment. Physical Review Letters 2023, 131, 140202. [Google Scholar] [CrossRef] [PubMed]
- Wigner, E. On the Quantum Correction For Thermodynamic Equilibrium. Physical Review 1932, 40, 749. [Google Scholar] [CrossRef]
- Jacobs, K. Quantum Measurement Theory and its Applications; Cambridge University Press, 2014.
- Genovese, M. Research on hidden variable theories: a review of recent progresses. Physics Reports 2005, 413, 319–396. [Google Scholar] [CrossRef]
- Bell, J.S. Speakable and Unspeakable in Quantum Mechanics; Cambridge University Press, 1987.
- Everett, H. Relative State Formulation of Quantum Mechanics. Review of Modern Physics 1957, 29, 454–462. [Google Scholar] [CrossRef]
Disclaimer/Publisher’s Note: The statements, opinions and data contained in all publications are solely those of the individual author(s) and contributor(s) and not of MDPI and/or the editor(s). MDPI and/or the editor(s) disclaim responsibility for any injury to people or property resulting from any ideas, methods, instructions or products referred to in the content. |
© 2023 by the authors. Licensee MDPI, Basel, Switzerland. This article is an open access article distributed under the terms and conditions of the Creative Commons Attribution (CC BY) license (http://creativecommons.org/licenses/by/4.0/).