Submitted:
21 November 2023
Posted:
22 November 2023
You are already at the latest version
Abstract

Keywords:
1. Introduction
1.1. Goal and Methodology
2. Data Acquisition
3. Data Preprocessing
3.1. Outlier Detection
3.2. Data Augmentation
3.2.1. Methodology
3.3. Feature Selection

4. Machine Learning Classification
4.1. Support Vector Machine (SVM)
4.2. Random Forest (RF)
4.3. Logistic Regression (LR)
4.4. Voting Meta-Classifier (VL2)
5. Experiment
- ASL manual alphabet
- consists of 26 different hand gestures with 21 different hand shapes. To represent the digits 0-9 as well, six more hand shapes were added. This leads us to 27 hand shapes with which fingerspelling is possible, i.e. the possibility to spell names and numbers.
- ASL-Lex
- uses 58 different hand shapes for the dominant hand. For reasons we cannot explain, the hand shapes Flat H and Flat N are displayed identically8 by ASL-Lex and cannot be distinguished. We therefore combine them and refer to them as Flat N. As already mentioned, the letters of the finger alphabet P and K also share the same hand shape9 and differ only in their orientation. We therefore have only considered K. So we have a total of 56 unique hand shapes, which (together with other details such as movement or orientation of the hand) allow a vocabulary of more than 2,700 characters.
5.1. Data Acquisition
5.2. Hyperparameters
5.3. Hardware
6. Results
6.1. Machine Learning Classifier
- Support Vector Machine (SVM)
-
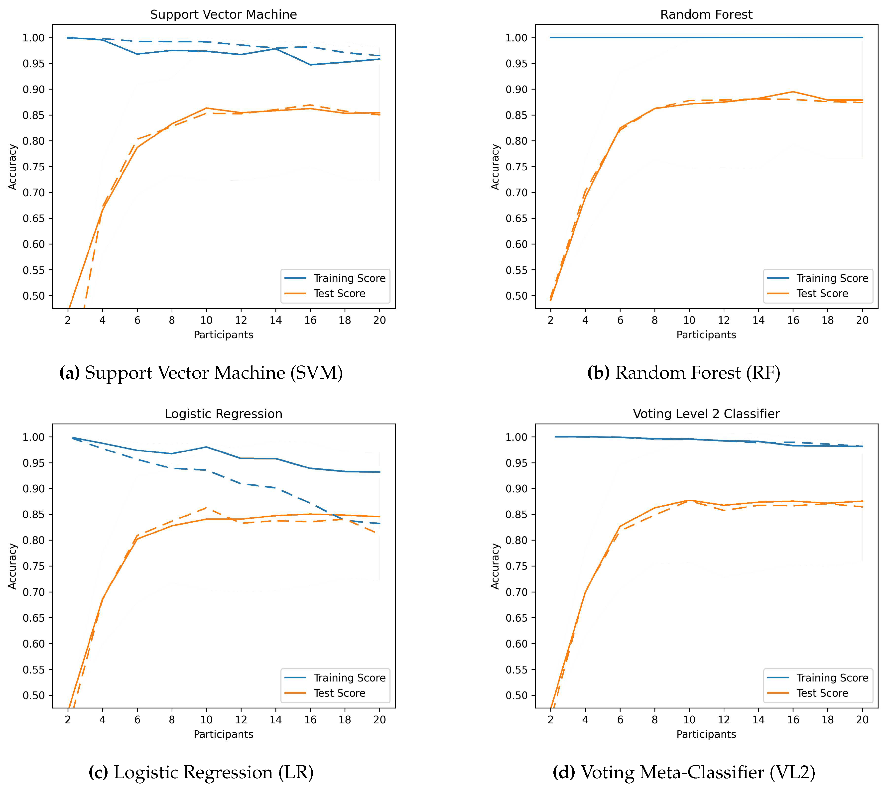
showed a robust performance in classifying both data sets. For 27 hand shapes, SVM achieved an average accuracy of 90.46%, while for the more extensive data set with 56 hand shapes, the accuracy dropped slightly to 85.46%. These results suggest a marginal decline in SVM’s efficacy with increasing data complexity.In terms of classification time, SVM took between and to classify the smaller data set and to classify the larger one, indicating good scalability.
