Submitted:
02 November 2023
Posted:
02 November 2023
You are already at the latest version
Abstract
Keywords:
1. Introduction
2. Experimental
2.1. Materials and Methods
2.2. Syntheses and Crystallization of Compounds Triaz1-Triaz5
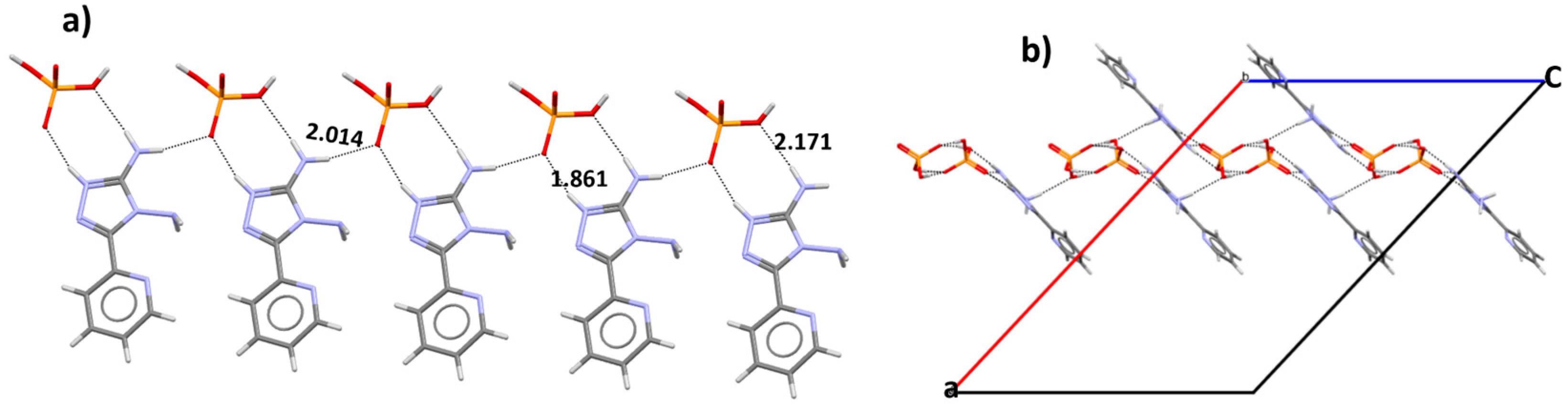
3. Results and discussion
| D—H···A | H···A (Å) | D—H···A (°) | |
|---|---|---|---|
| Triaz3 | N2—H2N···Br1 | 2.47(8) | 155(7) |
| N4—H4A···Br1 | 2.75(4) | 147(6) | |
| N4—H4B···Br1 | 2.63(4) | 157(5) | |
| N5—H5A···Br1 | 2.84(5) | 138(6) | |
| N5—H5A···Br1 | 2.91(6) | 123(6) | |
| N5—H5B···N1 | 2.12(4) | 159(7) | |
| Triaz4 | C1—H1···Br1 | 2.65 | 166.6 |
| N2—H2···N4 | 2.18 | 165.5 | |
| N4—H4A···Br2 | 2.65 | 166.0 | |
| N4—H4B···Br1 | 2.44 | 162.8 | |
| N5—H5A···Br4 | 2.68 | 145.9 | |
| N5—H5B···N7 | 2.18 | 162.8 | |
| N9—H9B···Br4 | 2.94 | 157.6 | |
| N10—H10A···Br4 | 2.80 | 165.8 | |
| N10—H10B···Br3 | 2.73 | 166.3 | |
| N6—H6···N1 | 2.06 | 150.6 | |
| Triaz5 | N1—H1N···Cl1 | 2.775(19) | 132.5(18) |
| N1—H1N···Cl3 | 2.584(18) | 143.2(19) | |
| N4—H4A···Cl2 | 2.880(18) | 142.8(18) | |
| N4—H4B···Cl3 | 2.782(19) | 135.4(18) | |
| N5—H5A···Cl1 | 2.507(18) | 149(2) | |
| N5—H5B···N7 | 2.113(16) | 167(2) | |
| N6—H6N···Cl2 | 2.370(18) | 150(2) | |
| N9—H9B···Cl3 | 2.654(18) | 141.818) | |
| N10—H10A···Cl3 | 2.404(17) | 176(2) | |
| N10—H10B···N2 | 2.63(3) | 113(2) | |
| N10—H10B···Cl4 | 2.586(18) | 158(2) |



4. Conclusions
Supplementary Materials
Author Contributions
Conflict of Interest
References
- Martins, P.; Jesus, J.; Santos, S.; Raposo, L.R.; Roma-Rodrigues, C.; Baptista, P.V.; Fernandes, A.R. Heterocyclic Anticancer Compounds: Recent Advances and the Paradigm Shift towards the Use of Nanomedicine’s Tool Box. Molecules 2015, 20, 16852–16891. [Google Scholar] [CrossRef]
- Heeger, A.J. Semiconducting Polymers: The Third Generation. Chem Soc Rev 2010, 39, 2354–2371. [Google Scholar] [CrossRef]
- Miao, Q. Ten Years of N-Heteropentacenes as Semiconductors for Organic Thin-Film Transistors. Advanced Materials 2014, 26, 5541–5549. [Google Scholar] [CrossRef]
- Argeri, M.; Borbone, F.; Caruso, U.; Causà, M.; Fusco, S.; Panunzi, B.; Roviello, A.; Shikler, R.; Tuzi, A. Color Tuning and Noteworthy Photoluminescence Quantum Yields in Crystalline Mono-/Dinuclear ZnII Complexes. Eur J Inorg Chem 2014, 2014, 5916–5924. [Google Scholar] [CrossRef]
- Fusco, S.; Parisi, E.; Volino, S.; Manfredi, C.; Centore, R. Redox and Emission Properties of Triazolo-Triazole Derivatives and Copper(II) Complexes. J Solution Chem 2020, 49, 504–521. [Google Scholar] [CrossRef]
