Submitted:
24 November 2023
Posted:
28 November 2023
You are already at the latest version
Abstract
Keywords:
MSC: 65P10; 65M20; 65L05; 65L06
1. Introduction
2. Basic Facts about the NLSE and Its Space Semi-Discretization
2.1. Space semi-discretization
2.2. Truncating the infinite expansion
- the value of N is generally very large, in view of obtaining a spectrally accurate space semi-discretization;
-
having fixed N, the composite trapezoidal rule over the equally spaced pointsis conveniently used to retrieve the Fourier coefficients in (20). In fact, as an example,with the latter integrands being, by virtue of the prosthaphaeresis formulae, trigonometric polynomials of degree at most . Consequently, the composite trapezoidal rule over equally spaced points is exact for computing them [93, page 155].3 Consequently, with reference to (23), and taking into account of the periodicity of the functions, one has:Similar arguments apply, of course, for retrieving .
3. Hamiltonian Boundary Value Methods
3.1. Discretization of the Fourier coefficients
-
Consequently, the quadrature is exact, provided that
- conversely, since the quadrature error is proportional to the -th derivative of the integrand, then
3.2. Runge-Kutta form
3.3. HBVMs as spectral methods in time
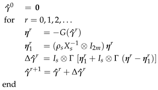
4. Efficient application of HBVMs to the NLSE
- the possible large (block)-size s of , in view of the use of HBVMs as spectral methods in time;
- the unpractical use of (51) to derive a straightforward fixed-point iteration, which would require the use of a very small stepsize h.
- in so doing, the inverse of the coefficient matrix, required by the iterative procedure, can be seen to be given by , i.e., the same matrix defined above;
- moreover, is a very sparse matrix. As matter of fact, one directly verifies that:which can be stored in two vectors, containing the main diagonals of and , respectively.
5. Numerical examples
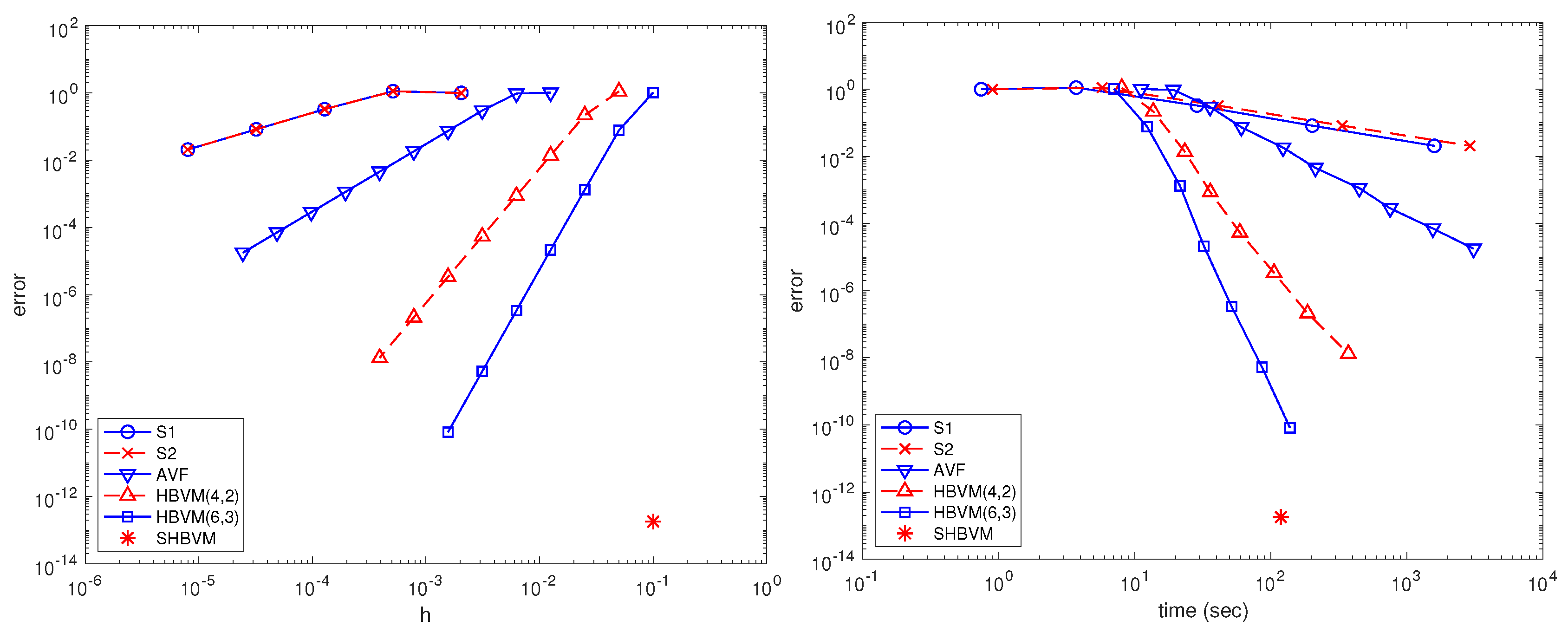
