Preprint
Article

This version is not peer-reviewed.

Research on Effective Thermal Conductivity in Porous Media with Randomly Distributed Damaged Tree-Like Bifurcation Networks

A peer-reviewed article of this preprint also exists.

Submitted:

27 October 2023

Posted:

27 October 2023

You are already at the latest version

Abstract
Due to the complexity of the microstructure of porous media, it is of great significance to explore the heat transport mechanism in porous media in many engineering applications. In this study, an expression for effective thermal conductivity(ETC) of porous media with randomly distributed damaged tree-like bifurcation networks is derived based on the theory of thermodynamics and fractal features of tree-like bifurcation networks. We investigate the effect of heat conduction and heat convection in porous media with randomly distributed damaged tree-like bifurcation networks on the ETC of the porous media. It is found that our fractal model is in good consistency with the existing available experimental data. In addition, the influence of the micro-structural parameters of the model on heat transfer in the porous media have been analyzed in detail. The research results can provide significant theoretical guidance for the development and design of heat transfer systems.
Keywords: 
;  ;  ;  

1. Introduction

The ETC is an important parameter to quantify the heat transfer characteristics in porous media. The prediction of the ETC of porous media is widely used in thermoelectric materials, porous building materials, the chemical industry, petroleum exploitation, and other fields [1,2,3,4,5,6]. It is well known that porous media is usually composed of pore space and solid matrix, and its microstructure is extremely complex and disordered. Therefore, it is difficult to describe it with a conventional way. The fractal geometry theory can be used to characterize the pore characteristics of porous media when the microstructure of porous media has self-similar characteristics [7] and provides a new idea to explore the transport problem in complex and disordered porous media [8,9,10]. At present, many scholars have used fractal theory to explore gas flow [11,12,13], gas diffusion [14,15,16] and seepage characteristics [17,18,19] in porous media. Furthermore, heat transfer in porous media can also be studied by fractal geometry theory [20,21,22]. For example, Xiao [23] proposed an ETC model with microscale effect based on the fractal characteristics of porous media. Shen et al. [24] established an equivalent ETC model of three-phase unsaturated porous media based on fractal theory by using thermoelectric simulation and capillary bundle model, and discussed the influence mechanism of liquid saturation and porosity on the ETC of porous media.
Due to the unique transport characteristics of the tree-like bifurcation network structure, it has attracted the interest and attention of a large number of scholars, and it has been widely used in related practical applications, such as microelectronic chip cooling systems and production engineering etc. [25,26] Chen and Cheng [27] discussed the difference between traditional parallel pipes and rectangular tree-like bifurcation networks in the process of heat convection by comparing them. They found that, compared with the traditional parallel pipes, the rectangular tree-like bifurcation networks can significantly improve the heat dissipation performance of the pipes. Based on the self-similarity characteristics of tree-like bifurcation networks, Yu and Li [28] studied the ETC of composites embedded with tree-like bifurcation networks. The results show that the ETC of each component embedded in the tree-like bifurcation networks have a significant influence on the ETC of the composite. Based on the fractal characteristics of pore diameter and crack size, Zhang et al. [29] derived the expression of ETC of saturated dual porous media. However, the above research only focuses on the symmetric tree-like bifurcation networks and does not involve the damage of branches in the tree-like bifurcation networks. Miao et al. [30] based on the fractal self-similarity of the tree-like bifurcation networks, studied the heat transport and fluid flow. Based on the research of Miao et al. [28], Xiao et al. [31] studied the effect of the roughness of the pore surface on the ETC of the damaged tree-like bifurcation networks. The model considered the effects of roughness and damaged structure of the pipeline on ETC, but the effects of heat convection caused by liquid flow are not considered. On this basis, Shao et al. [32] proposed a ETC model of porous media embedded with a damaged tree-like branching network considering the influence of roughness based on the characteristics of damaged tree-like bifurcation networks and the effects of heat convection and heat conduction on the ETC of porous media are analyzed respectively. The model assumed that a single damaged tree-like bifurcation network is embedded in the porous media. However, in reality, porous medium are usually composed of tree-like bifurcation networks that conform to fractal scale distribution. Xia et al. [33] studied the influence of heat convection caused by liquid flow on ETC by establishing the joint expression of heat conduction and heat convection in a tree branch network with rough surfaces. But the damage of branches in the tree-like bifurcation networks is not taken into account in this study.
In the above briefly literature research, the current research on the damaged tree-like bifurcation network did not consider the pore structure of the main pipe with random distribution, and the research considering the randomly distributed structure did not meditate the effect of heat convection caused by fluid flow on the ETC. As a result, we will talk about heat conduction and heat convection in the composite, which is made up of porous media that has bifurcation networks that resemble damaged trees and are scattered at random. A fractal model of ETC will be built and the influence of microstructural parameters of the composite on thermal transport will be studied. The result can help in understanding the heat transfer mechanism of porous medium with the damaged tree-like bifurcation networks.

