1. Introduction
In this paper we are concerned with the problem of gaining information about nature by performing physical experiments. In order to introduce this subject we consider in
section 2 three historic experiments which had been ground-breaking in the evolution of theories which form the background of our current understanding of matter on the atomic, nuclear and elementary particle scales. In the past these experiments had been conceived and carried out with the aim of producing macroscopically observable phenomena that allow distinguishing between conceivable alternatives of explanation that had been discussed at their times of invention. Concerning the process of information gain through experiments, one of the most striking aspects is that, irrespective of the physical questions asked, all experiments produce as outputs transient effects which are localized in space and time, and which accumulate over time into spatio-temporal patterns of events which allow decisions to be taken concerning conceivable alternatives of explanation.
Considering those events, the interesting aspect is that these elementary observations are meaningless in the sense that these do not convey any other information other than that that an event has happened at a certain space-time location or not. As such elementary observations represent binary decisions between two alternatives, the experimental answers produced by these key experiments resemble messages sent over digital communication channels in which complex and meaningful messages are made up from individual, but otherwise meaningless bits [
1,
2,
3,
4,
5]. Whereas the traditional interpretations of the above key experiments had tacitly assumed that particles, waves, and fields are primary entities of physical reality, more recent ideas were raised which assume that all physical entities at their bottom are information-theoretic in origin. This latter idea, which had been raised by John Archibald Wheeler [
6], and aphoristically termed “it from bit” has raised a vivid controversy between the traditional point of view of “bit from it” and the more recent point of view of “it from bit” [
6,
7,
8,
9].
In view of this controversy, it appeared relevant to dig deeper and to elucidate the physical and information-theoretic character of those elementary pieces of information from which the more complex and physically meaningful experimental answers are being built up. Working towards that goal, we discuss in this paper a novel kind of information-theoretic model device which contains in its interior thermally generated radiation, and which transforms radiation-wall interactions at its internal surfaces into output events on its outer surfaces which makes these follow-on events accessible to external observers. The design and performance of such model devices is described in
section 3, culminating in the conclusion that the elementary pieces of information produced by such devices are pieces of physical action, produced at the expense of dissipating energy. Another key conclusion is that with the physical action gained per unit of entropy, a logarithmic measure of information
can be defined which specifies the observational value of an event. This latter measure of information differs from the conventional concept of thermodynamic information which derives from entropy, and which measures the rarity of occurrence of events [
10,
11,
12,
13,
14,
15,
16,
17,
18,
19,
20]. The new kind of information
ignores rarity but measures the spacetime extension of a produced event relative to the amount of entropy that had been produced in its production.
The results obtained in
section 3 are further discussed in
section 4,
section 5 and
section 6. While
section 4 makes a connection to the Landauer principle which states that erasure of information requires dissipation of energy [
12,
13,
14],
section 5 draws attention to the fact that making events macroscopically observable, huge amounts of amplification are required in the sense that the spacetime extension of the output events needs to be expanded by huge amounts over the spacetime extensions of the initiating internal radiation-wall interactions.
Section 6 considers macroscopically observable events as observed from different frames of reference. These latter considerations lead to the result that the observational value of a produced event is a relativistic invariant in case the proper relativistic transformation of temperatures is given by the Ott transformation [
21].
Section 7, finally, summarizes our results leading to the key conclusion that - in contrast to the events of relativity which are mere 4-tuples of spacetime coordinates - the events of observation are temporal transients, endowed with the properties of physical action, spacetime extension and Lorentz-invariance.
2. Gaining information from physical experiments
Before turning to events as elements of physical observation, we consider a few examples which demonstrate how complex observations build up from more elementary observations.
An every-day example of a complex observation is observing a macroscopic object sitting in space or moving around through space. Observing such an object requires a huge number of photons to be scattered from the object´s surface into the observer´s eye. Due to the huge number of photons involved, the discontinuous nature of the observation process does not become apparent on a macro-scale.
A more direct impression of the discontinuous nature of observation is provided by experiments which had been designed to convey information about matter at the atomic, nuclear and elementary particle scales. Examples of complex observations are the angular distributions of scattered particles in a Rutherford scattering experiment [
22,
23], the demonstration of the wave nature of corpuscular matter in double-slit experiments [
24,
25,
26,
27], and the observation of particle trajectories in cloud-, bubble- or streaming chambers [
28,
29,
30] in high-energy physics experiments. For the sake of illustration, these experiments are sketched in
Figure 1,
Figure 2 and
Figure 3 below.
Moving from top to bottom these examples show that Rutherford scattering experiments had convincingly demonstrated the nuclear nature of atoms [
22,
23] and rejected the earlier “plum pudding model” of atoms proposed by J.J. Thompson [
33]. In this way the road towards the Bohr theory of the hydrogen atom [
34,
35] and the modern quantum theories of Heisenberg [
36] and Schrödinger [
37] had been paved. The double-slit experiments, on the other hand confirmed the assumption of a wave-particle duality which underlay the Heisenberg and Schrödinger pictures of the atom. The cloud- [
28], bubble- [
29] and spark chamber [
30] experiments performed in the realm of high-energy physics, finally contributed to the discovery of a vast variety of elementary particles which led to the standard model of elementary particles [
38].
