Preprint
Article

This version is not peer-reviewed.

Study on the Effect of L. barbarum-Forage Intercropping Pattern on the Growth of L. barbarum

Submitted:

20 November 2023

Posted:

21 November 2023

You are already at the latest version

Abstract
Forest-grass intercropping patterns of protected cultivation has been widely used to increase productivity and sustainability in modern agriculture. However, there have been few studies of wolfberry (L. barbarum) intercropping and it is cultivated mostly by clean tillage. This paper takes 10 kinds of wolfberry-forage intercropping patterns, compares the effects of different planting modes on the growth, yield, photosynthetic characteristics, nutritional quality, and the degree of occurrence of diseases and pests, which aims to make clear the effects of wolfberry-forage intercropping patterns on wolfberry. The results showed that different intercropping combinations had different effects on wolfberry. The overall effect of Wolfberry-forage intercropping patterns on the growth of wolfberry were promote the photosynthetic characteristics. Ryegrass could increase the branch number, Lvyuan 5 and mangel increase branch length; Mangel, clover, sweet sorghum, ryegrass and stipas could reduce the damage of powdery mildew by 69%, and alfalfa, stipa and ryegrass could reduce the occurrence of aphids by 67% (P<0.05). Intercropping could increase carotenoids, flavonoids and ascorbic acid contents to improve wolfberry quality by 21%, 53% and 127%, respectively (P<0.05). Among all the performances, wolfberry-mangel intercropping has absolute advantages in promoting wolfberry yield and quality increase. Therefore the best patterns of wolfberry-mangel, wolfberry-ryegrass, wolfberry-alfalfa and wolfberry-clover were chosen.
Keywords: 
;  ;  ;  ;  

1. Introduction

Ningxia is listed as the ecological protection and high quality development of the Yellow River Basin pioneer area, Wolfberry (L. barbarum) as one of the "six special" industry, is the most local advantages and characteristics of the industry in Ningxia, in the promotion of the region's agricultural efficiency, farmers to increase income and play a pivotal role in the rich. L. barbarum is a perennial deciduous shrub of the Solanaceae family, widely distributed in the arid and semi-arid Northwest China, and is a traditional medicinal plant that has been widely used in our country for thousands of years [1], with antioxidant senescence [2,3], anti-tumor [3,4], hypoglycemic lipids [5], improving immunity [6], and protection of the nervous system and the reproductive system and other [7] important functions.
Forest-grass intercropping patterns of protected cultivation has been widely used to increase productivity and sustainability in modern agriculture[8]. Selecting suitable wolfberry-forage intercropping patterns has been proven to be a feasible planting method to effectively alleviate the supply crisis of animal feed[9]. The study conducted by Zhu[10] revealed that in areas with equal emphasis on agriculture and animal husbandry, intercropping can significantly improve the utilization rate of land resources, which is an important guarantee for the efficient and sustainable development of agriculture and animal husbandry. Moreover, another study by Zhu [11]found that wolfberry-mangel, wolfberry-ryegrass and wolfberry-alfalfa can significantly increase land productivity and interspecific competitiveness. The significance of this is particularly pronounced in Ningxia, where wolfberry production and animal husbandry exhibit the most prominent local advantages and distinctive characteristics [12,13,14]. Ningxia as the core area of national wolfberry industry, as of the end of the "Twelfth Five-Year Plan", the annual comprehensive output value of wolfberry in Ningxia amounted to 10 billion yuan, of which the planting area reached 23.33 thousand hectares and the clearing tillage method has been adopted for many years[13], accounting for more than 45% of the total planting area of the whole country; the total output of dry fruits was 88,000 tons, accounting for about 55% of the national total output of dry fruits. However, Ningxia, as the main producing area of wolfberry, the perennial continuous cultivation and the southward shift of planting boundaries have led to the aggravation of pests, diseases and agro-meteorological disasters year after year, which greatly aggravated the planting risk of wolfberry[15].
The objective of this study is to develop a new forage cultivation mode by introducing forage into L. barbarum planting structure while solving the problem of shortage of forage production. However, L. barbarum still occupies a dominant position in the development of this mode, so the effect of intercropping mode on L. barbarum is also an important reference index in the development of the mode. Ten different wolfberry-forage intercropping patterns were selected as research subjects to compare their effects on growth amount, yield, photosynthetic characteristics, nutritional quality, and incidence of diseases and pests in L. barbarum. The aim was to elucidate how wolfberry-forage intercropping influences the growth and occurrence of diseases and pests in L. barbarum. This study provides a foundation and technical support for enhancing forest-grass intercropping productivity and developing superior intercropping combinations involving wolfberry and forage.

2. Materials and Methods

2.1. Material Information and Experimental Design

Plants and experimental site description and experimental design of Wolfberry-Forage plant interactions were same as Zhu's [11] previous paper (Same as Materials and Methods 2.1. and 2.2.).
Varietal information and collection sources of Wolfberry, Kudouzi, Lvyuan 5, Oat, Sipas, Wheatgrass, Ryegrass, Sweet sorghum, Alfalfa, White clover and Mangel were shown in Table 1 and 10 kinds of grasses can be used as forage. The 10 intercropping patterns were wolfberry-ryegrass, wolfberry-alfalfa, wolfberry-white clover, wolfberry-mangold, wolfberry-stipas, wolfberry-kudouzi, wolfberry-wheatgrass, wolfberry-oats, wolfberry-sweet sorghum and wolfberry-Lvyuan 5, which were all used to perform greenhouse and field intercropping pattern screening and development of intercropping advantageous combinations.
Table 1. Effects of intercropping patterns on the yield of wolfberry.
Table 1. Effects of intercropping patterns on the yield of wolfberry.
Material Cultivar Growing period(d) Origin
Wolfberry(L. barbarum L.) 401 perennial Institute of Wolfberry Science, Ningxia Academy of Agriculture and Forestry Sciences
Kudouzi(Sophora alopecuroides L.) wild species perennial Yanchi County Sidunzi base and surrounding
Lvyuan 5(Poaceae L.) Lvyuan 5 perennial Ningxia Yuan sheng Lv yang Forest and Grass Ecological Engineering Co., LTD
Oat(Avena sativa L.) Lifeng 100
Sipas(Stipa lessingiana Trin. et Rupr.) Fine-leafed needle-leaf perennial
Wheatgrass(Agropyron cristatum Gaertn.) Flat spikelet Wheatgrass perennial
Ryegrass(Lolium perenne L.) Gentry perennial
Sweet sorghum(Sorghum bicolor L.) Haishi 125
Alfalfa(Medicago sativa L.) Longdong perennial
White clover(Trifolium repens L.) Rewind perennial
Mangel(Betu Vulgaris L.) Nongmu 1 135

2.2. Measurement Indicators and Methods

2.2.1. Sample Collection and Processing

In 2021, fruits of different treatments were collected from the experimental site at the full-fruiting and fall-fruiting stages, three trees were investigated in each treatment, and a total of nine trees were investigated, and the fruits of the three trees were mixed and then sampled.