2. Fractal Characteristics of Porous Media

The primary objective of this study is to develop a mathematical model that accurately represents ETC of porous media with randomly distributed damaged tree-like bifurcation networks. It is postulated that a significant quantity of impaired tree-like bifurcation networks are uniformly dispersed inside porous media, with the primary diameters of said networks following the principles of fractal scaling. Refer to Figure 1(a).
Therefore, the total number N of tree-like bifurcation networks with the diameter scale L larger than or equal to the diameter of main channel d 0 can be expressed as [8]:
N L d 0 = d 0 m a x d D f
where d 0 m a x is the maximum diameter of the main channels, and D f is fractal dimension of the main channels. The D f can be obtained by [8]:
D f = D E ln ϕ f ln d 0 m i n / d 0 m a x
where ϕ f is areal porosity, d 0 m i n is the minimum diameter of the main channels, D E is Euclidean dimension. D E = 2 in two-dimensional space and D E = 3 in three-dimensional space. Since there are many tree-like bifurcation networks in the porous media, Eqs. (1) can be regarded as a continuous and differentiable function. The number of main channels with sizes ranging from d 0 to d 0 + d can be calculated by differentiating with d 0 based on Eqs. (1) [8,9,10]:
d N = D f d 0 m a x D f d 0 D f + 1 d d 0
where d N > 0 , the negative sign of the Eqs. (3) indicates that the number of main channels decreases with the increase of the diameter of main channels. Therefore, when d 0 is equal to the minimum diameter of the main channels, the total number of main channels in porous media can be expressed as [8]:
N t L d 0 m i n = d 0 m a x d 0 m i n D f
Dividing Eqs. (3) by Eqs. (4), we have [8,9,10]:
d N / N t = D f d 0 m i n D f d 0 D f + 1 d d 0 = f d 0 d d 0
where f d 0 is the probability function for pore size distribution and can be given by [8]:
f d 0 = D f d 0 m i n D f d 0 D f + 1
According to the basic theory of probability theory, Eq. (6) should meet the normalization condition, please see Ref [18].
Eqs. (1)-(6) describes randomly fractal distribution of tree-like bifurcation networks shown in Figure 1(a). In the following, we will introduce geometric structure of the single damaged tree-like bifurcation network (see Figure 1(b)), which is made up of "point to line" Y-shaped networks. In our model, we suppose that each branch in the bifurcation networks is regarded as a cylindrical tube, and the roughness and the thickness of the tube wall are ignored [26]. Figure 1(b) illustrates the utilization of l k and d k to denote the length and diameter, respectively, of the kth branching level (where k ranges from 0 to m).The network bifurcation number, denoted as m, represents the maximum number of branches that occur in a network. At each level of the network, every tube undergoes a bifurcation, resulting in the formation of n new tubes. In order to elucidate the geometric configuration of a bifurcation network resembling that of a tree. Next, we proceed to present two scale variables, namely the length ratio α and the diameter ratio β [34].
α = l k + 1 l k
β = d k + 1 d k
So we obtain:
l k = l 0 α k
d k = d 0 β k
where l 0 and d 0 are the length and diameter of the 0th branching level, respectively.
In order to consider an asymmetric tree-like bifurcation network, we assume that p channels of the kth branching level have been damaged, but the other parts of the network are intact. For example, If a branch of the tree-like bifurcation network is damaged in Figure 1(b), the damaged part will not generate new branches and the undamaged part will not be affected.
These equations above provide a theoretical basis for the analysis of heat transfer in the porous media with randomly distributed damaged tree-like bifurcation networks.

