Preprint
Article

This version is not peer-reviewed.

A high-flux compact X-ray free-electron laser for next-generation chip metrology needs

A peer-reviewed article of this preprint also exists.

Submitted:

24 November 2023

Posted:

28 November 2023

You are already at the latest version

Abstract
Recently, considerable work has been directed at development of a ultra-compact X-ray free-electron laser based on emerging techniques in high field cryogenic acceleration, with attendant dramatic improvements in electron beam brightness, and state-of-the-art concepts in beam dynamics, magnetic undulators, and X-ray optics. A full conceptual design of a 1 nm XFEL with a length and cost over an order of magnitude below current XFELs has resulted from this effort. This instrument has been developed with an emphasis on permitting exploratory scientific research in a wide variety of fields in a university setting. Concurrently, compact FELs are being urgently developed for use as an instrument to enable next generation chip manufacturing through use as a high flux, few-nm lithography source. This new role suggests consideration of XFELs to addressed urgently emerging demands in this sector, as identified by recent national need studies, for new radiation sources aimed at chip manufacturing: a coherent hard X-ray source which enables frontier metrology methods. Indeed, it has been shown that one may use coherent X-rays to perform 10 nm-class resolution surveys of macroscopic, cm-scale structures such as chips, using ptychographic laminography. As the XFEL is a very promising candidate for realizing such methods, we present here an analysis of the issues and likely solutions associated with extending the UCXFEL to harder X-rays (above 7 keV), much higher fluxes and levels of coherence, and methods of applying such a source for ptychographic laminography to micro-electronic device measurements. We discuss the development path to move the concept to rapid realization of a transformative FEL-based application, outlining FEL and metrology system challenges.
Keywords: 
;  ;  ;  ;  ;  ;  ;  ;  ;  

1. Introduction

We examine in this paper the exciting potential application of of the X-ray free-electron laser (XFEL) for meeting the urgent, and extremely demanding needs of next-generation semiconductor chip metrology. The XFEL [1] is a transformative instrument [2,3], that for a decade-and-a-half has produced unprecedented capabilities in imaging due to the ultra-fast time-scale of illumination, the wavelength (Angstrom), and above all the high degree of coherence. These properties permit the use of rapidly-evolving coherent diffraction imaging (CDI) techniques [4,5] with femtosecond time resolution at Angstrom wavelength. Combined, these attributes allow so-called 4D imaging of atomic and molecular systems [6], which evolve at these spatio-temporal scales. With hard X-rays, the penetrating nature of the radiation further permits imaging of dense condensed matter systems. With such new horizons opened up, the XFEL [7,8,9] has strongly impacted the recent trajectory of a wide swath of science, spanning an impressive range of applications in nanoscience, from ultra-fast chemistry [10], atomic physics [11], molecular dynamics [12], and on to high energy density physics [13], among many other scientific areas [14].
When considering the XFEL for translational applications [15] such as our current focus, the imaging of next-generation computer chips, there are numerous practical and fundamental problems to overcome. First, on the practical side, despite a boom in deployment of new XFELs at national laboratories worldwide, there remains an acute shortage of beam time. This may be mitigated by introduction of much more compact and less costly ways of realizing XFEL capabilities. Addressing the challenges of "miniaturizing" the XFEL footprint and price tag is currently an extremely active research area. It entails a rethinking of the underlying physical methods for more effective beam creation and acceleration, advanced magnetic systems, new measurement capabilities, and innovations in X-ray optics. The current work arises from one such research effort, termed the ultra-compact X-ray free-electron laser (UCXFEL) [16], which is fundamentally enabled by use of the newly emerging technique of very high field cryogenic radio-frequency (RF) acceleration.
It is well appreciated in the photon science community that for imaging applications in industry and medicine, the dimension of the object under study with single-shot CDI-based on XFELs is limited by the spatial coherence and spot-size of the X-ray beam. As such, only small objects (a few tens of μ m) can be imaged in this way. To image extended objects, all the way to the macroscopic scale, one may employ a scanning CDI method termed ptychography, where the coherent X-ray beam is scanned across the object with some overlap in neighboring illuminated spots. This allows one to reconstruct the macroscopic (up to the cm size relevant to semiconductor chips) object structural details with nanometer-scale resolution. Finally, we note that for objects such as chips where three-dimensional information is needed, the penetrating nature of hard (Angstrom-class) X-rays is essential. By illuminating the macroscopic object in a 2D ptychograpic scan, and then rotating it in the appropriate way, one may pair ptychography with laminography [17], which is a technique related to tomography optimized for near-planar objects.
First using a coherent photon source based on a modern X-ray light source storage ring, the burgeoning techniques of ptychographic tomography and laminography have been validated for such applications. These proof-of-principle experiments performed at existing national lab-scale facilities are quite convincing in the physical results obtained, with dramatic 3D reconstructions obtained (see Figure 6). Solutions based on large user facilities such as a ring light source, which are optimized for shared use from a wide scientific community, are not applicable for an industrial instrument dedicated to chip manufacturing and inspection processes, due to cost and size considerations. Further, the sources used thus far in proof-of-principle are inadequate in the average coherent flux obtained, making measurement times impractically long for industrial uses. Alternatives developed in compact laboratory environments also do not produce sufficient flux for this current application [18]. Here we discuss in some detail a promising solution for moving forward with an XFEL for chip metrology, based on extensions to hard X-ray operation of a recently developed, rapidly maturing model for a soft X-ray UCXFEL.
We begin the discussion of the proposed FEL by providing some needed background. The compact XFEL light source based on advanced, high gradient accelerator technologies has attracted considerable recent attention [19,20,21]. The compact XFEL research thrust, which with its new accelerator methodology is termed a 5th generation light source, promises to radically reduce the cost and footprint of present X-ray FELs. Current XFELs require space and investment at the km/$B level, and are practical only for applications in national labs as a result. One of the first initiatives to take on the 5th generation light source challenge was the DARPA-sponsored AXIS program, which sought to harness dielectric laser accelerators (DLAs), advanced electron sources, and micro-undulators to create a highly compact XFEL [22,23]. This instrument was intended to address the particular need for new medical imaging techniques, with an eye towards eventual field deployment for military use. The AXIS program, while highly successful, was cut short by a shift in research funding priorities. The UCLA-Stanford-RadiaBeam-centered GALAXIE collaboration within the AXIS program (which forms the an essential component of the present initiative), has been comprehensively involved in new directions in 5th generation light sources traceable to the AXIS program.
Figure 1. The layout of the soft X-ray UCXFEL (from Ref. [16]).
Figure 1. The layout of the soft X-ray UCXFEL (from Ref. [16]).
Preprints 91436 g001
AXIS and GALAXIE gave way to many subsequent high impact new research directions. GALAXIE produced a serious push towards development of micro-undulators and other MEMS-based beam optics devices. AXIS also gave rise to the accelerator-on-a-chip program (ACHIP) initiative [24] aimed at development of compact dielectric laser accelerators, and the ultra-compact X-ray free-electron laser program. The UCXFEL initiative has identified in detail a pathway to beams able to use short-period undulators, with a solution utilizing both very high brightness beam creation and acceleration uniquely enabled by cryogenic high gradient RF cavities. With short-period undulators, one may obtain an X-ray free-electron laser operating at 1 nm wavelength with a footprint and cost (<40 m including X-ray beamlines; <35M$) which permit distributed coherent X-ray FEL sources for research, medical, industrial and security applications, as discussed below in further detail. While the science and applications case is compelling in the soft X-ray regime, and is currently being pursued, the new, very high impact applications in semiconductor metrology have emerged as urgent national needs. Looking to the future, one may impact next generation semiconductor chip technology through metrology and inspection through the UCXFEL. The challenge will be to create a compact XFEL system design for ptychographic tomography aimed at real time - minute-level - semiconductor metrology at frontier resolution.
This proposed hard X-ray, high coherent-flux UCXFEL system has a clear vision of how it may be implemented, with several component systems currently at the frontier of the relevant technologies. However, the system we propose here is one in which many such challenging systems must be integrated, to produce a reliable, complete system which creates and uses, in the most intricate way, coherent hard X-rays to yield a new, essential tool for the chip manufacturing industry. This requires combined examination of the XFEL and ptychographic laminography systems. Similarly, as mentioned above, FELs at the EUV-to-soft-X-ray wavelength level are now being vigorously pursued to enable next-generation chip lithography sources. The research and development for a very high flux, highly coherent XFEL represents a comparable level of challenge, the details of which we describe in the following sections.

2. The Ultra-Compact X-ray Free-Electron Laser: Background and Status

The ultra-compact X-ray free-electron laser, as indicated above, was driven by several innovations arising in 5th generation light source research. The first was the promise of short period undulators driven by MEMS technology, in which one searched for solutions to the compact XFEL with period length λ u 100 μ m. With such a short λ u , the value of the undulator strength K u = e B 0 λ u 2 π m e c for attainable field strength B 0 1.5 T does not contribute notably to the resonant relation for the on-axis radiation wavelength λ r
λ r = λ u 2 γ 2 1 + 1 2 K u 2 .
In this case, particularly for hard X-ray operation, a scaling law for the XFEL gain (or Pierce) parameter ρ is given approximately by
ρ γ 6 3 λ r 2 π 4 B 6 D .
The parameter is important to FEL performance in a number of ways, the most prominent being through the gain length
L g = λ u 4 π 3 ρ ;
The factor B 6 D in Eq. 2 is the six-dimensional beam brightness, or density in 6D phase space, usually written as
B 6 D = 2 I ε x ε y σ δ p / p .
In making the XFEL more compact through use of a smaller period undulator, one directly benefits by the lowered the beam energy needed, as the linac is a main contributor to instrument’s length and cost. However, Eq. 2 indicates that a lowered energy ( U = γ m e c 2 ) strongly diminishes ρ γ 4 λ U 2 . To utilize a modest advance in undulator period, at least an order of magnitude increase in B 6 D would be needed to compensate the loss in ρ . One may point out that in terms of undulator length, the factor of λ u serves to automatically shorten the gain length, and thus we expect that the undulator length needed (about 20 L g for SASE saturation) shrinks more quickly than the energy needed. However, the solution to obtaining increased B 6 D demands use of higher gradient accelerating fields, and this also serves to push the physical length of the linac down further.
With the discovery that one may operate a copper linac structure at cryogenic temperatures with significantly lower losses and much higher breakdown fields [25], the problem of the UCXFEL design became practical. This remarkable improvement comes about due to several physical mechanisms: (1) the surface resistivity of the copper is lowered by a factor up to 4.8 (in C-band); (2) the thermal conductivity shares the heat dissipated due to this resistivity more effectively at low temperature; (3) the coefficient of thermal expansion is greatly diminished, thus strongly mitigating the stress on the material; and (4) the material yield strength is much higher, and the electric field-driven breakdown is strongly suppressed. Indeed, at 40 degrees Kelvin the maximum surface field becomes 500 MV/m, without noticeable breakdown. The practical field, limited by the onset of strong dark current emission, is slightly above 300 MV/m. For our designs in both the RF photoinjector and linac sections, we limit the peak on-axis field to at or below 250 MV/m.
This discovery impacts first the electron source. It has been found that B 6 D scales with the applied electric field at injection as E 0 2.5 . With this enhancement in hand, one predicts an increase in 6D brightness by a factor of ∼15 over the present state-of-the-art. In familiar terms, for a 100 pC beam injected with full length 5 psec (20 A peak current), one obtains a final normalized emittance after compensation of ε n 50 nm-rad. This beam must be compressed using a two-stage chicane-based system which includes a laser-induced micro-bunching (inverse free-electron laser, IFEL) interaction to bring the beam to kA level without significant emittance growth. A list of parameters describing this design is given in Table 1.
With such a bright beam in hand, a 1 nm design for an ultra-compact X-ray FEL has been enabled. It uses a similar peak field in the linear accelerator sections (linacs), which (along with the photoinjector) is of a new, independent coupling design with a very re-entrant, high shunt-impedance cavity shape. These linacs are only 8 m in active length to yield a 1 GeV beam, which lases at the desired 1 nm wavelength using a λ u = 6.5 mm high field cryogenic permanent magnet undulator. This undulator has a narrow gap, which may be strongly affected by resistive wall losses, leading to a loss of gain. Fortunately, the IFEL compression-induced microbunching serves to mitigate this effect.
With such strong acceleration in place, new scenarios for beam collective effects come into consideration. The effects of intra-beam scattering become more prominent in increasing the slice energy spread due the high beam density and low initial longitudinal temperature. Short range wakefields in combination with space-charge and strong RF-induced focusing present challenges in short range beam breakup (SR-BBU) control, and simulation tools to study these effects and effective countermeasures have been developed [26]. For the present application we will need, as discussed below, to use multiple beam pulses per RF fill, and this gives rise to consideration of long range transverse beam breakup (LR-BBU). Extensions of the simulation tools developed for SR-BBU are used to address these issues.
This design has concentrated on compactness and cost control (the instrument including soft X-ray optics is <40 m in length and < $40M in cost), producing a design that pushes the state-of-the-art in many ways. As the aim in this case was to place such instruments, with modest flux (few % of a full-scale FEL) in a university environment, such concerns are of high importance. In the present industrial context, however, these issues are less urgent. A more risk-averse technical design approach is thus considered here. It will introduce, however, new challenges in obtaining harder X-rays, higher repetition rates, higher overall X-ray flux, and improved coherence, as demanded by ptychographic laminography techniques.
The development work performed in the three years since publication of the 1 nm UCXFEL design is considerable in scope. It has concentrated on obtaining a basic understanding of cryogenic RF performance in C-band, as opposed to the original experimental work done in X-band (8-12 GHz), where beam dynamics issues are more challenging. This recent work has included dedicated experimental development on the cryo-RF gun, cryogenic photoemission and general C-band (4-8 GHz) techniques, and wakefield management. We describe this progress below, concentrating first on the C-band cryogenic photoinjector work and related RF and cryogenic technology research.