- Random Forest (RF)
- offers comparable accuracy to SVM, with an average of 90.52% for 27 hand shapes and 86.79% for 56 hand shapes. However, the longer classification times ( for 27 hand shapes and for 56 hand shapes) could be a disadvantage in practical applications.
- Logistic Regression (LR)
-
showed slightly lower accuracy, especially for the larger data set (average 89.58% for 27 hand shapes vs. 84.19% for 56 hand shapes). It can be seen that LR suffers a significant loss of accuracy () when Data Augmentation is applied to a larger data set. When looking at the learning curves in Figure 10c, it can also be seen how the accuracy decreases as the number of samples increases. It therefore appears that LR has problems with scalability.Figure 7. Learning curves with (dashed line) and without (solid line) Data Augmentation for 27 hand shapes.Figure 7. Learning curves with (dashed line) and without (solid line) Data Augmentation for 27 hand shapes.
Classification times were the shortest among all classifiers tested, which could make LR an attractive choice for very time-constrained applications, as long as the amount of data is not too high. Regardless of the number of classes, the classification times are below , but are also the most dependent on processor runtime fluctuations due to these short runtimes. This can also be well recognized in Figure A3c and Figure A4c. Therefore, comparisons of the classification time for LR should be treated with caution. - Voting Meta-Classifier (VL2)
-
consistently achieved the highest average accuracy in both data sets (91.50% for 27 hand shapes and 86.59% for 56 hand shapes), if the results for procedures with Data Augmentation in the larger data set were omitted. It seems that the poor scalability of LR affects the accuracy of VL2.Classification times were also the longest ( for 27 hand shapes and for 56 hand shapes), which may limit its practical applicability in time-critical environments, because it contains all other classifiers on the first layer and additionally its own meta-classification takes place on the second layer.
6.2. Data preprocessing methods
6.2.1. Outlier Detection
6.2.2. Data Augmentation
6.2.3. Feature Selection

7. Discussion
7.1. Key Findings
- Accuracy vs. Classification Time Trade-off:
- VL2 achieved the highest accuracy, but was also the slowest, making its use in real-time applications a careful consideration. In contrast, LR offered the best speed but lowest accuracy ( percentage points less than VL2). RF and SVM are somewhere in between.
- Impact of Data Preprocessing:
- Data preprocessing techniques such as Feature Selection and Outlier Detection improved the efficiency of classifiers in terms of classification time, but often at the cost of a slight decrease in accuracy. The particular benefit of Data Augmentation could not be proven, instead it has provided poorer accuracy values and higher classification times.
7.2. Optimal Classifier for Real-Time Application
7.3. Limitations of Classification
- Thumb Position:
-
There are particular difficulties with the hand shapes M, N, and T, where a fist is formed and the thumb crosses a certain number of fingers below. Looking beyond the top 10, it can be seen that S is also often interchanged with the hand shapes just mentioned, because here the hand also forms a fist, but the thumb crosses the fingers at the top (and not at the bottom). Also, S is confused with Closed E, where the thumb does not rest on the fingers but directly below them.Upon closer inspection of the visualized data, it is noticeable that the position of the thumb is not recorded accurately enough by the data glove (examples can be seen in Figure 11). This is generally a weakness with this glove and seems to be the case with other IMU controlled gloves [11]. Similarly, it is difficult for the glove to tell whether the thumb is on top or underneath the crossed fingers.The hand shapes Flat Spread 5 and 4 are also confused and differ only in the position of the thumb.
- Spread Values:
- Another example where the classifiers had difficulties with recognition are the hand shapes R, H and V already shown in Figure 3, which differ only by the spread of the index finger and ring finger. The same applies to 4 and Closed B.
- Stretch Values:
- The classifiers also often had problems with stretch values, for example to distinguish between curved and bent hand shapes. Even though the recording of the hand shapes was monitored, it cannot be completely ruled out that the hand shapes were all recorded uniformly, as the difference between bent and curved is sometimes marginal. Examples are Curved L ⇔Bent L and Curved 1⇔Bent 1. The differences between the hand shapes Curved 4⇔Spread E and C⇔ O are more significant, but there have also been cases of confusion.