3. Fractal Model of Effective Thermal Conductivity of Porous Media

3.1. The effective Thermal Conductivity of Heat Conduction

In general, the heat transport process in the damaged tree-like bifurcation networks is different from that in the symmetric tree-like bifurcation networks.
According to the Fourier’s law and the thermal-electrical analogy technique, for a single damaged tree-like bifurcation network, the thermal resistance of the damaged tree-like bifurcation network can be written as [32]:
r k = 4 l 0 λ l π d 0 2 { 1 α / n β 2 k + ( α / n β 2 ) k 1 n k P 1 ( α / n β 2 ) m k + 1 } ( 1 α / n β 2 )
where λ l , is the thermal conductivity of the fluid, n is the branching number of the tree-like branching network, m is total numbers of branching levels, P is the numbers of damaged channels. With the help of Eqs. (4) and (11), the reciprocal of total thermal resistance of the entire randomly distributed damaged tree-like bifurcation networks can be calculated by the following relation.
1 R k = d 0 m i n d 0 m a x 1 r k   dN = λ l π d 0 m a x 2 D f ( 1 φ f ) 4 l 0 ( 2 D f ) ( 1 α / n β 2 ) { 1 α / n β 2 k + ( α / n β 2 ) k 1 n k P 1 ( α / n β 2 ) m k + 1 }
Then, the equivalent length of a single damaged tree-like bifurcation network, l e , can be written as [32]:
l e = k = 0 m l k = l 0 1 α m + 1 1 α
The total volume of the a single damaged tree-like bifurcation network, V , can be expressed as [32]:
V = i = 0 k 1 n i V i + i = k m n i n i k p V i = π d 0 2 l 0 4 1 n β 2 α k 1 n β 2 α + π d 0 2 l 0 4 n β 2 α k 1 n k P 1 n β 2 α m k + 1 1 n β 2 α = π d 0 2 l 0 4 1 n β 2 α k + n β 2 α k 1 n k P [ 1 n β 2 α m k + 1 ] ( 1 n β 2 α )
where V i is the volume of the single pipe in ith branching level. In the present study, we consider the singularly impaired tree-like bifurcation network as an exemplary model characterized by a solitary conduit exhibiting a consistent volume. The ETC of the single channel that is equivalent to the entire network is equivalent to the ETC of the entire network. Hence, utilizing Equations (13) and (14), the effective cross-sectional area of the individual tree-like bifurcation network, denoted as a e , can be determined [32]:
a e = V l e = π d 0 2 4 1 α 1 α m + 1 1 n β 2 α k + n β 2 α k 1 n k P [ 1 n β 2 α m k + 1 ] ( 1 n β 2 α )
Due to the distribution of the diameter of main pipes conforms to the fractal scaling law, the effective cross-sectional area of the total porous media can be calculated from Eqs. (2), (4) and (15):
A e = d 0 m i n d 0 m a x a e   dN = π D f d 0 m a x 2 ( 1 φ f ) 4 ( 2 D f ) 1 α 1 α m + 1 1 n β 2 α k + n β 2 α k 1 n k P [ 1 n β 2 α m k + 1 ] ( 1 n β 2 α )
When m=0, n=0 and p=0, the effective cross-sectional area is equal to total cross-sectional area of main channels, A 0 ,:
A 0 = π D f d 0 m a x 2 ( 1 φ f ) 4 ( 2 D f )
The area of the complete cross-section of the media, A, according to the notion of porosity, A a , is determined by:
A a = A 0 φ f = π D f d 0 m a x 2 ( 1 φ f ) 4 ( 2 D f ) φ f
Likely, the thermal resistance of the media matrix of porous media, R s , is given Fourier’s law by can be as follow:
R s = l e A a λ s 1 φ f
where λ s is the thermal conductivity of the media matrix.
According to the Fourier’s law, the ETC of the randomly distributed damaged tree-like bifurcation network part, K d , 1 , and the ETC of the media matrix part, K d , 2 , can be respectively described as [32]:
K d , 1 = l e A a R k
K d , 2 = l e A a R s
Based on Fourier's law and the series-parallel model, the ETC of porous media with randomly distributed damaged tree-like bifurcation networks, K d , can be composed of the randomly distributed damaged tree-like bifurcation network part, K d , 1 , and the media matrix part, K d , 2 , which can be described as [32]:
K d = K d , 1 + K d , 2 = l e A a 1 R k + 1 R s
Inserting Eqs. (12), (13), (18) and (19) into Eqs. (22), the ETC of porous media with randomly distributed damaged tree-like bifurcation networks, K d , can be calculated as:
K d = 1 α m + 1 1 α λ l φ f ( 1 α / n β 2 ) 1 α / n β 2 k + α / n β 2 k 1 n k P 1 α / n β 2 m k + 1 + λ s ( 1 φ f )

