Submitted:
03 November 2023
Posted:
07 November 2023
You are already at the latest version
Abstract

Keywords:
1. Introduction
2. Results and Discussions
2.1. Crystal Structure

2.2. Magnetic Moments
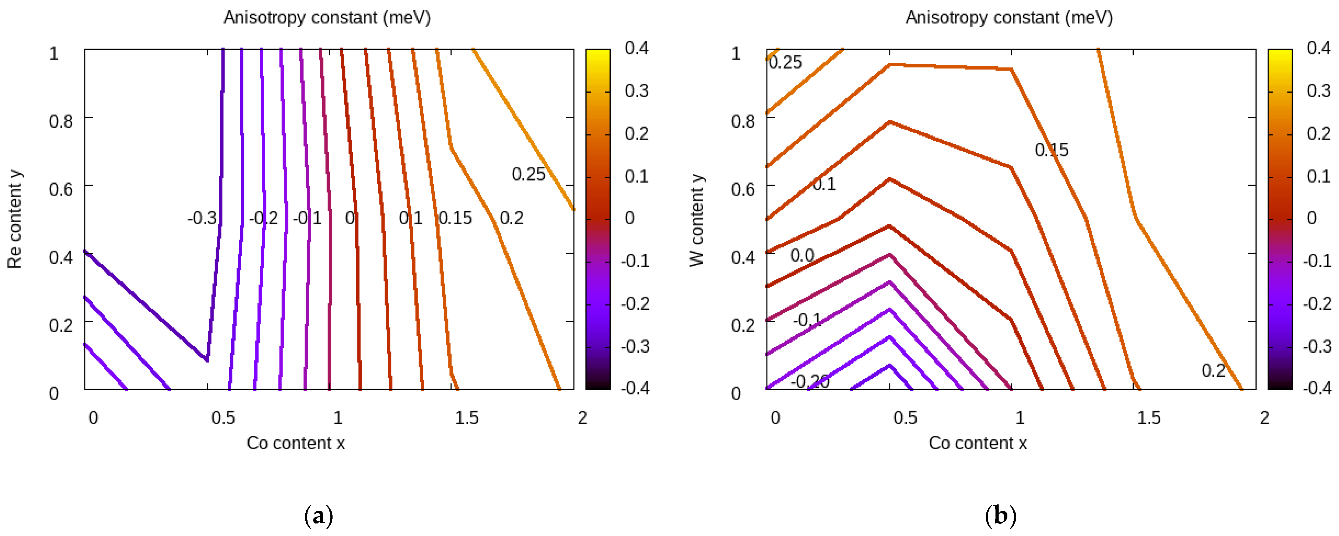
2.3. Magnetic Anisotropy
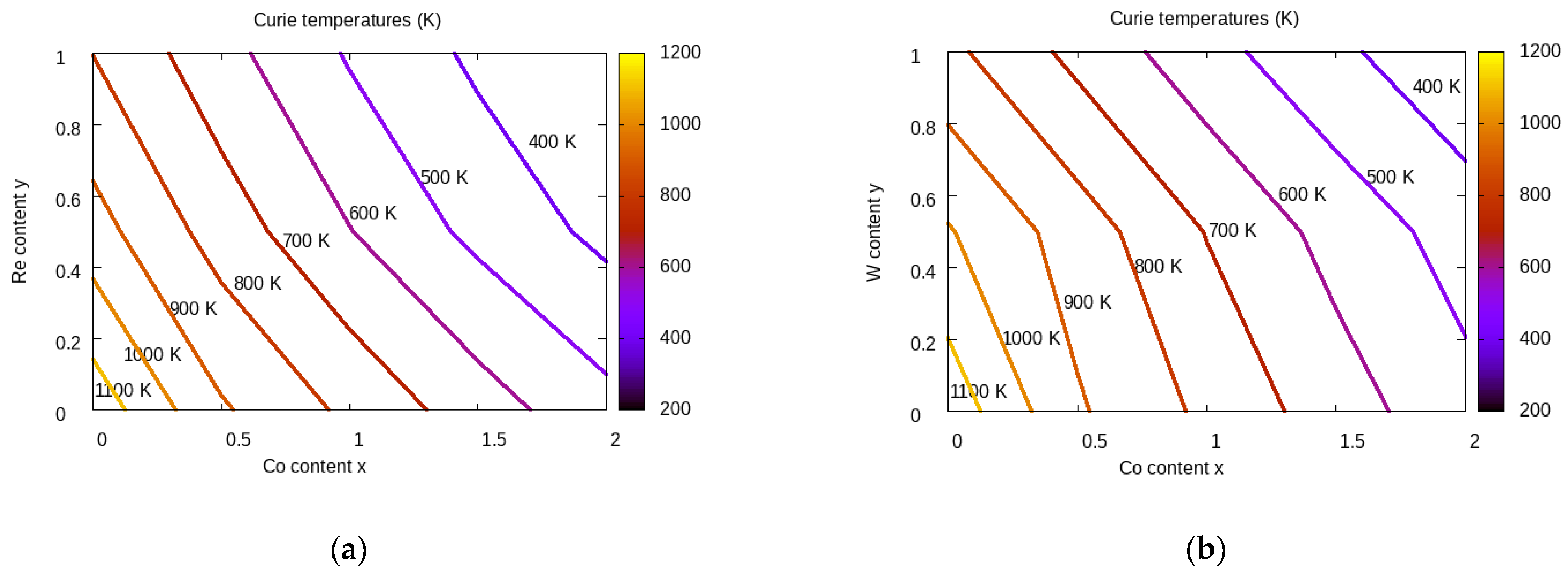
2.4. Curie Temperatures and Exchange-Coupling Parameters
3. Materials and Methods
4. Conclusions
Funding
Data Availability Statement
Conflicts of Interest
References
- Coey: J.M.D.; Perspective and Prospects for Rare Earth Permanent Magnets, Engineering 2020 6 119-131. [CrossRef]
- Mohapatra, J; Liu, J. P.; Rare-Earth-Free Permanent Magnets: The Past and Future. In Handbook of Magnetic Materials ed. Elsevier 2018 27 1-57. [CrossRef]
- Skokov, K. P.; Gutfleisch, O.; Heavy rare earth free, free rare earth and rare earth free magnets - Vision and reality, Scripta Mater. 2018 154 289-294. [CrossRef]
- Cui, J; Kramer, M; Zhou, L; et al, Current progress and future challenges in rare-earth-free permanent magnets, Acta Mater. 2018 158 118-137. [CrossRef]
- Aronsson, B.; Engström, I.; X-ray Investigations on Me-Si-B Systems (Me = Mn, Fe, Co). Acta Chem. Scand, 1960 14 1403.