2.1. Cryogenic photoinjector development

The core of the recent development of C-band cryogenic methods has concerned establishing the basics of high gradient structure physics, design and testing. The near goal is to create and test the performance of the high brightness, very high field (up to 250 MV/m on the photocathode) photoinjector gun. The existing approach to the UCXFEL high brightness photoinjector has been extensively covered in previous publications. Here we adopt the basic design principles described particularly in Ref. [27]. From the theoretical standpoints of beam dynamics and high gradient breakdown rate reduction [16,27,28,29] the performance of the cavity and the beam upstream of the first linac section are essentially unchanged.
To implement this approach practically, more mature, detailed considerations are then necessary in order to enable the feasible realization of a cryogenic high brightness 1.6 cell gun. A prototype photoinjector cryostat cutaway design is shown in Figure 2. Multi-faceted challenges - and opportunities - are presented in this experimental scenario spanning the gamut of technological development and basic physics. Without loss of generality, three important topics to consider here are: the effects of temperature on cathode photoemission; the feasibility of enveloping cryogenic in-situ gun tuning and alignment and the scaling of infrastructure costs, particularly in moving to higher repetition rate operation.
In order to meaningfully address these three areas experimentally, a CrYogenic Brightness-Optimized Radiofrequency Gun (CYBORG) facility has been developed and commissioned at the UCLA MOTHRA Lab. This facility features a first generation cryogenic RF gun: a C-band 1 2 -cell re-entrant design which shows the advantages of such cavity shapes, as proposed for use with distributed coupling in the π -mode [30]. This is the mode which is necessary to obtain the desired beam dynamics in the eventual multiple-cell gun design.
At the MOTHRA laboratory, CYBORG and its associated beamline further act as a development platform for cryogenic RF components and beamline integration [31]. The gun operates at more modest fields and temperatures than the eventual 1.6-cell cryogenic photoinjector design, and so represents an important stepping stone. In the second, longer-term phase of development, CYBORG will function as a cryogenic, high-gradient test bed for novel photocathode measurements, with a coupled load-lock for cathode plug exchange. A photograph of the current state of phase 1 CYBORG along with a schematic cutaway of phase 2 configured for the INFN style minipuck cathode testing are shown in Figure 3. The initial testing at CYBORG is concentrated on cryocooler-enabled 77 K operation, due to both near-term practicality and to the potential impact on implementation in the UCXFEL.
The MOTHRA lab is also the site of several additional ongoing experiments investigating basic cryogenic C-band physics at both low and high-power [32,33]. Perhaps of highest relevance so far is the initial exploration of the Q-enhancement available as a function of temperature for C-band RF in copper. Measurements have found that the Q-enhancement at the two proposed operating temperatures for the UCXFEL and C 3 projects, is 4.61 at 45 K and 2.9 at 77 K, respectively [34]. These enhancements are consistent with the variability predicted by models of the anomalous skin effect which dominates at cryogenic temperature. This is essential input for proceeding with the new UCXFEL design.
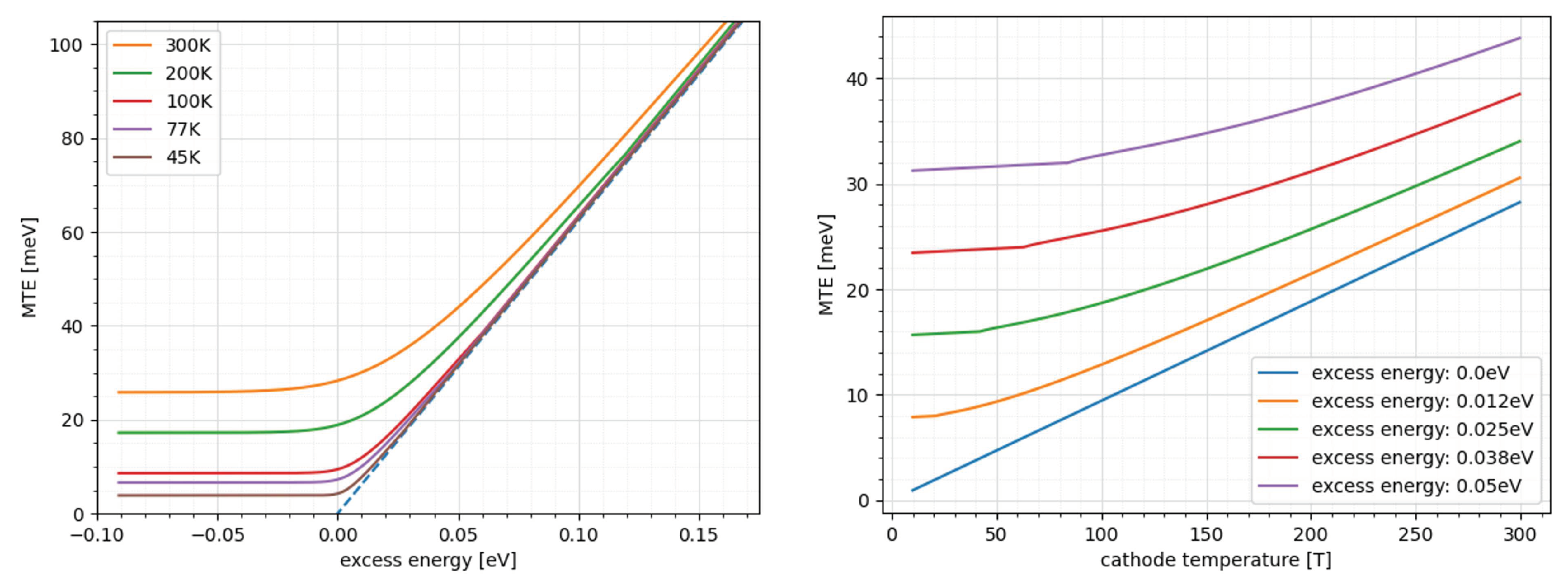
The highly complex physics of novel cryogenic cathodes is of deep relevance to the performance of a photoinjector operated simultaneously at very low emittance and at high average current. The state-of-the-art performance of cathodes with low mean transverse energy (MTE) and high quantum efficiency (QE) in cryogenic operation is of high interest, especially in the case of near threshold photoemission. For our application here, a possible order of magnitude reduction discussed previously in MTE is not quite possible, but nonetheless notable improvements may be in reach [29]. Indeed, reduction of MTE by 70-80 percent should still be expected for metallic cathodes operated at cryogenic temperatures as predicted by existing theoretical treatments [35]. We calculate these values analytically for a range of values in excess energy and temperature for copper cathodes in Figure 4 to illustrate generally expected metallic cathode behavior. We note that operating at threshold leads to asymptotic linear scaling between MTE and temperature so for a 45 ° K working point we would expect a factor of 7 reduction.
The improvements from a theoretical cryogenic metallic cathode come at the expense of a strong decrease in quantum efficiency so in this application the possibility of using semiconductor cathodes (e.g. Cs 2 Te) with significantly higher QE is more relevant. In an extremely high gradient cavity this will greatly increase beam current and consequent beam brightness for given laser parameters. At CYBORG, this scenario can be explored up to just above 120 MV/m peak field on the cathode. Higher fields are envisioned for a room-temperature gun being developed for the CARIE Facility at LANL [36,37,38], which is of similar RF design as the 1.6 cell cryogenic gun described next.
The lessons learned at MOTHRA in the context of CYBORG heavily informed the photoinjector design shown in Figure 2. The gun RF geometry and cavity couplers have been designed in a joint UCLA-SLAC-LANL collaboration. One additional feature to note are the presence of a cryogenic multi-start foil wound solenoid within the cryostat, designed to reduce brightness reducing magnetic field aberrations. The 1.6 cell cryogenic-ready cavities are in the process of fabrication now, and the next generation cryostat and the foil-wound solenoid are in advanced states of development. This design has been developed using physical and engineering principles established at the MOTHRA lab using the CYBORG beamline. The design parameters mirror, as noted above, existing UCXFEL values including > 240 MV/m accelerating fields. While the original UCXFEL gun design envisions a 45K operational temperature, with attendant Q-enhancement of 4.6, operation at 77K with a more modest increase in Q is under consideration for the UCXFEL presented in this paper.
A new style of multi-start, foil wound solenoid has been developed which can improve the performance of the cryogun by removing damaging field components. Beamline solenoids are typically wound helically or as “pancakes” where the wire is wound radially in before crossing-over and winding out. Both of these approaches break rotational symmetry and introduce higher order multipole moments which can degrade beam emittance. Multi-start foil winding suppresses selected multipoles, mitigating this problem [39]. Further, since the solenoid must be installed in the cryostat its thermal performance is also important to consider [27]. This new style of solenoid has notable advantages over conventional designs for conduction cooling, especially considering that flowing liquid cryogens through wires for cooling would be a significant engineering challenge. It is worth considering the possibility of using high temperature superconducting foils for this application [40].

3. The Challenge of Ptychographic Laminography

With this recent background discussed, we now turn our attention to a compelling new application space for compact XFEL technology – advanced semiconductor chip metrology. The issue of chip metrology has recently come to the fore, with a series of reports from the National Institute of Standards and Technology (NIST) [41,42,43] identifying it as a key national priority, particularly in light of the needs of CHIPS Act-oriented research and development. The first statement in the executive summary of [42] is telling in its clarity:
"Metrology underpins our ability to address the challenges faced by semiconductor manufacturers. Making investments in metrology capabilities today will future-proof technology needs and support U.S. leadership for the next generation of microelectronics."
X-ray FEL-based imaging [4] is indeed an attractive candidate for extending metrology applications to future generations of micro-electronics. The challenge of measurement through imaging of integrated circuits to determine quality control in manufacturing, as well as inspection of chips of external provenance for undesired artifacts requires an enormous range of spatial scales, from few nanometers to the cm level. At present, one must use destructive, time-consuming techniques, which utilize a variety of approaches, from optical microscopy at the meso-to-microscopic scale [44], to electron microscopy for nm resolution. To obtain nondestructive information across this variety of resolution scales, recent efforts have shown that coherent x-ray-based 3D ptychographic laminography can be profitably used. This method can zoom through spatial scales, allowing use of complete chips as samples, and exploring the different resolution scales as desired.
The ptychographic laminography scheme and the elaborate setup developed for its demonstration [45] is summarized in Figure 5. This geometry permits 3D imaging of extended objects by ptychographic scanning at each rotational position, collecting thousands of rastered coherent diffraction images. This is then followed by rotation at typically hundreds of rotational positions. The canting of the sample (chip) at a constant angle in laminography is preferred over standard tomography, as it permits a constant thickness of sample to be traversed by the coherent X-rays. For the X-ray beam to penetrate well current chip architectures, we should use hard X-rays, preferably over 7 keV in energy.
The initial tests [46,47] of coherent X-ray-based ptychographic laminography were carried out at the Swiss Light Source, where a dedicated apparatus was created [45] to perform the needed scanning and rotation. The results have had a resounding impact on the field [47]. These tests, which represent an improvement on previous experiments using a tomographic instead of laminographic technique, showed detailed features and manufacturing flaws of then current-generation chips at less than 20 nm resolution. Full reconstructions of macroscopic regions of the chip were obtained, allowing fly-through zoom inspection of the imaged structure.
One may perform low-resolution overview scans by choosing different operating conditions, and choose a region of interest to examine at higher resolution. This approach permits more efficient and faster inspection methodology. This tiered, zoom technique has proven useful in recent scans (see Figure 6) which are performed maximally at ∼20 nm resolution level. The highest resolution measurements, over limited, partial volumes of the chip, have required tens of hours to accomplish.
Figure 6. 3D rendering of a ptychographic laminography measurement dataset. (a) A combined rendering of the low resolution and high resolution dataset. (b) A rendering of only the volume measured at high resolution. (c) A rendering of a sub-volume of (b), from Holler, et al. [47].
Figure 6. 3D rendering of a ptychographic laminography measurement dataset. (a) A combined rendering of the low resolution and high resolution dataset. (b) A rendering of only the volume measured at high resolution. (c) A rendering of a sub-volume of (b), from Holler, et al. [47].
Preprints 91436 g006
Thus far, the imaging rate, obtainable resolution and sample size, have been limited by the available coherent X-ray flux. At the Swiss Light Source cSAXS beamline, this is 8 × 10 8 6.2 keV photons per second. In predicting future performance for a chip-oriented ptychographic laminography system, one should keep track not only of the total coherent flux, but also the average spectral brightness of the source. Here we will be considering an X-ray free-electron laser, so some changes in approach to the mode of XFEL operation beyond self-amplified spontaneous emission are needed to increase this brightness. As is discussed in what follows, we propose a design which can reach coherent hard X-ray flux at high brightness that is an improvement on past ptychographic laminography experiments by a factor of over 10 5 , thus permitting well-sub-hour scans. We will use the UCXFEL design as a point of departure. There are other alternative approaches which might be considered, such as found in the recent initiative at Arizona State, in which a low flux coherent soft X-ray FEL-like source is based on low energy pre-bunched beams is obtained [48,49]. While this option has the advantage of compactness, it suffers from a dramatic ( > 10 4 ) reduction in available flux, and is not extendable to hard X-ray operation. In concentrating on a UCXFEL-based design for our current application, the XFEL per se is changed in two important ways: to obtain hard (7 keV) X-rays, we must increase the beam energy nearly two-and-a-half times, to 2.44 GeV; and FEL design is extended to a regenerative amplifier (RAFEL) scheme based on a periodic train of electron pulses. This so-termed XRAFEL serves to greatly increase the X-ray flux and coherence[50,51].
This article will therefore concentrate mainly on describing this advancement in the coherent X-ray source. However, to evaluate the progress made in scan time, resolution and sample size, many other factors must be considered. These include: management of sample damage; temporal limitations due to sample manipulation, ptychographic scan and laminographic rotation speed; improvement in algorithms for the reconstruction analysis [52]; and computational resources optimized for this application. We will return briefly to these issues after presentation of the ultra-compact hard X-ray FEL design inspired by this compelling application.