3.2. The effective thermal Conductivity of Heat Convection

The derivation of the ETC of porous media with randomly distributed damaged tree-like bifurcation networks is presented in Section 3.1. However, the convective heat transfer between the fluid and the wall is a significant factor in the process of heat transport within porous media. This section primarily focuses on the determination of the ETC associated with heat convection K c v .
According to Chen and Cheng [27], The fluid dynamics within the tree-like bifurcation networks exhibit laminar flow, and it is seen that the Nusselt number remains constant across each layer. Therefore, the coefficient of heat convection, H r , can be expressed as [27]:
H r = N u λ l d
The characteristic length of the pipe, denoted as d , is equivalent to the diameter of the pipe. N u is the Nusselt number which means the ratio of heat convection to heat conduction. Therefore, the heat convection coefficient of the i th branching level of the tree-like bifurcation network, H i , can be obtained as [27]:
H i = H 0 β i
where H 0 is the heat convection coefficient of the single main pipe of the tree-like bifurcation network, which can be written as [27]:
H 0 = N u λ l d 0
where d 0 is the diameter of the 0th branching level. According to Newton cooling formula, the flow of the heat convection of a single main pipe, q 0 , can be written as:
q 0 = H 0 s s , 0 Δ T
where Δ T is temperature difference. s s , 0 is the heat convection area of a single main pipe of the tree-like bifurcation network, which can be determined by:
s s , 0 = π d 0 l 0
where l 0 is the length of the 0th branching level. According to Chen and Cheng [25] the temperature difference between tree-like bifurcation networks at different levels is invariable. Then, by means of Eqs. (25), (26), (27) and (28), the flow of the heat convection of the undamaged part of the single damaged tree-like bifurcation network before the kth branching level, Δ q 1 , a , can be modified as [32]:
Δ q 1 , a = i = 0 k 1 n i H i s s , i Δ T = π d 0 l 0 H 0 Δ T i = 0 k 1 n i β i α i β i = N u π λ l l 0 1 ( n α ) k 1 n α Δ T
where s s , i is the heat convection area of the i th branching level in the tree-like bifurcation network.
Likely, the flow of the heat convection of the damaged part of a single damaged tree-like bifurcation network, Δ q 2 , a , can be modified as [32]:
Δ q 2 , a = i = k m n i n i k p H i s s , i Δ T = π d 0 l 0 H 0 Δ T i = k m n i n i k p β i α i β i = N u π λ l l 0 ( n α ) k ( 1 n k P ) 1 ( n α ) m k + 1 1 n α Δ T
With the aid of Eqs. (29) and (30), the flow of the heat convection of a single damaged tree-like bifurcation network with smooth surfaces, q a , can be calculated as [32]:
q a = Δ q 1 , a + Δ q 2 , a = i = 0 k 1 n i H i s s , i Δ T + i = k m n i n i k p H i s s , i Δ T = π d 0 l 0 H 0 Δ T i = 0 k 1 n i β i α i β i + π d 0 l 0 H 0 Δ T i = k m n i n i k p β i α i β i = N u π λ l l 0 1 ( n α ) k 1 n α Δ T + N u π λ l l 0 ( n α ) k ( 1 n k P ) 1 ( n α ) m k + 1 1 n α Δ T
Similarly, the heat convection area of the undamaged part of a single damaged tree-like bifurcation network before the kth branching level, Δ S 1 , a , is:
Δ S 1 , a = i = 0 k 1 n i s s , i = π d 0 l 0 i = 0 k 1 n i α i β i = π d 0 l 0 1 ( n α β ) k 1 n α β