Looking for commonalities in all three experiments, it is revealed that the experimental questions posed in each case are answered in the form of spatio-temporal patterns of more elementary observations which are observable through visible-light interactions and that these by themselves do not convey any other information other than that that an event has happened at a certain space-time location
. As these elementary observations occur in the form of simple yes/no answers, the physical questions raised in all three experiments are answered in the form of messages consisting of binary pieces of information, similar to texts and pictures transmitted in technical communication channels [
1,
2,
3,
4,
5]. Whereas the semantic part of information, i.e. the meaning that can be assigned to the produced patterns, had been at the forefront of physical interest over the length of time, very little interest had been devoted to those binary pieces of information from which the semantic pieces of information are being built up. In the following, we therefore proceed in elucidating the physical and information-theoretic characteristics of such elementary pieces of information.
3. Events as pieces of realized information
3.1. Photo-ionization detectors (PID) as information-theoretic model devices
Historically, information has made its way into the framework of physics through its sub-field of thermodynamics. A good review of these historic developments is given in the books of Rex and Leff [
39,
40]. In establishing key concepts of energy, entropy and information, cylinder-piston-type arrangements had often been considered in which cyclic processes on single-molecule gases had been mentally performed to reveal the interrelationships between the above concepts [
10,
41,
42,
43].
The experiments displayed in
Figure 1,
Figure 2 and
Figure 3 above, in contrast, have revealed that in the sub-fields of atomic, nuclear and particle physics, experimental answers are generally built up from elementary pieces of information which appear in the form of events which are sharply localized in space and time, but still extended enough to be visually observable on a macroscale. As cylinder-piston-type model devices appeared to be less appropriate to deal with such events, we decided to resort to information-theoretic model devices other than those previously discussed cylinder-piston arrangements.
The information-theoretic model device we will be dealing with in the rest of the paper is illustrated in
Figure 4. As shown in
Figure 4a, this device consists of a hollow cube with side lengths
which are small but still large enough to be visually observable. Being maintained at finite temperatures
, the internal volume with size
fills with thermal radiation, which is continually reflected on its internal walls, and eventually absorbed there. Being isolated from the environment, the radiation-wall interactions inside this volume remain completely inaccessible to outside observers.
In order to make internal radiation-wall interactions accessible to outside observers, additional circuitry needs to be added.
Figure 4b shows this additional equipment. This equipment firstly comprises a pair of metallic read-out electrodes, positioned face-to-face on opposite internal walls, and secondly an external readout circuit containing an electrical power source and a display device. As shown in more detail in
Appendix A, this additional circuitry will produce in response to radiation-wall interactions at the cathode surface short current transients
which increase linearly with time, and which abruptly terminate after a liberated electron had completed its travel from cathode to anode. Observing the display device, binary decisions of the form
can be taken during each observational time interval
, where
stands for the electron transit time through the device. In this way, a more complex message develops in the course of time which consists of a stream of binary bits as shown in
Figure 4c.
In the rest of the paper we analyze in more detail the performance of such model devices with an aim of establishing the physical characteristics of such events and the information contents that are conveyed to external observers upon observing such events.
3.2. Potential information carried by photons prior to detection
