Submitted:
07 November 2023
Posted:
08 November 2023
You are already at the latest version
Abstract
Keywords:
1. Introduction
2. Kinetic Models
- ( is a short hand notation for an element in , fully written as .)
- The set of all Maxwellians is denoted by . Given , the tangent space in e is defined by
- (a)
- (b) K is self-adjoint (e.g. in a weighted space) and negative semidefinite.
- (c) The restriction has an inverse .
- (d) The linear systemis solvable iff . In this case, the solution isIt satisfies
- The simplest kind of exponential decay of f to its equilibrium e is given by the one-parameter BGK model
- The solution of the linear system corresponding to (4) follows immediately from calculation.
3. The moment hierarchy and the Euler system
- (3.4) General moment system:
- (3.5) Euler equations:
4. Navier-Stokes equations and balanced states
- A convenient way to derive the Navier-Stokes system is the Chapman Enskog expansion of first order. Plugging the ansatzinto the Boltzmann equation and setting equal the terms of equal power of . For we findand thus . For we find
- For its solution we perform the decomposition (2) on the whole system. The part acting on readswith
- The solution of (19) is
- The Navier-Stokes correction to the Euler equations we now get by calculating the moment system (3.4) of the function . Taking into account the inequalities (6), we find the correction terms to the closure moments of the Euler system,with the positive viscosity resp. heat coefficients
- All the above results are classical and need no further explanation. Here, we find a way to reinterpret the Chapman Enskog results and to generalize them, without making use of the series expansion.
- Thus the Chapman Enskog procedure as sketched above may be seen as a special case of the following three-step procedure for the calculation of closure relations.