The heat convection area of the damaged part of a single damaged tree-like bifurcation network, Δ S 2 , a , is:
Δ S 2 , a = i = k m n i n i k p s s , i = π d 0 l 0 i = k m n i n i k p α i β i = π d 0 l 0 ( n α β ) k ( 1 n k P ) 1 ( n α β ) m k + 1 1 n α β
The calculation of the heat convection area of a single damaged tree-like bifurcation network, denoted as S a , may be performed using equations (32) and (33).
S a = Δ S 1 , a + Δ S 2 , a = i = 0 k 1 n i s s , i + i = k m n i n i k p s s , i = π d 0 l 0 i = 0 k 1 n i α i β i + π d 0 l 0 i = k m n i n i k p α i β i = π d 0 l 0 1 ( n α β ) k 1 n α β + π d 0 l 0 ( n α β ) k ( 1 n k P ) 1 ( n α β ) m k + 1 1 n α β
Based on the fractal scaling law of the diameter distribution of the main pipes, the total heat flow Q c v and the total heat convection area, S c v , can be obtained by respectively integrating the individual heat flow, q a , and the individual heat convection area, S a .
Q c v = d 0 m i n d 0 m a x q a   dN = d 0 m i n d 0 m a x Nu π λ l l 0 1 ( n α ) k 1 n α Δ T + Nu π λ l l 0 ( n α ) k ( 1 - n k P ) 1 ( n α ) m k + 1 1 n α Δ T   dN = N u π λ l l 0 1 ( n α ) k 1 n α + ( n α ) k ( 1 n k P ) 1 ( n α ) m k + 1 1 n α d 0 m a x D f ( d 0 m i n D f - d 0 m a x D f ) Δ T
S c v = d 0 m i n d 0 m a x S a   dN = d 0 m i n d 0 m a x π d 0 l 0 1 ( n α β ) k 1 n α β + π d 0 l 0 ( n α β ) k ( 1 - n k P ) 1 ( n α β ) m k + 1 1 n α β   dN = π l 0 D f D f 1 1 ( n α β ) k 1 n α β + ( n α β ) k ( 1 n k P ) 1 ( n α β ) m k + 1 1 n α β d 0 m a x D f ( d 0 m i n 1 D f - d 0 m a x 1 D f )
According to Fourier’s law, the thermal conductivity of heat convection caused by fluid flow in the porous media, k c v , is [32]:
k c v = Q c v S c v Δ T δ T
where δ T is the thickness of the thermal boundary layer of thermal convection caused by fluid flow is mainly related to the characteristics of the fluid.
Inserting Eqs. (35) and (36) into Eqs. (37), the thermal conductivity of heat convection caused by fluid flow in the porous media, k c v , is:
k c v = N u δ T λ l 1 n α β 1 n α 1 ( n α ) k + ( n α ) k ( 1 n k P ) [ 1 ( n α ) m k + 1 ] 1 ( n α β ) k + ( n α β ) k ( 1 n k P ) [ 1 ( n α β ) m k + 1 ] D f 1 D f ( d 0 m i n ) 1 1 ( d 0 m i n d 0 m a x ) D f 1 ( d 0 m i n d 0 m a x ) D f 1
According to the research of YU et al [10], only when ( d 0 m i n d 0 m a x ) D f = 0 , the diameter of the main channels of damaged tree-like bifurcation networks, d 0 , conforms to fractal scaling law. Therefore, the thermal conductivity of heat convection caused by fluid flow in the porous media k c v can be simplified as:
k c v = N u δ T λ l 1 n α β 1 n α 1 ( n α ) k + ( n α ) k ( 1 n k P ) [ 1 ( n α ) m k + 1 ] 1 ( n α β ) k + ( n α β ) k ( 1 n k P ) [ 1 ( n α β ) m k + 1 ] D f 1 D f ( d 0 m i n ) 1 1 1 ( d 0 m i n d 0 m a x ) D f 1
The average diameter, d 0 , ¯ of the main channels of randomly distributed tree-like bifurcation networks can be obtained from Eqs. (6) [33]:
d 0 ¯ = d 0 m i n d 0 m a x d 0 f d 0 d d 0 = D f D f 1 d 0 m i n 1 d 0 m i n d 0 m a x D f 1
Inserting Eqs. (40) into Eqs. (39), the thermal conductivity of heat convection caused by fluid flow in the porous media can be simplified again as:
k c v = N u δ T λ l 1 n α β 1 n α 1 ( n α ) k + ( n α ) k ( 1 n k P ) [ 1 ( n α ) m k + 1 ] 1 ( n α β ) k + ( n α β ) k ( 1 n k P ) [ 1 ( n α β ) m k + 1 ] 1 d 0 ¯