5.1. Example 1
- HBVM(2,1) (i.e., the AVF method), with stepsizes , ;
- HBVM(4,2), with stepsizes , ;
- HBVM(6,3), with step sizes , ;
- HBVM(20,18), which is spectrally accurate in time, when using the stepsize (i.e., it provides a SHBVM).
-
in the left-plot, we have the error versus the used stepsize, showing the predicted order:
- -
- 1 for S1 and S2,
- -
- 2 for HBVM(2,1) (i.e., the AVF method),
- -
- 4 for HBVM(4,2),
- -
- 6 for HBVM(6,3).
Clearly, the SHBVM reaches full machine accuracy for the considered stepsize; - in the right-plot, we have the so called work-precision diagram, where the errors are plotted against the execution times (in sec). As one may see, the higher the order of the method, the better its performance, with the SHBVM reaching full accuracy in a moderate time.
- the relative errors in the Hamiltonian, mass, and momentum for the AVF and HBVM(4,2) methods used with stepsize (upper plots);
- the relative errors in the invariants for the SHBVM used with stepsize (lower left-plot), and the modulus of the absolute error (lower right-plot).

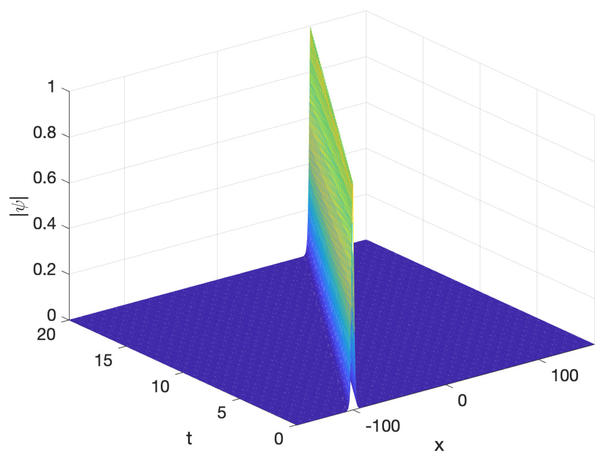
5.2. Example 2
- , for the AVF (i.e., HBVM(2,1)) and HBVM(4,2) methods;
- , for the HBVM(20,18) method, thus obtaining a spectrally accurate space-time method (SHBVM).
- the errors in the invariants for the AVF and HBVM(4,2) methods (upper plots), which exactly conserve the energy H and the momentum , whereas there is a numerical “peak” in the mass , when the two solitons collide;
- the errors in the invariants for the SHBVM method, along with the modulus of the computed solution, where one may see that the two solitons emerge after the collision at (lower plots).

5.3. Example 3
5.4. Example 4
- the AVF (i.e., HBVM(3,1)) and the HBVM(6,2) methods used with a stepsize (upper plots);
- the HBVM(20,18) method, which is spectrally accurate in time (i.e., it is a SHBVM), when using a stepsize . We also plot the modulus of the computed solution (lower plots).