- (2) For an appropriate approximation C of the Boltzmann collision operator solve the IVP
- (In the Chapman-Enskog case, and .) We can interpret (22) as a local solution to the kinetic equation: Introduce a microscopic time scale and solve the kinetic system. In lowest order in , we freeze the source term at and solve the system for . In the following we call the distributions balanced states, since they balance the trend to equilibrium given by the collision operator with the perturbing effects produced by the streaming term.
5. Traces in tangent space
5.1. Traces
- Given a triple with corresponding Maxwellian , the tangent space of in is defined as the set of all elements in
- (5.8) Closure relations for trace: The closure moments of the trace elements (in relation to the macroscopic moments , of ) are
- (5.9) Differential structure of trace : (a) is differentiable with derivative
- Proof: (a) follows from straightforward calculations (using the definition (30) of and formulas (27), (28)) which yield
- For the derivation of closure moments for the nonlinear collision operator it is useful to follow the trace of along which is defined as the projection of given by
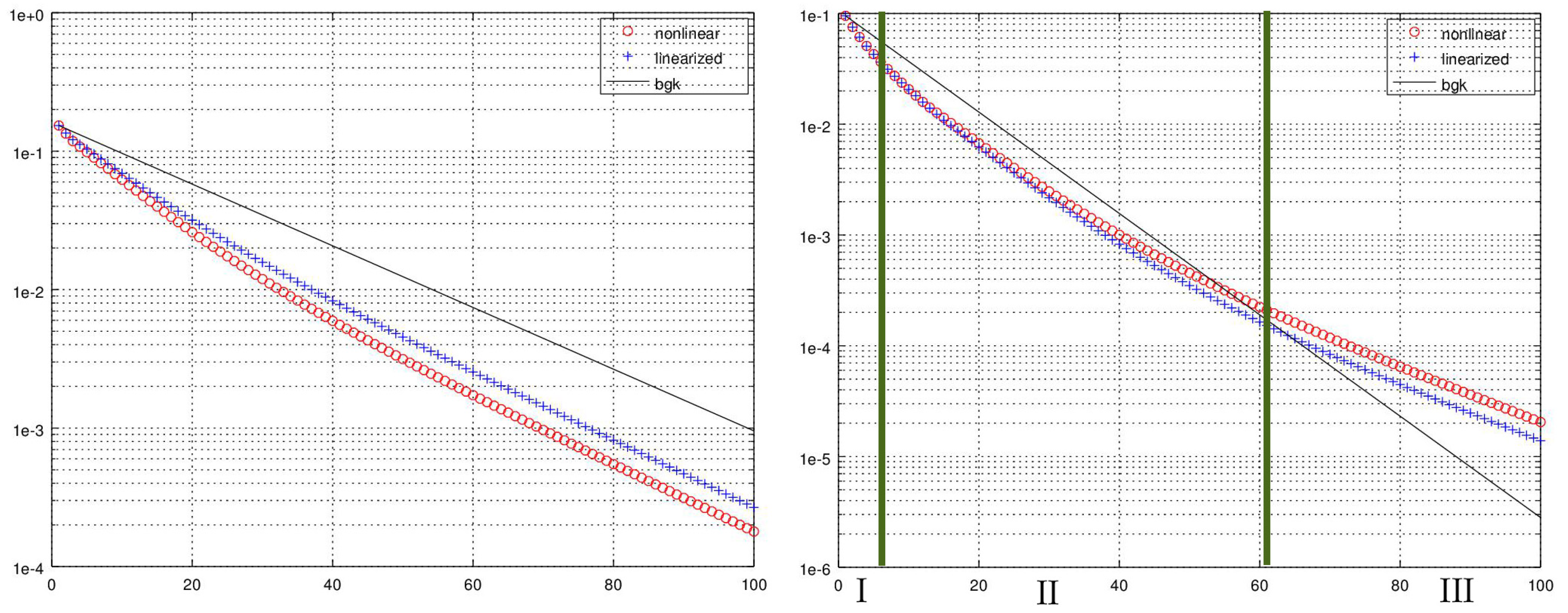
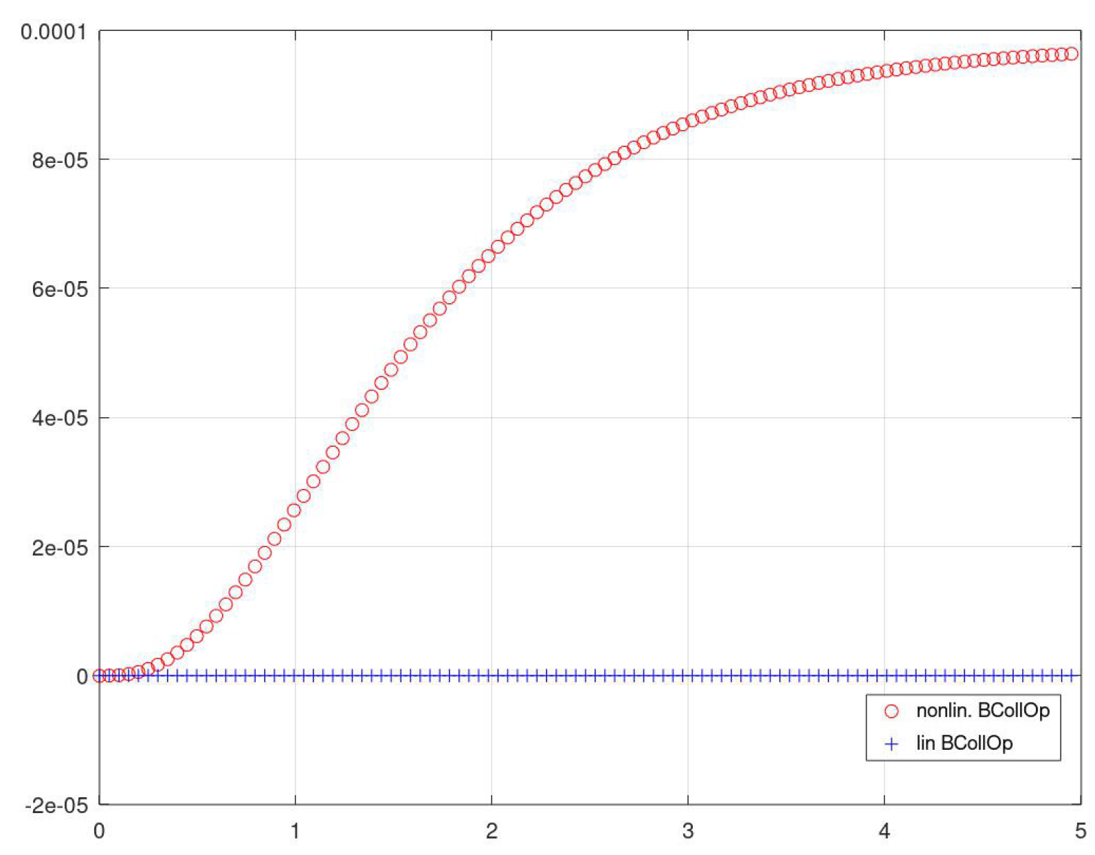
- In our context, the most significant difference between the nonlinear collision operator on the one side, and the linearized and the BGK operator (shortly termed as “relaxation operators”) on the other side is that
5.2. Relaxation problems
- Suppose
5.3. Relaxation with source, balanced states
- This example is an indicator that the concept of traces is relevant for the investigation of the structure of kinetic solutions in the context of closure relations. We can generalize the above principle to other sources and kinetic models.