- Werwiński, M.; Kontos, S.; Gunnarsson, K.; Svedlindh, P.; Cedervall, J.; Höglin, V.; Sahlberg, M.; Edström, A.; Eriksson, O.; Rusz, J.; Magnetic properties of Fe5SiB2 and its alloys with P, S, and Co, Phys. Rev B 2016 93 174412. [CrossRef]
- Cedervall,J.; Kontos, S.; Hansen, T. C.; Balmes, O.; Martinez-Casado, F. J.; Matej, Z.; Beran, P.; Svedlindh, P.; Gunnarsson, K.; Sahlberg, M.; J. Solid State Chem. 2016 235 113-118. [CrossRef]
- Hirian, R.; Isnard, O.; Pop, V.; Benea, D.; Investigations on the magnetic properties of the Fe5-xCoxSiB2 alloys by experimental and band structure calculation methods, J. Magn. Magn. Mater. 2020 505 166748. [CrossRef]
- McGuire, M.A.; Parker, D.S.; Magnetic and structural properties of ferromagnetic Fe5PB2 and Fe5SiB2 and effects of Co and Mn substitutions, J. Appl. Phys. 2015 118 163903. [CrossRef]
- Thakur, J.; Rani, P.; Tomar, M.; Gupta. V.; Kashyap, M. K.; Enhancement of magnetic anisotropy of Fe5PB2 with W substitution: ab-initio study, AIP Conf. Proc. 2019 2093, 020012. [CrossRef]
- Hirian, R.; Pop, V.; Isnard, O.; Benea, D.; Magnetic properties of the (Fe,Co)5SiB2 alloys by W doping, Studia UBB Physica 2022 67 1.