2.2.2. Measurement of Economic Indicators of Wolfberry Plants

Three trees were investigated in each treatment, and a total of nine trees were investigated, and plant height, ground diameter, crown width and branch growth were measured with a metric ruler; LA-S plant image analyzer was used to analyze chlorophyll, leaf area and powdery mildew spot damage of wolfberry.

2.2.3. Investigation and Analysis of Pests and Diseases

Pest and disease statistics were all taken in the greenhouse, and the LA-S plant image analyzer was used to take photos and analyze the damage area of powdery mildew spots of L. barbarum; aphids were counted in the newborn branches, with 6 replications for each treatment, and the number of aphids 12 cm long was counted, respectively.

2.2.4. Determination of Fruit Quality

Appearance quality: 30 fruits were randomly selected from the fresh fruits after picking in each treatment, and the transverse diameter, longitudinal diameter and width of the fruits were measured by vernier calipers, and determined according to the methods in the national standard (GB/T 18672-2002).
Medicinal quality: polysaccharides, β-carotene and betaine were determined according to the methods in the Pharmacopoeia of the People's Republic of China, 2015 Edition, Part I. The total flavonoid content was determined by ultraviolet spectrophotometry.
Nutritional quality: (Ascorbic acid) vitamin C content was determined according to the national standard (GB/T5009-2003).

2.3. Statistical Analyses

All experimental data were analyzed by Excel 2010 and SPSS17.0 statistical software. The LSD method was used to test the significance of differences between treatments (Fisher's LSD P < 0.05). Plotting was performed using Excel 2010, Origin 17.0 and Corrplot v0.1.0 software.

3. Results and Analyses

3.1. Effects of Wolfberry-Forage Intercropping Pattern on the Growth of L. barbarum

3.1.1. Effects of Different Intercropping Combinations on the Yield of L. barbarum

The average yield of L. barbarum monocropping and intercropping, as observed in Table 2, under the treatment of 10 forages is ranked as follows: Mangold > Wolfberry monocropping > Ryegrass > White clover > Sweet sorghum > Oats > Alfalfa > Lvyuan 5 > Stipas > Kudouzi > Wheatgrass. The outstanding performance was Mangold, Ryegrass and White clover intercropping with wolfberry, although there is no significant difference with monocropping, wolfberry-mangold intercropping promote the yield increase of wolfberry to some extent. When wolfberry was intercropped with ryegrass and clover, although the yield decreased, the decrease was not significant and it still had some advantages over the other seven forages.
Table 2. Effects of intercropping patterns on the yield of wolfberry.
Table 2. Effects of intercropping patterns on the yield of wolfberry.
Treatment Yield of wolfberry (kg/667m2)   Single fruit weight of wolfberry (g) Mean value
2019 2020 2021 Mean value 2019 2020 2021
Lb-CK 880.59±60.09 855.82±55.63 798.90±36.70 845.11±50.81ab 1.46±0.05 1.29±0.09 1.20±0.04 1.32±0.07a
Wolfberry-Lvyuan5 711.62±69.60 694.64±17.15 663.45±35.09 689.90±40.71f 1.11±0.10 1.08±0.09 1.03±0.07 1.07±0.08c
Wolfberry/Oat 743.33±27.67 708.62±26.29 694.64±19.25 715.53±24.40f 0.91±0.03 0.90±0.08 0.90±0.01 0.90±0.04de
Wolfberry/Wheatgrass 611.19±24.45 567.05±25.07 638.72±36.15 605.65±28.56h 0.77±0.03 0.77±0.01 0.74±0.07 0.76±0.04f
Wolfberry/Sipas 708.62±60.09 694.64±35.15 660.45±24.78 687.90±39.97f 1.19±0.11 1.13±0.03 1.34±0.13 1.22±0.09b
Wolfberry/Ryegrass 790.08±35.05 858.83±47.65 836.33±60.09 828.41±47.60b 1.36±0.08 1.28±0.12 1.31±0.07 1.32±0.09ab
Wolfberry/Sweet sorghum 772.83±30.74 703.69±49.97 733.33±35.16 736.62±38.62d 0.86±0.01 0.86±0.01 0.85±0.05 0.86±0.03def
Wolfberry/Gramineae 722.95±41.67 704.58±33.33 704.49±35.17 710.67±36.42 1.03±0.07 1.00±0.06 1.03±0.07 1.02±0.08
Wolfberry/Kudouzi 608.62±23.28 694.64±28.62 660.45±33.51 654.57±28.47g 0.84±0.02 0.80±0.06 0.78±0.06 0.81±0.05ef
Wolfberry/Alfalfa 700.69±27.99 740.33±63.28 698.62±28.17 713.21±39.81e 0.95±0.06 0.94±0.09 0.93±0.03 0.94±0.06d
Wolfberry/White clover 810.13±53.31 772.83±28.55 753.69±43.73 778.88±41.86c 1.35±0.11 1.29±0.08 1.20±0.02 1.28±0.07b
Wolfberry/Leguminous 706.48±34.86 735.93±34.67 704.25±35.87 715.56±33.66 1.05±0.06 1.01±0.08 0.97±0.03 1.01±0.06
Wolfberry/Mangel 872.83±46.18 853.69±69.60 843.33±50.35 856.62±55.38a 1.34±0.16 1.28±0.09 1.52±0.23 1.38±0.16a
Wolfberry/Chenopodiaceae 872.83±46.18 853.69±69.60 843.33±50.35 856.62±55.38a 1.34±0.16 1.28±0.09 1.52±0.23 1.38±0.16a
L.S.D.(5%)                
Through an examination of the economic index of wolfberry, specifically in regards to the analysis of single fruit weight, we have discovered the average performance were as follows: Mangold > Wolfberry monocropping > Ryegrass > White clover > Stipas > Lvyuan 5 > Alfalfa > Oats > Sweet sorghum > Kudouzi > Wheatgrass. The variation trend of fruit weight and yield was consistent among Wolfberry intercropping with Mangold, Ryegrass and White clover, and monocropping. These findings suggest that intercropping three types of herbage with wolfberry offers certain advantages in terms of yield and fruit quality. Furthermore, the intercropping pattern of wolfberry-chenopodium plants demonstrates absolute benefits in promoting both the increase in yield and improvement in quality of wolfberry. There were no significant differences observed in yield and quality between gramineous and leguminous plants.

