Submitted:
07 November 2023
Posted:
08 November 2023
You are already at the latest version
Abstract
Keywords:
1. Introduction
2. Materials and Methods
2.1. Collection of Soil Samples and Estimation of the Organic Matter Content
2.2. Hyperspectral Image Acquisition
2.3. Extraction of Spectral Features and Picture Features
2.4. Preprocessing of the Spectral Data and Characteristic Band Screening
2.5. Data Fusion
2.6. Model Building and Evaluation Criteria
3. Results
3.1. Spectral Preprocessing Results
3.2. Characteristic Wavelength Screening Results
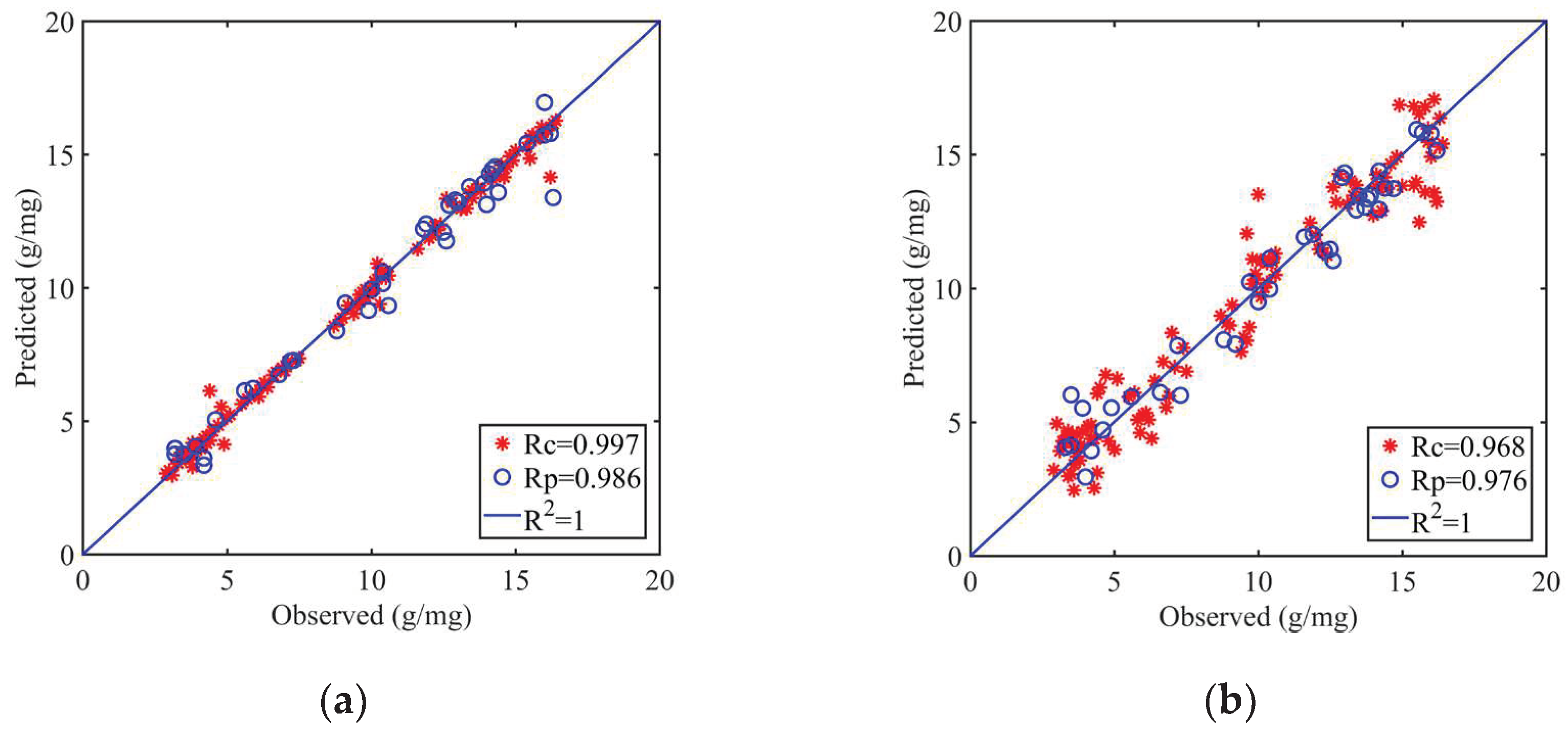
3.3. Predictive Modeling of Single Spectral Data
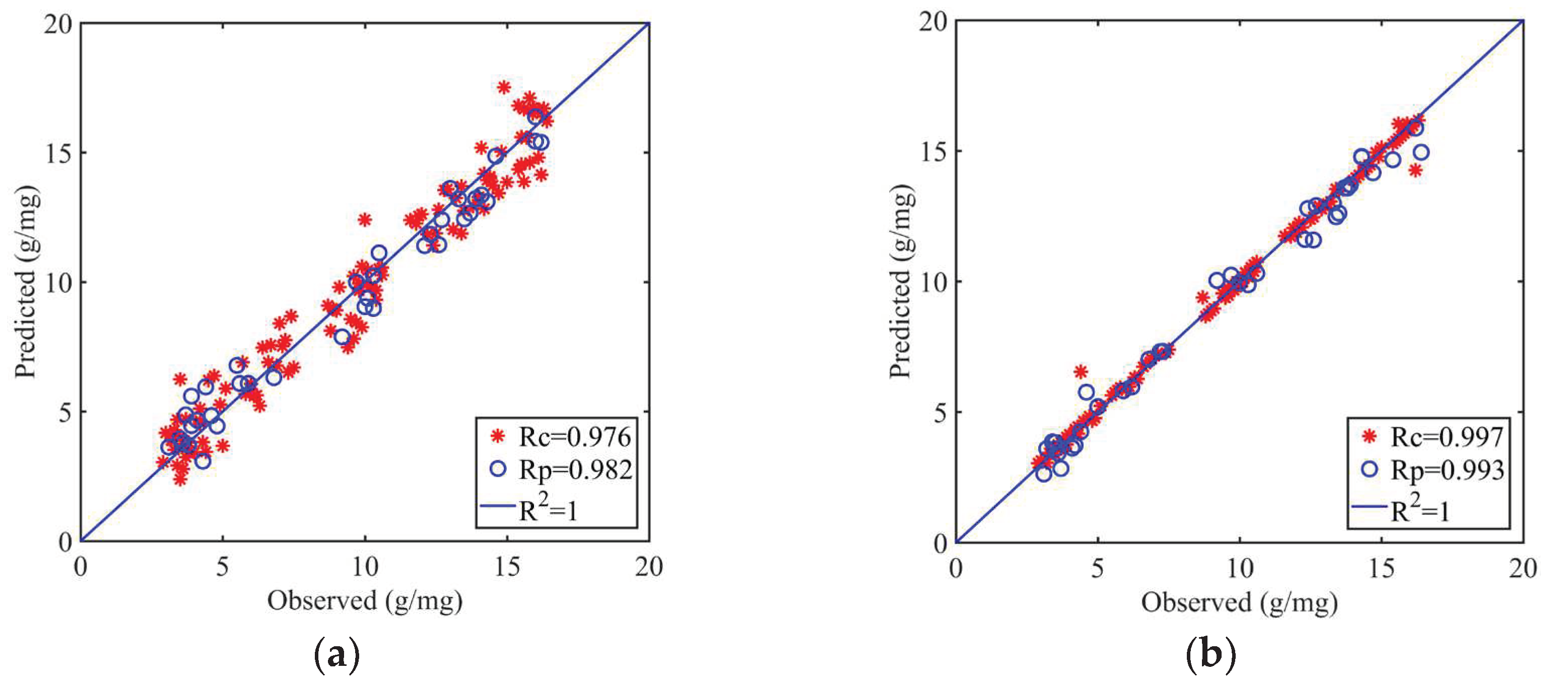
3.4. Predictive Modeling of Fusion Data
4. Conclusions
Supplementary Materials
Author Contributions
Data Availability Statement
Acknowledgments
Conflicts of Interest
References
- Chen, J., Wu, S., Dong, F., Li, J., Zeng, L., Tang, J., and Gu, D. (2021). Mechanism Underlying the Shading-Induced Chlorophyll Accumulation in Tea Leaves. Frontiers in Plant Science 12. [CrossRef]
- Dong, C., Ye, Y., Yang, C., An, T., Jiang, Y., Ye, Y., Li, Y., and Yang, Y. (2021). Rapid detection of catechins during black tea fermentation based on electrical properties and chemometrics. Food Bioscience 40. [CrossRef]