- Benea, D.; Pop, V.; Magnetic Properties of the Fe2B Alloy Doped with Transition Metal Elements, Magnetochemistry 2023 9, 109. [CrossRef]
- Perdew, J.P.; Burke, K.; Ernzerhof, M., Generalized Gradient Approximation Made Simple, Phys. Rev. Lett. 1996 77 3865. [CrossRef] [PubMed]
- Pan, Y.; Guan, W. M.; Exploring the structural stability and mechanical properties of TM5SiB2 ternary silicides, Ceramics International 2018 44 9893. [CrossRef]
- Kokalj, A.; XCrySDen—a new program for displaying crystalline structures and electron densities, J. Mol. Graphics Modelling, 1999, 17, 176-179. [CrossRef]
- Ebert H.; Ködderitzsch, D.; Minar, J., Calculating condensed matter properties using the KKR-Green’s function method—recent developments and applications, Rep. Prog. Phys. 2011 74 096501. [CrossRef]
- Faulkner, J. S.; Stocks, G.M., Calculating properties with the coherent-potential approximation, Phys. Rev. B 1980 21 3222. [CrossRef]
- Vosko, S. H.; Wilk, L.; Nusair, M.; Accurate spin-dependent electron liquid correlation energies for local spin density calculations: a critical analysis, Can. J. Phys. 1980 58 1200. [CrossRef]
- Monkhorst, H.; Pack, J. Special points for Brillouin-zone integrations, Phys. Rev. B 1976 13, 5188. [CrossRef]
- Liechtenstein, A. I.; Katsnelson, M. I.; Antropov, V. P.; Gubanov, V. A., Local spin density functional approach to the theory of exchange interactions in ferromagnetic metals and alloys, J. Magn. Magn. Mater. 1987 67 65-74. [CrossRef]
- Mankovsky, S.; Polesya, S.; Minar, J.; Hoffmann, F.; Back D.H.; Ebert, H., Spin-orbit coupling effect in (Ga, Mn) As films: Anisotropic exchange interactions and magnetocrystalline anisotropy, Phys. Rev. B 2011 84 201201. [CrossRef]
- Nieves, P.; Arapan, S.; Maudes-Raedo, J.; Marticorena-Sánchez, R.; Del Brío, N.L.; Kovacs, A.; Echevarria-Bonet, C.;Salazar, D.; Weischenberg, J.; Zhang, H.; Vekilova, O.Yu.; Serrano-López, R.; Barandiaran, J.M.; Skokov, K.; Gutfleisch, O.; Eriksson, O.; Herper, H.C.; Schrefl, T.; Cuesta-López, S., Database of novel magnetic materials for high-performance permanent magnet development, Comput. Mat. Sci. 2019 168 188-202. [CrossRef]




| SPR-KKR | FPLO [6] |
Neutron diffraction [7] |
|||||||
|---|---|---|---|---|---|---|---|---|---|
| VWN-ASA | GGA-ASA | GGA-FP | GGA-FP | ||||||
| ms(µB) | ml(µB) | ms(µB) | ml(µB) | ms(µB) | ml(µB) | ms(µB) | ml(µB) | mtot(µB) | |
| Fe 4c | 2.20 | 0.05 | 2.35 | 0.05 | 2.08 | 0.05 | 2.24 | 0.05 | 2.31 |
| Fe 16 l | 1.61 | 0.04 | 1.81 | 0.04 | 1.88 | 0.04 | 1.87 | 0.04 | 2.10 |
| Si 4a | -0.14 | - | -0.17 | - | -0.16 | - | -0.25 | - | - |
| B 8h | -0.13 | - | -0.15 | - | -0.14 | - | -0.25 | - | - |
| Total (µB/f.u.) | 8.25 | 0.21 | 9.12 | 0.22 | 9.19 | 0.22 | 8.98 | 0.22 | 10.71 |
| 8.46 | 9.34 | 9.41 | 9.20 | ||||||
| Exp. Ms(µB/f.u.) [7] | 9.35 | ||||||||
| lattice const. a,c (Å) | ms (µB/f.u.) | ml (µB/f.u.) | µ0Ms (T) |
K1 (meV/f.u.) | K1 (MJ/m3) |
κ | Tc (K) | |
|---|---|---|---|---|---|---|---|---|
| Fe4.1W0.9SiB2 | 5.64; 10.47 | 8.14 | 0.23 | 1.17 | 0.24 | 0.46 | 0.65 | 863 |
Disclaimer/Publisher’s Note: The statements, opinions and data contained in all publications are solely those of the individual author(s) and contributor(s) and not of MDPI and/or the editor(s). MDPI and/or the editor(s) disclaim responsibility for any injury to people or property resulting from any ideas, methods, instructions or products referred to in the content. |
© 2023 by the authors. Licensee MDPI, Basel, Switzerland. This article is an open access article distributed under the terms and conditions of the Creative Commons Attribution (CC BY) license (http://creativecommons.org/licenses/by/4.0/).