3.1.2. The Impact of Various Intercropping Combinations on the Growth of L. barbarum

According to Figure 1, the average branch number of L. barbarum varied under different cultivation modes, with Ryegrass showing the highest value followed by wolfberry monocropping, Mangold, White clover, Sweet sorghum, Alfalfa, Kudouzi, Stipas, Oats, Lvyuan 5 and Wheatgrass. Wolfberry-ryegrass intercropping was significantly promotes an increase in branch number compared to monocropping (P < 0.05). However, the number of branches in Wolfberry intercropped with mangold and white clover is lower than that in monocropping, but this difference is not statistically significant (P > 0.05). The ranking of wolfberry branch elongation performance (Figure 2) is as follows: Lvyuan 5 outperforms Mangold, monoculture of wolfberry, Stipas, white clover, ryegrass, sweet sorghum, oats, Kudouzi and Wheatgrass. The growth of wolfberry branches was significantly promoted when intercropped with Lvyuan 5, while no significant difference was observed compared to mangold. Stipas intercropping resulted in a decrease in branch length, although the difference was not statistically significant. Ryegrass, which exhibited better performance in the early stage, significantly inhibited the elongation of branch number when interplanted with wolfberry.
Figure 1. Effects of intercropping patterns on the number of new branches of wolfberry.
Figure 1. Effects of intercropping patterns on the number of new branches of wolfberry.
Preprints 90928 g001
Figure 2. Effects of intercropping patterns on the length of new branches of wolfberry.
Figure 2. Effects of intercropping patterns on the length of new branches of wolfberry.
Preprints 90928 g002

3.1.3. The Impact of Various Intercropping Combinations on Photosynthetic Indices of L. barbarum

The results depicted in Figure 3 demonstrate that intercropping with forage species, such as Kudouzi, Wheatgrass, Stipa, Ryegrass, and Sweet sorghum, significantly enhanced the leaf area of wolfberry compared to monoculture. However, no significant difference was observed between the other five forage species and monocultures. According to the concept of leaf area index, a higher leaf area index leads to increased photosynthetic intensity, greater synthesis of organic matter, and accumulation of more dry matter. Therefore, interplanting facilitates the provision of material conditions for wolfberry's photosynthesis. The chlorophyll content of wolfberry indicated that the average leaf area of intercropped wolfberry and wolfberry-forage was slightly higher compared to single cropping, although no significant difference was observed. This suggests that intercropping with forage may contribute to an increase in chlorophyll content of wolfberry. It was observed that there were no discernible alterations in the leaf area and chlorophyll levels of intercropped gramineae. The leaf area of wolfberry increased when intercropped with legumes, although there was no significant variation in chlorophyll content. Intercropping chenopodium resulted in a reduced leaf area but an elevated chlorophyll level. The influence of intercropping patterns on the leaf area and chlorophyll content of wolfberry could enhance photosynthesis.
Figure 3. Effects of intercropping patterns on the leaf area and Chlorophyll value of wolfberry.
Figure 3. Effects of intercropping patterns on the leaf area and Chlorophyll value of wolfberry.
Preprints 90928 g003
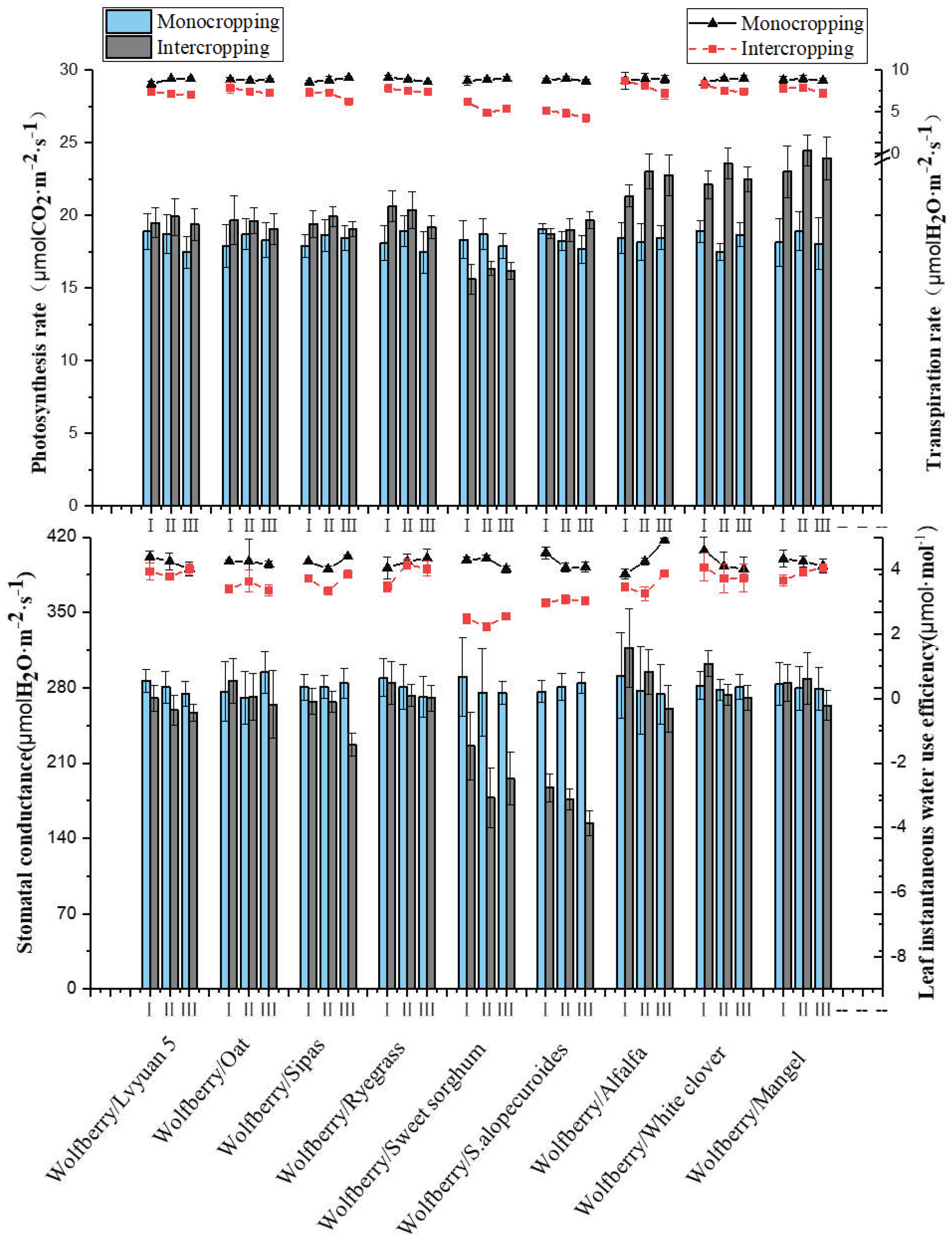
The photosynthetic characteristics of wolfberry exhibited certain fluctuations under different intercropping modes (Figure 4). Overall, the net photosynthetic rate (Pn) showed a significant increase in the intercropping mode compared to monocropping (P < 0.05), particularly in the intercropping combinations involving alfalfa, clover, and mangold, which recorded improvements of 21.92%, 23.82%, and 29.63% respectively. The changes in transpiration rate (Tr) and instantaneous water use efficiency (WUE) of leaves were essentially identical, exhibiting a lower trend compared to single cropping, with statistically significant differences observed (P < 0.05). The stomatal conductivity (Gs) exhibited a significant decrease in the intercropping system involving Sweet sorghum, Kudouzi, Lvyuan5, oats, stipas, and ryegrass. Particularly noteworthy reductions were observed with Sweet sorghum and Kudouzi intercropping (P < 0.05), resulting in a decline of 28.78% and 38.59%, respectively. The intercropping of alfalfa and clover led to an increase in Gs, although the difference was not statistically significant (P > 0.05).
The study observed the effect of wolfberry-forage intercropping on its photosynthetic characteristics and found a significant increase in leaf area, chlorophyll content, and net photosynthetic rate (Pn) when it was intercropped with alfalfa, white clover, and mangold. This finding provides further support for the idea that intercropping wolfberry with forage crops effectively enhances its photosynthetic efficiency.
Figure 4. Photosynthetic characteristics analysis of Wolfberry under different herbage intercropping pattern.
Figure 4. Photosynthetic characteristics analysis of Wolfberry under different herbage intercropping pattern.
Preprints 90928 g004