- Rahimi-Ajdadi, F., Abbaspour-Gilandeh, Y., Mollazade, K., and Hasanzadeh, R. P. R. (2018). Development of a novel machine vision procedure for rapid and non-contact measurement of soil moisture content. Measurement 121, 179-189. [CrossRef]
- Hoffland, E., Kuyper, T. W., Comans, R. N. J., and Creamer, R. E. (2020). Eco-functionality of organic matter in soils. Plant and Soil 455, 1-22. [CrossRef]
- İnik, O., İnik, Ö., Öztaş, T., Demir, Y., and Yüksel, A. (2023). Prediction of Soil Organic Matter with Deep Learning. Arabian Journal for Science and Engineering 48, 10227-10247. [CrossRef]
- Zwiazek, J. J., Kyaw, T. Y., Siegert, C. M., Dash, P., Poudel, K. P., Pitts, J. J., and Renninger, H. J. (2022). Using hyperspectral leaf reflectance to estimate photosynthetic capacity and nitrogen content across eastern cottonwood and hybrid poplar taxa. Plos One 17. [CrossRef]
- Yu, F., Bai, J., Jin, Z., Zhang, H., Yang, J., and Xu, T. (2023). Estimating the rice nitrogen nutrition index based on hyperspectral transform technology. Frontiers in Plant Science 14. [CrossRef]
- Chen, D., Wu, P., Wang, K., Wang, S., Ji, X., Shen, Q., Yu, Y., Qiu, X., Xu, X., Liu, Y., and Tang, G. (2022). Combining computer vision score and conventional meat quality traits to estimate the intramuscular fat content using machine learning in pigs. Meat Science 185. [CrossRef]