3.3. The total effective thermal Conductivity of Porous Media

The construction of the thermal conductivity model for heat conduction and the thermal conductivity model for heat convection in porous media was carried out in sections 3.1 and 3.2, respectively. The present study posits that the heat transfer process in tree-like bifurcation networks is facilitated by both heat conduction and heat convection. In other words, the expression for the ETC of porous media including randomly distributed damaged tree-like bifurcation networks, K e f f , can be formulated as. [32]:
K e f f = K d + K c v
With respect to Eqs. (23), (41) and (42), the ETC of porous media with randomly distributed damaged tree-like bifurcation networks can be written as:
K e f f = 1 α m + 1 1 α λ l φ f ( 1 α / n β 2 ) { 1 α / n β 2 k + ( α / n β 2 ) k 1 n k P [ 1 ( α / n β 2 ) m k + 1 ] } + λ s ( 1 φ f ) + N u δ T λ l 1 n α β 1 n α 1 n α k + n α k 1 n k P 1 n α m k + 1 1 n α β k + n α β k 1 n k P 1 n α β m k + 1 1 d 0 ¯
The dimensionless ETC of porous media with randomly distributed damaged tree-like bifurcation networks are defined by K + = K e f f / λ l , and it can be expressed as:
K + = 1 α m + 1 1 α φ f ( 1 α / n β 2 ) { 1 α / n β 2 k + ( α / n β 2 ) k 1 n k P [ 1 ( α / n β 2 ) m k + 1 ] } + λ s λ l ( 1 φ f ) + N u δ T 1 n α β 1 n α 1 n α k + n α k 1 n k P 1 n α m k + 1 1 n α β k + n α β k 1 n k P 1 n α β m k + 1 1 d 0 ¯
Eqs. (44) is the dimensionless coefficient of heat conductivity for porous media with randomly distributed damaged tree-like bifurcation networks. It is also a theoretical model, which can be used for analyzing the effect of structural parameters of tree-like bifurcation networks ( d 0 ¯ , α , β , n , m , P , k ), the porosity, ϕ f , the thermal conductivity of porous media matrix, λ s , and the thermal conductivity of fluid, λ 1 , on dimensionless thermal conductivity coefficient. In Eqs. (44), all parameter have the clear physical meaning and there is not any empirical constant.