3.2. Effects of Wolfberry-Forage Intercropping Model on Pests and Diseases

3.2.1. Effects of Different Intercropping Combinations on Powdery Mildew of Wolfberry

The investigation of powdery mildew under different wolfberry-forage intercropping modes revealed a breakout in mid-May within the greenhouse. It was observed that the impact of powdery mildew varied between wolfberry-forage intercropping and pure wolfberry cultivation, as well as among different forage species and their interactions with wolfberry. We sampled wolfberry monocropping and intercropping respectively, and simulated the leaf area and lesion damage of wolfberry leaves with LA-S universal plant image analyzer system. Part of the pictures are shown in Figure 5, and the statistics of disease results are shown in Figure 6 and Table 3. The statistics and analysis of powdery mildew spot area showed that there were significant differences in the area of powdery mildew spot when wolfberry intercultivated gramineous, leguminous and chenopodiaceae (P < 0.05). The risk index of powdery mildew was 12.45%, 14.57%, and 4.49% in leguminous, gramineous and chenopodiaceae, respectively. The risk index of powdery mildew of wolfberry-mangold intercropping (4.49%) resulted in a significant decrease compared to monocultures of wolfberry (11.09%). There was no significant change in the wolfberry-gramineous intercropping, but the effects of different forage on powdery mildew of wolfberry were different. The results showed that the intercropping of Lvyuan 5, oats and wheatgrass could significantly promote the occurrence of powdery mildew (P < 0.05), the intercropping of stipas and ryegrass had no significant change, and the intercropping of sweet sorghum could inhibit the occurrence of powdery mildew (P < 0.05). The intercropping of legumes showed a significant increase, particularly with Kudouzi (20.48%) and alfalfa (15.02%) (P < 0.05). According to the lesion ratio and leaf size of different forage varieties under various planting patterns, six forage materials that exhibit potential in reducing powdery mildew disease can be initially selected. However, when considering niche distribution and compensation effect analysis, sweet sorghum plants are excluded from further consideration. The following forage materials have shown preliminary resistance against powdery mildew infection: mangold, white clover, ryegrass, and stipas.
Figure 5. Disease situation and spot simulation under different herbage intercropping treatments.
Figure 5. Disease situation and spot simulation under different herbage intercropping treatments.
Preprints 90928 g005
Figure 6. Disease statistics of herbage intercropping in different families.
Figure 6. Disease statistics of herbage intercropping in different families.
Preprints 90928 g006
Table 3. Investigation of Powdery mildew hazard on L. barbarum under different herbage intercropping.
Table 3. Investigation of Powdery mildew hazard on L. barbarum under different herbage intercropping.
Planting pattern Lesion area(mm2) Total area(mm2) Percentage (%)
CK Wlofberry monoculture 229.59±1.73c 2070.50±4.96cd 11.09
Wolfberry/Lvyuan 5 204.16±0.69c 1176.89±3.77a 17.35***
Wolfberry/Sipas 212.61±8.93c 2102.05±16.15cd 10.11ns
Wolfberry/Oat 223.68±10.37c 1482.39±11.66ab 15.09**
Wolfberry/ Wheatgrass 320.05±4.52e 2271.26±0.98d 14.09*
Wolfberry/ Ryegrass 213.87±1.09c 2190.49±21.66d 9.76ns
Wolfberry/ Sweet sorghum 148.15±0.77ab 1781.72±7.89bc 8.31*
Wolfberry/ Gramineae 228.41±3.98c 1834.13±8.77c 12.45ns
Wolfberry/Alfalfa 286.35±12.66d 1906.52±10.07c 15.02**
Wolfberry/White clover 212.17±de 2584.77±3.21ab 8.21*
Wolfberry/S.alopecuroides 304.29±17.66c 1486.14±19.86e 20.48***
Wolfberry/Leguminosae 290.26±15.13de 1992.48±11.09c 14.57*
Wolfberry/Mangel 65.35±0.66a 1454.49±16.77ab 4.49***
Wolfberry/Chenopodiaceae 65.35±0.66a 1454.49±16.77ab 4.49***
L.S.D.(5%)      