6. Conclusions
Funding
Data Availability Statement
Conflicts of Interest
| 1 | It is worth mentioning that the state-of-art Matlab© code hbvm.m is available at the web-site of the monograph [67], http://web.math.unifi.it/users/brugnano/LIMbook/. |
| 2 | As is clear, this is nothing but the usual Fourier basis scaled and shifted in order to be orthonormal on the given interval w.r.t. the usual inner product. |
| 3 | Actually, they reduce to m, with all unit weights, because of the periodic boundary conditions. |
| 4 | Actually, the case is referred to as the “classical” NLSE. |
| 5 | As is clear, both conditions are required, for (53) to hold true. |
| 6 | As is usual, denotes the spectrum of matrix . |
| 7 | According to (65) we consider the relative error for H and , and the absolute error for . |
| 8 | Rounded to the integer. |
| 9 |
H and are rounded to the integer. |
| 10 | According to (68), we consider the relative error for H and , and the absolute error for . |
References
- Agrawal, G.P. Nonlinear Fiber Optics; Academic Press, 2007. [Google Scholar]
- Chen, F.F. Plasma Physics and Controlled Fusion; Springer Verlag: Berlin, 2006. [Google Scholar]
- Pécseli, H.L. Waves and Oscillations in Plasmas; CRC Press: Boca Raton, 2013. [Google Scholar]
- Rutherford P., H. Nonlinear growth of the tearing mode. Physics of Fluids 1973, 16, 1903–1908. [Google Scholar] [CrossRef]
- Osborne, A. Nonlinear Ocean Waves and the Inverse Scattering Transform; Academic Press: Burlington, 2010. [Google Scholar]
- Petviashvili, V.; Pokhotelov, O. Solitary Waves in Plasmas and in the Atmosphere; Gordon and Breach: Philadelphia, 1992. [Google Scholar]
- Davydov, A.S. The theory of contraction of proteins under their excitation. Journal of Theoretical Biology 1973, 38, 559–569. [Google Scholar] [CrossRef] [PubMed]
- Pitaevskii, L.; Stringari, S. Bose-Einstein Condensation and Superfluidity; Oxford University Press, 2016. [Google Scholar]
- Akhmediev, N.; Ankiewicz, A. Dissipative Solitons; Springer: New York, 2005. [Google Scholar]
- Inslie, B. J.; Girdlestone, H.P.; Cotter, D. Semiconductor-doped fibre waveguides exhibiting picosecond optical nonlinearity. Electronics Letters 1987, 23, 405–406. [Google Scholar] [CrossRef]
- Peng, G.D.; Xiong, Z.; Chu, P.L. Photosensitivity and gratings in dye-doped polymer optical fibers. Optical Fiber Technology 1999, 5, 242–251. [Google Scholar] [CrossRef]
- Adhikari, S.K. Mean-field description of collapsing and exploding Bose-Einstein condensates. Phys. Rev. A 2002, 66, 13611–13619. [Google Scholar] [CrossRef]
- Kagan, Y.; Muryshev, A.E.; Shlyapnikov, G.V. Collapse and Bose-Einstein condensation in a trapped Bose gas with negative scattering length. Phys. Rev. Lett. 1998, 81, 933–937. [Google Scholar] [CrossRef]
- Saito, H.; Ueda, M. Intermittent implosion and pattern formation of trapped Bose-Einstein condensates with attractive interaction. Phys. Rev. Lett. 2001, 86, 1406–14011. [Google Scholar] [CrossRef]
- Ablowitz, M.J.; Clarkson, P.A. Solitons, Nonlinear Evolution Equations and Inverse Scattering; Cambridge University Press, 1991. [Google Scholar]
- Ablowitz, M.J.; Segur, H. Solitons and the Inverse Scattering Transform; SIAM: Philadelphia, 1981. [Google Scholar]
- Cazenave, T. An Introduction to Nonlinear Schrödinger Equations; UFRJ: Rio de Janeiro, 1996. [Google Scholar]