7.4. Comparison to Related Work
- Number of gestures:
- One of their results shows that the papers validate at least three to a maximum of 31 hand gestures. The average for static gestures is 20 gestures. So in comparison, our paper is in the upper range or well above with 27 and 56 static hand gestures respectively.
- Number of participants:
- For the number of participants and data recorded (samples), our work is right on the average of 20 participants and 1,000 to 10,000 samples (it has 1,620 and 3,360 samples, respectively, and double that if the data are augmented).
- Number of classifiers:
- Most papers have examined between three and five classifiers; again, we are in the mean range with four classifiers examined. However, we examine eight different combinations of data preprocessing methods for each classifier.
8. Conclusions
Author Contributions
Funding
Informed Consent Statement
Data Availability Statement
Conflicts of Interest
Abbreviations
| ACM | Association for Computing Machinery |
| ASL | American Sign Language |
| CMC | Carpometacarpal |
| DBSCAN | Density-Based Spatial Clustering of Applications with Noise |
| DIP | Distal Interphalangea |
| DoF | Degrees of Freedom |
| DT | Decision Tree |
| GA | Genetic Algorithm |
| IEEE | Institute of Electrical and Electronics Engineers |
| IP | Interphalangeal |
| IMU | Inertial Measurement Unit |
| LR | Logistic Regression |
| MCP | Metacarpophalangeal |
| ML | Machine Learning |
| OvA | One-versus-Al |
| OvO | One-versus-One |
| PCA | Principal Component Analysis |
| PIP | Proximal Interphalangeal |
| RF | Random Forest |
| SVM | Support Vector Machine |
| VL2 | Voting Meta-Classifier |
| VR | Virtual Reality |
| WoS | Web of Science |
Appendix A
![]() |






References
- World Health Organization. Deafness and hearing loss. Technical report; World Health Organization, 2021. [Google Scholar]
- Stokoe, W.C.; Casterline, D.C.; Croneberg, C.G. A dictionary of American Sign Language on linguistic principles; Linstok Press, 1976. [Google Scholar]
- Stokoe, W. Sign language structure. 1978; Linstok Press: Silver Spring, MD, USA, 1960. [Google Scholar]
- Achenbach, P.; Göksu, Y.; Kullmann, T.; Tregel, T.; Göbel, S. Towards handshape identification for automatic gesture recognition using sign notation systems. 8th European Conference on Social Media (ECSM ’21) 2021. [Google Scholar]
- Sehyr, Z.S.; Caselli, N.; Cohen-Goldberg, A.M.; Emmorey, K. The ASL-LEX 2.0 Project: A Database of Lexical and Phonological Properties for 2,723 Signs in American Sign Language. The Journal of Deaf Studies and Deaf Education 2021, 26, 263–277. [Google Scholar] [CrossRef]
- Caselli, N.K.; Sehyr, Z.S.; Cohen-Goldberg, A.M.; Emmorey, K. ASL-LEX: A lexical database of American Sign Language. Behavior Research Methods 2017, 49, 784–801. [Google Scholar] [CrossRef] [PubMed]
- Brentari, D. A prosodic model of sign language phonology; Language, speech, and communication, MIT Press: Cambridge, Mass, 1998. [Google Scholar]
- Fricke, E.; Bressem, J. Gesten - gestern, heute, übermorgen. Vom Forschungsprojekt zur Ausstellung; Universitätsverlag Chemnitz: Chemnitz, 2020. [Google Scholar]
- Pan, M.; Tang, Y.; Li, H. State-of-the-Art in Data Gloves: A Review of Hardware, Algorithms, and Applications. IEEE Transactions on Instrumentation and Measurement, 2023; 1–1. [Google Scholar] [CrossRef]
- Plawiak, P.; Sosnicki, T.; Niedzwiecki, M.; Tabor, Z.; Rzecki, K. Hand Body Language Gesture Recognition Based on Signals From Specialized Glove and Machine Learning Algorithms. IEEE Transactions on Industrial Informatics 2016, 12, 1104–1113. [Google Scholar] [CrossRef]
