Submitted:
06 November 2023
Posted:
07 November 2023
Read the latest preprint version here
Abstract
Keywords:
1. Introduction
2. Basic equations
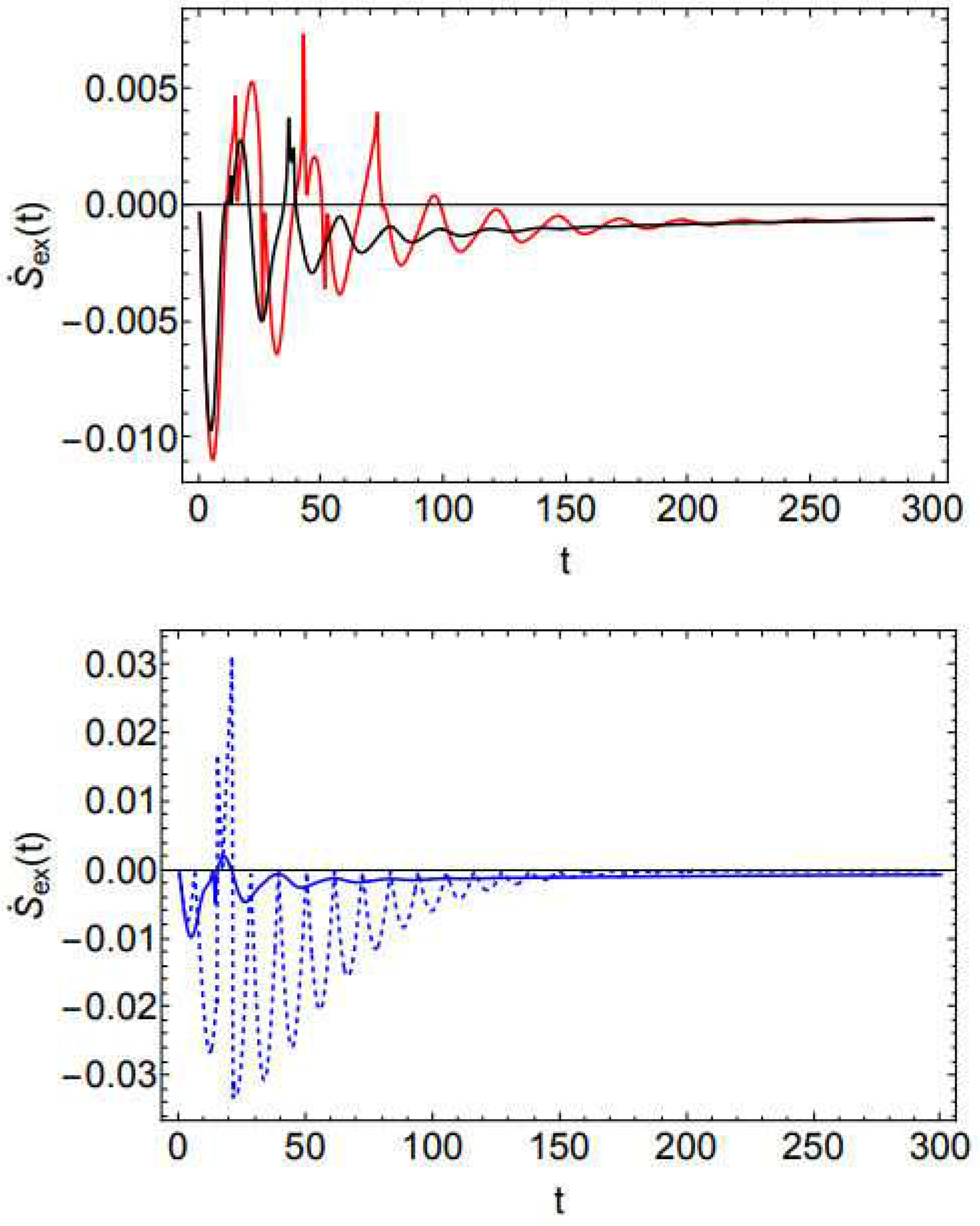
3. Discussion of numerical results
4. Conclussion
Funding
Acknowledgments
Conflicts of Interest
Abbreviations
| FPE | Fokker-Planck equation |
| CGLE | Classical generalized Langevin equation |
| NGLE | New generalized Langevin equation |
| FDT | Fluctuation-dissipation theorem |
References
- Kubo, R. The fluctuation-dissipation theorem. Rep. Prog. Phys. 1966, 29, 255. [Google Scholar] [CrossRef]
- Nieuwenhuizen, Th.M.; Allahverdyan, A.E. Statistical Thermodynamics of quantum Brownian motion: Construction of perpetuum mobile of the second kind. Phys. Rev. E 2002, 66, 036102. [Google Scholar] [CrossRef]
- Jiménez-Aquino, J.I.; Velasco, R.M. The Entropy Production Distribution in Non-Markovian Thermal Baths. Entropy 2014, 16, 1917. [Google Scholar] [CrossRef]
- Paredes-Altuve, O.; Medina, E.; Colmenares, P.J. Extracting work from a single reservoir in the non-Markovian underdamped limit. Phys. Rev. E 2016, 94, 062111. [Google Scholar] [CrossRef] [PubMed]
- Daldrop, J.O.; Kowalik, B.G.; Netz, R.R. External potential modifies friction of molecular solutes in water. Phys. Rev. X 2017, 7, 041065. [Google Scholar] [CrossRef]
- Colmenares, P.J. Generalized dynamics and fluctuation-dissipation theorem for a parabolic potential. Phys. Rev. E 2023, 108, 014115. [Google Scholar] [CrossRef] [PubMed]
- Colmenares, P.J. Fokker-Planck equation of the reduced Wigner function associated to an Ohmic quantum Langevin dynamics. Phys. Rev. E 2018, 97, 052126. [Google Scholar] [CrossRef] [PubMed]
- Sekimoto, K. Stochastic Energetics.; Lecture Notes in Physics 799., Springer: Heidelberg. Germany, 2010. [Google Scholar]
- Seifert, U. Entropy production along a stochastic trajectory and an integral fluctuation theorem. Phys. Rev. Letts. 2005, 95, 040602. [Google Scholar] [CrossRef]
- Seifert, U. Stochastic thermodynamics, fluctuation theorems, and molecular machines. Rep. Prog. Phys. 2012, 75, 126001. [Google Scholar] [CrossRef] [PubMed]
- Speck, T.; Seifert, U. Restoring a fluctuation-dissipation theorem in a nonequilibrium steady state. Europhys. Lett. 2006, 74, 391. [Google Scholar] [CrossRef]
- Van den Broeck, C.; Esposito, M. Three faces of the second law. II. Fokker-Planck formulation. Phys. Rev. E 2010, 82, 011144. [Google Scholar] [CrossRef]
- Oono, Y.; Paniconi, M. Steady state thermodynamics. Prog. Theor. Phys. Suppl 1998, 130, 29. [Google Scholar] [CrossRef]