6. Applications
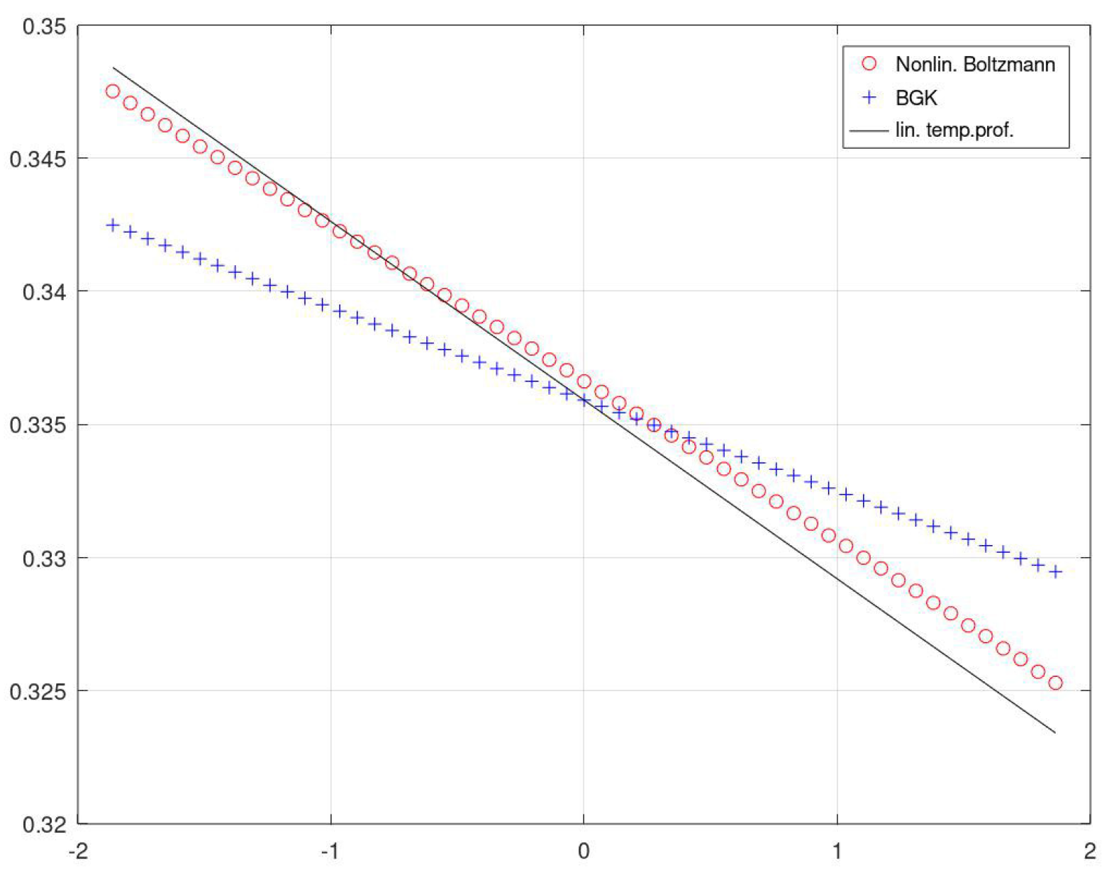
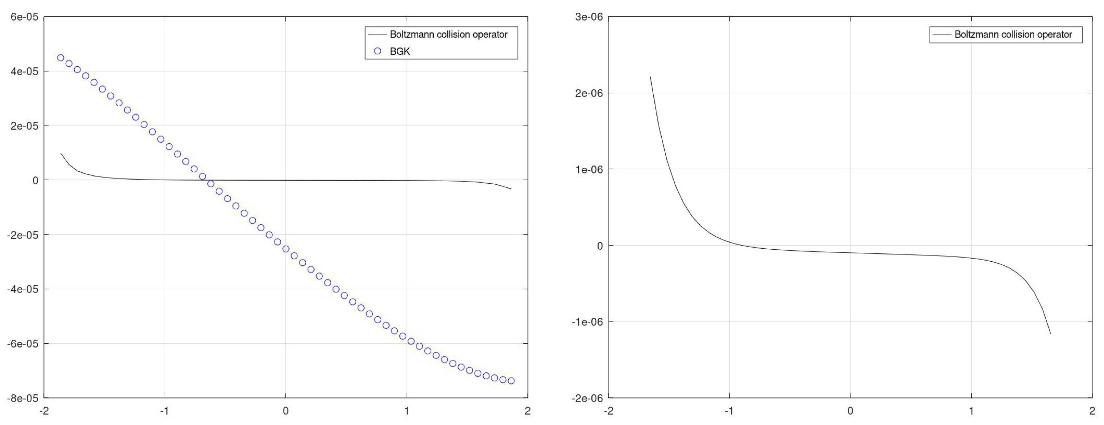
6.1. Heat layers with zero flow
6.2. Gas mixtures: An evaporation condensation problem
References
- K. Aoki, S. K. Aoki, S. Takata, and S. Taguchi. Vapor flows with evaporation and condensation in the continuum limit: effect of a trace of noncondensable gas. Eur. Journ. Mech. B/Fluids, 2003; 71. [Google Scholar] [CrossRef]
- H. Babovsky. A numerical model for the Boltzmann equation with applications to micro flows. Comput. Math. Appl. 2009. [CrossRef]
- H. Babovsky. Discrete kinetic models in the fluid dynamic limit. Computers and Mathematics with Applications, 2014. [CrossRef]
- H. Babovsky. Macroscopic limit for an evaporation-condensation problem. European Journal of Mechanics B/Fluids, 2017. [CrossRef]
- H. Babovsky and L. Bold. Balanced states and closure relations: The fluid dynamic limit of kinetic models. 2022. [CrossRef]
- H. Babovsky and J. Grabmeier. Calculus and design of discrete velocity models using computer algebra. 1786. [CrossRef]
- H. Babovsky and J. Grabmeier. A Symmetry Class Approach to 3D Discrete Collision Models via Computer Algebra, 2022.
- L. Bold. Diskrete Geschwindigkeitsmodelle und ihr Bezug zu den Navier-Stokes-Gleichungen. 2022.
- C. Cercignani. The Boltzmann equation and its applications. 1988.
- C. Cercignani, R. C. Cercignani, R. Illner and M. Pulvirenti. The Mathematical Theory of Dilute Gases. 1994. [Google Scholar]
- T. Sasse. Discrete Velocity Models for Mixtures and Non-Mixtures, 2021.
- E.M. Shakhov. Fluid Dynam. 1968.
- Y. Sone. Molecular Gas Dynamics. 2007.
- V. A. Titarev. Application of model kinetic equations to hypersonic rarefied gas flows. Computers & Fluids, 2018. [CrossRef]





Disclaimer/Publisher’s Note: The statements, opinions and data contained in all publications are solely those of the individual author(s) and contributor(s) and not of MDPI and/or the editor(s). MDPI and/or the editor(s) disclaim responsibility for any injury to people or property resulting from any ideas, methods, instructions or products referred to in the content. |
© 2023 by the authors. Licensee MDPI, Basel, Switzerland. This article is an open access article distributed under the terms and conditions of the Creative Commons Attribution (CC BY) license (http://creativecommons.org/licenses/by/4.0/).