- Dodd, R.K.; Eibeck, J.C.; Gibbon, J.D.; Morris, H. Solitons and nonlinear wave equation; Academic Press, 1982. [Google Scholar]
- Drazin, P.G.; Johnson, R.S. Solitons: An Introduction; Cambridge University Press, 1989. [Google Scholar]
- Delfour, M.; Fortin, M.; Payr, G. Finite-difference solutions of a non-linear Schrödinger equation. J. Comp. Phys. 1981, 44(2), 277–288. [Google Scholar] [CrossRef]
- Sanz-Serna, J.M. Methods for the numerical solution of the nonlinear Schrödinger equation. Math. Comp. 1984, 43(167), 21–27. [Google Scholar] [CrossRef]
- Sanz-Serna, J.M.; Manoranjan, V.S. A method for the integration in time of certain partial differential equations. J. Comp. Phys. 1983, 52(2), 273–289. [Google Scholar] [CrossRef]
- Tourigny, Y.; Sanz-Serna, J.M. The Numerical Study of Blowup with Application to a Nonlinear Schrödinger Equation. J. Comp. Phys. 1992, 102, 407–416. [Google Scholar] [CrossRef]
- Weideman, J.A.C.; Herbst, B.M. Split-step methods for the solution of the nonlinear Schrödinger equation. SIAM J. Numer. Anal. 1986, 23, 485–507. [Google Scholar] [CrossRef]
- Bai, J. Multi-symplectic Runge-Kutta-Nyström methods for nonsmooth nonlinear Schrödinger equations. J. Math. Anal. Appl. 2016, 444, 721–736. [Google Scholar] [CrossRef]
- Bridges, T.J. Muti-symplectic structures and wave propagation. Math. Proc. Cambridge Philos. Soc. 1997, 121, 147–190. [Google Scholar] [CrossRef]
- Bridges, T.J.; Reich, S. Multi-symplectic integrators: Numerical schemes for Hamiltonian PDEs that conserve symplecticity. Physics Letters A 2001, 284, 184–193. [Google Scholar] [CrossRef]
- Bridges, T.J.; Reich, S. Numerical methods for Hamiltonian PDEs. J. Phys. A: Math. Gen. 2006, 39, 5287–5320. [Google Scholar] [CrossRef]
- Chen, J.B.; Qin, M.Z. Multi-symplectic Fourier pseudospectral method for the nonlinear Schrödinger equation. Electron. Trans. Numer. Anal. 2001, 12, 193–204. [Google Scholar]
- Chen, J.B.; Qin, M.Z. A multisymplectic variational integrator for the nonlinear Schrödinger equation. Numer. Meth. Part. Differ. Equ. 2002, 18, 523–536. [Google Scholar] [CrossRef]
- Chen, J.B.; Qin, M.Z.; Tang, Y.F. Symplectic and multi-symplectic methods for the nonlinear Schrödinger equation. Comput. Math. Appl. 2002, 43, 1095–1106. [Google Scholar] [CrossRef]
- Hong, J.; Liu, X.-Y.; Li, C. Multi-symplectic Runge–Kutta–Nyström methods for nonlinear Schrödinger equations with variable coefficients. J. Comput. Phys. 2007, 226, 1968–1984. [Google Scholar] [CrossRef]
- Islas, A.L.; Schober, C.M. On the preservation of phase space structure under multisymplectic discretization. J. Comput. Phys. 2004, 197, 585–609. [Google Scholar] [CrossRef]
- Islas, A.L.; Schober, C.M. Backward error analysis for multisymplectic discretizations of Hamiltonian PDEs. Math. Comp. Simul. 2005, 69, 290–303. [Google Scholar] [CrossRef]
- McLachlan, R.I.; Ryland, B.N.; Sun, Y. High order multisymplectic Runge-Kutta methods. SIAM J. Sci. Comput. 2014, 36, A2199–A2226. [Google Scholar] [CrossRef]
- Moore, B.; Reich, S. Multisymplectic integration methods for Hamiltonian PDEs. Future Gener. Comput. Syst. 2003, 19, 395–402. [Google Scholar] [CrossRef]
- Guan, H.; Jiao, Y.; Liu, J.; Tang, Y. Explicit Symplectic Methods for the Nonlinear Schrödinger Equation. Comm. Comp. Phys. 2009, 6(3), 639–654. [Google Scholar]