- Chen, F., Xu, J., Wei, Y., and Sun, J. (2019). Establishing an eyeball-weight relationship for Litopenaeus vannamei using machine vision technology. Aquacultural Engineering 87. [CrossRef]
- Yang, C., Feng, M., Song, L., Jing, B., Xie, Y., Wang, C., Qin, M., Yang, W., Xiao, L., Sun, J., Zhang, M., Song, X., and Kubar, M. S. (2022). Hyperspectral monitoring of soil urease activity under different water regulation. Plant and Soil 477, 779-792. [CrossRef]
- Rahimi-Ajdadi, F., Abbaspour-Gilandeh, Y., Mollazade, K., and Hasanzadeh, R. P. R. (2018). Development of a novel machine vision procedure for rapid and non-contact measurement of soil moisture content. Measurement 121, 179-189. [CrossRef]
- An, T., Huang, W., Tian, X., Fan, S., Duan, D., Dong, C., Zhao, C., and Li, G. (2022). Hyperspectral imaging technology coupled with human sensory information to evaluate the fermentation degree of black tea. Sensors and Actuators B: Chemical 366. [CrossRef]
- Yin, Y., Li, J., Ling, C., Zhang, S., Liu, C., Sun, X., and Wu, J. (2023). Fusing spectral and image information for characterization of black tea grade based on hyperspectral technology. Lwt 185. [CrossRef]
- Dong, C., Liang, G., An, T., Wang, J., Zhu, H. (2018). Near-infrared spectroscopy detection model for sensory quality and chemical constituents of black tea, Transactions of the Chinese Society of, Agricultural Engineering 34, 306–313.