4. Extending the UCXFEL to high-flux hard X-ray, high coherence operation

In order to create a design which may be deployed in a timely fashion - i.e., in the next five years - for next-generation chip inspection purposes, we follow two guidelines: first to maximally utilize the research preformed in support of UCXFEL in the last few years; and second, to adopt a more conservative design strategy than that chosen to make the system as compact as possible.
What remains the same are the choice of RF frequency, cryogenic ultra-high brightness photoinjector, and the sub-cm period undulator. Further, despite the change in beam final energy and FEL wavelength, we choose to preserve the philosophy of two stage pulse compression [53], but with the final compression stage performed by a shorter wavelength IFEL process. The C-band RF frequency is seen as the best current choice for both advanced X-ray FELs and for other applications such as inverse Compton scattering sources and linear colliders. As such, considerable benefit may be anticipated in synergy with the parallel research underway in these areas. The relatively short undulator period (6.5 mm, as in Ref. [16], also based on cryogenic technology) serves to keep the beam energy needed to a minimal level ∼2.44 GeV for 7 keV X-ray operation. With this choice we are again reliant on the very high brightness beam that permits high gain and efficiency in the XFEL.
The RF photoinjector will need to be operated in multi-pulse mode in order to enable an XFEL design philosophy which obtains higher coherence and flux, as described below. The linear accelerator design has evolved to a new, more efficient and elegant form, and this, along with the need for multiple beam bunches per RF pulse, will change our analysis of beam stability. Further, in the interest of near-term feasibility we will propose the option to operate the linacs at room temperature. These choices will drive the need to examine further issues, as discussed below.

4.1. Linear accelerator design evolution

Here we describe the evolution of the linear accelerator design in the last three years since the original UCXFEL proposal. This evolution is connected to the recent developments in the cool copper collider ( C 3 ) initiative [54], and represents a significant step forward in effective implementation of the design concepts introduced in the UCXFEL design [16]. We note in this regard that the chip metrology-oriented XFEL shares the need for multiple pulse operation with C 3 .
Unlike linacs designed for colliders, high gradient normal conducting linacs for XFELs such as considered here have smaller charge and nearly negligible beam loading. The power consumption of the linac is thus governed only by the shunt impedance and the desired operating gradient. Recently, a new class of linear accelerators, the distributed coupling accelerator structure, has been proposed and adopted for the original UCXFEL design, as well as other applications. This new class of linacs has the advantage of a very high shunt impedance and thus power efficiency. It also has a unique method of construction that reduces the cost of production dramatically in comparison to conventional linacs; this is due to the fact that number of parts required for conventional linacs is proportional to the number of cavities, while, for this new class of linacs, the body of the linac is constructed from only two machined blocks, with a few ancillary components such as couplers and windows. This class of linacs has been high power tested both at room temperature and at liquid nitrogen temperature and has achieved record, usable, gradients of over 150 MeV/m.
The primary motivation for invention of this linac topology is to allow for the optimization of the cavity shape, reducing both surface electric and magnetic fields. This resulted in the simplest possible implementation that comprised two manifolds to distribute the RF power uniformly into a set of uncoupled cavities with a Bloch π phase advance. This implementation suffers, however, from some undesirable features. First, the structure is essentially a standing-wave accelerator structure that produces a reflection during the filling time that interacts with the RF source. To eliminate the adverse effect of this reflection, a sophisticated low-level RF system is needed. Alternatively, two sections of the structure must be fed together with an RF hybrid to direct the reflected power to a load. This latter solution requires an extra λ / 4 space between the two structures. Such a construction for the GRIT ICS source [55] linac is shown in Figure 7, together with the result of a cold test showing very small insertion losses, on the order of -35 dB.
The second undesirable feature of the previous design is that the distribution manifold connects to the cavities through a rather long, convoluted wave-guide because the guided wavelength in the manifold is longer than the RF free space wavelength at which period the manifold taps feed to adjacent cavities as is shown in Figure 8.
The length of this waveguide has to be chosen carefully so that an incorrect operation in one of the cavities, e.g. a detuned cavity due to construction or to a breakdown event, does not result in destroying the uniformity of the power feed to the other cavities with excess power to some of them. Finally, the π -mode of operation does not result in optimal acceleration of the beam. Indeed, many decades ago, the optimal phase advance to optimize the shunt impedance has been studied, and for the traveling wave geometry at the SLAC linac, 120 degrees was found to be an optimized choice. It can be shown that by optimizing the accelerating spatial harmonic given the re-entrant cavity design, that the optimum phase advance per period for the present geometry is near to 140 degrees.
For the distributed coupling linac topology the choice of the phase advance is arbitrary, and can be set to accommodate the demands of efficient acceleration as well as ease of implementation. The initial realization at π requires two manifolds, with the guided wavelength within the manifold chosen as λ g = λ 0 / 2 . The next logical choice would be a phase advance of 2 π / 3 which requires three manifolds and also the condition λ g = λ 0 , which can only be achieved using a coaxial line or a corrugated waveguide; both options are awkward to implement. The next likely choice, which we believe to be optimal for this topology is the 3 π / 4 phase advance. It requires four manifolds with λ g = 3 λ 0 / 2 , which is easily achievable with a smooth rectangular wave guide. It has, as noted above, near to the peak in shunt impedance and by implication a lower surface magnetic field. Figure 9 shows how the shunt impedance for both the best π -mode and the 3 π / 4 -mode varies as a function of the beam hole aperture diameter, as evaluated from the optimization of C-band cavities ( f R F = 5.712 GHz). An example of each optimized cavity shape is shown in Figure 10. The cavities are shown together with the field distribution along the surface of the cavity. Because of the optimized shape the magnetic field is rather uniform along the cavity surface and the peak electric field is limited to only twice the accelerating gradient, which is a constraint that was imposed on the optimization process. Notice that the peak magnetic field of the 3 π /4-mode is lower than that of the π -mode which implies better performance at high gradients.
For the 3 π / 4 -mode the filling time of a critically coupled cavity is about 330 ns; for the π -mode it is near 380 ns. The shorter filling time and higher shunt impedance make the 3 π / 4 operation more favorable for use in a pulsed, high gradient linac. Because of the relatively long filling time it is natural to use a pulse compressor to quickly fill the cavity by overpowering it and using overcoupled cavities. This helps in shortening the total pulse length and hence enables high gradient operation. Even at this high shunt impedance level, for operation at an accelerating gradient near 100 MV/m we would need to supply about 71.5 MW/m assuming a full beam aperture of about 5 mm. This power level is higher than state-of-the-art klystrons in C-band, assuming they power one-meter structures. This also implies one should consider the use of pulse compression to obtain the necessary power level. If one drops the gradient to 80 MV/m and hence the required power level would drop to 46 MW/m we could operate without pulse compression with one klystron per meter. In this case pulse compression then could be used to reduce the number of klystrons in the system, by a factor of three at the least.
The choice of the operating aperture is dictated by the short-range wake fields for a given bunch charge and length, an issue examined below. If one is operating with high bunch charges (typical of a linear collider) such that the aperture is required to be larger than 8 mm, then one would argue that the linac frequency choice needs to be reduced. With the parameter chosen for this linac needed for the UCXFEL being discussed here, an aperture between 3 and 6 mm with C-band operation should be adequate.
To summarize, to optimize the new distributed coupling topology, a 3 π / 4 phase advance linac design has been introduced. This new topology, indeed, remedies all the undesired features of the π -mode topology. The new structure has four manifolds instead of two and they are combined with each other in such a manner that the reflection during the filling time is directed to a load. This structure is a standing-wave accelerator that behaves like a travelling-wave device. The distance between the cavity feed and the power manifold is minimized, and is limited only by practical constraints. This is achievable because every manifold feeds every 4th cavity with a spacing three halves of a wavelength that can be matched by a manifold with a guided wavelength of three times that of a free space wavelength. We note that the construction of this topology is more sophisticated than the earlier incarnation in the π -mode structure. It requires 4-layers of copper blocks which must be joined into the highly compact structure.
The development of this type of accelerator structure for ultrahigh gradient linacs is not only applicable for realizing compact XFEL, but may also be naturally applied to a future linear collider[54] such as C 3 . Its use provides many positive impacts to the UCXFEL design, and these will be discussed in what follows.

5. High gradient accelerating cavity testing

As discussed above, C-band copper distributed-coupling cavities, with a particular emphasis on cryo-cooled operation, represent a new approach towards building the compact accelerating section for the proposed UCXFEL. Using distributed coupling provides numerous degrees of freedom to optimize the cavity geometry to achieve high gradient, and can allow for further increases in accelerating gradients while maintaining the RF power requirements within realistic limits. Following on the demonstration of the dramatically increased breakdown limits shown in X-band testing by the SLAC-UCLA collaboration [25,56], operation of a cryo-cooled copper distributed coupling accelerating structure has been recently demonstrated also at X-band [57].
In order to proceed with a design aimed at near term implementation of a chips-metrology UCXFEL, one must evaluate the issues associated with possible cryo-operation of the linear accelerator, with the design as outlined above. To this end, a 2-cell structure has been designed for high power breakdown testing. Photos of the fabricated first version of the structure are shown in Figure 12. We show here the piece is fabricated in two halves before being joined via brazing. The structure will also serve as a template for future novel cavity joining techniques such as diffusion bonding using a paradigm currently under investigation at UCLA.
To understand the performance envelope of the proposed new 3 π / 4 phase advance structure in the most direct way, one should proceed as soon as possible to test the achievable fields in a full one-meter structure. Such structures exist at room temperature at the RadiaBeam GRIT facility [55]. The available peak power at this facility permits operation up to ∼60 MeV/m acceleration gradient; a planned addition to the RF system of a SLED pulse [58] compressor should permit gradients of 120 MeV/m to be explored.
Should these novel structure geometries prove to maintain needed gradients, for their use, higher order mode (HOM) suppression must be studied. Moreover, operation at cryogenic temperatures calls for looking into alternative materials that would provide adequate HOM damping at low temperatures while being compatible with fabrication processes for distributed coupling structures. We note that the 4-fold symmetry shown in Figure 13 is fully consistent with the new generation of high gradient structure fabrication approaches.
A novel design of the HOM couplers was proposed in Ref. [59] that is made with four parallel manifolds coated with Nickel-Chrome (NiCr) alloy. The authors of Ref. [59] conducted extensive computational investigation and computed the Q-factors and kick-factors for all HOMs in the frequency range from 5 to 40 GHz. It was concluded that NiCr coating reduced ohmic Q-factors for HOMs and could be used for HOM suppression in combination with appropriate detuning. A procedure for fabricating a NiCr layer in the slots was proposed that involved plating seven alternating layers of 700 nm of Nickel followed by 200 nm of Chrome which would later be annealed at a high temperature during the brazing cycle.
To verify the proposed fabrication procedure and to evaluate performance of the NiCr absorbers during high gradient conditioning of the cavity, a simple two-cell test cavity was designed, based on the structures currently under test by UCLA. The design is illustrated in Figure 13. The structure consists of a WR187 waveguide that splits into two smaller waveguides providing distributed coupling into two RF cavities that operate in the TM 01 -mode with a 180 degrees phase advance. The cavity will be fabricated in four quadrants. In the first fabrication step the quadrants will be machined with the HOM slots and the layers of Ni and Cr will be deposited into the slots. In the second machining step the cavity shapes will be machined removing NiCr coating everywhere except in the regions highlighted in Figure 13. The four quadrants will then be brazed together to form a single structure and the nickel and Chrome will be annealed.
The fabricated cavity will be tested at the C-band Engineering Research Facility in New Mexico (CERF-NM) at Los Alamos National Laboratory (LANL) [60,61]. The CERF-NM is powered by a 50 MW, 5.712 GHz Canon klystron that produces 50 MW pulses with the pulse length between 300 ns and 1 μ s, repetition rate up to 200 Hz, and is tunable within the frequency band of 5.707 GHz to 5.717 GHz. The detailed procedure for the high-gradient cavity conditioning and breakdown rates mapping at CERF-NM is outlined in [62]. The cavity will be conditioned to the accelerating gradient of at least 100 MeV/m.
The post test measurements are similar for the cavities with and without (Figure 13) absorbers in that the cavity will then be cut apart and inspected for damage sustained during the conditioning process. In the quadrant version, damage to NiCr absorbing layers can be expected. The first kind of damage would be the damage due to pulse heating that is expected in the region close to the accelerating cavities. Although the pulse heating of NiCr is expected to not exceed 13 degrees C at the gradient of 100 MeV/m, NiCr has lower thermal conductivity than copper and therefore may not be amenable to pulse heating even at this relatively low magnitude. The second kind of damage would be the damage due to HOMs that will be generated during RF breakdowns that will occur in the process of conditioning. The HOMs will penetrate into the damping slots and will be deposited into the NiCr material. Breakdowns are relatively rare events and are not expected to initiate in the vast majority of RF pulses coupled into the cavity. However, multi-MW peak power will be deposited onto the absorbers during the breakdown event. We believe that the proposed tests would serve to qualify NiCr as a new material (with other candidates possible) for HOM absorption in high gradient linacs with distributed coupling.