- Maglione, C.; Carella, A.; Centore, R.; Chávez, P.; Lévêque, P.; Fall, S.; Leclerc, N. Novel Low Bandgap Phenothiazine Functionalized DPP Derivatives Prepared by Direct Heteroarylation: Application in Bulk Heterojunction Organic Solar Cells. Dyes and Pigments 2017, 141, 169–178. [Google Scholar] [CrossRef]
- B. Nielsen, C.; Holliday, S.; Chen, H.-Y.; J. Cryer, S.; McCulloch, I. Non-Fullerene Electron Acceptors for Use in Organic Solar Cells. Acc Chem Res 2015, 48, 2803–2812. [Google Scholar] [CrossRef]
- Klapötke, T.M. Chemistry of High-Energy Materials; 5th ed.; de Gruyter, 2019.
- Klapötke, T.M.; Schmid, Philipp.C.; Schnell, S.; Stierstorfer, J. Thermal Stabilization of Energetic Materials by the Aromatic Nitrogen-Rich 4{,}4′{,}5{,}5′-Tetraamino-3{,}3′-Bi-1{,}2{,}4-Triazolium Cation. J. Mater. Chem. A 2015, 3, 2658–2668. [CrossRef]
- Parisi, E.; Landi, A.; Fusco, S.; Manfredi, C.; Peluso, A.; Wahler, S.; M. Klapötke, T.; Centore, R. High-Energy-Density Materials: An Amphoteric N-Rich Bis(Triazole) and Salts of Its Cationic and Anionic Species. Inorg Chem 2021, 0. [CrossRef] [PubMed]
- Hu, L.; Staples, R.J.; Shreeve, J.M. Energetic Compounds Based on a New Fused Triazolo [4,5-d]Pyridazine Ring: Nitroimino Lights up Energetic Performance. Chemical Engineering Journal 2021, 420, 129839. [Google Scholar] [CrossRef]
- Fusco, S.; Parisi, E.; Carella, A.; Capobianco, A.; Peluso, A.; Manfredi, C.; Borbone, F.; Centore, R. Solid State Selection between Nearly Isoenergetic Tautomeric Forms Driven by Right Hydrogen-Bonding Pairing. Cryst Growth Des 2018, 18, 6293–6301. [Google Scholar] [CrossRef]
- Fusco, S.; Parisi, E.; Volino, S.; Manfredi, C.; Centore, R. Redox and Emission Properties of Triazolo-Triazole Derivatives and Copper(II) Complexes. J Solution Chem 2020, 49, 504–521. [Google Scholar] [CrossRef]
- Pagacz-Kostrzewa, M.; Bil, A.; Wierzejewska, M. UV-Induced Proton Transfer in 3-Amino-1,2,4-Triazole. J Photochem Photobiol A Chem 2017, 335, 124–129. [Google Scholar] [CrossRef]
- Parisi, E.; Capasso, D.; Capobianco, A.; Peluso, A.; Di Gaetano, S.; Fusco, S.; Manfredi, C.; Mozzillo, R.; Pinto, G.; Centore, R. Tautomeric and Conformational Switching in a New Versatile N-Rich Heterocyclic Ligand. Dalton Transactions 2020, 49, 14452–14462. [Google Scholar] [CrossRef]
- Parisi, E.; Centore, R. Stabilization of an Elusive Tautomer by Metal Coordination. Acta Crystallographica Section C 2021, 77, 395–401. [Google Scholar] [CrossRef] [PubMed]
- Capobianco, A.; Di Donato, M.; Caruso, T.; Centore, R.; Lapini, A.; Manfredi, C.; Velardo, A.; Volino, S.; Peluso, A. Phototautomerism of Triazolo-Triazole Scaffold. J Mol Struct 2020, 1203. [Google Scholar] [CrossRef]