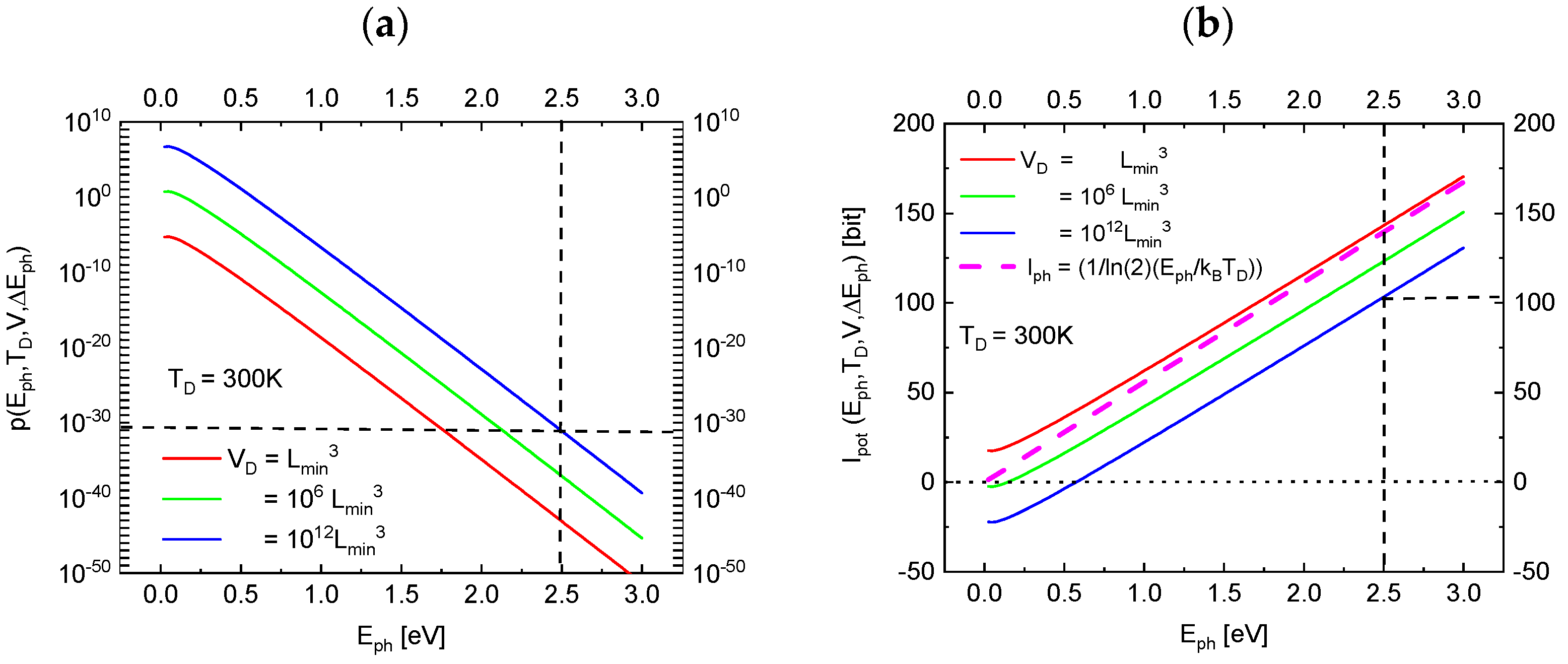
Before we proceed to the output current transients produced by such model devices, we briefly consider the numbers of photons that are travelling through the interior of such devices, and we are further interested in the kinds and amounts of information that are carried with such photons prior to their detection.
Although in the arrangement of
Figure 4a the number of photons travelling throughout its internal device volume cannot be experimentally assessed, thermal equilibrium statistical mechanics nevertheless allows the average numbers of photons travelling throughout the detector volume to be enumerated [
17,
44,
45]. Starting from the Planck distribution the probability of finding photons
with energies
in a volume of size
and maintained at a temperature
emerges as:
While in this equation the parameters
,
, and
retain their usual meaning, the volume
stands for the volume of a photon that is maximally constrained to one half wavelength in each spatial direction
, finally, is the observational time window corresponding to a single electron transit time through the device. As shown in
Figure 5a, the probability
of finding a green-light photon with energy
in a volume
maintained at around
is extremely small.
With an information measure based on rarity [
45,
46,
47], i.e.,
much smaller and easier to handle numbers arise:
In this latter equation the first term
stands for the potential information carried by a photon of energy
relative to a heat reservoir of temperature
[
20], while the second term
stands for the loss in information that arises due to the unknown localization of the photon inside the volume
and when measured in units of the photon´s intrinsic volume
[
20].
For the sake of clarity, Equation 3 has been plotted in
Figure 5b, again for a green-light photon and for different volumes
all being maintained at a temperature
. As revealed from the ordinate, much more manageable quantities of round-about 100-140 binary digits or bits are obtained.
With the potential information carried by photons which had been thermally excited in the interior of the device we now turn to those processes that allow this potential information to be converted into pieces of realized information.
3.3. Electron transients as pieces of realized information
As shown in more detail in
Appendix A, the key observables produced by the model device in
Figure 4b are current transients of the form
which increase linearly with time
as photoelectrons travel from cathode to anode and which abruptly terminate when electrons reach the anode surface after the electron transit time
had elapsed. In these latter equations,
is the electron charge,
the speed of light, and
the rest energy of the photoelectrons,
is the length of the internal electron transport path and
the bias potential applied across the internal electrode gap.
With the electron transients
(
) constituting the primary pieces of realized information that can be retrieved from the model devices, additional pieces of information can be obtained by integration of
over the transit time interval
. The first of these magnitudes is the amount of transported charge:
Once the observation of a single-electron transit has been confirmed in this way, other quantities can be obtained by multiplying the current transients
with the bias potential
that had been applied across the detector gap. In this way the signal power
is obtained. Double integration of
over the transit time interval
, first yields the kinetic energy of the photoelectrons, which upon impact at the anode surface, amounts to:
and secondly, the physical action that is associated with photoelectron transits:
Interpreting the physical action gained as the effect of work done on the photoelectrons, the function can be interpreted as the observational value of the detector output signal .
While this observational value has accumulated during the electron transit, the current
had not only been travelling through the detector gap but also through the entire external electronic circuit, including both metal electrodes (see
Figure 4b). As during this transit the electrons experienced friction, all energy that they gained during their transit had been dissipated into low temperature heat, thus leading to an entropy production of
per electron upon completion of their transit.