3.2.2. The Effect of Wolfberry-Forage Intercropping Mode on WOLFBERRY aphids

Investigation of aphids under Wolfberry-forage intercropping pattern: A pest survey was conducted to assess the outbreak of aphids at the end of May, and the statistical results are presented in Figure 7. The findings indicate that intercropping with alfalfa, stipas, ryegrass, and oats can significantly reduce aphid infestation (P < 0.05), resulting in decreases of 66.5%, 65.8%, 17.5%, and 2.5% respectively. The risk of aphid infestation significantly increased when wolfberry was intercropped with Kudouzi, wheatgrass, mangold, Lvyuan 5, sweet sorghum, and white clover. Particularly high risks were observed with Kudouzi and wheatgrass were 137.24% and 133.27%, respectively. The survey results were compared with the monocropping cultivation of wolfberry, revealing a significant increase in aphid infestation when wolfberry was interplanted with Kudouzi and wheatgrass. On the other hand, interplanting oats, stipas, alfalfa, and ryegrass can effectively reduce aphid occurrence. However, the wolfberry-mangold patterns with superior early-stage performance carries the potential risk of exacerbating aphid infestation, thus necessitating proactive prevention and control measures during the growing season.
Figure 7. Effects of aphids hazard on L. barbarum under different forages intercropping.
Figure 7. Effects of aphids hazard on L. barbarum under different forages intercropping.
Preprints 90928 g007

3.3. Effects of Wolfberry-Forage Intercropping Mode on Physiology of Wolfberry

The physiological substance content in the leaves of wolfberry under the modes of wolfberry-forage intercropping and mono-cultivation is presented in Table 4. The presence of legumes, particularly whiteclover, significantly increased the MDA content in wolfberry leaves. Intercropping with stipas and sweet sorghum also resulted in an increase in MDA content, but there was no significant difference compared to gramineous and chenopodium intercropping. On the other hand, intercropping with gramineous and chenopodium (mangold), especially stipas, significantly enhanced SOD content in wolfberry leaves. There were no significant differences observed between these treatments and legume intercropping.
Table 4. Determination of nutrient indexes in Wolfberry-forage intercropping system.
Table 4. Determination of nutrient indexes in Wolfberry-forage intercropping system.
Planting pattern Leaf   Root
MDA(mg.g-1.FW.min-1) SOD(U.g.g-1.FW.min-1)   MDA(mg.g-1.FW.min-1) SOD(U.g.g-1.FW.min-1)
CK Wlofberry monoculture 0.14±0.04e 0.12±0.001c 0.78±0.011c 116.17±4.042a
Wolfberry/Lvyuan 5 0.28±0.001de 0.14±0.019c 0.73±0.001cd 102.70±9.24ab
Wolfberry/Oat 0.25±0.017de 0.20±0.001b 0.84±0.035c 100.46±3.364ab
Wolfberry/ Wheatgrass 0.23±0.014e 0.08±0.006c 0.85±0.004bc 97.22±1.732ab
Wolfberry/Sipas 0.45±0.002d 0.36±0.016a 0.81±0.010c 87.98±10.97bc
Wolfberry/ Ryegrass 0.25±0.030de 0.11±0.019c 0.79±0.014c 101.37±7.506ab
Wolfberry/ Sweet sorghum 0.39±0.003d 0.20±0.055b 0.76±0.003cd 88.12±7.505bc
Wolfberry/ Gramineae 0.31±0.020de 0.18±0.058b 0.80±0.003c 96.17±0.943bc
Wolfberry/Alfalfa 1.54±0.184c 0.12±0.007c 1.23±0.094a 89.68±1.414bc
Wolfberry/White clover 2.23±0.033a 0.16±0.013bc 0.84±0.035c 90.50±7.778bc
Wolfberry/S.alopecuroides 2.03±0.016b 0.15±0.007bc 1.03±0.031b 117.62±5.185a
Wolfberry/Leguminosae 1.93±0.077b 0.14±0.009c 1.03±0.009b 99.50±3.850bc
Wolfberry/Mangel 0.06±0.002e 0.20±0.018b 0.58±0.004d 81.22±1.422c
Wolfberry/Chenopodiaceae 0.06±0.002e 0.20±0.018b 0.58±0.004d 81.22±1.422c
L.S.D.(5%)          
The levels of physiological substances in the root of wolfberry were determined under two cultivation modes: wolfberry monocropping and wolfberry-forage intercropping (Table 5-3). Intercropping with legumes significantly increased the content of MDA in the root, with white clover showing the highest increase rate followed by Kudouzi and alfalfa. The increase was most pronounced for white clover (P < 0.05). Conversely, Wolfberry-chenopodium intercropping led to a significant decrease in MDA content in roots compared to leaves (P < 0.05). No significant difference was observed when intercropping with gramineae compared to monocropping (P > 0.05). Wolfberry-chenopodium intercropping resulted in a significant increase in SOD content both in the root and leaves of wolfberry (mangold) (P < 0.05), while no significant difference was found between Wolfberry-Gramineae and Wolfberry-Leguminosae intercropping patterns (P < 0.05).

3.4. Effects of Wolfberry-Forage Intercropping Patterns on Tree Growth and Fruit Quality

3.4.1. The Impact of Intercropping and Monocropping on the Growth of Wolfberry

The samples collected under the wolfberry-forage intercropping mode were combined and treated as a single entity representing the intercropping mode. Upon conducting an overall analysis of both the wolfberry-forage intercropping and wolfberry monocropping mode, significant differences in individual indicators were observed, as presented in Table 5. The investigation and analysis of plant height, ground diameter, crown width, leaf area, leaf length, leaf width, number of new branches and length of L. barbarum strain 401 under intercropping and monocropping, which revealed that there was a slight decrease in plant height and an increase in ground diameter after intercropping, these changes were not statistically significant (P > 0.05). The number of main branches in the first and second layers showed no significant difference (P > 0.05). However, there was a significant increase in the number of branches in both layers (P < 0.05), with respective increments of 43.24% and 44.51%. The canopy width of the first layer of wolfberry intercropped pattern was not significantly different from that of monocropping (P > 0.05). However, the canopy width of the second layer showed a significant increase compared to monocropping (P < 0.05), with an increment of 5.13% in the north and south directions and 26.09% in the east and west directions.Therefore, the overall performance of intercropping forage was to promote the increase of canopy branch number of wolfberry plants.