- Achenbach, P.; Purdack, D.; Wolf, S.; Müller, P.N.; Tregel, T.; Göbel, S. Paper Beats Rock: Elaborating the Best Machine Learning Classifier for Hand Gesture Recognition. In Serious Games; Söbke, H., Spangenberger, P., Müller, P., Göbel, S., Eds.; Springer International Publishing: Cham, 2022. [Google Scholar] [CrossRef]
- Pezzuoli, F.; Corona, D.; Corradini, M.L. Recognition and Classification of Dynamic Hand Gestures by a Wearable Data-Glove. SN Computer Science 2021, 2, 5. [Google Scholar] [CrossRef]
- Shukor, A.Z.; Miskon, M.F.; Jamaluddin, M.H.; Ali@Ibrahim, F.b.; Asyraf, M.F.; Bahar, M.B.b. A New Data Glove Approach for Malaysian Sign Language Detection. Procedia Computer Science 2015, 76, 60–67. [Google Scholar] [CrossRef]
- Saggio, G.; Cavallo, P.; Ricci, M.; Errico, V.; Zea, J.; Benalcázar, M.E. Sign Language Recognition Using Wearable Electronics: Implementing k-Nearest Neighbors with Dynamic Time Warping and Convolutional Neural Network Algorithms. Sensors 2020, 20, 3879. [Google Scholar] [CrossRef] [PubMed]
- Kunz, N. Recognition and Classification of Handshapes of American Finger Alphabet. Bachelor’s Thesis, Technical University of Darmstadt, Darmstadt, 2022. [Google Scholar]
- Pedregosa, F.; Varoquaux, G.; Gramfort, A.; Michel, V.; Thirion, B.; Grisel, O.; Blondel, M.; Prettenhofer, P.; Weiss, R.; Dubourg, V.; Vanderplas, J.; Passos, A.; Cournapeau, D. Scikit-learn: Machine Learning in Python. MACHINE LEARNING IN PYTHON.
- Ali, S.; Smith-Miles, K.A. Improved Support Vector Machine Generalization Using Normalized Input Space. In AI 2006: Advances in Artificial Intelligence; Springer, 2006; pp. 362–371. [Google Scholar]
- Ghojogh, B.; Crowley, M. The Theory Behind Overfitting, Cross Validation, Regularization, Bagging, and Boosting: Tutorial, 2019. arXiv:1905.12787.[cs, stat].
- Zhang, Y.; Zheng, Y.; Qian, K.; Zhang, G.; Liu, Y.; Wu, C.; Yang, Z. Widar3.0: Zero-Effort Cross-Domain Gesture Recognition With Wi-Fi. IEEE Transactions on Pattern Analysis and Machine Intelligence 2021, 44, 8671–8688. [Google Scholar] [CrossRef] [PubMed]
- Palipana, S.; Salami, D.; Leiva, L.A.; Sigg, S. Pantomime: Mid-air gesture recognition with sparse millimeter-wave radar point clouds. Proceedings of the ACM on Interactive, Mobile, Wearable and Ubiquitous Technologies 2021, 5, 1–27. [Google Scholar] [CrossRef]
- Ohashi, H.; Al-Naser, M.; Ahmed, S.; Akiyama, T.; Sato, T.; Nguyen, P.; Nakamura, K.; Dengel, A. Augmenting Wearable Sensor Data with Physical Constraint for DNN-Based Human-Action Recognition. Time Series Workshop. Time Series Workshop @ ICML, befindet sich ICML 2017, August 11-11, Sydney, Australia. 2017; 5. [Google Scholar]
- Um, T.T.; Pfister, F.M.J.; Pichler, D.; Endo, S.; Lang, M.; Hirche, S.; Fietzek, U.; Kulić, D. Data augmentation of wearable sensor data for parkinson’s disease monitoring using convolutional neural networks. Proceedings of the 19th ACM International Conference on Multimodal Interaction; ACM: Glasgow UK, 2017; pp. 216–220. [Google Scholar] [CrossRef]
- Liu, S.; Ostadabbas, S. A Semi-supervised Data Augmentation Approach Using 3D Graphical Engines. In Computer Vision – ECCV 2018 Workshops; Leal-Taixé, L., Roth, S., Eds.; Springer International Publishing: Cham, 2019; Vol. 11130, pp. 395–408, Series Title: Lecture Notes in Computer Science. [Google Scholar] [CrossRef]
- Blender Online Community. Blender - a 3D modelling and rendering package; Stichting Blender Foundation: Amsterdam, 2018. [Google Scholar]
- Feix, T. Anthropomorphic hand optimization based on a latent space analysis; na, 2011.