- Heitzinger, C.; Ringhofer, C. A note on the symplectic integration of the nonlinear Schrödinger equation. J. Comput. Electr. 2004, 3(1), 33–44. [Google Scholar] [CrossRef]
- Herbst, B.M.; Varadi, F.; Ablowitz, M.J. Symplectic methods for the nonlinear Schrödinger equation. Math. Comput. Simul. 1994, 37, 353–369. [Google Scholar] [CrossRef]
- Huang, Z.; Xu, J.; Sun, B.; Wu, B.; Wu, X. A new solution of Schrödinger equation based on symplectic algorithm. Comput. Math. Appl. 2015, 69, 1303–1312. [Google Scholar] [CrossRef]
- Kong, L.; Chen, M.; Yin, X. A novel kind of efficient symplectic scheme for Klein-Gordon-Schrödinger equation. Appl. Numer. Math. 2019, 135, 481–496. [Google Scholar] [CrossRef]
- Kong, L.; Zhang, J.; Cao, Y.; Duan, Y.; Huang, H. Semi-explicit symplectic partitioned Runge-Kutta Fourier pseudo-spectral scheme for Klein-Gordon-Schrödinger equations. Comput. Phys. Comm. 2010, 181, 1369–1377. [Google Scholar] [CrossRef]
- Tang, Y.F.; Vázquez, L.; Zhang, F.; Pérez-Garcí a, V.M. Symplectic methods for the nonlinear Schrödinger equation. Comp. & Math. with Appl. 1996, 32(5), 73–83. [Google Scholar]
- Zhu, B.; Tang, Y.; Zhang, R.; Zhang, Y. Symplectic simulation of dark solitons motion for nonlinear Schrödinger equation. Numer. Algorithms 2019, 81, 1485–1503. [Google Scholar] [CrossRef]
- Bambusi, D.; Faou, E.; Grébert, B. Existence and stability of solitons for fully discrete approximations of the nonlinear Schrödinger equation. Numer. Math. 2013, 123, 461–492. [Google Scholar] [CrossRef]
- Faou, E. Geometric Numerical Integration and Schrödinger Equations; European Mathematical Society, 2012. [Google Scholar]
- Faou, E.; Grébert, B.; Paturel, E. Birkhoff normal form for splitting methods applied to semilinear Hamiltonian PDEs. Part I. Finite-dimensional discretization. Numer. Math. 2010, 114, 459–490. [Google Scholar] [CrossRef]
- Gauckler, L.; Lubich, Ch. Splitting Integrators for Nonlinear Schrödinger Equations Over Long Times Found. Comput. Math. 2010, 10, 275–302. [Google Scholar]
- Hong, J.; Liu, Y. A novel numerical approach to simulating nonlinear Schrödinger equations with varying coefficients. Appl. Math. Lett. 2003, 16, 759–765. [Google Scholar] [CrossRef]
- Islas, A.L.; Karpeev, D.A.; Schober, C.M. Geometric integrators for the nonlinear Schrödinger equation. J. Comput. Phys. 2001, 173, 116–148. [Google Scholar] [CrossRef]
- Lubich, Ch. On splitting methods for Schrödinger-Poisson and cubic nonlinear Schrödinger equations. Math. Comp. 2008, 77, 2141–2153. [Google Scholar] [CrossRef]
- Li, J. Uniformly accurate nested Picard iterative schemes for nonlinear Schrödinger equation with highly oscillatory potential. Appl. Numer. Math. 2023, 192, 132–151. [Google Scholar] [CrossRef]
- Bai, J.; Ullah, H.; Li, C. Energy-preserving methods for non-smooth nonlinear Schrödinger equations. Appl. Numer. Math. 2023, 185, 188–202. [Google Scholar] [CrossRef]
- Cai, J.; Zhang, H. High-order conservative schemes for the nonlinear Schrödinger equation in the semiclassical limit. Appl. Math. Lett. 2023, 144. Paper No. 108703, 10 pp.. [Google Scholar] [CrossRef]
- Fei, Z.; Pérez-García, V.M.; Vázquez, L. Numerical simulation of nonlinear Schrödinger systems: a new conservative scheme. Appl. Math. Comput. 1995; 71, 165–177. [Google Scholar]