6. Injection into the 3 π / 4 booster linac and BBU Effects

The original UCXFEL design discussed in Refs. [16] and [27] assumes use of distributed coupling linac structures working with π phase advance. The introduction of the 3 π / 4 -mode structures changes the spatial harmonic content of the on-axis E z field profile and, thus, the radial focusing coefficient of such structures η [27], which is η = 1.12 0.5 cos ( 2 Δ ϕ ) for the π -mode and η = 0.61 0.1 cos ( 2 Δ ϕ ) for the 3 π / 4 -mode with Δ ϕ being the phase deviation from the crest. As a consequence, the beam dynamics has to be re-examined in comparison with previous results obtained in Ref. [27] with special attention given to matching the beam produced by the high gradient cryogenic RF gun, see Figure 14 (top) to the first booster linac section. Indeed, a propagation mode, known as invariant envelope [63], allows for reducing the projected normalized emittance from 92 nm-rad to 45 nm-rad, see Figure 14 (bottom), by optimized control [63] of the beam’s transverse plasma oscillations.
The nominal working point for this propagation mode requires to inject the beam at its waist ( σ x = σ 0 and σ x = 0 ) and to adjust the average accelerating gradient E 0 as a function of the beam current, energy and spot size [64]. Given these considerations, here we investigate the dynamics in the first booster linac section following the RF gun in order to identify the working point that minimizes the final emittance. This investigation requires a large number of simulations so we have performed a preliminary scan of the parameter space using the tracking code MILES [26] instead of General Particle Tracer (GPT) [65]. The former is based on simplified, semi-analytical models for the description of the self-induced electromagnetic field and thus is particularly convenient for a fast evaluation of such effects. In particular, the space charge forces are described by a superposition of the fields produced by uniform cylindrical slices, an approach inherited and generalized from the code HOMDYN [66,67] that successfully describes this scenario.
Figure 15 shows the results of the preliminary optimization process with MILES. Here, we have kept the high gradient cryogenic RF gun settings found in Ref. [27] and adjusted the injection distance (the drift d in Figure 15a is measured starting at 112 cm from the cathode) and the average accelerating gradient in the booster linac E 0 . The global minimum for the final normalized emittance, here 55 nm-rad, has been obtained for d = 5.2 cm and E 0 = 73.7 MV/m and the evolution of the transverse rms parameters is shown for such values in Figure 15b. We note that, although the accelerating gradient is similar to the π -mode case, this minimum corresponds to a small shift of the injection location downstream of the beam waist resulting in slightly larger spot size at the booster exit.
The optimized emittance compensation working point for the new 3 π / 4 -mode standing wave linac obtained using MILES has been validated with detailed particle simulations using the General Particle Tracer (GPT) code with 350K macroparticles. Figure 16 compares the slice emittance information of a 100 pC bunch at the exit of the first booster linac section to that at the entrance for the two modes discussed here. The final emittance found in these simulations is quite similar to the π -mode case, given that the phase and acceleration gradient in the new linac is flexible – similar performance can be achieved. The projected normalized emittance found in these more detailed simulations is yet smaller than that found in the MILES, at 45 nm-rad. The slice values remain below the 45 nm-rad level in the body of the beam. The final value of the emittance needed for the FEL design has been established to be near 75 nm-rad, thus significant performance overhead is obtained in the current design. This overhead may be needed later as a guarantee that emittance dilution during transport and compression, as discussed below.

6.1. SRWF-induced emittance dilution

As the photoinjector is predicted to produce extremely low emittances with relatively high current beams, we must be prepared to preserve this beam quality in order to take advantage of its brightness for the FEL applications. Therefore, in this section we use MILES to investigate the potential emittance dilution induced by the short-range wakefields (SRWF) in the high (shunt- and beam-)impedance linac structures themselves, as well as possible mitigation schemes. This SRWF analysis is different from those undertaken in the past[26], due to the foreseen use of the 3 π / 4 -mode linac.
The SRWF interaction for short bunches propagating in periodic accelerating structures is well described by use of diffraction theory [68,69,70] and asymptotic expressions for the corresponding wake-functions are known [71]. A primary concern is represented by the strong dipole wake effects expected for small cell irises and responsible for a slice-dependent deflection that increases the projected rms emittance. This effect is exacerbated by the low beam rigidity in the initial injection region, which makes particles very sensitive to alignment imperfections. Therefore, mitigation schemes suppressing the BBU effects in the low energy section are crucial. Here we will present a possible correction technique aimed at finding the trajectory that minimizes the excitation of dipole SRWFs.
It is important to stress that the emittance dynamics in the first booster linac section are very rich and complex: the nominal emittance compensation process and the counteracting dilution induced by the dipole wakes take place simultaneously. It is thus extremely helpful to have efficient computational methods capable to include both aspects. The test we perform assumes two section of 3 π / 4 -mode distributed coupling linac: the first uses the parameters obtained from the optimization of the injection working point, while the second simply boosts the energy up to 150 MeV. We also assume that the first section has a 100 μ m transverse offset so that the beam propagates in an off-axis trajectory, exciting dipole wakefields in the process.
In Figure 17 the red triangles represent the center of mass trajectory and the rms emittance in this configuration. For comparison, the green squares represent the same quantities without the alignment error. It can be observed that the final emittance is magnified by a factor 2.7 due to the linac offset. An efficient approach to mitigate this effect consists in the introduction of two steering magnets upstream of each linac section that allow for a fine control of both offsets and angles at the injection. Therefore, by use of a simple matrix optics calculation [26], one can find the strength of the magnetic correctors that ensures zero offset and angle in each accelerating structure. In such a configuration the beam is forced to propagate on-axis in each linac section regardless of the misalignments so that the dipole wakefields are completely suppressed and the emittance can be preserved as shown by the dashed black curves.

7. IFEL modulation and beam compression

We will now move to a discussion of the beam dynamics downstream of the photoinjector. For clarity we will first summarize the key features of the original UCXFEL beamline design [16] on which our new design is based. As shown in the previous section, the cryogenic photoinjector yields 100 pC, 150 MeV beams of 20 A peak current and 50 nm-rad normalized projected emittance. For optimal lasing performance we need to accelerate the beam to a much higher energy – 2.44 GeV for the present scenario – with much higher peak current – 4 kA. To do so while preserving the extremely high beam brightness we utilize two compression stages. First, the beam is accelerated to 400 MeV energy while accruing a linear chirp that is compressed in a zig-zag style chicane array to compensate for coherent synchrotron radiation (CSR)-induced emittance growth. The residual chirp after compression is removed using a round corrugated dechirping cavity, after which the beam co-propagates with an external IR laser in a strong magnetic wiggler to induce a periodic energy modulation. In the original design, that energy modulation had a period of 10 μ m. The modulated beam is then accelerated to its final energy, 1 GeV in the original design and 2.44 GeV in this revised design, and compressed in a compact chicane. The energy modulated longitudinal phase space is converted into a train of 4 kA peak current microbunches whose emittance has been preserved to the 75 nm-rad level thanks to the optimized compression architecture.
As we hinted in the last paragraph, the most notable changes we must introduce with respect to the nominal 1 GeV soft x-ray UCXFEL design are the increased final beam energy of 2.44 GeV and the possibility to change the period of the IFEL modulation [72]. Lasing at much higher photon energy in this case, nearly 7 keV, dramatically reduces the slippage effects that mandated a 10 μ m modulation period in the soft x-ray UCXFEL design. With a shorter modulation period, the momentum compaction required to compress the microbunches is smaller, which helps to compensate for the opposite momentum compaction scaling induced by moving to higher beam energy. In both the beam dynamics simulations and the FEL performance simulations we will consider two options for the modulating wavelength: 1 micron and 3 microns. A 1 micron modulating laser has the smallest required momentum compaction, but may start to suffer from slippage effects in the FEL. The 3 micron case requires a slightly stronger compressor, increasing the risk of beam phase space quality degradation, but reduces slippage effects.
The beam dynamics for this updated working point are essentially unchanged from the original UCXFEL design up to the entrance of the laser modulator. A slightly lower accelerating gradient – 100 MeV/m instead of 120 MeV/m – requires three 1 meter long C-band linacs rather than two to reach 400 MeV beam energy. This extra meter of acceleration has a negligible impact on the dynamics otherwise. Similarly, compression to 400 A in the first bunch compressor, and subsequent linearization in a round dechirping cavity [73], is as was reported in Ref. [16]. The key changes begin in the laser modulator, where as mentioned previously we now consider 1 and 3 micron modulating wavelengths. To mitigate changes from the original robust UCXFEL design, we assume the modulator to have the same magnetic period of 15 cm, with the only required change then being the magnetic field strength to match to the shorter wavelengths. A shorter resonant wavelength in the modulator requires even smaller magnetic fields, so no issues are expected from this change.
The laser modulator is followed by 20 one-meter linac sections to bring the beam to its final energy of 2.44 GeV. As with the modulator, the basic design of the final compressor is unchanged: 10 centimeter bend magnets arranged with one meter drifts separating them. The modified design parameters for the two modulating laser working points are given in Table 1. The longitudinal phase space of the final compressed beam is shown for each case in Figure 18. The top row (a) and (b) show the full modulated and compressed phase spaces of the two beams with the same vertical energy axes to assist comparison. As expected the macroscopic shape of the two is very similar with the key difference being the modulation wavelength and the CSR-induced energy loss from the final compression. In particular, the three micron case has a larger magnitude of energy loss due to the stronger compressor. Nonetheless, each case reaches 4 kA peak current in the bunch train, which we highlight for a single microbunch in panels (c) and (d). The qualitative features are again similar, with each case having a peak current close to 4 kA and a relative slice energy spread around 3 × 10 4 in the current spike. The one and three micron slices have full-widths at half maximum of 44 nm and 119 nm, respectively, for this chosen central microbunch. Furthermore, the slice emittance in the microbunch has a value of 51 nm-rad and 66 nm-rad at the location of peak current, respectively. The projected normalized emittances (calculated over the microbunch FWHM) are 52-nm rad and 76 nm-rad, respectively. These emittances are consistent with the optimized FEL design demands, as we will see below. Furthermore, previous studies have found the 1D CSR model used to overestimate CSR induced emittance growth in such microbunched beams [74], so even better final emittances may be expected from simulations employing more robust models.