Realizing that the pieces of physical action
arise out of the dissipation of externally supplied energy
, the gain in physical action per unit of entropy expended,
, turns into a relevant property. This quantity, which has the physical dimensions of a temperature-time product, can be turned into a dimensionless quantity by division through the universal temperature-time constant of
thus yielding
With a dimensionless quantity at hand, a logarithmic measure of the realized information gain per electron transit can be obtained which depends on a ratio of two time constants:
Here,
is the reduced electron transit time
and
the thermal fluctuation time
For the sake of illustration, the variation of
is plotted in
Figure 6a as a function of the normalized bias potential
with the magnitude of the electrode gap width
as a parameter. This figure shows that the function
goes through a local maximum at
and that this maximum linearly increases with the electrode gap width
.
Figure 6b, in turn, shows how the local maximum of
arises out of the specific bias dependences of the normalized gains in physical action and in associated entropy cost.
Comparing the formulae for the realized informational gain in photon detection (Eq.16) relative to the potential information that the photon had carried prior to its detection (Eq.2), it is revealed that both kinds of information measure very different properties. While the function

measured rarity, i.e. the unlikeliness that a photon of energy
will be found in a volume of size
and maintained at a temperature
, the function

does not measure rarity at all. Properties that determine the magnitude of
, rather, are firstly the externally supplied energy
that had been invested in driving the travelling electron from cathode to anode and which has simultaneously been dissipated, and secondly the width
of the electrode gap which determines the length of the electron transit time
through this gap. While the parameters
and
measure the spacetime extension of the produced event, the function

overall measures the spacetime extension of the detection event relative to the entropy cost that had to be expended in its production.
4. Entropy cost of realized information and Landauer principle
In this section we concentrate on the dependence of on the normalized bias potential
Reference to Equation 15 reveals that no physical action is produced as long as no externally supplied energy is used in the event production:
Under such no-bias conditions, photon energy is reversibly exchanged into electron energy and back again as photons suffer radiation-wall interactions upon reflection at both electrode surfaces. Under such conditions each piece of potential information that had been carried by the internally generated photons and photoelectrons is erased again in a bit-by-bit manner, requiring for every bit of potential information the dissipation of a Landauer energy equivalent of information of
units of energy per bit [
11,
12,
13,
14]. This reversible situation is also illustrated in
Figure 7a.
Supplying external energy, current transients
are enabled, causing an increase in
until a local maximum is encountered at
:
Under these latter conditions the total amount of energy that is dissipated in the process of event erasure matches two times the energy that had previously been invested in the process of event initiation. This situation is also visualized in
Figure 7b, in form of a band energy diagram drawn for a correspondingly biased PID device.
Further increasing the bias potential to its absolute maximum of
the electron transit time through the PID is reduced to its absolute minimum and the ensuing entropy production to its absolute maximum. The relative gain in
is thereby reduced to:
As already discussed in [
49], these latter biasing conditions allow the time resolution of the photon detection event to be pushed to its absolute maximum, set by the constraints imposed by the photon-energy/time uncertainty relationship. Obviously, this increased information gain has to be paid for by a largely increased level of entropy production, thus resulting in a lower level of
. While these latter biasing conditions are disadvantageous for detecting device-internal radiation-wall interactions, the minimization of such “fake events” is advantageous when externally generated photons are allowed to enter the detection volume and when such photons need to be detected with high signal-to-noise ratios [
49].
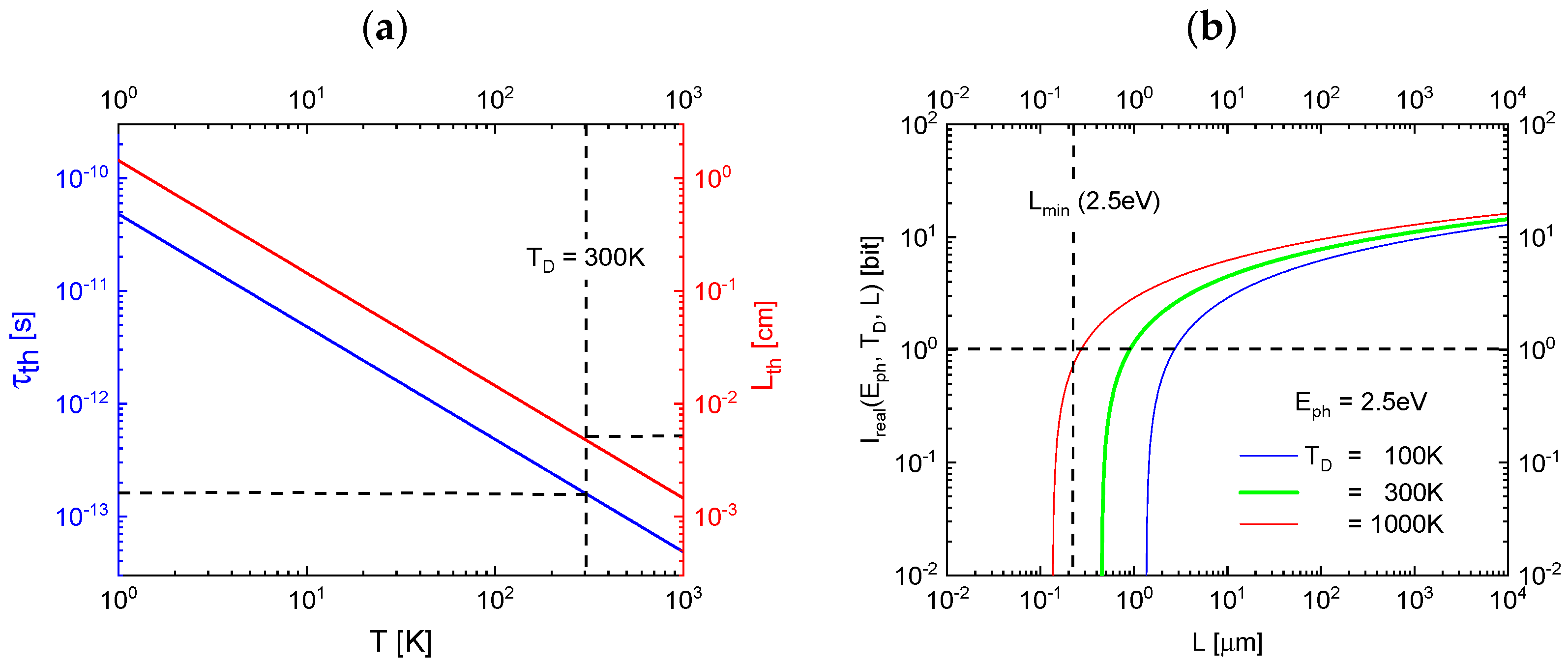
5. Importance of amplification in the detection process
Having discussed the dependence of the realized information
on the reduced bias potential
, we now consistently put