- Sutradhar, M.; Alegria, E.C.B.A.; Mahmudov, K.T.; Guedes Da Silva, M.F.C.; Pombeiro, A.J.L. Iron(III) and Cobalt(III) Complexes with Both Tautomeric (Keto and Enol) Forms of Aroylhydrazone Ligands: Catalysts for the Microwave Assisted Oxidation of Alcohols. RSC Adv 2016, 6, 8079–8088. [Google Scholar] [CrossRef]
- Parisi, E.; Carella, A.; Borbone, F.; Chiarella, F.; Gentile, F.S.; Centore, R. Effect of Chalcogen Bonding on the Packing and Coordination Geometry in Hybrid Organic–Inorganic Cu(Ii) Networks. CrystEngComm 2022, 24, 2884–2890. [Google Scholar] [CrossRef]
- Gentile, F.S.; Parisi, E.; Centore, R. Journeys in Crystal Energy Landscapes: Actual and Virtual Structures in Polymorphic 5-Nitrobenzo [c] [1,2,5]Thiadiazole. CrystEngComm 2023, 25, 859–865. [Google Scholar] [CrossRef]
- Centore, R.; Borbone, F.; Carella, A.; Causà, M.; Fusco, S.; Gentile, F.S.; Parisi, E. Hierarchy of Intermolecular Interactions and Selective Topochemical Reactivity in Different Polymorphs of Fused-Ring Heteroaromatics. Cryst Growth Des 2020, 20, 1229–1236. [Google Scholar] [CrossRef]
- Fusco, S.; Capasso, D.; Centore, R.; Di Gaetano, S.; Parisi, E. A New Biologically Active Molecular Scaffold: Crystal Structure of 7-(3-Hydroxyphenyl)-4-Methyl-2H- [1,2,4]Triazolo [3,2-c] [1,2,4]Triazole and Selective Antiproliferative Activity of Three Isomeric Triazolo-Triazoles. Acta Crystallogr C Struct Chem 2019, 75, 1398–1404. [Google Scholar] [CrossRef] [PubMed]
- Centore, R.; Carella, A.; Fusco, S. Supramolecular Synthons in Fluorinated and Nitrogen-Rich Ortho-Diaminotriazoles. Struct Chem 2011, 22, 1095–1103. [Google Scholar] [CrossRef]
- Centore, R.; Fusco, S.; Capobianco, A.; Piccialli, V.; Zaccaria, S.; Peluso, A. Tautomerism in the Fused N-Rich Triazolotriazole Heterocyclic System. European J Org Chem 2013, 3721–3728. [Google Scholar] [CrossRef]
- Li, Z.; Zhang, J.; Cui, Y.; Zhang, T.; Shu, Y.; Sinditskii, V.P.; Serushkin, V. V; Egorshin, V.Yu. A Novel Nitrogen-Rich Cadmium Coordination Compound Based on 1,5-Diaminotetrazole: Synthesis, Structure Investigation, and Thermal Properties. J Chem Eng Data 2010, 55, 3109–3116. [Google Scholar] [CrossRef]
- Emilsson, K.; Selander, L.H. Bho. European Journal Medicinal Chemistry 1986, 21, 235. [Google Scholar]
- Trust, R.I.; Albright, J.D.; Lovell, F.M.; Perkinson, N.A. 6- and 7-Aryl-1,2,4-Triazolo [4,3-b]-1,2,4-Triazines. Synthesis and Characterization. J Heterocycl Chem 1979, 16, 1393–1403. [Google Scholar] [CrossRef]
- Bruker-Nonius (2002) . SADABS, Bruker-Nonius, Delft, The Netherlands.