7.1. Very high frequency RF devices for bunch compression

In order to perform needed longitudinal phase space linearization in the first compression stage, one needs a high gradient RF accelerating structure with an integrated voltage at least of 15 MV working on 6th harmonic of the main linac frequency (34.4 GHz). To power such a device, a multi-MW RF source in Ka-band must be developed. In this context, an electron gun with a lower perveance to obtain a high efficiency klystron for driving phase space-linearizing devices has been investigated [75].
The proposed design has allowed the development of a high beam quality-electron gun dedicated to high efficiency klystrons which are suitable for the next generation of multi-harmonic klystrons. Self-consistent analytic and numeric design for a set of electron guns with a high beam quality to be used in high-power Ka-band klystrons is presented [76]. In order to optimize the Ka-band klystron’s efficiency for achieving 20 MW RF output power, different electron guns, beam focusing channel designs and RF beam dynamics have been examined and discussed. The electron flow is generated from a high-voltage DC gun (480 kV), and different beam currents (50A, 100A, and 218 A) have been extracted by changing the cathode–anode geometry in order to adjust the electric field equipotential lines. The electron beam is transported through the klystron channel and the beam confinement is obtained by means of a high magnetic field produced by superconducting coils. The channel has been optimized to deliver high power electron beams with a spot size of 2 mm diameter. As a result, an electron gun was chosen with 100 A, 480 kV operation in order to obtain an output RF power of about 20 MW and mitigate diamagnetic effects. With a SLED pulse compression system (Stanford Linac Energy Doubler) [77,78], one may obtain 80 MW output power. We note that this power source may energize a phase space linearizer, and also a high resolution (10’s of femtosecond) RF sweeper-based diagnostic system

7.2. Long range BBU effects after first compression

After the first compression section, the bunches in the train are shortened by an order of magnitude, and their coupling to higher-order modes increases commensurately, with many modes excited. In the remaining part of this section we perform a multi-bunch BBU analysis with the code MILES that aims to evaluate the stability of the eight-bunch train in the main linac used for the XRAFEL scheme. The details of this multi-pulse configuration are dictated by the needs of the regenerative amplifier itself, and are described in the following section. From a beam stability perspective the main concern of accelerating many bunches in the same RF macro-pulse is the parasitic excitation of the cavity higher order modes (HOMs) introducing coupling among different bunches. In particular, monopole modes exchange energy with the beam introducing bunch-to-bunch energy spread whereas dipole modes induce transverse deflections responsible for potentially large oscillations of the bunches. The strength of the long range wakefield (LRWF) interaction can be evaluated by the longitudinal and dipole impedances of the HOMs. The R / Q values calculated with CST [79] are shown in Figure 19 for the 3 π / 4 structure in comparison with the baseline π -mode design. The three possible irises a = 1 , 2 , 3 mm, corresponding to slight geometric variations of the nominal cavity, are investigated in order to make available detuning schemes for the mitigation of the BBU effects [80,81]. We note that the modes found in the 3 π / 4 structure possess higher impedances and, thus, a stronger parasitic interaction is expected.
In the example that follows we examine the LRWF effects in the main linac following the first bunch compression stage. As mentioned above, this linac accelerates the electrons from 400 MeV to 2.44 GeV in 20 ∼1 m long sections operating at 100 MeV/m. Following the XRAFEL concept discussed in Section 8, we consider 8 consecutive bunches, 100 pC each, with ∼40 ns separation (228 RF buckets) distributed over the 300 ns flat-top RF pulse. In Figure 20 we consider an alignment error of 100 μ m so that the 8 bunches are injected in the linac with an offset. The propagation off-axis causes excitation of the dipole HOMs with further deflections of the trailing bunches. Figure 20a shows the trajectories of the bunches in the linac whereas Figure 20b shows the amplitude of the transverse oscillation envelope for all the bunches at the end of the linac as well as their energy. The transverse oscillations are normalized with respect to the amplitude obtained for the first bunch, which by causality is not subjected to BBU interaction, while the energies are expressed as deviations from the first bunch energy (∼2.44 GeV). The small bunch-to-bunch deviations show that LRWF effects are relatively weak due to the small number of pulses, their large time-separation and the moderate length of the linac that limits the mutual interaction. It is useful to remind that correction schemes capable of mitigating such deviations can be introduced. In particular, HOM dampers, as discussed in Section 5, or frequency detuning allow to suppress the long range BBU interaction whereas a proper time dependent shaping of the RF macro-pulse can reduce the beam loading effects.

7.3. Undulator resistive wall wakefield mitigation

A final issue concerning wakefields exists - the resistive wall effects inside the narrow gap undulator. The IFEL bunch train current profile also serves to mitigate the undulator resistive wall wakefields (URWW) which are an important consideration arising from the use of these short period, small gap undulators [82,83]. Ref. [84] discusses a regime of URWW particularly relevant to the present parameter space: a cryogenic, flat wall geometry with ultra-short beams. In Figure 21 we analyze an idealized train of IFEL micro-bunches, near the center of the macro-bunch. These micro-bunches, spaced on 3 μ m centers, pass through a cryogenic (RRR = 100) copper flat wall structure with a gap size of 2 mm and an overall length of four meters. We compare this result to that of a single Gaussian beam with the same charge and peak current as the micro-bunched beam. The maximum induced energy spread due to the resistive wall wakes is seen to be less than 0.01 percent. This is suppressed by a factor of 15 compared to the case (also shown) of the full beam compressed to the 4 kA peak current.

8. X-ray Regenerative Amplifier FEL Performance

In this section, we consider an X-ray regenerative amplifier FEL (XRAFEL) design [50] with a multi-bunch C-band linac, and present first simulation studies to obtain an estimate of the performance of the scheme. An XRAFEL wraps a high-gain FEL within a Bragg crystal cavity. The crystal cavity will monochromatize and return X-ray pulses for repetitive interactions with a bunch train generated by the C-band linac. In the following studies we consider eight electron bunches (each separated by 40 ns) that can be supported with a relatively short RF pulse of 300 ns.
As a representative example, we consider a rectangular cavity composed of four diamond mirrors oriented at 45 degrees (see Figure 22), with Bragg resonance centered at 6.95 keV (Miller indices 220). The crystal thickness of 100 μ m results in a peak reflectivity of 99.6% and an FWHM reflective bandwidth of 141 meV. The 4 m long undulators are centered between two mirrors M1 and M2, spaced 5.5 m apart in a rectangular X-ray cavity with round-trip length L c = 12 m. These undulators are of the design employed in the UCXFEL study, as discussed above. Two compound refractive lenses (with 3 m focal length) are used to control the transverse radiation size in the cavity.
As shown in Table 2, a short-period (6.5-mm, with 2 mm gap), cryogenically-cooled permanent magnet undulator is considered for this design [85], as in the original UCXFEL study. This period permits operation at 2.44 GeV while obtaining 7 keV FEL photon energy. This approach necessitates use of a very high 6D brightness beam. Further, in order to take advantage of the ultra-low emittance electron source, we insert a quadrupole FODO lattice superimposed on the undulator to provide the necessary focusing. This likely necessitates use of permanent magnets placed inside the undulator gap. This design may be made more robust by using a new modified Panofsky quadrupole scheme [86].
For the electron beam configurations, we have considered both 1 μ m and 3 μ m laser modulation period based on the bunch compression studies above. In the following GENESIS simulations, we consider a core part of the bunch of 20 μ m in length. Both types of current modulations yield 4 kA peak current, hence the width of the 3- μ m modulated spikes will be three times that of the 1 μ m modulation. The slippage length for a 4-m undulator at 1.78 Å is about 100 nm. The longer current spikes (FWHM 120 nm) of the 3 μ m current modulation is notably longer than the slippage length and hence has better FEL performance, both in power output and in spectral width. Detailed simulation studies are discussed in another article of the same Proceedings [51], here we only report the 3- μ m current modulation SASE and XRAFEL results.
Figure 23 and Figure 24 depict the GENESIS 1.3 results for the SASE and XRAFEL simulations using the 3- μ m modulated beam profile in Figure 18b, but with only a 20- μ m flat bunch core to save the computation time. Single pass SASE for a 3 μ m modulated beam can reach a power up to 6.5 GW with a noisy temporal profile and spectrum. By allowing the Bragg reflected X-rays to recirculate in a 12 m round-trip cavity and interact with the electron bunches multiple times, the maximum power output increases to 44 GW with a train of phase locked pulses and a coherent spectrum (of multiple spikes). Steady state XRAFEL behavior is reached in about 6 passes, by which point it is apparent that the XRAFEL design produces a higher power output, as well as a brighter spectral output by nearly two orders of magnitude. Thus, an XRAFEL can significantly enhance the temporal coherence and spectral brightness of a SASE FEL examined in Ref. [16] without increasing the footprint.
We note that the XRAFEL using a current-modulated beam generates a train of phase-locked X-ray intensity spikes, with a corresponding set of spectral spikes. While this temporal format can be further explored for various applications needing the highest spectral brightness, a more uniform electron bunch profile will generate a more compact X-ray temporal profile. In this way the spectral brightness will be more concentrated in a single spike with the maximum coherence and brightness. In the near future, we plan to explore different bunch compression schemes to generate a compact single-pulse current distribution, while mitigating deleterious collective effects. This will serve to further optimize the spectral brightness. This is discussed further below.

9. Conclusions and outlook for chip metrology XFEL development

This paper has presented a conceptual design for a high average flux UCXFEL at 7 keV photon energy, using a high repetition rate system that utilizes a regenerative amplifier approach to the FEL. The departure point for this design effort has been the UCXFEL design for 1 nm operation. In order to permit the needed increase in X-ray energy, flux and coherence, while presenting the most likely low-risk path to near-term realization, various changes in the soft X-ray design have been examined. These include the use of a new type of C-band RF linac structure with efficient, streamlined power distribution and accelerating capabilities. At present, with a slightly derated gradient, we may consider use of this linac operated at room temperature. We have performed analyses indicating the likely compatibility of this new design with the preservation of beam quality due to various effects, prominently including space-charge, coherent synchrotorn radiation, and both long- and short-range wakefields.
This XRAFEL permits improvement in the average coherent flux available for ptychographic laminography over previous pioneering SLS experiments using the cSAXS beamline by five orders of magnitude. It is important in this case to quantify the spectral brightness expected, and in this case we have seen that using a microbunching approach to final compression leads to a final spectral width of 2 × 10 3 , or an order of magnitude higher than that obtained at cSAXS [47]. This spectral width may have an detrimental effect on the ptychography measurements, and this must be studied. One may nearly completely mitigate this added width by revisiting the compression scheme used. One must then consider collective effects such as the coherent synchrotron radiation and the resistive wall effect in the undulator, as discussed further below.
As a first step to proceeding towards development, we are developing a proposal for industrial development through US government sources. This proposal is informed by both this current paper and the original UCXFEL paper. It will address the issues needed to take this conceptual design study and mature it to full technical design. The main points to be addressed this next phase are:
  • Engagement with imaging community and industrial users to set photon flux, spectral quality demands for ptychographic laminography chip inspection;
  • Examine advantages of cryo-emission through measurements at emerging UCLA infrastructure;
  • Finalize high brightness RF gun technical approach based on cryo-RF experimental results;
  • Fabrication of new C-band linear accelerator sections with optimized power distribution requiring quadrant symmetry;
  • High gradient testing of 2-cell structures and one-meter linac sections at room temperature to achieve 100 MeV/m gradients.
  • Cost optimization of RF and linear accelerator systems based on preliminary engineering design, to determine technical choice for industrialized instrument;
  • Optimization of alignment and mechanical stability systems, as well as active correctors for orbits;
  • Beam line layout and design, including transport magnet systems, vacuum systems, and advanced transverse and longitudinal beam diagnostic systems;
  • Quantify pulse-pulse variation beam quality, stability, and reproducibility as is critically important for image reconstruction.
  • Re-examinination of XRAFEL design for increased spectral brightness, and consistency with optimized ptychographic application;
  • Design of short period cryogenic undulator, with strong focusing and beam/radiation diagnostic systems;
  • X-ray optics design and engineering development for both XRAFEL and ptychography systems;
  • Industrialization of accelerator and FEL technical approach, including RF, cryogenic systems. This is in progress at RadiaBeam in the context of the present collaboration;
  • The role ole of end station and detector technology must to be addressed. Design, development and integration of ptychographic laminography system for industrial scale chip metrology with collaborators from imaging community and the semiconductor industry.
  • Integrate algorithm and big data challenges from ptychographic lanminograpy into system design;
  • Preliminary cost analysis of developing a prototype XRAFEL for chip metrology, with fully capable end station for fast inspectrion in the industrial environment.
This current effort at advanced applications of compact XFELS, reflected in the discussions above, is based on years of investment by federal agencies (DOE, DARPA, NSF). We propose here to exploit these results to transform the capabilities of the micro-electronics fabrication industry. This finds particular urgency in light of the stated goals of metrology in the context of the CHIPS Act of 2021. In this regards, it should be noted that many of the capabilities introduced in the design of the compact XRAFEL discussed here may also be employed for the metrology of lithography masks. These issues are examined in some detail in the review found in [87]. Ptychographic techniques using Angstrom-class X-rays, enabled by a UCXFEL similar to that described here may provide a key tool for this type of metrology as well. The list of potential applications of the concepts we have introduced in this article thus seems likely to expand further.

Author Contributions

This article is the product of a wide collaborative effort by of all the authors listed. It was conceived and integrated by the lead author, James Rosenzweig.