- Baraniuk, R.G.; Cevher, V.; Wakin, M.B. Low-dimensional models for dimensionality reduction and signal recovery: A geometric perspective. Proceedings of the IEEE 2010, 98, 959–971, Publisher: IEEE. [Google Scholar] [CrossRef]
- Whitley, D. A genetic algorithm tutorial. Statistics and Computing 1994, 65–85. [Google Scholar] [CrossRef]
- Li, D.J.; Li, Y.Y.; Li, J.X.; Fu, Y. Gesture Recognition Based on BP Neural Network Improved by Chaotic Genetic Algorithm. International Journal of Automation and Computing 2018, 15, 267–276. [Google Scholar] [CrossRef]
- Cunningham, P.; Cord, M.; Delany, S.J. Supervised Learning. In Machine Learning Techniques for Multimedia; Springer, 2008; pp. 21–49. [Google Scholar]
- Galar, M.; Fernández, A.; Barrenechea, E.; Bustince, H.; Herrera, F. An overview of ensemble methods for binary classifiers in multi-class problems: Experimental study on one-vs-one and one-vs-all schemes. Pattern Recognition 2011, 44, 1761–1776. [Google Scholar] [CrossRef]
- Breiman, L. Random Forests. Machine Learning 2001, 45, 5–32. [Google Scholar] [CrossRef]
- Srimaneekarn, N.; Hayter, A.; Liu, W.; Tantipoj, C. Binary response analysis using logistic regression in dentistry. International Journal of Dentistry 2022, 2022. [Google Scholar] [CrossRef] [PubMed]
- Zappi, P.; Lombriser, C.; Stiefmeier, T.; Farella, E.; Roggen, D.; Benini, L.; Tröster, G. Activity recognition from on-body sensors: accuracy-power trade-off by dynamic sensor selection. In Wireless Sensor Networks: 5th European Conference, EWSN 2008, Bologna, Italy, January 30-February 1, 2008. Proceedings; Springer: Italy, 2008; pp. 17–33. [Google Scholar]
- Sarker, I.H. Machine Learning: Algorithms, Real-World Applications and Research Directions. SN Computer Science 2021, 2, 160. [Google Scholar] [CrossRef] [PubMed]
Short Biography of Authors
![]() |
Philipp Achenbach completed his master’s degree in mechatronics at the Technical University of Darmstadt in 2018. His thesis was about full-body reconstruction using Inverse Kinematics in the context of Virtual Reality. He joined the Multimedia Communications Lab of the Technical University of Darmstadt as a research assistant in March 2019 and moved with his group to the Department of Electrical Engineering in early 2022. He researches in the area of hand gesture recognition using wearables in the context of sign language. For this he is also intensively working on the application of different machine learning classifiers. In addition, he is active in teaching (Serious Games and previously Communication Networks II). |
![]() |
Dennis Purdack wrote both his computer science bachelor’s and master’s theses on sign language recognition using various Machine Learning methods and different hardware such as data gloves and camera-based systems. He completed his bachelor’s degree in 2021 and his master’s degree in 2022. Both were completed at the Technical University of Darmstadt. He is currently working at the Hessian University for Public Management and Security to develop a virtual reality training program for police officers using full-body tracking. |