- Zwanzig, R. Nonlinear generalized Langevin Equation. J. Stat. Phys. 1973, 9, 251. [Google Scholar] [CrossRef]
- Hänggi, P. Generalized Langevin Equations: A Useful Tool for the Perplexed Modeller of Nonequilibrium Fluctuations. In Stochastic Dynamics, Lecture Notes in Physics; Schimansky-Geier, L., Pöschel, T., Eds.; Springer-Verlag: Berlin Heidelberg, 1997. [Google Scholar] [CrossRef]
- Zwanzig, R. Nonequilibrium Statistical Mechanics; Oxford University Press: New York. USA, 2001. [Google Scholar]
- Wolfram Research, Inc.. Mathematica v13.1.0.0 computer package was used for the algebraic, numerical and graphics manipulations, 2022.
- Fox, R.F. Gaussian Stochastic Processes in Physics. Phys. Rep. 1978, 48, 179–283. [Google Scholar] [CrossRef]
- Taye, M.A. Entropy production and entropy extraction rates for a Brownian particle that walks in underdamped medium. Phys. Rev. E 2020, 101, 012131. [Google Scholar] [CrossRef] [PubMed]
- Esposito, M.; den Broeck, C.V. Three Detailed Fluctuation Theorems. Phys. Rev. Letts. 2010, 104, 090601. [Google Scholar] [CrossRef]
- Gujrati, P.D. Jensen inequality and the second law. Phys. Lett. A 2020, 384, 126460. [Google Scholar] [CrossRef]
- Prigogine, I. Introduction to Thermodynamics of Irreversible Processes, third ed.; Interscience Publishers: New York. USA, 1967. [Google Scholar]
- Schmiedl, T.; Seifert, U. Optimal finite-time processes in stochastic thermodynamics. Phys. Rev. Letts. 2007, 98, 108301. [Google Scholar] [CrossRef]
- Abreu, D.; Seifert, U. Extracting work from a single heat bath through feedback. Europhys. Lett. 2011, 94, 10001. [Google Scholar] [CrossRef]
- Colmenares, P.J.; Paredes-Altuve, O. Optimal work associated to the off-centered harmonic Brownian motion at any friction damping. Phys. Rev. E 2021, 104, 034115. [Google Scholar] [CrossRef] [PubMed]
- Morse, P.H.; Feshbach, H. Methods of Theoretical Physics; Vol. I, McGraw Hill: New York. USA, 1953. [Google Scholar]




Disclaimer/Publisher’s Note: The statements, opinions and data contained in all publications are solely those of the individual author(s) and contributor(s) and not of MDPI and/or the editor(s). MDPI and/or the editor(s) disclaim responsibility for any injury to people or property resulting from any ideas, methods, instructions or products referred to in the content. |
© 2023 by the authors. Licensee MDPI, Basel, Switzerland. This article is an open access article distributed under the terms and conditions of the Creative Commons Attribution (CC BY) license (http://creativecommons.org/licenses/by/4.0/).