- Altomare, A.; Burla, M.C.; Camalli, M.; Cascarano, G.L.; Giacovazzo, C.; Guagliardi, A.; Moliterni, A.G.G.; Polidori, G.; Spagna, R. SIR97: A New Tool for Crystal Structure Determination and Refinement. J Appl Crystallogr 1999, 32, 115–119. [Google Scholar] [CrossRef]
- Sheldrick, G.M. Crystal Structure Refinement with SHELXL. Acta Crystallogr C Struct Chem 2015, 71, 3–8. [Google Scholar] [CrossRef]
- Farrugia, L.J. WinGX and ORTEP for Windows: An Update. J Appl Crystallogr 2012, 45, 849–854. [Google Scholar] [CrossRef]
- Macrae, C.F.; Bruno, I.J.; Chisholm, J.A.; Edgington, P.R.; McCabe, P.; Pidcock, E.; Rodriguez-Monge, L.; Taylor, R.; Van De Streek, J.; Wood, P.A. Mercury CSD 2.0 - New Features for the Visualization and Investigation of Crystal Structures. J Appl Crystallogr 2008, 41, 466–470. [Google Scholar] [CrossRef]
- Spackman, M.A.; Jayatilaka, D. Hirshfeld Surface Analysis. CrystEngComm 2009, 11, 19–32. [Google Scholar] [CrossRef]
- Lieber, Eugene.; B. L. Smith, G. The Chemistry of Aminoguanidine and Related Substances. Chem Rev 2002, 25, 213–271. [CrossRef]
- Kennedy, A.R.; Khalaf, A.I.; Suckling, C.J.; Waigh, R.D. Methyl 2-Amino-5-Isopropyl-1,3-Thiazole-4-Carboxylate. Acta Crystallographica Section E 2004, 60, o1510–o1512. [Google Scholar] [CrossRef]
- Stierstorfer, J.; Tarantik, K.R.; Klapötke, T.M. New Energetic Materials: Functionalized 1-Ethyl-5-Aminotetrazoles and 1-Ethyl-5-Nitriminotetrazoles. Chemistry – A European Journal 2009, 15, 5775–5792. [Google Scholar] [CrossRef] [PubMed]
- Wang, C.; Hu, S.; Sun, C.C. Expedited Development of a High Dose Orally Disintegrating Metformin Tablet Enabled by Sweet Salt Formation with Acesulfame. Int J Pharm 2017, 532, 435–443. [Google Scholar] [CrossRef]
- Kaynak, F.B.; Eriksson, L.; Salgın-Gökşen, U.; Gökhan-Kelekçi, N. Molecular Structure of 2-Methylamino-5- [(5-Methyl-2-Benzoxazolinone-3-Yl)Methyl]-1,3,4-Thiadiazole Dihydrophosphate: A Combined X-Ray Crystallographic and Ab Initio Study. Struct Chem 2008, 19, 757–764. [Google Scholar] [CrossRef]
- Matulková, I.; Fábry, J.; Eigner, V.; Dušek, M.; Kroupa, J.; Němec, I. Isostructural Crystals of Bis(Guanidinium) Trioxofluoro-Phosphate/Phosphite in the Ratio 1/0, 0.716/0.284, 0.501/0.499, 0.268/0.732, 0/1—Crystal Structures, Vibrational Spectra and Second Harmonic Generation. Crystals (Basel) 2022, 12. [Google Scholar] [CrossRef]
- Radanović, M.M.; Rodić, M. V; Armaković, S.; Armaković, S.J.; Vojinović-Ješić, L.S.; Leovac, V.M. Pyridoxylidene Aminoguanidine and Its Copper(II) Complexes – Syntheses, Structure, and DFT Calculations. J Coord Chem 2017, 70, 2870–2887. [Google Scholar] [CrossRef]