| Sebastian Laux is currently studying for a master’s degree in computer science at the Technical University of Darmstadt. In 2022, he wrote his bachelor thesis on sign language recognition using data gloves with a focus on data augmentation. He also works as a student assistant in the Serious Games research group at the Technical University of Darmstadt, where he assists research on hand gesture recognition with wearable sensors. |








| Feature | Finger | Joint Value | SDK Range | Degree Range | ||
|---|---|---|---|---|---|---|
| Min | Max | Min | Max | |||
| 0 | Thumb | Spread cmc | ||||
| 1 | Index | Spread mcp | ||||
| 2 | Middle | Spread mcp | ||||
| 3 | Ring | Spread mcp | ||||
| 4 | Pinky | Spread mcp | ||||
| 5 | Thumb | Stretch cmc | ||||
| 6 | Thumb | Stretch mcp | ||||
| 7 | Thumb | Stretch ip | ||||
| 8 | Index | Stretch mcp | ||||
| 9 | Index | Stretch pip | ||||
| 10 | Index | Stretch dip | ||||
| 11 | Middle | Stretch mcp | ||||
| 12 | Middle | Stretch pip | ||||
| 13 | Middle | Stretch dip | ||||
| 14 | Ring | Stretch mcp | ||||
| 15 | Ring | Stretch pip | ||||
| 16 | Ring | Stretch dip | ||||
| 17 | Pinky | Stretch mcp | ||||
| 18 | Pinky | Stretch pip | ||||
| 19 | Pinky | Stretch dip | ||||
| Classifier | Parameter | Pre-Grid Search Range | Grid Search Range |
|---|---|---|---|
| SVM | C | ||
| RF | criterion | gini, entropy | gini, entropy |
| max_features | |||
| n_estimators | |||
| LR | penalty | elasticnet | elasticnet |
| solver | newton-cg, lbfgs, sag, saga | saga | |
| C | |||
| l1_ratio | |||
| penalty | none, l1, l2 | ||
| solver | newton-cg, lbfgs, sag, saga | newton-cg, lbfgs, sag, saga | |
| C |
| Data Preprocessing | Machine Learning Classifier | Results | |||||||
|---|---|---|---|---|---|---|---|---|---|
| Out | Aug | Feat | SVM | RF | LR | VL2 | Mean | Min | Max |
| ✗ | ✗ | ✗ | 0.9080 | 0.9123 | 0.8963 | 0.9160 | 0.9082 | 0.8963 | 0.9160 |
| ✗ | ✗ | ✓ | 0.9037 | 0.9105 | 0.8951 | 0.9185 | 0.9069 | 0.8951 | 0.9185 |
| ✗ | ✓ | ✗ | 0.9037 | 0.9037 | 0.8914 | 0.9123 | 0.9028 | 0.8914 | 0.9123 |
| ✗ | ✓ | ✓ | 0.9031 | 0.9049 | 0.9000 | 0.9154 | 0.9059 | 0.9000 | 0.9154 |
| ✓ | ✗ | ✗ | 0.9080 | 0.9043 | 0.8981 | 0.9191 | 0.9074 | 0.8981 | 0.9191 |
| ✓ | ✗ | ✓ | 0.9043 | 0.9037 | 0.8981 | 0.9111 | 0.9043 | 0.8981 | 0.9111 |
| ✓ | ✓ | ✗ | 0.9031 | 0.9025 | 0.8951 | 0.9142 | 0.9037 | 0.8951 | 0.9142 |
| ✓ | ✓ | ✓ | 0.9025 | 0.9000 | 0.8920 | 0.9130 | 0.9019 | 0.8920 | 0.9130 |
| Mean | 0.9046 | 0.9052 | 0.8958 | 0.9150 | |||||
| Min | 0.9025 | 0.9000 | 0.8914 | 0.9111 | |||||
| Max | 0.9080 | 0.9052 | 0.9000 | 0.9191 | |||||
| Preprocessing | Machine Learning Classifier | Results | |||||||