and discuss its dependence on the length of the electron gap and the associated time duration of an electron transit. Returning to Equation 15, it is relevant to note that his equation can be expressed in two equivalent forms:
In these latter equations
is the electron transit time through a detector gap of width
under the condition
while
is the temperature-dependent thermal fluctuation length
For the sake of illustration, the magnitudes of thermal fluctuation times and lengths have been drawn as functions of the detector temperature
in
Figure 8a.
Figure 8b, in turn, shows how both fluctuation parameters impact the magnitude of
. While the ordinate in
Figure 8b shows that really macroscopic dimensions in the order of millimeters to centimeters need to be reached to arrive at sizeable bit values of observational value, the three sample evaluations at 100K, 300K and 1000K show that high temperatures help in attaining reasonable bit values of observational quality even at moderate electrode gap widths. In striking contrast to the function
, which assigns high bit values to rarity at low temperatures, high and almost temperature-independent bit values of observational value are attained when electron transport lengths reach really macroscopic dimensions.
Overall, the above considerations have revealed that the functions and , i.e. the potential information carried by a photon prior to its detection and the observational value gained after actually detecting one of those rare photons measure very different properties. While thermal excitations of size in an environment maintained at a temperature are assigned high values of rarity in case of , the value of actually observing one of those rare events is much less dependent on both of these parameters. What actually counts for attaining high values of is the length of the electrode gap width, i.e. the gain in spacetime delocalization that has occurred during detection.
6. Photon detection events as seen from different frames of reference
In this section we return to Equations 23 and 24 and ask ourselves how the observational value of one and the same event would change when looked at by two observers moving at different speeds along the electron transport path of one and the same PID device.
Intuitively one is tempted to answer that observers moving relative to each other will see one and the same event happening in different spacetime locations but that both would agree on the observation that something has happened at these different spacetime locations. Presumably, both observers might also agree on the fact that both events have yielded the same observational value. Returning to Equations 23 and 24 such a conclusion concerning the observational value is indeed suggested because either depends on a ratio of two times or two lengths, both of which are expected to transform in the same manner. In any case the logarithmic function would then be a relativistic invariant.
The problem of relativistic invariance, however, is more complicated as both times and lengths need not necessarily transform in the same manner. Writing out both ratios in full detail, one can observe that the transformation properties of both ratios are determined by the transformation properties of the product
:
This latter result leads to the unsolved problem of the correct relativistic temperature transformation. Up to the present day, this problem remains unsolved: while the Mösengeil transformation [
50] suggests that moving objects appear cooler, the Ott transformation [
21] suggests that moving objects appear hotter; others [
51,
52,
53,
54], in contrast, maintain that temperature is a relativistic invariant or that a universal temperature transformation does not exist at all. With this background in mind, the transformation of observational value remains unsolved.
Figure 9, on the other hand, presents a solution which agrees with the intuitive scenario mentioned above. In
Figure 9a observer 1 and PID device are both at rest relative to each other. In this situation observer 1 would see a PID device with an electrode gap of width
with both electrodes being maintained at a temperature
. In
Figure 9b observer 2 is moving with speed
towards the right while looking at exactly the same PID device. As for observer 2 the PID is moving with speed
to the left, observer 2 would see the electrode gap shortened to
. In case temperature is a relativistic invariant,
, observational values would be lower for the moving observer. In case the Mösengeil transformation would apply, this problem would aggravate with both
and
being reduced. The only possibility for making the observational value of events invariant is using the Ott transformation in which case
which cancels the shortening of the electrode gap width. This latter scenario is illustrated in
Figure 9a,b.