Funding

This work was performed with support of: the National Science Foundation, through the Center for Bright Beams, Grant No. PHY-1549132; through an NSF Science and Technology Center. Support was also obtained from the US Dept. of Energy, Division of High Energy Physics, under contracts no. DE-SC0009914, no. DE-SC0020409, and DOE/SU Contract No. DE-AC02-76-SF00515. Additional support has been given by through the DARPA GRIT program under Contract No. HR001120C0072, and the Los Alamos National Laboratory (LANL) LDRD Program.

Acknowledgments

Author James Rosenzweig would like to acknowledge useful conversations with Prof. A.F.J. Levi (Univ. of Southern California).

References

  1. Pellegrini, C.; Marinelli, A.; Reiche, S. The physics of x-ray free-electron lasers. Rev. Mod. Phys. 2016, 88, 015006. [Google Scholar] [CrossRef]
  2. Huang, Z.; Kim, K.J. Review of x-ray free-electron laser theory. Physical Review Special Topics-Accelerators and Beams 2007, 10, 034801. [Google Scholar] [CrossRef]
  3. Pellegrini, C. X-ray free-electron lasers: From dreams to reality. Physica Scripta 2016, 2016. [Google Scholar] [CrossRef]
  4. Miao, J.; Ishikawa, T.; Robinson, I.K.; Murnane, M.M. Beyond crystallography: Diffractive imaging using coherent x-ray light sources. Science 2015, 348, 530–535. [Google Scholar] [CrossRef]
  5. N Robinson, I.; Harder, R. Coherent X-ray diffraction imaging of strain at the nanoscale. Nature Materials 2009, 8, 291–298. [Google Scholar] [CrossRef] [PubMed]
  6. Minitti, M.P.; Budarz, J.M.; Kirrander, A.; Robinson, J.S.; Ratner, D.; Lane, T.J.; Zhu, D.; Glownia, J.M.; Kozina, M.; Lemke, H.T.; et al. Imaging Molecular Motion: Femtosecond X-Ray Scattering of an Electrocyclic Chemical Reaction. Phys. Rev. Lett. 2015, 114, 255501. [Google Scholar] [CrossRef]
  7. Altarelli, M.; Brinkmann, R.; Chergui, M. The European X-ray free-electron laser. Technical design report 2007. [Google Scholar]
  8. Arthur, J.; Anfinrud, P.; Audebert, P.; Bane, K.; Ben-Zvi, I.; Bharadwaj, V.; Bionta, R.; Bolton, P. Linac Coherent Light Source (LCLS) Conceptual Design Report. SLAC-R-593 2002. [Google Scholar]
  9. Group, L.I.D.S.; et al. LCLS-II conceptual design report. Technical report, Report LCLSII-1.1-DR-0001-R0, SLAC, 2014.
  10. Zhang, M.; Guo, Z.; Mi, X.; Li, Z.; Liu, Y. Ultrafast Imaging of Molecular Dynamics Using Ultrafast Low-Frequency Lasers, X-ray Free Electron Lasers, and Electron Pulses. The Journal of Physical Chemistry Letters 2022, 13, 1668–1680. [Google Scholar] [CrossRef]
  11. Feldhaus, J.; Krikunova, M.; Meyer, M.; Möller, T.; Moshammer, R.; Rudenko, A.; Tschentscher, T.; Ullrich, J. AMO science at the FLASH and European XFEL free-electron laser facilities. Journal of Physics B: Atomic, Molecular and Optical Physics 2013, 46, 164002. [Google Scholar] [CrossRef]
  12. Barty, A.; Küpper, J.; Chapman, H.N. Molecular Imaging Using X-Ray Free-Electron Lasers. Annual Review of Physical Chemistry 2013, 64, 415–435. [Google Scholar] [CrossRef] [PubMed]
  13. Maeda, Y.; Hironaka, Y.; Iwasaki, T.; Kawasaki, K.; Sakawa, Y.; Izumi, T.; Ota, M.; Egashira, S.; Nakagawa, Y.; Higashi, N.; et al. Observation of ultra-high energy density state with x-ray free electron laser SACLA. High Energy Density Physics 2020, 36, 100813. [Google Scholar] [CrossRef]
  14. Huang, N.; Deng, H.; Liu, B.; Wang, D.; Zhao, Z. Features and futures of X-ray free-electron lasers. The Innovation 2021, 2, 100097. [Google Scholar] [CrossRef] [PubMed]
  15. Yoshida, R.; Yamashige, H.; Miura, M.; Kimura, T.; Joti, Y.; Bessho, Y.; Kuramoto, M.; Yu, J.; Khakurel, K.; Tono, K.; et al. Extending the potential of x-ray free-electron lasers to industrial applications - An initiatory attempt at coherent diffractive imaging on car-related nanomaterials. Journal of Physics B: Atomic, Molecular and Optical Physics 2015, 48, 244008. [Google Scholar] [CrossRef]
  16. Rosenzweig, J.; Majernik, N.; Robles, R.; Andonian, G.; Camacho, O.; Fukasawa, A.; Kogar, A.; Lawler, G.; Miao, J.; Musumeci, P.; et al. An ultra-compact x-ray free-electron laser. New Journal of Physics 2020, 22, 093067. [Google Scholar] [CrossRef]
  17. Gondrom, S.; Zhou, J.; Maisl, M.; Reiter, H.; Kröning, M.; Arnold, W. X-ray computed laminography: an approach of computed tomography for applications with limited access. Nuclear Engineering and Design 1999, 190, 141–147. [Google Scholar] [CrossRef]
  18. Batey, D.J.; Van Assche, F.; Vanheule, S.; Boone, M.N.; Parnell, A.J.; Mykhaylyk, O.O.; Rau, C.; Cipiccia, S. X-Ray Ptychography with a Laboratory Source. Phys. Rev. Lett. 2021, 126, 193902. [Google Scholar] [CrossRef]
  19. Pompili, R.; Alesini, D.; Anania, M.; Arjmand, S.; Behtouei, M.; Bellaveglia, M.; Biagioni, A.; Buonomo, B.; Cardelli, F.; Carpanese, M.; et al. Free-electron lasing with compact beam-driven plasma wakefield accelerator. Nature 2022, 605, 659–662. [Google Scholar] [CrossRef] [PubMed]
  20. Wang, W.; Feng, K.; Ke, L.; Yu, C.; Xu, Y.; Qi, R.; Chen, Y.; Qin, Z.; Zhang, Z.; Fang, M.; et al. Free-electron lasing at 27 nanometres based on a laser wakefield accelerator. Nature 2021, 595, 516–520. [Google Scholar] [CrossRef]
  21. Labat, M.; et al. Seeded free-electron laser driven by a compact laser plasma accelerator. Nature Photonics 2023, 1749–4893. [Google Scholar] [CrossRef]
  22. Rosenzweig, J.B.; Arab, E.; Andonian, G.; Cahill, A.; Fitzmorris, K.; Fukusawa, A.; Hoang, P.; Jovanovic, I.; Marcus, G.; Marinelli, A.; et al. The GALAXIE all-optical FEL project. ADVANCED ACCELERATOR CONCEPTS: 15th Advanced Accelerator Concepts Workshop 2012, 10, 493–498. [Google Scholar] [CrossRef]
  23. Peralta, E.; Soong, K.; England, R.; Colby, E.; Wu, Z.; Montazeri, B.; McGuinness, C.; McNeur, J.; Leedle, K.; Walz, D.; et al. Demonstration of electron acceleration in a laser-driven dielectric microstructure. Nature 2013, 503, 91–94. [Google Scholar] [CrossRef] [PubMed]
  24. Shiloh, R.; Illmer, J.; Chlouba, T.; Yousefi, P.; Schönenberger, N.; Niedermayer, U.; Mittelbach, A.; Hommelhoff, P. Electron phase-space control in photonic chip-based particle acceleration. Nature 2021, 597, 498–502. [Google Scholar] [CrossRef] [PubMed]
  25. Cahill, A.; Rosenzweig, J.; Dolgashev, V.A.; Tantawi, S.G.; Weathersby, S. High gradient experiments with X-band cryogenic copper accelerating cavities. Physical Review Accelerators and Beams 2018, 21, 102002. [Google Scholar] [CrossRef]
  26. Bosco, F.; Camacho, O.; Carillo, M.; Chiadroni, E.; Faillace, L.; Fukasawa, A.; Giribono, A.; Giuliano, L.; Majernik, N.; Mostacci, A.; et al. Fast models for the evaluation of self-induced field effects in linear accelerators. Nuclear Instruments and Methods in Physics Research Section A: Accelerators, Spectrometers, Detectors and Associated Equipment 2023, 1056, 168642. [Google Scholar] [CrossRef]
  27. Robles, R.R.; Camacho, O.; Fukasawa, A.; Majernik, N.; Rosenzweig, J.B. Versatile, high brightness, cryogenic photoinjector electron source. Physical Review Accelerators and Beams 2021, 24, 063401. [Google Scholar] [CrossRef]
  28. Rosenzweig, J.B.; Cahill, A.; Carlsten, B.; Castorina, G.; Croia, M.; Emma, C.; Fukusawa, A.; Spataro, B.; Alesini, D.; Dolgashev, V.; et al. Ultra-high brightness electron beams from very-high field cryogenic radiofrequency photocathode sources. Nuclear Instruments and Methods in Physics Research Section A: Accelerators, Spectrometers, Detectors and Associated Equipment 2018, 909, 224–228. [Google Scholar] [CrossRef]
  29. Rosenzweig, J.; Cahill, A.; Dolgashev, V.; Emma, C.; Fukasawa, A.; Li, R.; Limborg, C.; Maxson, J.; Musumeci, P.; Nause, A.; et al. Next generation high brightness electron beams from ultrahigh field cryogenic rf photocathode sources. Physical Review Accelerators and Beams 2019, 22, 023403. [Google Scholar] [CrossRef]
  30. Lawler, G.; Fukasawa, A.; Li, Z.; Majernik, N.; Rosenzweig, J.; Suraj, A.; Yadav, M. RF Testbed for Cryogenic Photoemission Studies. In Proceedings of the Proc. IPAC’21. JACoW Publishing, Geneva, Switzerland, 2021, number 12 in International Particle Accelerator Conference. pp. 2810–2813. [CrossRef]
  31. Lawler, G.; Rosenzweig, J. Temperature Stability in CrYogenic Brightness-Optimized Radiofrequency Gun (CYBORG). In Proceedings of the Proc. IPAC’23. JACoW Publishing, Geneva, Switzerland, 2023, number 14 in IPAC’23 - 14th International Particle Accelerator Conference. pp. 1407–1409. [CrossRef]
  32. Lawler, G.; Fukasawa, A.; Li, Z.; Mostacci, A.; Parsons, J.; Rosenzweig, J.; Simakov, E.; Spataro, B.; Tajima, T.; Tantawi, S. Design of a High-Power RF Breakdown Test for a Cryocooled C-Band Copper Structure. In Proceedings of the Proc. 5th Int. Particle Accel. Conf. (NAPAC’22). JACoW Publishing, Geneva, Switzerland, 2022, number 5 in International Particle Accelerator Conference. pp. 516–518. [CrossRef]
  33. Lawler, G.; Rosenzweig, J. Effects of Bulk Material Properties on RF Surface Resistivity. In Proceedings of the Proc. IPAC’23. JACoW Publishing, Geneva, Switzerland, 2023, number 14 in IPAC’23 - 14th International Particle Accelerator Conference. pp. 1404–1406. [CrossRef]
  34. Lawler, G.; Bosco, F.; Rosenzweig, J. Improving Interface Physics Understanding in High-Frequency Cryogenic Normal Conducting Cavities. 2023, arXiv:physics.acc-ph/2310.11578. [Google Scholar]
  35. Vecchione, T.; Dowell, D.; Wan, W.; Feng, J.; Padmore, H.A. Quantum efficiency and transverse momentum from metals. Proceedings of FEL2013,(Geneva, Switzerland: JACoW, 2013) 2013, 424. [Google Scholar]
  36. et al., H.X. C-band photoinjector radiofrequency cavity design for enhanced beam generation. In Proceedings of the Proc. IPAC’23. JACoW Publishing, Geneva, Switzerland, 2023, number 14 in IPAC’23 - 14th International Particle Accelerator Conference; pp. 2061–2063. [CrossRef]
  37. P. Anisimov, E.S.; Xu, H. P. Anisimov, E.S.; Xu, H. Emittance compensation in a high charge TOPGUN photoinjector. In Proceedings of the Proc. IPAC’23. JACoW Publishing, Geneva, Switzerland, 2023, number 14 in IPAC’23 - 14th International Particle Accelerator Conference. pp. 2747–2750. [CrossRef]
  38. Alexander, A.; et al. . Update on the status of the C-band high gradient program at LANL. In Proceedings of the Proc. IPAC’23. JACoW Publishing, Geneva, Switzerland, 2023, number 14 in IPAC’23 - 14th International Particle Accelerator Conference; pp. 2057–2060. [CrossRef]
  39. Majernik, N.; Suraj, A.; Fukasawa, A.; Rosenzweig, J.B. Multi-start foil wound solenoids for multipole suppression. In Proceedings of the 12th Int. Particle Accelerator Conf. (IPAC’21), Campinas, Brazil; 2021. [Google Scholar]
  40. Selvamanickam, V. 2 - High temperature superconductor (HTS) wires and tapes. In High Temperature Superconductors (HTS) for Energy Applications; Melhem, Z., Ed.; Woodhead Publishing Series in Energy; Woodhead Publishing, 2012; pp. 34–68. [Google Scholar] [CrossRef]
  41. Metrology Gaps in the Semiconductor Ecosystem: First Steps Toward Establishing the CHIPS R&D Metrology Program. Available online: https://www.nist.gov/system/files/documents/2023/06/05.
  42. Strategic Opportunities for, U.S. Semiconductor Manufacturing. Available online: https://nvlpubs.nist.gov/nistpubs/CHIPS/NIST.CHIPS.1000.pdf.
  43. A Strategy for the CHIPS for America Fund. Available online: https://www.nist.gov/chips/implementation-strategy.
  44. Servanton, G.; Clement, L.; Lepinay, K.; Lorut, F.; Pantel, R.; Pofelski, A.; Bicais, N. Advanced TEM Characterization for the Development of 28-14nm nodes based on fully-depleted Silicon-on-Insulator Technology. Journal of Physics: Conference Series 2013, 471, 012026. [Google Scholar] [CrossRef]