- Feng, X.; Li, B.; Ma, S. High-order mass and energy-conserving SAV Gauss collocation finite element methods for the nonlinear Schrödinger equation. SIAM J. Numer. Anal. 2021, 59, 1566–1591. [Google Scholar] [CrossRef]
- Gong, Y.; Wang, Q.; Wang, Y.; Cai, J. A conservative Fourier pseudo-spectral method for the nonlinear Schrödinger equation. J. Comput. Phys., 2017, 328, 354–370. [Google Scholar] [CrossRef]
- Guo, L.; Xu, Y. Energy Conserving Local Discontinuous Galerkin Methods for the Nonlinear Schrödinger Equation with Wave Operator. J. Sci. Comput. 2015, 65(2), 622–647. [Google Scholar] [CrossRef]
- Ma, S.; Wang, J.; Zhang, M.; Zhang, Z. Mass- and energy-conserving Gauss collocation methods for the nonlinear Schrödinger equation with a wave operator. Adv. Comput. Math. 2023; 49, no. 6, Paper No. 77. [Google Scholar]
- Yang, J.; Yi, N. A conservative SAV-RRK finite element method for the nonlinear Schrödinger equation. Adv. Appl. Math. Mech. 2023, 15, 583–601. [Google Scholar]
- Yin, F.; Fu, Y. Explicit high accuracy energy-preserving Lie-group sine pseudo-spectral methods for the coupled nonlinear Schrödinger equation. Appl. Numer. Math. 2024, 195, 1–16. [Google Scholar] [CrossRef]
- Sanz-Serna, J.M.; Calvo, M.P. Numerical Hamiltonian Problems; Chapman & Hall: London, UK, 1994. [Google Scholar]
- Benettin, G.; Giorgilli, A. On the Hamiltonian interpolation of near to the identity symplectic mappings with application to symplectic integration algorithms. J. Statist. Phys. 1994, 74, 1117–1143. [Google Scholar] [CrossRef]
- Blanes, S.; Casas, F. A concise introduction to geometric numerical integration; Chapman et Hall/CRC: Boca Raton, FL, USA, 2016. [Google Scholar]
- Hairer, E.; Lubich, C.; Wanner, G. Geometric Numerical Integration, 2nd ed.; Springer: Berlin, Germany, 2006. [Google Scholar]
- Leimkuhler, B.; Reich, S. Simulating Hamiltonian Dynamics; Cambridge University Press: Cambridge, UK, 2004. [Google Scholar]
- Brugnano, L.; Iavernaro, F. Line Integral Methods for Conservative Problems; Chapman et Hall/CRC: Boca Raton, FL, USA, 2016. [Google Scholar]
- Brugnano, L.; Iavernaro, F.; Trigiante, D. Hamiltonian Boundary Value Methods (Energy Preserving Discrete Line Integral Methods). JNAIAM J. Numer. Anal. Ind. Appl. Math. 2010, 5, 17–37. [Google Scholar]
- Hairer, E. Energy-preserving variant of collocation methods. JNAIAM J. Numer. Anal. Ind. Appl. Math. 2010, 5, 73–84. [Google Scholar]
- Quispel, G.R.W.; McLaren, D.I. A new class of energy-preserving numerical integration methods. J. Phy. A 2008, 41, 045206. [Google Scholar] [CrossRef]
- Brugnano, L.; Iavernaro, F.; Trigiante, D. A simple framework for the derivation and analysis of effective one-step methods for ODEs. Appl. Math. Comput. 2012, 218, 8475–8485. [Google Scholar] [CrossRef]
- Brugnano, L.; Iavernaro, F. Line Integral Solution of Differential Problems. Axioms 2018, 7(2), 36. [Google Scholar] [CrossRef]
- Amodio, P.; Brugnano, L.; Iavernaro, F. Arbitrarily high-order energy-conserving methods for Poisson problems. Numer. Algorithms 2022, 91, 861–894. [Google Scholar] [CrossRef]
- Amodio, P.; Brugnano, L.; Frasca-Caccia, G.; Iavernaro, F. Arbitrarily high-order energy-conserving methods for Hamiltonian problems with holonomic constraints. J. Comp. Math. 2023. [Google Scholar] [CrossRef]