3.4.2. The Impact of Intercropping and Monocropping on Wolfberry Fruit Quality

Determination of fruit traits of L. barbarum strain 401 under intercropping and monocropping cultivation, analyzing the results are shown in Table 6, the fruit transverse diameter, longitudinal diameter, and width did not show any significant differences between intercropping and monocropping. However, the weight of individual fruits was significantly reduced by 22.90% (P < 0.05). In addition, the yield per plant slightly decreased, but the difference was not statistically significant (P > 0.05). This finding is consistent with previous results, despite a decrease in the weight of individual fruits and an increase in the number of branches, which further supports the intercropping Wolfberry's yield. In terms of fruit quality, the levels of carotenoid, flavonoid, and ascorbic acid in intercropping were significantly elevated (P < 0.05) compared to those in monocropping, with increases of 21.1%, 53.3%, and 126.7% respectively. Conversely, the betaine content decreased by 36.8% (P < 0.05). No significant alterations were observed in wolfberry polysaccharide and total sugar levels (P > 0.05). Therefore, intercropping with forage can effectively enhance the quality of wolfberry.
Table 6. Effects of different planting patterns on fruit quality of L. barbarum.
Table 6. Effects of different planting patterns on fruit quality of L. barbarum.
Treatment Transverse diameter (mm) Longitudinal diameter (mm) Lateral diameter (mm) Single fruit weight (g) Plant yield (g) Carotenoid mg/100g Flavonoid g/100g Betaine g/100g Poly-saccharides g/100g Total sugar g/100g Ascorbic acid mg/100g
Intercropping 10.73a 19.11a 10.43a 1.01b 920a 40.8a 0.23a 0.043b 3.52a 62.1a 50.1a
Monocropping 10.43a 22.49a 9.96a 1.31a 952a 33.7b 0.15b 0.068a 3.8a 60.1a 22.1b

3.5. Correlation Analysis of Growth and Yield Related Factors of L. barbarum

Correlation analysis of the correlation factors between the growth, yield, photosynthesis, plant physiology and the occurrence of wolfberry pests and diseases found that there is a correlation relationship between the correlation factors, the specific performance is shown in Figure 8.
Figure 8. Correlation analysis of Wolfberry under different forages intercropping.
Figure 8. Correlation analysis of Wolfberry under different forages intercropping.
Preprints 90928 g008
Through the analysis of the correlation of each factor, it was found that: for photosynthetic indexes, the chlorophyll value of L. barbarum was highly significantly positively correlated with net photosynthetic rate (P < 0.01), and significantly positively correlated with stomatal conductance, transpiration rate, and leaf instantaneous water utilization efficiency (P < 0.05). There was a significant positive correlation between the net photosynthetic rate and stomatal conductance, transpiration rate, and leaf instantaneous water utilization efficiency (P < 0.05). In addition, photosynthesis utilization rate related indexes were significantly positively correlated with single fruit weight of L. barbarum and branch length of L. barbarum, and significantly negatively correlated with aphid infestation and powdery mildew disease (P<0.05). Stomatal conductance, transpiration rate, and number of branches of L. barbarum were significantly negatively correlated with Leaf area of L. barbarum and malondialdehyde content (P<0.05). In terms of fruit traits and yield, there was a positive correlation between fruit weight and yield, photosynthetic indices, as well as branch number of L. barbarum (P < 0.05). Additionally, fruit weight showed a negative correlation with malondialdehyde content and powdery mildew disease (P < 0.05). The yield of L. barbarum exhibited a positive correlation with fruit weight, transverse diameter, longitudinal diameter, polysaccharide content, and betaine content, while it displayed a negative correlation with carotenoid content, flavonoid content, ascorbate content, malondialdehyde content and powdery mildew disease (P < 0.05). As for fruit nutrition, betaine exhibited a negative correlation with carotenoid, flavonoid, and ascorbic acid levels, while showing a positive correlation with superoxide dismutase (P < 0.05). The concentrations of carotenoid, flavonoid, and ascorbate were positively associated (P < 0.01), but negatively correlated with superoxide dismutase (P < 0.05). In addition, both the infestation of wolfberry aphids by pests and powdery mildew were found to have a significant correlation with the levels of malondialdehyde and superoxide dismutase (P < 0.05). Furthermore, there was a positive association between pest occurrence and disease development (P < 0.05).

4. Discussion

4.1. Photosynthesis Differences under Different Wolfberry-Forage Intercropping Patterns

Intercropping, as an agronomic method, can be widely used in many countries to improve plant yield and quality through effective utilization of nutrients, light energy and water resources [16]. In addition, intercropping can reduce light loss between plants and create a favorable environment for the growth and development of individual plants and the full utilization of resources, thus increasing overall productivity [17]. Plant growth depends on cellular changes and dry matter accumulation, which is mainly dependent on photosynthesis [18]. Chlorophyll value and Pn are the most important factors reflecting plant photosynthesis [19], which play an important role in photosynthesis and yield improvement of L. barbarum[20]. We found that there were certain fluctuations in the photosynthetic characteristics of L. barbarum under different forage grasses and L. barbarum intercropping modes (Figure 3 and Figure 4), and there was a significant positive correlation between L. barbarum chlorophyll value, net photosynthetic rate, stomatal conductance, transpiration rate, and instantaneous water use efficiency of leaves, especially Pn, which showed that the overall net photosynthetic rate of L. barbarum intercropped with Pn showed a significant upward trend compared with that of monocropping, and it increased significantly, especially in alfalfa, clover, and fodder In addition, the chlorophyll value in intercropping was greater than that in monocropping, which will provide an important basis for the screening of L. barbarum intercropping materials.

4.2. Fruit Traits Differences under Different Wolfberry-Forage Intercropping Patterns

Our study found varying effects on L. barbarum fruits: fruit size of L. barbarum under intercropping system was significantly reduced in the first year compared to the monocropping system, and there was no significant difference in the second year (Table 2), whereas, when analyzed in combination with Figure 1 and Figure 2, cultivation of pasture grasses between L. barbarum rows did not have a significant effect on L. barbarum yields. In the intercropping pattern, the increase in the number of branches led to an increase in the number of flowers, promoting an increase in the number of wolfberries. However, the size of the fruits decreased significantly in the first year, so there was no significant increase in the total fruit yield. This is in line with previous research on kiwifruit overplanting with mascot grass, which found significant differences between intercropping and clearcutting treatments in fruit traits and yield, and significant increases in kiwifruit single fruit volume, single fruit weight, and acres of yield despite no significant effects on kiwifruit fruit transverse and longitudinal diameters and fruit shape indices[21], which is in line with our findings.