7. Summary and conclusions
In this paper we have been concerned with the process of information gain through physical experiments. Concentrating on the sub-fields of atomic, nuclear and particle physics we have shown that experiments performed in these fields produce complex pieces of information that build up in the course of time from more elementary observations, and which by themselves do not convey any other meaning other than that that an event has happened at a certain spacetime location . Such elementary observations thus represent the results of binary decisions with regard to simple alternatives such as “event has happened at a particular spacetime location ” or “event has not happened at . A problem with such an interpretation is that events as physical entities have already found their place in physics in the sub-field of relativity where events feature as 4-tuples of spacetime coordinates , independent of the fact whether something has happened at these locations or not.
Being aware of this situation we have introduced in this paper a new kind of information-theoretic model device which is able to make a distinction between the events of relativity and the events of observation. These model devices consist of small cubes with side lengths and positioned at fixed positions in 3d space. In order to generate macroscopically observable events at times and spacetime locations these cubes are maintained at a constant temperature which causes their internal volumes of size to fill with thermal radiation which frequently interacts with their inside walls. In order to make these internal radiation-wall interactions visible to outside observers, the volumes are additionally endowed with circuitry which provides at their outside walls amplified images of those microscopic radiation-wall interactions that occur at their inside walls. In brief, such model devices are generators of elementary observations which provide decisions concerning binary alternatives whether an event has happened or not at the spacetime location and within the finite spacetime volume of size , where is the detector volume and the time duration of the electron travel event and the velocity of light.
Analyzing such devices, we have arrived at the conclusion that events constituting elementary observations are phenomena that are triggered by energetic interactions that occur at atomic, molecular or nuclear length and time scales and that these are amplified into macroscopically observable size by the irreversible dissipation of externally supplied sources of energy. The result of such amplification processes are pieces of physical action, produced at the expense of energy dissipation. A consequence of this irreversibility is that the events of observation have a finite lifetime, or in other words that these are self-erasing. Such irreversibility is consistent with the Landauer principle which endows information-resets with a finite amount of energy expense [
12,
13,
14]. With the help of the relative amount of physical action gained per unit entropy, also a dimensionless measure
of the observational value of a macroscopically observed event could be obtained. Unlike the thermodynamic information
which measures the unlikeliness of an excitation of energy
in a background of temperature
[
20] the information
presents a logarithmic measure of the observational value of an event which depends on the spacetime extension
of the detection event and on the amount of entropy expended in its production. Finally, we concluded that the so-defined observational value is a relativistic invariant, provided that the correct relativistic transformation of temperatures is given by the Ott transformation [
21].
Funding
This research received no external funding.
Institutional Review Board Statement
Not applicable.
Conflicts of Interest
The author does not declare any conflict of interest
Appendix A. PID functional principle
In this section, we briefly review the theory of photo-ionization detectors (PID) with the aim of providing a basis for the derivations in
section 3 of the main text. The theory of PIDs and other kinds of photon detectors is treated in great detail in the textbook of Kingston [
48]. Here we only review some of those key formulae that had been derived in one of our previous papers [
49].
Starting from
Figure 4a,b, we consider a pair of plane-parallel metal electrodes with cross-sectional area
and facing each other across a distance
. Once these electrodes are operated at a finite temperature
, the gap between both electrodes fills with blackbody radiation which contains photons with energies ranging from zero up to very large energies. While photons with thermal energies are numerous, those with visible and ultraviolet light energies are very rare (see
section 3.2). Photons which fulfill the detectability criterion of
where
is the metal work function, are in principle able to raise electrons inside both electrodes from the Fermi energy inside these electrodes to the respective vacuum energies. While being excited to the vacuum energy, photoelectrons are principally able to migrate through the detector gap which, however, will not take place as long as no bias potential
is applied across the detector gap. The only way out for excited electrons is falling back to the Fermi energy inside their respective electrodes without producing any effect that would be observable at the outside walls of the detector device.
Things change, however, when a dc potential
is applied across the detector gap
. Once an electron had been freed from the cathode surface by a radiation-wall interaction, the electron is free to move along the electric field lines generated by the bias potential across the electrode gap:
Integrating twice, the time to traverse the electrode gap can be found:
In this latter equation,
is the electron charge,
the speed of light, and
the rest energy of the photoelectrons. During their transit, the photoelectrons accelerate and increase speed up to the point when they arrive at the anode surface at time
In this way, electrical current pulses are generated which increase linearly with time
and which terminate abruptly once the time
had elapsed:
Relevant for detection is that these currents do not flow only through the detector gap, but for reasons of current continuity, also through the entire external electronic circuit where these can generate macroscopically observable phenomena (
Figure 4b and
Figure 7b). Such a situation is depicted in
Figure 4b.