  45. Holler, M.; Odstrčil, M.; Guizar-Sicairos, M.; Lebugle, M.; Frommherz, U.; Lachat, T.; Bunk, O.; Raabe, J.; Aeppli, G. LamNI – an instrument for X-ray scanning microscopy in laminography geometry. Journal of Synchrotron Radiation 2020, 27, 730–736. [Google Scholar] [CrossRef] [PubMed]
  46. Holler, M.; Guizar-Sicairos, M.; Tsai, E.H.R.; Dinapoli, R.; Müller, E.; Bunk, O.; Raabe, J.; Aeppli, G. High-resolution non-destructive three-dimensional imaging of integrated circuits. Nature 2017, 543, 402–406. [Google Scholar] [CrossRef]
  47. Holler, M.; Odstrcil, M.; Guizar-Sicairos, M.; Lebugle, M.; Müller, E.; Finizio, S.; Tinti, G.; David, C.; Zusman, J.; Unglaub, W.; et al. Three-dimensional imaging of integrated circuits with macro-to nanoscale zoom. Nature Electronics 2019, 2, 464–470. [Google Scholar] [CrossRef]
  48. Graves, W.S.; Kärtner, F.X.; Moncton, D.E.; Piot, P. Intense Superradiant X Rays from a Compact Source Using a Nanocathode Array and Emittance Exchange. Phys. Rev. Lett. 2012, 108, 263904. [Google Scholar] [CrossRef] [PubMed]
  49. Nanni, E.; Graves, W.; Moncton, D. Nanomodulated electron beams via electron diffraction and emittance exchange for coherent x-ray generation. Physical Review Accelerators and Beams 2018, 21, 014401. [Google Scholar] [CrossRef]
  50. Huang, Z.; Ruth, R.D. Fully Coherent X-Ray Pulses from a Regenerative-Amplifier Free-Electron Laser. Physical Review Letters 2006, 96, 144801. [Google Scholar] [CrossRef]
  51. Singleton, M.; Rosenzweig, J.; Tang, J.; Huang, Z. An Ultra-Compact X-ray Regenerative Amplifier Free-Electron Laser. Instruments (to be published) 2023. [Google Scholar] [CrossRef]
  52. Kang, I.; Jiang, Y.; Holler, M.; Guizar-Sicairos, M.; Levi, A.F.J.; Klug, J.; Vogt, S.; Barbastathis, G. Accelerated deep self-supervised ptycho-laminography for three-dimensional nanoscale imaging of integrated circuits. Optica 2023, 10, 1000–1008. [Google Scholar] [CrossRef]
  53. Robles, R.; Rosenzweig, J. Compression of ultra-high brightness beams for a compact x-ray free-electron laser. Instruments 2019, 3, 53. [Google Scholar] [CrossRef]
  54. Vernieri, C.; Nanni, E.A.; Dasu, S.; Peskin, M.E.; Barklow, T.; Bartoldus, R.; Bhat, P.C.; Black, K.; Brau, J.E.; Breidenbach, M.; et al. A “Cool” route to the Higgs boson and beyond. The Cool Copper Collider. Journal of Instrumentation 2023, 18, P07053. [Google Scholar] [CrossRef]
  55. Faillace, L.; Agustsson, R.; Behtouei, M.; Bosco, F.; Bruhwiler, D.; Camacho, O.; Carillo, M.; Fukasawa, A.; Gadjev, I.; Giribono, A.; et al. High field hybrid photoinjector electron source for advanced light source applications. Phys. Rev. Accel. Beams 2022, 25, 063401. [Google Scholar] [CrossRef]
  56. Cahill, A.D.; Rosenzweig, J.B.; Dolgashev, V.A.; Li, Z.; Tantawi, S.G.; Weathersby, S. rf losses in a high gradient cryogenic copper cavity. Phys. Rev. Accel. Beams 2018, 21, 061301. [Google Scholar] [CrossRef]
  57. Nasr, M.; Nanni, E.; Breidenbach, M.; Weathersby, S.; Oriunno, M.; Tantawi, S. Experimental demonstration of particle acceleration with normal conducting accelerating structure at cryogenic temperature. Physical Review Accelerators and Beams 2021, 24, 093201. [Google Scholar] [CrossRef]
  58. Farkas, Z.; Hogg, H.; Loew, G.; Wilson, P.B. SLED: A method of doubling SLAC’s energy. In Proceedings of the Proc. Of 9th Int. Conf. On High Energy Accelerators, SLAC; 1974; p. 576. [Google Scholar]
  59. Kim, D.; Simakov, E.; Li, Z. Study of HOM couplers for the C-band accelerating structure. In Proceedings of the 14th International Particle Accelerator Conference, Venice, Italy; 2023; p. TUPL136. [Google Scholar]
  60. Gorelov, D.; Fleming, R.L.; Lewellen, J.W.; Middendorf, M.E.; Perez, D.; Schneider, M.E.; Simakov, E.I.; Tajima, T. Status of the C-Band Engineering Research Facility (CERF-NM) Test Stand Development at LANL. In Proceedings of the 2021 Particle Accelerator Conference (IPAC’21), Campinas, Brazil; 2021. [Google Scholar]
  61. Simakov, E.I.; Alexander, A.M.; Gorelov, D.V.; Hall, T.W.; Middendorf, M.E.; Rai, D.; Tajima, T.; Zuboraj, M.R.A. Update on the status of C-band research and facilities at LANL. In Proceedings of the 2022 North Americal Particle Accelerator Conference, Albuquerque, NM; 2022. [Google Scholar]
  62. Schneider, M.; Dolgashev, V.; Lewellen, J.W.; Tantawi, S.G.; Nanni, E.A.; Zuboraj, M.; Fleming, R.; Gorelov, D.; Middendorf, M.; Simakov, E.I. High gradient off-axis coupled C-band Cu and CuAg accelerating structures. Applied Physics Letters 2022, 121, 254101. [Google Scholar] [CrossRef]
  63. Serafini, L.; Rosenzweig, J.B. Envelope analysis of intense relativistic quasilaminar beams in rf photoinjectors: A theory of emittance compensation. Physical Review E 1997, 55, 7565. [Google Scholar] [CrossRef]
  64. Rosenzweig, J.; Serafini, L. Transverse particle motion in radio-frequency linear accelerators. Physical review. E, Statistical physics, plasmas, fluids, and related interdisciplinary topics 1994, 49, 1599–1602. [Google Scholar] [CrossRef]
  65. van der Geer, S.B.; de Loos, M.J. Applications of the General Particle Tracer code. In Proceedings of the Proc.1997 Particle Accelerator Conference; 1997; Volume 2, pp. 2577–2579. [Google Scholar] [CrossRef]
  66. Ferrario, M.; Serafini, L.; Tazzioli, F. Multi-bunch dynamics in accelerating structures including interaction with higher order modes. In Proceedings of the Proceedings of International Conference on Particle Accelerators, 1993; Volume 5, pp. 3279–32815. [CrossRef]
  67. Ferrario, M.; Serafini, L.; Tazzioli, F. Higher Order Modes Interaction with Multi-bunch Trains in Accelerating Structures. Proc. of EPAC, London 1994, 1132–1134. [Google Scholar]
  68. Lawson, J.D. Radiation from a ring charge passing through a resonator. Part. Accel. 1990, 25, 107–112. [Google Scholar]
  69. Gluckstern, R.L. High-frequency behavior of the longitudinal impedance for a cavity of general shape. Phys. Rev. D 1989, 39, 2773–2779. [Google Scholar] [CrossRef]
  70. Heifets, S.A.; Kheifets, S.A. High-frequency limit of the longitudinal impedance of an array of cavities. Phys. Rev. D 1989, 39, 960–970. [Google Scholar] [CrossRef] [PubMed]
  71. Bane, K. Wakefields of sub-picosecond electron bunches. International Journal of Modern Physics A - IJMPA 2007, 22. [Google Scholar] [CrossRef]
  72. Zholents, A.A. Current-Enhanced SASE Using an Optical Laser and its Application to the LCLS. SLAC-PUB-10713 2004. [Google Scholar] [CrossRef]
  73. Bane, K.; Stupakov, G. Dechirper wakefields for short bunches. Nuclear Instruments and Methods in Physics Research Section A: Accelerators, Spectrometers, Detectors and Associated Equipment 2016, 820, 156–163. [Google Scholar] [CrossRef]
  74. Robles, R.; Rosenzweig, J.; van der Geer, S. Three-Dimensional Radiative Effects in the Compression of Ultra-Short Electron Micro-Bunches. In Proceedings of the Proc. IPAC’21. JACoW Publishing, Geneva, Switzerland, 2021, number 12 in International Particle Accelerator Conference; pp. 1577–1580. [CrossRef]
  75. Behtouei, M.; Spataro, B.; Faillace, L.; Carillo, M.; Leggieri, A.; Palumbo, L.; Migliorati, M. Relativistic versus Nonrelativistic Approaches to a Low Perveance High Quality Matched Beam for a High Efficiency Ka-Band Klystron. Instruments 2021, 5. [Google Scholar] [CrossRef]
  76. Spataro, B.; Behtouei, M.; Di Paolo, F.; Leggieri, A. A low-perveance electron gun for a high-efficiency Ka-band klystron. The European Physical Journal Plus 2022, 137, 769. [Google Scholar] [CrossRef]
  77. Ivanov, O.A.; Lobaev, M.A.; Vikharev, A.L.; Gorbachev, A.M.; Isaev, V.A.; Hirshfield, J.L.; Gold, S.H.; Kinkead, A.K. Active Microwave Pulse Compressor Using an Electron-Beam Triggered Switch. Phys. Rev. Lett. 2013, 110, 115002. [Google Scholar] [CrossRef]
  78. Ivanov, O.A.; Vikharev, A.A.; Gorbachev, A.M.; Isaev, V.A.; Lobaev, M.A.; Vikharev, A.L.; Kuzikov, S.V.; Hirshfield, J.L.; LaPointe, M.A. Active quasioptical Ka-band rf pulse compressor switched by a diffraction grating. Phys. Rev. ST Accel. Beams 2009, 12, 093501. [Google Scholar] [CrossRef]
  79. CST Studio Suite. Available online: https://www.3ds.com/products-services/simulia/products/cst-studio-suitel.
  80. Bane, K.L.; Gluckstern, R.L. The Transverse wake field of a detuned X band accelerator structure. Part. Accel. 1993, 42, 123–169. [Google Scholar]
  81. Thompson, K.; Adolphsen, C.; Bane, K. Multibunch beam break-up in detuned structures. In Proceedings of the Proceedings of International Conference on Particle Accelerators; 1993; Volume 5, pp. 3342–3344. [Google Scholar] [CrossRef]
  82. Majernik, N.; Rosenzweig, J.B. Design of Comb Fabricated Halbach Undulators. Instruments 2019, 3. [Google Scholar] [CrossRef]
  83. Majernik, N.; Rosenzweig, J. Halbach undulators using right triangular magnets. Physical Review Accelerators and Beams 2019, 22, 092401. [Google Scholar] [CrossRef]
  84. Stupakov, G.; Bane, K.L.; Emma, P.; Podobedov, B. Resistive wall wakefields of short bunches at cryogenic temperatures. Physical Review Special Topics - Accelerators and Beams 2015, 18, 1–6. [Google Scholar] [CrossRef]
  85. O’Shea, F.H.; Marcus, G.; Rosenzweig, J.B.; Scheer, M.; Bahrdt, J.; Weingartner, R.; Gaupp, A.; Grüner, F. Short period, high field cryogenic undulator for extreme performance x-ray free electron lasers. Physical Review Special Topics - Accelerators and Beams 2010, 13, 1–12. [Google Scholar] [CrossRef]
  86. Pound, B.A.; Candler, R.; Crisp, S.; Ody, A.; Musumeci, P.; Rosenzweig, J. Focusing of a relativistic electron beam with a microfabricated quadrupole magnet. Phys. Rev. Accel. Beams 2023, 26, 042401. [Google Scholar] [CrossRef]
  87. Liddle, J.A.; Gallatin, G.M. Lithography, metrology and nanomanufacturing. Nanoscale 2011, 3, 2679–2688. [Google Scholar] [CrossRef]
Figure 2. (a) Cutaway of design for 1.6 cell photoinjector gun section showing relative locations of laser penetration, beam path, and basic cryogenic hardware. (b) UCLA-SLAC-LANL cryo-RF gun design alongside cavity mode fields from simulation.
Figure 2. (a) Cutaway of design for 1.6 cell photoinjector gun section showing relative locations of laser penetration, beam path, and basic cryogenic hardware. (b) UCLA-SLAC-LANL cryo-RF gun design alongside cavity mode fields from simulation.
Preprints 91436 g002
Figure 3. CYBORG beamline development in two configurations: (a) existing Phase1 setup (using Cu cathode) with cryostat door open and (b) Phase2 configuration cutaway with load-lock for INFN style minipuck cathodes
Figure 3. CYBORG beamline development in two configurations: (a) existing Phase1 setup (using Cu cathode) with cryostat door open and (b) Phase2 configuration cutaway with load-lock for INFN style minipuck cathodes
Preprints 91436 g003
Figure 4. Near threshold photoemission calculations and the effect on mean transverse energy (MTE) for copper cathodes in certain ranges relevant to the UCXFEL photoinjector. Impact of laser photon tuning on MTE in cryogenic limit. We expect obtain factor of 7 reduction from 45K operation (left). Temperature dependence on MTE in near threshold limit. For 0 excess energy note the asymptotic linear scaling of T and MTE (right).
Figure 4. Near threshold photoemission calculations and the effect on mean transverse energy (MTE) for copper cathodes in certain ranges relevant to the UCXFEL photoinjector. Impact of laser photon tuning on MTE in cryogenic limit. We expect obtain factor of 7 reduction from 45K operation (left). Temperature dependence on MTE in near threshold limit. For 0 excess energy note the asymptotic linear scaling of T and MTE (right).
Preprints 91436 g004