- Amodio, P.; Brugnano, L.; Iavernaro, F. Energy-conserving methods for Hamiltonian Boundary Value Problems and applications in astrodynamics. Adv. Comput. Math. 2015, 41, 881–905. [Google Scholar] [CrossRef]
- Amodio, P.; Brugnano, L.; Iavernaro, F. A note on the continuous-stage Runge-Kutta-(Nyström) formulation of Hamiltonian Boundary Value Methods (HBVMs). Appl. Math. Comput. 2019, 363, 124634. [Google Scholar] [CrossRef]
- Amodio, P.; Brugnano, L.; Iavernaro, F. Arbitrarily high-order methods for one-sided direct event location in discontinuous differential problems with nonlinear event function. Appl. Numer. Math. 2022, 179, 39–49. [Google Scholar] [CrossRef]
- Amodio, P.; Brugnano, L.; Iavernaro, F. Continuous-Stage Runge-Kutta approximation to Differential Problems. Axioms 2022, 11(5), 192. [Google Scholar] [CrossRef]
- Amodio, P.; Brugnano, L.; Iavernaro, F. (Spectral) Chebyshev collocation methods for solving differential equations. Numer. Algorithms 2023, 93, 1613–1638. [Google Scholar] [CrossRef]
- Brugnano, L.; Frasca-Caccia, G.; Iavernaro, F.; Vespri, V. A new framework for polynomial approximation to differential equations. Adv. Comput. Math. 2022, 48, 76. [Google Scholar] [CrossRef] [PubMed]
- Brugnano, L.; Gurioli, G.; Iavernaro, F. Analysis of Energy and QUadratic Invariant Preserving (EQUIP) methods. J. Comput. Appl. Math. 2018, 335, 51–73. [Google Scholar] [CrossRef]
- Brugnano, L.; Iavernaro, F.; Trigiante, D. A two-step, fourth-order method with energy preserving properties. Comput. Phys. Commun. 2012, 183, 1860–1868. [Google Scholar] [CrossRef]
- Brugnano, L.; Iavernaro, F.; Zhang, R. Arbitrarily high-order energy-preserving methods for simulating the gyrocenter dynamics of charged particles. J. Comput. Appl. Math. 2020, 380, 112994. [Google Scholar] [CrossRef]
- Brugnano, L.; Iavernaro, F. A general framework for solving differential equations. Annali dell’Università di Ferrara 2022, 68, 243–258. [Google Scholar] [CrossRef]
- Brugnano, L.; Montijano, I.J.; Rández, L. High-order energy-conserving Line Integral Methods for charged particle dynamics. Jour. Comput. Phys. 2019, 396, 209–227. [Google Scholar] [CrossRef]
- Brugnano, L.; Frasca-Caccia, G.; Iavernaro, F. Line Integral Solution of Hamiltonian PDEs. Mathematics 2019, 7(3), 275. [Google Scholar] [CrossRef]
- Brugnano, L.; Gurioli, G.; Sun, Y. Energy-conserving Hamiltonian Boundary Value Methods for the numerical solution of the Korteweg-de Vries equation. J. Comput. Appl. Math. 2019, 351, 117–135. [Google Scholar] [CrossRef]
- Brugnano, L.; Gurioli, G.; Zhang, C. Spectrally accurate energy-preserving methods for the numerical solution of the “Good” Boussinesq equation. Numer. Methods for Partial Differential Equations 2019, 35, 1343–1362. [Google Scholar] [CrossRef]
- Brugnano, L.; Iavernaro, F.; Montijano, I.J.; Rández, L. Spectrally accurate space-time solution of Hamiltonian PDEs. Numer. Algorithms 2019, 81, 1183–1202. [Google Scholar] [CrossRef]
- Brugnano, L.; Zhang, C.; Li, D. A class of energy-conserving Hamiltonian boundary value methods for nonlinear Schrödinger equation with wave operator. Commun. Nonlinear Sci. Numer. Simul. 2018, 60, 33–49. [Google Scholar] [CrossRef]
- Barletti, L.; Brugnano, L.; Frasca-Caccia, G.; Iavernaro, F. Energy-conserving methods for the nonlinear Schrödinger equation. Appl. Math. Comput. 2018, 318, 3–18. [Google Scholar] [CrossRef]