A look at Equations 7 and 8 reveals that the signal currents
can be maximized by increasing the bias potential to its absolute maximum of
above which electron-positron generation sets in and above which the detector gap becomes electrically conducting without any further photon excitation [
49]. At this maximum bias, the width of the detector gap had been decreased to its absolute minimum which is reached when the gap becomes too small to accommodate photons of energy
. With the photon wavelength
this minimum width
is reached when
With
and
the photons are maximally constrained within the electrode gap and consistent with the constraints imposed by the space-momentum uncertainty relations ships:
With the above result for
, Equation A2 takes the form
In this latter equation the time is the time required by a photon to cross a detector gap of width For photon energies in the visible-light range and bias potentials in the order of , electron transit times across the detector gap are roughly 6-700 times longer than the corresponding photon transit times and even longer when detector gap widths with multiples of the minimum gap width are chosen. This numerical estimate reveals that by converting incoming photons to photoelectrons, photocurrent transients () become massively stretched out in time, thus enabling macroscopically observable images of those swift microscopic photon-electron interaction processes to be obtained that had occurred at the cathode surface.
References
- Shannon, C.E. A Mathematical Theory of Communication. Bell Syst. Tech. J. 1948, 27, 379–423 & 623–656. [CrossRef]
- Young, J., F. Einführung in die Informationstheorie, R. Oldenbourg München, Wien 1975.
- Kraus, G. Einführung in die Datenübertragung; R. Oldenbourg Verlag, München, Wien, 1978.
- LeSurf, J., C., G. Information and Measurement. I. O .P. Publsihing Ltd. Bristol and Philadelphia, ISBN 0 7503 0308 5. 1995.
- Ben-Naim, A. Information Theory; World Scientific: Singapore, 2017.].
- Wheeler, J. A. Information, physics, quantum: The search for links. Proceedings of the 3rd International Symposium on Foundations of Quantum Mechanics in the Light of New Technology, Tokyo, Japan, 28–31 August 1989; pp. 354–368.
- Foschini, L Where the “it from bit” come from? arXiv:1306.0545v1, 2013. [CrossRef]
- Knuth, K.H. Information-Based Physics and the Influence Network. In: It from Bit or Bit from It? Aguirre, A., Foster, B., Merali, Z., Eds.; Springer: Berlin, Heidelberg Germany, 2015.
- Knuth, K.H.; Walsh, J.L. An introduction to influence theory: Kinematics and dynamics. Ann. Phys. 2019, 531, 1800091. [CrossRef]
- Szilard, L. Über die Entropieverminderung in einem thermodynamischen System bei Eingriffen intelligenter Wesen. Z. Phys. 1929, 53, 840–856. (In German). [CrossRef]
- Brillouin, L. Science and Information Theory; Academic Press: Dover, UK, 1956.
- Landauer, R. Irreversibility and heat generation in the computing process. IBM J. Res. 1961, 5, 183–191. [CrossRef]
- Landauer, R. Information is physical. Phys. Today 1991, 44, 23–29. [CrossRef]
- Landauer, R. Minimal energy requirements in communication. Science 1996, 272, 1914–1918. [CrossRef]
- Bormashenko, E. The Landauer Principle: Re-Formulation of the Second Thermodynamics Law or a Step to Great Unification? Entropy 2019, 21(10), 918; [CrossRef]
- Parrondo, J.M.R.; Horowitz, J.M.; Sagawa, T. Thermodynamics of information. Nature Phys. 2015, 11, 131–139. [CrossRef]
- Ben-Naim, A. A Farewell to Entropy: Statistical Thermodynamics Based on Information; World Scientific: Singapore, 2008. [Google Scholar].
- Ben Naim, A. Shannon’s Measure of information and Boltzmann’s H-Theorem. Entropy 2017, 19, 48. [CrossRef]
- Ben Naim, A. An Informational Theoretical Approach to the Entropy of Liquids and Solutions. Entropy 2018, 20, 514. [CrossRef]
- Müller, J.G. Information contained in molecular motion. Entropy 2019, 22, 392. [CrossRef]
- Ott, H. Lorenz-Transformation der Wärme und der Temperatur. Z. Phys. 1963, 175, 70–104. (In German). [CrossRef]
- Geiger H.,Marsden E. On a Diffuse Reflection of the α-Particles. Proceedings of the Royal Society, Series A 1909, 82, 495–500. [CrossRef]
- Rutherford, E. The Scattering of α and β Particles by Matter and the Structure of the Atom, Phil. Mag., Series 6, 1911, 21, p. 669-688. [CrossRef]
- Meschede. D.: Youngs Interferenzexperiment mit Licht. In Die Top Ten der schönsten physikalischen Experimente Fäßler, Fäßler, A., Jönsson, C. (Eds.). Rowohlt Verlag, Hamburg, Germany, 2005, ISBN 3-499-61628-9, pp 94–105.