Figure 5. (a) Schematic of the laminography geometry. (b) Overview of the LamNI instrument, from [45].
Figure 5. (a) Schematic of the laminography geometry. (b) Overview of the LamNI instrument, from [45].
Preprints 91436 g005
Figure 7. The GRIT project linac, an example of a two-section π -mode structure fed together by a hybrid to eliminate reflections to the source.
Figure 7. The GRIT project linac, an example of a two-section π -mode structure fed together by a hybrid to eliminate reflections to the source.
Preprints 91436 g007
Figure 8. The π -phase advance distributed coupling topology.
Figure 8. The π -phase advance distributed coupling topology.
Preprints 91436 g008
Figure 9. Comparison of the shunt impedance for a set of optimized cavities at C-band (5.712 GHz). The cavities are optimized at each aperture parameter for each operating mode.
Figure 9. Comparison of the shunt impedance for a set of optimized cavities at C-band (5.712 GHz). The cavities are optimized at each aperture parameter for each operating mode.
Preprints 91436 g009
Figure 10. Field distribution of optimized cavities for both the π -mode and the 3 π / 4 -mode. The plotted quantities are surface electric field E s normalized to the accelerating field E a and the surface magnetic field multiplied by the free space wave impedance Z 0 and and also normalized to E a .
Figure 10. Field distribution of optimized cavities for both the π -mode and the 3 π / 4 -mode. The plotted quantities are surface electric field E s normalized to the accelerating field E a and the surface magnetic field multiplied by the free space wave impedance Z 0 and and also normalized to E a .
Preprints 91436 g010
Figure 11. Rendering of 3 π / 4 phase advance linac and compact power distribution system with four manifolds.
Figure 11. Rendering of 3 π / 4 phase advance linac and compact power distribution system with four manifolds.
Preprints 91436 g011
Figure 12. Photos of 2-cell brazed structure for high power breakdown. Photo on the left shows the structure machined in 2 halves and to be brazed into configuration to right.
Figure 12. Photos of 2-cell brazed structure for high power breakdown. Photo on the left shows the structure machined in 2 halves and to be brazed into configuration to right.
Preprints 91436 g012
Figure 13. The two-cell cavity with NiCr HOM absorbers designed for high gradient testing: (a) CST Microwave Studio model; (b) CAD model for fabrication.
Figure 13. The two-cell cavity with NiCr HOM absorbers designed for high gradient testing: (a) CST Microwave Studio model; (b) CAD model for fabrication.
Preprints 91436 g013
Figure 14. Phase spaces at the entrance to (top) and at the exit of (bottom) the booster linac section colored by the arrival time. One can see that head (blue) and tail (red) slices of the transverse phase space get aligned with core slices (yellow/green) at the exit of the booster linac section. The profile of the final longitudinal phase space suggests near crest acceleration with 73.8 MV/m in 105 cm section.
Figure 14. Phase spaces at the entrance to (top) and at the exit of (bottom) the booster linac section colored by the arrival time. One can see that head (blue) and tail (red) slices of the transverse phase space get aligned with core slices (yellow/green) at the exit of the booster linac section. The profile of the final longitudinal phase space suggests near crest acceleration with 73.8 MV/m in 105 cm section.
Preprints 91436 g014
Figure 15. Optimization of the booster linac section working point with on-crest acceleration. The minimum final emittance (black dot) is found over multiple MILES simulations where the drift length and the average accelerating gradient are changed. The distance d is measured starting 112 cm after the cathode and the gradient is defined as an energy gain per meter of the linac section.
Figure 15. Optimization of the booster linac section working point with on-crest acceleration. The minimum final emittance (black dot) is found over multiple MILES simulations where the drift length and the average accelerating gradient are changed. The distance d is measured starting 112 cm after the cathode and the gradient is defined as an energy gain per meter of the linac section.
Preprints 91436 g015
Figure 16. Slice information of a 100 pC beam from GPT simulations that shows 45 nm-rad projected normalized emittance performance for 3 π / 4 -mode and π -mode booster linacs vs initial 92 nm-rad projected normalized emittance (left). RMS beam size of the slices that shows slightly weaker focusing in 3 π / 4 -mode (right).
Figure 16. Slice information of a 100 pC beam from GPT simulations that shows 45 nm-rad projected normalized emittance performance for 3 π / 4 -mode and π -mode booster linacs vs initial 92 nm-rad projected normalized emittance (left). RMS beam size of the slices that shows slightly weaker focusing in 3 π / 4 -mode (right).
Preprints 91436 g016
Figure 17. Use of trajectory steering for the mitigation of SRWFs. The green squares and red triangles represent, respectively, an ideal machine with no misalignments and a linac whose first section is 100 μ m off-axis. Compensation of such an error is achieved by forcing the beam to propagate always on-axis (black dashed lines). The gold crosses identify the location of the BPMs.
Figure 17. Use of trajectory steering for the mitigation of SRWFs. The green squares and red triangles represent, respectively, an ideal machine with no misalignments and a linac whose first section is 100 μ m off-axis. Compensation of such an error is achieved by forcing the beam to propagate always on-axis (black dashed lines). The gold crosses identify the location of the BPMs.
Preprints 91436 g017
Figure 18. Characteristics of the longitudinal phase space of the electron beam at the end of the linac. (a) and (b) show the full longitudinal phase space while (c) and (d) highlight the central micro-bunch, showing its current and slice energy spread profiles. (a) and (c) are for a one micron laser modulation period while (b) and (d) are for a three micron period.
Figure 18. Characteristics of the longitudinal phase space of the electron beam at the end of the linac. (a) and (b) show the full longitudinal phase space while (c) and (d) highlight the central micro-bunch, showing its current and slice energy spread profiles. (a) and (c) are for a one micron laser modulation period while (b) and (d) are for a three micron period.
Preprints 91436 g018
Figure 19. Monopole and dipole R/Q values versus frequency for a subset of the HOMs. The values obtained for the 3 π / 4 structures are shown for different iris radii and compared with the baseline π -mode design.
Figure 19. Monopole and dipole R/Q values versus frequency for a subset of the HOMs. The values obtained for the 3 π / 4 structures are shown for different iris radii and compared with the baseline π -mode design.
Preprints 91436 g019
Figure 20. Trajectories and final amplitude of the beam oscillations for the 8 bunches.
Figure 20. Trajectories and final amplitude of the beam oscillations for the 8 bunches.
Preprints 91436 g020
Figure 21. The relative energy loss for a central region of the micro-bunch train (solid) and a single bunch (dashed) as they transit a cryogenic (RRR = 100) copper flat wall structure with gap size of 2 mm and an overall length of four meters. Both beams have the same total charge peak current, but the train splits the charge over a series micro-bunches with 3 μ m inter-bunch spacing. The energy loss as a percent is in blue and the beam current is in red.
Figure 21. The relative energy loss for a central region of the micro-bunch train (solid) and a single bunch (dashed) as they transit a cryogenic (RRR = 100) copper flat wall structure with gap size of 2 mm and an overall length of four meters. Both beams have the same total charge peak current, but the train splits the charge over a series micro-bunches with 3 μ m inter-bunch spacing. The energy loss as a percent is in blue and the beam current is in red.
Preprints 91436 g021
Figure 22. The setup of the 12 meter round-trip cavity an ultra-compact XRAFEL. The radiation produced by the XFEL is recirculated into the cavity and reflected via the Bragg condition for the (220) plane of diamond. The undulator is placed into one of the 5.5-m segments of the cavity. Lenses are used to control the transverse beam size of the radiation in the cavity, each having a 3m focal length.
Figure 22. The setup of the 12 meter round-trip cavity an ultra-compact XRAFEL. The radiation produced by the XFEL is recirculated into the cavity and reflected via the Bragg condition for the (220) plane of diamond. The undulator is placed into one of the 5.5-m segments of the cavity. Lenses are used to control the transverse beam size of the radiation in the cavity, each having a 3m focal length.
Preprints 91436 g022
Figure 23. Results for single pass SASE with no tapering for the 3 μ m modulated beam. Each plot shows (a) the gain curve (b) the output spectrum, and (c) the power profile. The maximum output power along the bunch peaks at 6.5 GW.
Figure 23. Results for single pass SASE with no tapering for the 3 μ m modulated beam. Each plot shows (a) the gain curve (b) the output spectrum, and (c) the power profile. The maximum output power along the bunch peaks at 6.5 GW.
Preprints 91436 g023
Figure 24. The (a)gain curve, (b) output spectrum, and (c) power profile for 3D XRAFEL with optimal tapering. A maximum output power (after exiting M1) of 44 GW is reached after the 6th pass.
Figure 24. The (a)gain curve, (b) output spectrum, and (c) power profile for 3D XRAFEL with optimal tapering. A maximum output power (after exiting M1) of 44 GW is reached after the 6th pass.
Preprints 91436 g024
Table 1. Laser modulator and chicane parameters for the IFEL compression system. Any unrepresented parameter is the same value as in Ref. [16].
Table 1. Laser modulator and chicane parameters for the IFEL compression system. Any unrepresented parameter is the same value as in Ref. [16].
Parameter Units 1 μ m value 3 μ m value
Modulator peak magnetic field T 0.265 0.477
Modulator laser peak power MW 200 80
Modulator laser waist size mm 0.5 0.5
Final chicane bend angle degrees 0.855 1.66
Table 2. Summary of parameters for the ultra-compact X-ray regenerative amplifier free-electron laser.
Table 2. Summary of parameters for the ultra-compact X-ray regenerative amplifier free-electron laser.
Parameter Units Value
Energy GeV 2.44
Energy spread % 0.03
Normalized transverse emittance nm-rad 75
Peak current kA 4.0
Undulator parameter, K 0.501
Undulator period mm 6.5
Undulator length m 4.0
Fundamental FEL wavelength Å 1.783
Photon energy keV 6.95
Diamond (220) bandwidth meV 141
Cavity roundtrip length (time) m (ns) 12 (40)
Number of electron bunches in an RF pulse 8
Disclaimer/Publisher’s Note: The statements, opinions and data contained in all publications are solely those of the individual author(s) and contributor(s) and not of MDPI and/or the editor(s). MDPI and/or the editor(s) disclaim responsibility for any injury to people or property resulting from any ideas, methods, instructions or products referred to in the content.
Copyright: This open access article is published under a Creative Commons CC BY 4.0 license, which permit the free download, distribution, and reuse, provided that the author and preprint are cited in any reuse.
Prerpints.org logo

Preprints.org is a free preprint server supported by MDPI in Basel, Switzerland.

Subscribe

Disclaimer

Terms of Use

Privacy Policy

Privacy Settings

© 2026 MDPI (Basel, Switzerland) unless otherwise stated