- Barletti, L.; Brugnano, L.; Tang, Y.; Zhu, B. Spectrally accurate space-time solution of Manakov systems. J. Comput. Appl. Math. 2020, 377, 112918. [Google Scholar] [CrossRef]
- Gautschi, W. Numerical Analysis. An Introduction; Birkhäuser: Boston, 1997. [Google Scholar]
- Dahlquist, G.; Björk, Å. Numerical Methods in Scientific Computing; SIAM: Philadelphia, PA, USA, 2008. [Google Scholar]
- Amodio, P.; Brugnano, L.; Iavernaro, F. Analysis of Spectral Hamiltonian Boundary Value Methods (SHBVMs) for the numerical solution of ODE problems. Numer. Algorithms 2020, 83, 1489–1508. [Google Scholar] [CrossRef]
- Brugnano, L.; Montijano, I.J.; Rández, L. On the effectiveness of spectral methods for the numerical solution of multi-frequency highly-oscillatory Hamiltonian problems. Numer. Algorithms 2019, 81, 345–376. [Google Scholar] [CrossRef]
- Brugnano, L.; Magherini, C. Blended Implementation of Block Implicit Methods for ODEs. Appl. Numer. Math. 2002, 42, 29–45. [Google Scholar] [CrossRef]
- Brugnano, L.; Magherini, C. Blended Implicit Methods for solving ODE and DAE problems, and their extension for second order problems. J. Comput. Appl. Math. 2007, 205, 777–790. [Google Scholar] [CrossRef]
- Brugnano, L.; Magherini, C. Recent advances in linear analysis of convergence for splittings for solving ODE problems. Appl. Numer. Math. 2009, 59, 542–557. [Google Scholar] [CrossRef]
- Brugnano, L.; Magherini, C.; Mugnai, F. Blended Implicit Methods for the Numerical Solution of DAE Problems. J. Comput. Appl. Math. 2006, 189, 34–50. [Google Scholar] [CrossRef]
- Brugnano, L.; Iavernaro, F.; Trigiante, D. A note on the efficient implementation of Hamiltonian BVMs. J. Comput. Appl. Math. 2011, 236, 375–383. [Google Scholar] [CrossRef]
- Brugnano, L.; Frasca-Caccia, G.; Iavernaro, F. Efficient implementation of Gauss collocation and Hamiltonian Boundary Value Methods. Numer. Algorithms 2014, 65, 633–650. [Google Scholar] [CrossRef]
- Konotop, V.V.; Vázquez, L. Nonlinear random waves; World Scientific: Singapore, 1994. [Google Scholar]
- Caplan, R.M.; Carretero-González, R.; Kevrekidis, P.G.; Malomed, B.A. Existence, stability, and scattering of bright vortices in the cubic-quintic nonlinear Schrödinger equation. Math. Comput. Simulation 2012, 82, 1150–1171. [Google Scholar] [CrossRef]
- Maday, Y.; Turinici, G. A parareal in time procedure for the control of partial differential equations. C. R. Acad. Sci. Paris, Ser. I, 2002, 335, 387–392. [Google Scholar] [CrossRef]
- Amodio, P.; Brugnano, L. Parallel implementation of block boundary value methods for ODEs. J. Comput. Appl. Math. 1997, 78, 197–211. [Google Scholar] [CrossRef]



![]() |
Disclaimer/Publisher’s Note: The statements, opinions and data contained in all publications are solely those of the individual author(s) and contributor(s) and not of MDPI and/or the editor(s). MDPI and/or the editor(s) disclaim responsibility for any injury to people or property resulting from any ideas, methods, instructions or products referred to in the content. |
© 2023 by the authors. Licensee MDPI, Basel, Switzerland. This article is an open access article distributed under the terms and conditions of the Creative Commons Attribution (CC BY) license (http://creativecommons.org/licenses/by/4.0/).