|---|---|---|---|---|---|---|---|---|---|
| Out | Aug | Feat | SVM | RF | LR | VL2 | Mean | Min | Max |
| ✗ | ✗ | ✗ | 0.8610 | 0.8714 | 0.8542 | 0.8744 | 0.8653 | 0.8542 | 0.8744 |
| ✗ | ✗ | ✓ | 0.8571 | 0.8661 | 0.8563 | 0.8711 | 0.8626 | 0.8563 | 0.8711 |
| ✗ | ✓ | ✗ | 0.8515 | 0.8664 | 0.8298 | 0.8598 | 0.8519 | 0.8298 | 0.8598 |
| ✗ | ✓ | ✓ | 0.8515 | 0.8664 | 0.8298 | 0.8598 | 0.8519 | 0.8298 | 0.8598 |
| ✓ | ✗ | ✗ | 0.8568 | 0.8696 | 0.8539 | 0.8750 | 0.8638 | 0.8539 | 0.8750 |
| ✓ | ✗ | ✓ | 0.8554 | 0.8646 | 0.8539 | 0.8711 | 0.8612 | 0.8539 | 0.8711 |
| ✓ | ✓ | ✗ | 0.8518 | 0.8693 | 0.8286 | 0.8580 | 0.8519 | 0.8286 | 0.8580 |
| ✓ | ✓ | ✓ | 0.8518 | 0.8693 | 0.8286 | 0.8580 | 0.8519 | 0.8286 | 0.8580 |
| Mean | 0.8546 | 0.8679 | 0.8419 | 0.8659 | |||||
| Min | 0.8515 | 0.8646 | 0.8286 | 0.8580 | |||||
| Max | 0.8568 | 0.8696 | 0.8539 | 0.8750 | |||||
| Data Preprocessing | Machine Learning Classifier | Results | |||||||
|---|---|---|---|---|---|---|---|---|---|
| Out | Aug | Feat | SVM | RF | LR | VL2 | Mean | Min | Max |
| ✗ | ✗ | ✗ | 2.780 | 16.579 | 0.112 | 21.099 | 10.143 | 0.112 | 21.099 |
| ✗ | ✗ | ✓ | 2.635 | 14.444 | 0.126 | 18.198 | 8.851 | 0.126 | 18.198 |
| ✗ | ✓ | ✗ | 7.026 | 30.926 | 0.124 | 40.029 | 19.526 | 0.124 | 40.029 |
| ✗ | ✓ | ✓ | 7.059 | 26.052 | 0.117 | 35.778 | 17.252 | 0.117 | 35.778 |
| ✓ | ✗ | ✗ | 2.677 | 16.323 | 0.127 | 20.256 | 9.846 | 0.127 | 20.256 |
| ✓ | ✗ | ✓ | 2.506 | 20.138 | 0.120 | 23.664 | 11.607 | 0.120 | 23.664 |
| ✓ | ✓ | ✗ | 6.931 | 28.818 | 0.117 | 38.409 | 18.569 | 0.117 | 38.409 |
| ✓ | ✓ | ✓ | 6.991 | 29.491 | 0.224 | 39.082 | 18.947 | 0.224 | 39.082 |
| Mean | 4.826 | 22.846 | 0.133 | 29.564 | |||||
| Min | 2.506 | 14.444 | 0.117 | 18.198 | |||||
| Max | 7.059 | 30.926 | 0.224 | 40.029 | |||||
| Data Preprocessing | Machine Learning Classifier | Results | |||||||
|---|---|---|---|---|---|---|---|---|---|
| Out | Aug | Feat | SVM | RF | LR | VL2 | Mean | Min | Max |
| ✗ | ✗ | ✗ | 18.245 | 44.271 | 0.365 | 72.972 | 33.963 | 0.365 | 72.972 |
| ✗ | ✗ | ✓ | 17.594 | 38.516 | 0.441 | 62.973 | 29.881 | 0.441 | 62.973 |
| ✗ | ✓ | ✗ | 47.519 | 62.163 | 0.186 | 173.830 | 70.924 | 0.186 | 173.830 |
| ✗ | ✓ | ✓ | 47.601 | 62.045 | 0.149 | 174.654 | 71.112 | 0.149 | 174.654 |
| ✓ | ✗ | ✗ | 18.254 | 40.345 | 0.335 | 67.490 | 31.606 | 0.335 | 67.490 |
| ✓ | ✗ | ✓ | 17.486 | 42.682 | 0.338 | 70.423 | 32.732 | 0.338 | 70.423 |
| ✓ | ✓ | ✗ | 47.473 | 63.251 | 0.170 | 177.552 | 72.111 | 0.170 | 177.552 |
| ✓ | ✓ | ✓ | 47.760 | 63.055 | 0.164 | 179.149 | 72.532 | 0.164 | 179.149 |
| Mean | 32.741 | 52.041 | 0.268 | 122.380 | |||||
| Min | 17.486 | 38.516 | 0.149 | 62.973 | |||||
| Max | 47.760 | 63.251 | 0.338 | 179.149 | |||||
| Feature | Finger | Joint Value | Discarded | Discarded | Discarded |
|---|---|---|---|---|---|
| Absolute | Relative | Total | |||
| 0 | Thumb | Spread cmc | 47 | 29.38% | 47 |
| 5 | Thumb | Stretch cmc | 0 | - | |
