Submitted:
23 December 2023
Posted:
25 December 2023
You are already at the latest version
Abstract

Keywords:
1. Introduction
2. Materials and Methods
2.1. De Sitter effect
2.2. Luminosity distances.
Spherical symmetry.
Redshift-distance relationship.
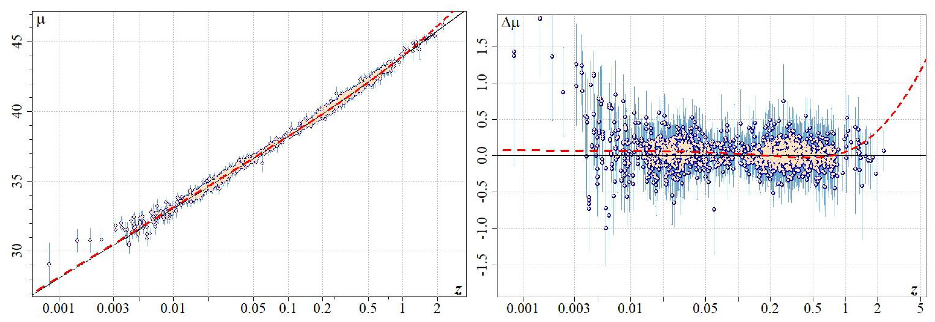
3. Results
3.1. Cosmological scale
3.2. Microscopic scale
3.2.1. Wheeler’s wormhole particles.
3.2.2. Concept of tripolarity.
3.2.3. Chromoelectric field.
3.2.4. Tripoles.
3.2.5. Strings of tripoles.
The electron
The photon
4. Discussion
4.1. Cosmological scale
4.2. Microscopic scale
5. Conclusions
Funding
Institutional Review Board Statement
Informed Consent Statement
Data Availability Statement
Acknowledgments
Conflicts of Interest
Abbreviations
| FLRW | Friedmann-Lemaitre-Robertson-Walker (metric) |
| JWST | James Webb Space Telescope |
| CDM | Lambda-Cold-Dark-Matter (cosmological model) |
| dS | de Sitter (metric) |
| SdS | Schwarzschild-de Sitter (metric) |
References
- Hamilton, W.R. On quaternions; or on a new system of imaginaries in algebra, Philosophical Magazine Series 3 1844, XXV, 10–13, 241–246. [CrossRef]
- de Sitter, W. On Einstein’s theory of gravitation, and its astronomical consequences. Third paper, MNRAS 1917, 78, 3–28. [CrossRef]
- Einstein, A. Kosmologische betrachtungen zur allgemeinen Relativitätstheorie, Sitz.Preuss.Akad.Wiss Phys. 1917, VL, 142–152.
- Newcomb, S. Elementary theorems relating to the geometry of a space of three dimensions and of uniform positive curvature in the fourth dimension, J. für die reine und angewandte Mathematic 1877, LXXXIII, 293–299.
- Schwarzschild K., Ueber das zulässige Krümmunsmass des Raumes, Vierteljahrssch. der Astr. Ges. 1900, XXXV, 337-347.
- Lemaître, G. Un univers homogène de masse constante et de rayon croissant rendant compte de la vitesse radiale des nébuleuses extra-galactiques, Ann. Soc. Sci. Bruxelles A. 1927, 47, 49–59.
- Tolman, R.C. On the estimation of distances in a curved universe with a non-static line element. Proc. Nat. Acad. Sci. USA 1930, 16, 511–520. [CrossRef]
- Robertson, H.P. Kinematics and world structure, ApJ 1935, 82, 284–301; ApJ 1936,83, 187–201, 257–271. [CrossRef]
- Hubble, E., A relation between distance and radial velocity among extragalactic nebulae, Proc. Natl. Acad. Sci. 1929, 15, 168–173. [CrossRef]
- Friedmann, A. Über die Krümmung des Raumes, Zeitschrift für Physik A 1922, 10, 377–386. [CrossRef]
- Walker, A.G. On Milne’s theory of world-structure, Proc. Lond. Math. Soc. Ser. 2, 1937, 42, 90–127. [CrossRef]
- Haradhan K. M., A Brief Analysis of de Sitter Universe in Relativistic Cosmology, J. Sci. Achiev. 2017, 2, 1-17.
- Brout, D., Scolnic, D., Popovic, B., Riess, A.G., Zuntz, J., Kessler, R., Carr, A., Davis, T. M., et al., The Pantheon+ Analysis: Cosmological Constraints, ApJ 2022, 938, 110 (24pp). [CrossRef]
- Tamburini, F., Licata, I., General relativistic wormhole connections from Planck-scales and the ER = EPR conjecture, Entropy 2020, 22, 3 (14 pp.). [CrossRef]
- Morris, M.S., Thorne, K.S., Wormholes in spacetime and their use for interstellar travel: A tool for teaching general relativity, Am. J. Phys. 1988, 56, 395–412. [CrossRef]
- Einstein, A. and Rosen, N. The Particle Problem in the General Theory of Relativity, Phys. Rev. 1935, 48, 73–77. [CrossRef]
- Morris, M.S., Thorne, K.S., Yurtsever, U., Wormholes, time machines, and the weak energy condition, Phys. Rev. Lett. 1988, 61, 1446–1449. [CrossRef]
- Tolman, R.C. Static solutions of Einstein’s field equations for spheres of fluid. Phys. Rev. 1939, 55, 364–373. [CrossRef]
- Wheeler J.A., Geons, Phys. Rev. 1955, 97, 511-536. [CrossRef]
- Misner C. & Wheeler J.A., Classical physics as geometry, Ann. Phys. 1957, 2, 525–603. [CrossRef]
- O.W. Greenberg, Spin and unitary spin independence in a paraquark model of baryons and mesons, Phys. Rev. Lett., 13, 598-602 (1964. [CrossRef]
- Osenda O., Serra P., Tamarit F.A., Non-equilibrium properties of small Lennard-Jones clusters, 2002 Physica D - Nonlinear Phenomena, 168, 336-340. [CrossRef]
- Osenda O., Tamarit F., Cannas S., Nonequilibrium structures and slow dynamics in a two-dimensional spin system with competing long-range and short-range interactions, Phys. Rev. E, 2009, 80, 21114-21127. [CrossRef]
- Lorentz H.A., The Theory of Electrons, 2nd Ed., (Teubner & Stechert, Leipzig, N.Y. 1916, 344 pp.