- Sun, J., Yang, W., Feng, M., Liu, Q., and Kubar, M. S. (2020). An efficient variable selection method based on random frog for the multivariate calibration of NIR spectra. RSC Advances 10, 16245-16253. [CrossRef]
- Jiang, H., Xu, W., Ding, Y., and Chen, Q. (2020). Quantitative analysis of yeast fermentation process using Raman spectroscopy: Comparison of CARS and VCPA for variable selection. Spectrochimica Acta Part A: Molecular and Biomolecular Spectroscopy 228. [CrossRef]
- Han, M., Wang, X., Xu, Y., Cui, Y., Wang, L., Lv, D., and Cui, L. (2021). Variable selection for the determination of the soluble solid content of potatoes with surface impurities in the visible/near-infrared range. Biosystems Engineering 209, 170-179. [CrossRef]
- Cebi, N., Yilmaz, M. T., and Sagdic, O. (2017). A rapid ATR-FTIR spectroscopic method for detection of sibutramine adulteration in tea and coffee based on hierarchical cluster and principal component analyses. Food Chemistry 229, 517-526. [CrossRef]
- Cruz-Tirado, J. P., Oliveira, M., de Jesus Filho, M., Godoy, H. T., Amigo, J. M., and Barbin, D. F. (2021). Shelf life estimation and kinetic degradation modeling of chia seeds (Salvia hispanica) using principal component analysis based on NIR-hyperspectral imaging. Food Control 123. [CrossRef]
- Liu, Z., Zhang, R., Yang, C., Hu, B., Luo, X., Li, Y., Dong, C. (2022). Research on moisture content detection method during green tea processing based on machine vision and near-infrared spectroscopy technology,Spectrochimica Acta Part A: Molecular and Biomolecular Spectroscopy 272, 1386-1425. [CrossRef]
- Ren, G., Wang, Y., Ning, J., and Zhang, Z. (2020). Highly identification of keemun black tea rank based on cognitive spectroscopy: Near infrared spectroscopy combined with feature variable selection. Spectrochimica Acta Part A: Molecular and Biomolecular Spectroscopy 230. [CrossRef]
- Dong, C., Ye, Y., Yang, C., An, T., Jiang, Y., Ye, Y., Li, Y., and Yang, Y. (2021). Rapid detection of catechins during black tea fermentation based on electrical properties and chemometrics. Food Bioscience 40. [CrossRef]
- Ouyang, Q., Wang, L., Zareef, M., Chen, Q., Guo, Z., and Li, H. (2020). A feasibility of nondestructive rapid detection of total volatile basic nitrogen content in frozen pork based on portable near-infrared spectroscopy. Microchemical Journal 157. [CrossRef]
- Jiang, H., He, Y., Xu, W., and Chen, Q. (2021). Quantitative Detection of Acid Value During Edible Oil Storage by Raman Spectroscopy: Comparison of the Optimization Effects of BOSS and VCPA Algorithms on the Characteristic Raman Spectra of Edible Oils. Food Analytical Methods 14, 1826-1835. [CrossRef]
- Yang, C., Zhao, Y., An, T., Liu, Z., Jiang, Y., Li, Y., and Dong, C. (2021). Quantitative prediction and visualization of key physical and chemical components in black tea fermentation using hyperspectral imaging. Lwt 141. [CrossRef]
- Liu, H., Zhang, Y., and Zhang, B. (2008). Novel hyperspectral reflectance models for estimating black-soil organic matter in Northeast China. Environmental Monitoring and Assessment 154, 147-154. [CrossRef]