| 6 | Thumb | Stretch mcp | 0 | - | |
| 7 | Thumb | Stretch ip | 0 | - | |
| 1 | Index | Spread mcp | 0 | - | 19 |
| 8 | Index | Stretch mcp | 0 | - | |
| 9 | Index | Stretch pip | 10 | 6.25% | |
| 10 | Index | Stretch dip | 9 | 5.62% | |
| 2 | Middle | Spread mcp | 3 | 1.88% | 37 |
| 11 | Middle | Stretch mcp | 3 | 1.88% | |
| 12 | Middle | Stretch pip | 15 | 9.38% | |
| 13 | Middle | Stretch dip | 16 | 10.00% | |
| 3 | Ring | Spread mcp | 66 | 41.25% | 129 |
| 14 | Ring | Stretch mcp | 5 | 3.12% | |
| 15 | Ring | Stretch pip | 36 | 22.50% | |
| 16 | Ring | Stretch dip | 22 | 13.75% | |
| 4 | Pinky | Spread mcp | 24 | 15.00% | 99 |
| 17 | Pinky | Stretch mcp | 9 | 5.62% | |
| 18 | Pinky | Stretch pip | 30 | 18.75% | |
| 19 | Pinky | Stretch dip | 36 | 22.50% |
| True label | Predicted Label | Confusion Rate |
|---|---|---|
| N | M | 0.2333 |
| M | N | 0.2333 |
| T | N | 0.2000 |
| N | T | 0.1333 |
| 4 | Closed B | 0.1000 |
| R | V | 0.0833 |
| H | R | 0.0833 |
| C | O | 0.0667 |
| V | 7 | 0.0500 |
| W | Closed B | 0.0500 |
| True label | Predicted Label | Confusion Rate |
|---|---|---|
| Closed E | S | 0.2667 |
| Curved 1 | Bent 1 | 0.2667 |
| Bent 1 | Curved 1 | 0.2167 |
| Curved L | Bent L | 0.2167 |
| Curved 4 | Spread E | 0.2000 |
| Flat Spread 5 | 4 | 0.2000 |
| 4 | Flat Spread 5 | 0.2000 |
| Bent L | Curved L | 0.1833 |
| S | Closed E | 0.1667 |
| Spread E | Curved 4 | 0.1500 |
| Author(s) | Classifier | Type | HS | Mo | Or | NoG | NoP | Accuracy |
|---|---|---|---|---|---|---|---|---|
| Achenbach et al. [11] | SVM | Hand shapes of Rock Paper Scissors | ✓ | 5 | 30 | 99.20% | ||
| Shukor et al. [13] | Distance | Hand gestures of Malaysian Sign Language | ✓ | ✓ | 9 | 4 | 88.88% | |
| Saggio et al. [14] | CNN | Signs of Italian Sign Language | ✓ | ✓ | 10 | 7 | 98.00% | |
| Plawiak et al. [10] | SVM | Hand-body language gestures, e.g. Okay sign | ✓ | ✓ | ✓ | 22 | 10 | 98.32% |
| Achenbach et al. [11] | SVM | Hand gestures of Rock Paper Scissors | ✓ | ✓ | 25 | 9 | 99.50% | |
| Pezzuoli et al. [12] | SVM | Simple hand gestures, e.g. clockwise rotation | ✓ | ✓ | ✓ | 27 | 5 | 99.70% |
| This work | VL2 | Hand shapes of asl fingeralphabet | ✓ | 27 | 20 | 95.55% | ||
| This work | RF | Hand shapes of ASL-Lex [5] | ✓ | 56 | 20 | 93.28% |
Disclaimer/Publisher’s Note: The statements, opinions and data contained in all publications are solely those of the individual author(s) and contributor(s) and not of MDPI and/or the editor(s). MDPI and/or the editor(s) disclaim responsibility for any injury to people or property resulting from any ideas, methods, instructions or products referred to in the content. |
© 2023 by the authors. Licensee MDPI, Basel, Switzerland. This article is an open access article distributed under the terms and conditions of the Creative Commons Attribution (CC BY) license (http://creativecommons.org/licenses/by/4.0/).