- Jönsson, C.: Electron Diffraction at Multiple Slits. American Journal of Physics 1974, 42, 4–11. [CrossRef]
- Carnal, O., Mlynek, J. Young’s double-slit experiment with atoms: A simple atom interferometer. Phys. Rev. Lett. 1991, 66, 2689–2692, . [CrossRef]
- Nairz, O., Arndt, M, Zeilinger, A: Quantum interference experiments with large molecules. American Journal of Physics. 2003, 71(4), 319–325, . [CrossRef]
- Wilson, C. T. R. On a Method of Making Visible the Paths of Ionising Particles through a Gas. Proceedings of the Royal Society of London A: Mathematical, Physical and Engineering Sciences. 1911, 85, 578. [CrossRef]
- Glaser, D. A. Some Effects of Ionizing Radiation on the Formation of Bubbles in Liquids. Phys. Rev. 1952, 87(4), 665. (english). [CrossRef]
- Griffiths, L, Symoms, Ch., R. Zacharov, B. Determination of particle momenta in spark chamber and counter experiments. CERN Yellow Reports: Monographs. CERN-66-17.
- UA5 experiment - Wikipedia, CERN publication, CERN, 1966, 285–288. Bibcode:1911RSPSA..85..285W.
- 32. bubble chamber images - Bing images.
- Thompson, J., J. On the structure of the atom. Phil. Mag., Series 6, 1904, 7, 237-265. [CrossRef]
- Bohr, N. On the constitution of atoms and molecules. Phil. Mag. J. Sci. 1913, 26, 1–25. [CrossRef]
- Schpolski, E.W. Atomphysik. VEB Deutscher Verlag der Wissenschaften: Berlin, Germany, 1970.
- W. Heisenberg. Über quantentheoretische Umdeutung kinematischer und mechanischer Beziehungen.
- Z. Physik 1925, 33, 879–893, ISSN 1434-6001,. [CrossRef]
- Schrödinger, E. An Undulatory Theory of the Mechanics of Atoms and Molecules. Phys. Rev. 1926, 28 (6), 1049–1070. [CrossRef]
- Dosch, H. G. Jenseits der Nanowelt – Leptonen, Quarks und Eichbosonen. 2005, Springer Verlag Berlin, Heidelberg,ISBN: 978-3-540-22889-9, . [CrossRef]
- Leff, H.S.; Rex, A.F. Maxwell’s Demon: Entropy, Information, Computing; Adam Hilger: Bristol, UK, 1990.
- Leff, H.S.; Rex, A.F. Maxwell’s Demon 2: Entropy, Classical and Quantum Information, Computing, 1st ed.; Adam Hilger: Bristol, UK, 2003; ISBN 10:0750307595; 13:9780585492377.
- Aydin, A., Sisman, A., Kosloff, L. Landauer’s Principle in a Quantum Szilard Engine without Maxwell’s Demon. Entropy 2020, 22(3), 294; [CrossRef]
- Bormashenko, E. Informational Reinterpretation of Mechanics Notions and Laws. Entropy 2020, 22(6), 631; [CrossRef]
- Bormashenko, E. Landauer Principle and Minimal Carnot Engine: Informational Interpretation of the Carnot Cycle. August 2021, . [CrossRef]
- Nolting, W. Grundkurs Theoretische Physik 5/1.Springer, Berlin, Heidelberg, ISBN 978-3-540-68868-6, 2001. [CrossRef]
- Kittel, C.; Krömer, H.; Mitter, M. Physik der Wärme; Oldenbourg Wissenschaftsverlag: München, Germany, 1993; ISBN 10:3486224786; 13:978-3486224788. (In German).
- Haken, H. Information and Self-Organization - A Macroscopic Approach to Complex Systems. Springer Link. [CrossRef]
- Müller, J. G. Information contained in molecular motion. Entropy 2019, 21, 1052. [CrossRef]
- Kingston, R.H. Detection of Optical and Infrared Radiation; Springer: Berlin/Heidelberg, Germany, 1978. [Google Scholar. [CrossRef]
- Müller, J.G. Photon detection as a process of information gain. Entropy 2020, 22, 392. [CrossRef]
- von Mosengeil, K. Theorie der stationären Strahlung in einem gleichförmig bewegten Hohlraum. Ann. Phys. 1907, 327, 867. Corpus ID: 121346585 (In German). [CrossRef]
- Landsberg, P.T.; Matsas, G.E.A. Laying the ghost of the relativistic temperature transformation. Phys. Lett. A 1996, 223, 401–403. [CrossRef]
- Landsberg, P.T.; Matsas, G.E.A. The impossibility of a universal relativistic temperature transformation. Physica A 2004, 340, 92–94.]. [CrossRef]
- Bormashenko, E. Entropy of relativistic mono-atomic gas and temperature relativistic transformation in thermodynamics. Entropy 2007, 9, 113–117. [CrossRef]
- P. Hubik, J. Sestak, V. Spicka, J. Kristofik, J. Stavek. Relativistic transformation of temperature and Mosengeil-Ott's antinomy. 2016. [CrossRef]
|
Disclaimer/Publisher’s Note: The statements, opinions and data contained in all publications are solely those of the individual author(s) and contributor(s) and not of MDPI and/or the editor(s). MDPI and/or the editor(s) disclaim responsibility for any injury to people or property resulting from any ideas, methods, instructions or products referred to in the content. |
© 2023 by the authors. Licensee MDPI, Basel, Switzerland. This article is an open access article distributed under the terms and conditions of the Creative Commons Attribution (CC BY) license (http://creativecommons.org/licenses/by/4.0/).