4.3. Fruit Quality Differences under Different Wolfberry-Forage Intercropping Patterns

In addition, the previous research study and analysis of kiwifruit fruit quality found that intercropping of mascot grasses significantly increased kiwifruit fruit vitamin C, dry matter, total soluble sugar, solids, and titratable acid content[21]. The findings of another research study also found that grass mulching had an improvement effect on ponkan fruit quality [22], and a comparison of changes in nutrient content of L. barbarum fruits between monocropping and intercropping modes in our experiments revealed that the carotenoid, flavonoid, and ascorbic acid content of the intercropping system was significantly increased (Table 6), directly proving that intercropping forage could improve the quality and metabolism physiology of L. barbarum fruits. of carotenoids, flavonoids and ascorbic acid were significantly increased (Table 6), which directly proved that intercropping pasture could improve the quality and metabolic physiology of L. barbarum fruits. This is also in line with the researcher's result that intercropping chestnut-legume is more favorable to improve fruit quality and soil nutrient content of forest floor [23]. Researchers also found that planting flat mushrooms in pear orchards significantly increased pear fruit quality, hardness, soluble solids and soluble sugar content, and reduced titratable acid content[24]. In addition, Benard's study showed that intercropping increased the total thiogluconate content which improves the taste on one hand, while maintaining the content of health-related minerals; on the other hand, kaempferol glycosides and hydroxycinnamic acid derivatives were reduced under intercropping treatments [25]. This is in general agreement with our results which found that the intercropping system of four indicators (carotenoids, flavonoids and ascorbic acid) showed a significant trend of increase, especially ascorbic acid, which increased two-fold, while the betaine content was significantly reduced, suggesting that intercropping can modify the nutritional quality of the fruits by affecting the content of metabolites, but not all the developments are favorable. And the results of Testolin's study also found that as the fruit develops and matures, various components within the fruit change along with various reactions, such as phenylpropanes, flavonoids, anthocyanins, and sugars being synthesized, accumulated, or consumed [26], which is in line with our results. In summary, the growth, yield and fruit quality of F. chinensis were significantly improved relative to monoculture.

4.4. Pests and Diseases Differences under Different Wolfberry-Forage Intercropping Patterns

Different types of forages intercropped with L. barbarum had different effects on L. barbarum pests and diseases. Through the analysis of field trials, it was found that L. barbarum could reduce aphid infestation when intercropped with oats, sipas, white clover and ryegrass, while mangold, which performed better in the early stage, had the risk of aggravating aphid infestation, so that the growing season should be well prepared to prevent and control the aphid infestation in advance. In addition, by analyzing the incidence of powdery mildew under intercropping and monocropping modes, further forage materials capable of reducing powdery mildew infestation were obtained: mangold, white clover, ryegrass, and sipas. Although some forages intercropped with L. barbarum can increase the occurrence of pests and diseases, our results also provide a theoretical basis for further screening of suitable L. barbarum intercropping materials. This is also consistent with the results of previous studies that reasonable intercropping can control the occurrence of pests and diseases, reduce the input of chemical pesticides and improve food safety [27,28]. However, the effect of intercropping on the prevention and control of pests and diseases is affected by plant species [29], sowing time [30], and spatial and temporal layout of intercropping [31,32], and suitable and efficient intercropping modes need to be more deeply and systematically studied.

5. Conclusions

The effects of intercropping patterns on the growth of L. barbarum showed an overall increase in photosynthesis of L. barbarum. In addition, intercropping ryegrass increased the number of L. barbarum branches, and intercropping Lvyuan 5 and mangold promoted the elongation of L. barbarum branches. In addition, from the perspective of pests and diseases, the intercropping of mangold, white clover, sweet sorghum, ryegrass, and sipas could reduce the area of powdery mildew of L. barbarum, while the intercropping of alfalfa, sipas, and ryegrass could reduce aphid occurrence. Moreover, wolfberry-forage intercropping mode could significantly promote the significant increase of carotenoids, flavonoids and ascorbic acid content, which was favorable to the improvement of L. barbarum quality. The comprehensive analysis finally screened out four kinds of intercropping combinations of wolfberry-mangold, wolfberry-ryegrass, wolfberry-alfalfa, and wolfberry-white clover.

Author Contributions

WYL and ZLZ conceived and designed the study. HJ designed the full experiment. NXX and WF provided laboratory facilities for analysis of plant growth. YL, JQX, YZL and WH performed the experiments and collected all data sets. ZY and YHQ contributed reagents/materials/tools. QK and LYH revised the manuscript and provided the help with trials. All authors have read and agreed to the published version of the manuscript.

Availability of data and materials

The datasets supporting the results presented in this manuscript are included within the article.

Acknowledgments

This research was funded by the Natural Science Foundation of Ningxia (2022AAC03420), Ningxia Academy of Agriculture and Forestry Sciences “14th Five-Year” agricultural high-quality development and ecological protection science and technology innovation demonstration project (NGSB-2021–2), National Natural Science Foundation of China (Grant No. 42067022, 41761066)and Scientific Research Project of Ningxia Higher Education Institutions (NYG2022172).

Compliance with ethical standards

.

Conflicts of Interest

The authors declare that they have no known competing financial interests or personal relationships that could have appeared to influence the work reported in this paper.

Declaration of Competing Interest

All the authors have declared no conflict of interest.