| Triaz1 | Triaz2 | Triaz3 | Triaz4 | Triaz5 | |
|---|---|---|---|---|---|
| Chemical Formula | C6H7N7 | C7H9N6·H2O4P | C2H6N5·Br | 2(C2H6N5)·Br4Zn | 2(C2H6N5)·Cl4Zn |
| Mr | 177.19 | 274.19 | 180.03 | 585.25 | 407.41 |
| Crystal system space group | Monoclinic, P21/c | Monoclinic, C2/c | Monoclinic, Cc | Monoclinic, Pc | Orthorhombic, Pbca |
| Temperature (K) | 293 | 293 | 293 | 173 | 173 |
| a, b, c (Å) | 7.435 (3), 9.067 (3), 11.465 (4) | 26.400 (7), 6.244 (3), 18.701 (6) | 5.0140 (17), 15.288 (3), 7.937 (2) | 7.539 (3), 12.059 (4), 11.144 (3) | 16.9130 (17), 8.348 (4), 21.356 (8) |
| α, β, γ (°) | 90, 106.98 (2), 90 | 90, 133.01 (2), 90 | 90, 99.33, 90 | 90, 129.48 (2), 90 | 90, 90, 90 |
| V(Å3) | 739.2 (5) | 2254.3 (15) | 600.4 (3) | 782.0 (5) | 3015.2 (18) |
| Z | 4 | 8 | 4 | 2 | 8 |
| Radiation type | Mo Kα | ||||
| m (mm-1) | 0.11 | 0.26 | 6.75 | 11.79 | 2.34 |
| Crystal size (mm) | 0.40 × 0.10 × 0.03 | 0.40 × 0.30 × 0.20 | 0.35 × 0.20 × 0.20 | 0.35 × 0.20 × 0.15 | 0.45 × 0.30 × 0.30 |
| Diffractometer | Bruker-Nonius KappaCCD | ||||
| Absorption correction |
Multi-scan SADABS (Bruker, 2001) |
||||
| Tmin, Tmax | 0.940, 0.980 | 0.890, 0.936 | 0.190, 0.327 | 0.112, 0.259 | 0.410, 0.528 |
| I> 2σ(I)] | 4695, 1677, 1203 | 10432, 2582, 2015 | 1562, 1112, 1070 | 4720, 3082, 2918 | 11619, 3392, 2787 |
| Rint | 0.042 | 0.038 | 0.022 | 0.050 | 0.031 |
| sin (θ/λ)max (Å−1) | 0.650 | ||||
| R[F2>2σ(F2)], wR(F2), S | 0.043, 0.110, 1.03 | 0.042, 0.102, 1.07 | 0.024, 0.061, 1.03 | 0.044, 0.119, 1.06 | 0.025, 0.054, 1.08 |
| No. of reflections | 1677 | 2582 | 1112 | 3082 | 3392 |
| No. of parameters | 130 | 184 | 92 | 168 | 202 |
| No. of restraints | 0 | 0 | 6 | 2 | 10 |
| Δρmax, Δρmin (e Å−3) | 0.18, −0.24 | 0.27, −0.31 | 0.50, −0.49 | 1.27, −1.36 | 0.32, −0.38 |
| Absolute structure | Flack x determined using 397 quotients [(I+)-(I-)]/ [(I+)+(I-)] | Refined as an inversion twin. | |||
| Absolute structure parameter | 0.065 (18) | 0.05 (3) | |||
Disclaimer/Publisher’s Note: The statements, opinions and data contained in all publications are solely those of the individual author(s) and contributor(s) and not of MDPI and/or the editor(s). MDPI and/or the editor(s) disclaim responsibility for any injury to people or property resulting from any ideas, methods, instructions or products referred to in the content. |
© 2023 by the authors. Licensee MDPI, Basel, Switzerland. This article is an open access article distributed under the terms and conditions of the Creative Commons Attribution (CC BY) license (http://creativecommons.org/licenses/by/4.0/).