| Preprocessing Methods | Data Dimensionality Reduction | Models | PCs | Calibration Set | Prediction Set | RPD | ||
| R2C | RMSEC | R2P | RMSEP | |||||
| MSC | RF | SVR | 5 | 0.978 | 0.677 | 0.957 | 0.822 | 4.847 |
| PLSR | 9 | 0.868 | 1.658 | 0.799 | 1.766 | 2.261 | ||
| VCPA | SVR | 5 | 0.972 | 0.756 | 0.943 | 0.672 | 5.981 | |
| PLSR | 7 | 0.925 | 1.233 | 0.950 | 0.887 | 4.533 | ||
| VCPA-IRIV | SVR | 7 | 0.994 | 0.350 | 0.973 | 0.693 | 6.119 | |
| PLSR | 10 | 0.926 | 1.234 | 0.892 | 1.205 | 3.083 | ||
| SNV | RF | SVR | 4 | 0.901 | 1.419 | 0.914 | 1.219 | 3.456 |
| PLSR | 7 | 0.859 | 1.663 | 0.885 | 1.443 | 2.999 | ||
| VCPA | SVR | 7 | 0.965 | 0.846 | 0.964 | 0.807 | 5.273 | |
| PLSR | 9 | 0.937 | 1.118 | 0.953 | 0.895 | 4.711 | ||
| VCPA-IRIV | SVR | 6 | 0.984 | 0.565 | 0.960 | 0.768 | 5.071 | |
| PLSR | 9 | 0.901 | 1.401 | 0.909 | 1.200 | 3.376 | ||
| SMOOTH | RF | SVR | 4 | 0.960 | 0.895 | 0.935 | 1.079 | 3.940 |
| PLSR | 8 | 0.827 | 1.854 | 0.761 | 2.100 | 2.076 | ||
| VCPA | SVR | 5 | 0.926 | 1.213 | 0.909 | 1.337 | 3.345 | |
| PLSR | 9 | 0.946 | 1.017 | 0.940 | 1.082 | 4.168 | ||
| VCPA-IRIV | SVR | 4 | 0.901 | 1.419 | 0.914 | 1.219 | 3.456 | |
| PLSR | 10 | 0.921 | 1.267 | 0.907 | 1.258 | 3.335 | ||
| Preprocessing Methods | Data Dimensionality Reduction | Models | PCs | Calibration Set | Prediction Set | RPD | ||
| R2C | RMSEC | R2P | RMSEP | |||||
| MSC | RF | SVR | 9 | 0.990 | 0.622 | 0.959 | 0.948 | 4.938 |
| PLSR | 9 | 0.888 | 1.442 | 0.889 | 1.547 | 3.051 | ||
| VCPA | SVR | 9 | 0.983 | 0.579 | 0.976 | 0.660 | 6.459 | |
| PLSR | 10 | 0.951 | 0.987 | 0.950 | 0.941 | 4.534 | ||
| VCPA-IRIV | SVR | 10 | 0.995 | 0.312 | 0.986 | 0.558 | 8.155 | |
| PLSR | 10 | 0.947 | 1.020 | 0.921 | 1.252 | 3.600 | ||
| SNV | RF | SVR | 9 | 0.989 | 0.480 | 0.962 | 0.851 | 5.008 |
| PLSR | 10 | 0.912 | 1.327 | 0.923 | 1.191 | 3.650 | ||
| VCPA | SVR | 9 | 0.995 | 0.323 | 0.970 | 0.761 | 5.854 | |
| PLSR | 10 | 0.954 | 0.956 | 0.965 | 0.818 | 5.448 | ||
| VCPA-IRIV | SVR | 9 | 0.992 | 0.406 | 0.982 | 0.639 | 6.957 | |
| PLSR | 10 | 0.903 | 1.373 | 0.925 | 1.233 | 3.704 | ||
| SMOOTH | RF | SVR | 8 | 0.981 | 0.623 | 0.950 | 0.942 | 4.530 |
| PLSR | 10 | 0.894 | 1.442 | 0.904 | 1.306 | 3.267 | ||
| VCPA | SVR | 8 | 0.976 | 0.710 | 0.942 | 0.972 | 4.051 | |
| PLSR | 10 | 0.965 | 0.831 | 0.941 | 0.988 | 4.156 | ||
| VCPA-IRIV | SVR | 8 | 0.980 | 0.639 | 0.962 | 0.951 | 4.563 | |
| PLSR | 10 | 0.940 | 1.095 | 0.925 | 1.132 | 3.693 | ||
Disclaimer/Publisher’s Note: The statements, opinions and data contained in all publications are solely those of the individual author(s) and contributor(s) and not of MDPI and/or the editor(s). MDPI and/or the editor(s) disclaim responsibility for any injury to people or property resulting from any ideas, methods, instructions or products referred to in the content. |
© 2023 by the authors. Licensee MDPI, Basel, Switzerland. This article is an open access article distributed under the terms and conditions of the Creative Commons Attribution (CC BY) license (http://creativecommons.org/licenses/by/4.0/).