References

  1. Potterat, O. Goji (Lycium barbarum and L. chinense): Phytochemistry, pharmacology and safety in the perspective of traditional uses and recent popularity. Planta Medica. 2009;76(1):7-19.
  2. Lin CL, Wang C, Chang SC, et al. Antioxidative activity of polysaccharide fractions isolated from Lycium barbarum Linnaeus. International Journal of Biological Macromolecules. 2009;45(2):146-51.
  3. Yu-Shan C, Zhi LY, Jane C. Protective Effect of Lycium barbarum Polysaccharides and Capsaicin in Rats With Dextran Sulfate Sodium-Induced Ulcerative Colitis via Anti-inflammation and Antioxidation. Current Developments in Nutrition. 2021(Supplement_2):Supplement_2.
  4. Li P, Li M, Wu JE, et al. The present invention pertains to a methodology for the extraction of antitumor bioactive constituents from Lycium barbarum fermentation. 2019.
  5. Jing LI, Jian W, University JS, et al. Effect of Compatibility of Acanthopanaxs enticosus and Chinese Wolfberry Fruit on Reducing Blood Sugar in Diabetic Model Mice. Food Research and Development. 2017.
  6. Chen Z, Tan B, Chan SH. Activation of macrophages by polysaccharide-protein complex from Lycium barbarum L. International Immunopharmacology. 2008;8(12):1663-71.
  7. Jie Z, Ding C, Wang L, et al. Anthocyanins composition and antioxidant activity of wild Lycium ruthenicum Murr. from Qinghai-Tibet Plateau. Food Chemistry. 2011;126(3):859-65.
  8. Wang ZG, Xin J, Bao XG, et al. Intercropping Enhances Productivity and Maintains the Most Soil Fertility Properties Relative to Sole Cropping. Plos One. 2014;9.
  9. Knörzer H, Graeff-Hönninger S, Guo B, et al. The Rediscovery of Intercropping in China: A Traditional Cropping System for Future Chinese Agriculture – A Review. Springer Netherlands. 2009.
  10. Zhu L, He J, Tian Y, et al. Intercropping Wolfberry with Gramineae plants improves productivity and soil quality. Scientia Horticulturae. 2022;292:110632-.
  11. Zhu L, Li X, He J, et al. Development ofLycium barbarum–ForageIntercropping Patterns. Agronomy 2023;13(1365).
  12. Qing-Hua CandChao-Liang W. Advantage of Ningxia Wolfberry Industry and Strategy of Improving Its Export Competitive Power. Research of Agricultural Modernization. 2008;29(2):151-4.
  13. Zhihua Z, Shuping W, Jianfeng W. Current situation,existing problems countermeasures in development of top quality chinese wolfberry products in Ningxia. Journal of Agricultural Sciences. 2014.
  14. Li JY, Xu B, Yang XC, et al., editors. Temporal and spatial variations of grassland desertification in Lingwu and Yanchi of Ningxia, China. Second International Conference on Agro-geoinformatics; 2013.
  15. CHEN Y, YU L, BU J, et al. Control Effect of Five Kinds of Pesticides against Wolfberry Aphids in Field. Journal of Northeast Agricultural Sciences. 2021;46(6):4.
  16. Hamzei, Javad, Seyyedi, et al. Energy use and input-output costs for sunflower production in sole and intercropping with soybean under different tillage systems. Soil & Tillage Research. 2016;157:73-82.
  17. Zhang WP, Liu GC, Sun JH, et al. Temporal dynamics of nutrient uptake by neighbouring plant species: evidence from intercropping. Functional Ecology. 2016.
  18. Charbonnier, le, Maire, et al. Competition for light in heterogeneous canopies: Application of MAESTRA to a coffee (Coffea arabica L.) agroforestry system. AGR FOREST METEOROL. 2013;2013,181(-):152-69.
  19. Sandmann G. Diversity and origin of carotenoid biosynthesis: its history of coevolution towards plant photosynthesis. New Phytologist. 2021.
  20. Wu F, Zhu S, Xiang J, et al. Analysis of photosynthetic characteristics and yield of Lycium melanocarp under different soil moisture conditions. Journal of Anhui Agri Sci. 2017;45(5):3.
  21. Zhang C, Wang Q, Zhou K, et al. Effects of Rhizobium and arbuscular mycorrhizal fungi on soil enzyme activities, fruit yield, and quality in a monkey and peach orchard. Scientia Agricultura Sinica. 2018;51(8):12.
  22. Dong QM, Zhao XQ, Wu GL, et al. A review of formation mechanism and restoration measures of "black-soil-type" degraded grassland in the Qinghai-Tibetan Plateau. Environmental Earth Sciences. 2013;70(5):2359-70.
  23. Gao GandGUO S. Effects of intercropping on soil nutrients and fruit quality in chestnut forest. Northern Horticulture. 2010(5):4.
  24. Chen S, Hou D, Wu W, et al. Effects of oyster mushroom interplanting in pear orchard on soil biological activity and fruit quality. Journal of Fruit Science. 2012;29(4):6.
  25. Benard N, Susanne N, Susanne B, et al. Intercropping Induces Changes in Specific Secondary Metabolite Concentration in Ethiopian Kale (Brassica carinata) and African Nightshade (Solanum scabrum) under Controlled Conditions. Frontiers in Plant Science. 2017;8:1700-.
  26. Testolin R, Huang HW, Ferguson AR. [Compendium of Plant Genomes] The Kiwifruit Genome || Acid Metabolism in Kiwifruit. 2016;10.1007/978-3-319-32274-2(Chapter 14):179-88.
  27. Liu Y, Shu Z, Shao J, et al. Research progress on effect and mechanism of intercropping in tea garden on disease and pest control. Tea Communication. 2021;48(1):8.
  28. Ye H, Cui L, He X, et al. Effects of interplanting citrus arbutus or melon on population and spatial pattern of leafhopper and spider species in tea garden. Acta Ecologica Sinica. 2010(22):8.
  29. Linguya K, Moraa O, Wangai K, et al. Potential of intercropping for management of some arthropod and nematode pests of leafy vegetables in Kenya. Journal of Agricultural Sciences Belgrade. 2015;60(3):301-14.
  30. Meagher RL, Nagoshi RN, Fleischer SJ, et al. Areawide management of fall armyworm, Spodoptera frugiperda (Lepidoptera: Noctuidae), using selected cover crop plants. CABI Agriculture and Bioscience. 2022;3(1):1-10.
  31. Gazewski L, Jaskulska I, Wilczewski E, et al. Response of Yellow Lupine to the Proximity of Other Plants and Unplanted Path in Strip Intercropping. Agriculture. 2020;10.
  32. Liu YJ, Jiu-Pai NI, Zhang Y, et al. Effects of different crop-mulberry intercropping systems on nutrients in arid purple soils in the Three Gorges Reservoir Area. Acta Prataculturae Sinica. 2015;6(2):178-85.
Table 5. Investigation on tree growth of L. barbarum strain 401.
Table 5. Investigation on tree growth of L. barbarum strain 401.
Treatment Plant height(cm) Ground diameter(cm) Leaf Main branch of first canopy Crown size of first canopy Main branch of second canopy Crown size of second canopy
Length(cm) Width(cm) Area(cm) Water content(%) Number Branch number Branch length(cm) North to south(cm) East to west(cm) Number Branch number Branch length(cm) North to south(cm) East to west(cm)
Intercropping 165.3a 4.21a 6.21a 2.43a 8.33a 27.35a 3.7a 5.3a 23.70a 98.6a 102.3a 3.72a 12.5a 25.33a 75.8a 92.3a
Monocropping 170.5a 3.87a 5.98a 2.35a 8.12a 28.67a 4.24a 3.7b 25.87a 103.7a 107.5a 4.35a 8.65b 29.34a 72.1a 73.2b
Disclaimer/Publisher’s Note: The statements, opinions and data contained in all publications are solely those of the individual author(s) and contributor(s) and not of MDPI and/or the editor(s). MDPI and/or the editor(s) disclaim responsibility for any injury to people or property resulting from any ideas, methods, instructions or products referred to in the content.
Copyright: This open access article is published under a Creative Commons CC BY 4.0 license, which permit the free download, distribution, and reuse, provided that the author and preprint are cited in any reuse.
Prerpints.org logo

Preprints.org is a free preprint server supported by MDPI in Basel, Switzerland.

Subscribe

Disclaimer

Terms of Use

Privacy Policy

Privacy Settings

© 2026 MDPI (Basel, Switzerland) unless otherwise stated