- Born M., On the quantum theory of the electromagnetic field, Proc. R. Soc. Lond. A 143, 410–437 (1934). [CrossRef]
- Born M., Infeld L., Foundations of the new field theory, Proc. R. Soc. Lond. A 144, 425–451 (1934).DOI: 10.1098/rspa.1934.0059.
- Dirac P.A.M., Classical theory of radiating electrons, Proc. R. Soc. Lond. A 167, 148–169 (1938. [CrossRef]
- Landau L.D., Lifshitz E.M., Field Theory, Rev. 2nd ed., Pergamon Press, Oxford, 1962, 404 pp.
- Frenkel J., On Born’s theory of the electron, 1934, Proc. R. Soc. Lond. A 146, 930. [CrossRef]
- Parker E.N., Cosmical Magnetic Fields, Clarendon Press, New York, 1979, 841 pp.
- Cox S.M., Matthews P.C., New instabilities in two-dimensional rotating convection and magnetoconvection, Physica D: Nonlinear Phenomena, 2001, 149, 210-229. [CrossRef]
- Pipin V.V., ,Kichatinov L.L., The solar dynamo and integrated irradiance variations in the course of the 11-year cycle, Astron. Rep., 2000, 44, 771-779. [CrossRef]
- Liu W., Haller G., Inertial manifolds and completeness of eigenmodes for unsteady magnetic dynamos, Physica D: Nonlinear Phenomena, 2004, 194, 297-319. [CrossRef]
- Kadomtsev B.B., Tokamak Plasma: A Complex Physical System, Inst. of Phys. Publ., Bristol, Philadelphia, 1992, 208 pp.
- Wesson J.A., Tokamaks, 2nd ed., Oxford Univ. Press, Oxford, 1997, 680 pp.
- White R.B., The Theory of Toroidally Confined Plasmas, revised 2nd ed., Imperial College Press, London, 2006, 367 pp.
- Kleman M., Lines and Walls, Wiley and Sons, Chichester, 1983, 322 pp.
- Yershov V. N., Quantum properties of a cyclic structure based on tripolar fields, 2007, Physica D: Nonlinear Phenomena, 226, 136-143. [CrossRef]
- Witten E., 1996, Bound states of strings and branes, Nucl. Phys. B, 460, 335-350. [CrossRef]
- Polchinski J., String theory, Vol.1, Cambridge Univ. Press, Cambridge, 1998, 422 pp.
- Pati J.C., Salam A., Unified lepton-hadron symmetry and a gauge theory of the basic interactions, Phys. Rev. D, 1973, 8, 1240-1251. [CrossRef]
- Harari H., Seiberg N.A., 1979, A schematic model of quarks and leptons, Phys. Lett. B, 86, 83-86. [CrossRef]
- Kalman C.S., 2005, Why quarks cannot be fundamental particles, Nuct. Phys. B - Proc. Suppl., 142, 235-237.DOI: 10.1016/j.nuclphysbps.2005.01.042.
- Chan H.M., Tsou S.T., Fermion generations and mixings from dualized Standard Model, 2002 Acta. Phys. Polon. B, , 33, 4041-4100.
- Yershov, V.N., Neutrino masses and the structure of the weak gauge boson, in Focus on Boson Research, Ed. A.V. Ling, Nova Science Publishers (Hauppauge NY), 2006, 131-181.
- Scolnic, D., Brout, D., Carr, A., Riess, A.G., Davis, T.M., Dwomoh, A., Jones, D.O., Ali, N., Charvu, P., et al., The Pantheon+ Analysis: The Full Dataset and Light-Curve Release, ApJ 2022, 938, 113 (15pp). [CrossRef]
- Lovyagin N., Raikov A., Yershov V., Lovyagin Yu., Cosmological model tests with JWST, Galaxies, 2022, 10, 108 (20 pp). [CrossRef]
- Castellano, M., Fontana A., Treu T., Merlin E., Santini P., Bergamini P., Grillo C., Rosati P., et al., Early results from GLASS-JWST. XIX. A high density of bright galaxies at z ≈ 10 in the A2744 region, 2023, ApJ Lett., 948, L14 (11pp).DOI: 10.3847/2041-8213/accea5.
- Gupta R.P., JWST early Universe observations and ΛCDM cosmology, 2023, MNRAS, 524, 3385–3395.DOI: 10.1093/mnras/stad2032.
- Melia F., The cosmic timeline implied by the JWST high-redshift galaxies, 2023, MNRAS, 521, L85-L89.DOI: 10.1093/mnrasl/slad025.












Disclaimer/Publisher’s Note: The statements, opinions and data contained in all publications are solely those of the individual author(s) and contributor(s) and not of MDPI and/or the editor(s). MDPI and/or the editor(s) disclaim responsibility for any injury to people or property resulting from any ideas, methods, instructions or products referred to in the content. |
© 2023 by the authors. Licensee MDPI, Basel, Switzerland. This article is an open access article distributed under the terms and conditions of the Creative Commons Attribution (CC BY) license (http://creativecommons.org/licenses/by/4.0/).