4. Results and Discussion

Figure 2 shows the comparison between experimental data [35–37] and ETC, K e f f , versus the thermal conductivity of the media matrix, λ s , for different numbers of damaged channels based on Eqs. (43). The values of relevant parameters are all from experimental data [35–37]. In the Figure 2, the thermal conductivity of porous media fluid is λ l = 0.5 , λ s = 0.15 , which is given by the experimental data [35]. The porosity used in the experimental data of Valvano et al. is 0.0041-0.1645. The porosity used in the experimental data of Liang et al. is 0.1 and the porosity used in the experimental data of Bhattacharya et al. is 0.013-0.1645. Therefore, the porosity we selected in the Figure 2 is 0.1, and the experiment data gives the length ratio and diameter ratio of the arterial vascular tree are 1.30 and 1.25 [35,36,37]. So we select α =1/1.30=0.77, β =1/1.25=0.8. The structural parameters of pores in reality, such as the branching number of the tree-like branching network, n , and the total numbers of branching levels, m , are difficult to obtain in experiments. So we take m = 5 , n = 2 , N u = 4.93 . Consistent with the experimental data, we chose the thickness of the thermal boundary layer as δ T = 2.5 × 10 5 and the average diameter of the randomly distributed tree-like network as d 0 ¯ = 1 × 10 2 m [35,36,37]. The picture reveals that the ETC of porous media containing randomly distributed damaged tree-like bifurcation networks, as predicted using the ETC model described by equations (43), exhibits a notable level of concordance with the experimental findings. It has also been observed that the ETC exhibits a positive correlation with the thermal conductivity of the media matrix, while displaying a negative correlation with the number of damaged channels. The observed outcome can be rationalized by considering that an augmentation in the number of impaired channels results in a reduction of both the effective cross-sectional area and thermal convection area. Consequently, the dimensionless ETC experiences a decline as the number of damaged channels increases.
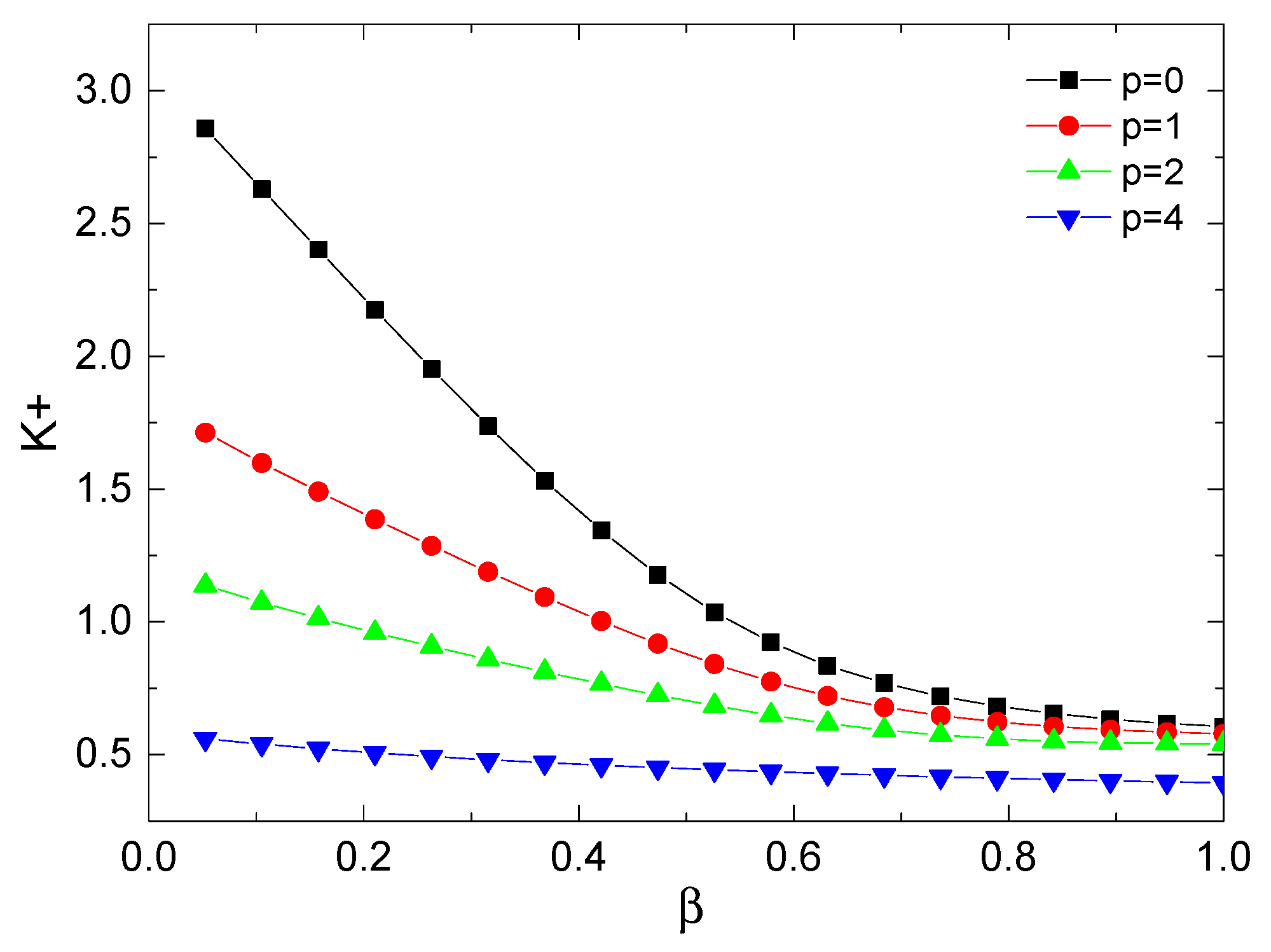
Figure 3 illustrates the relationship between the dimensionless ETC and the length ratio for varying numbers of damaged channels. The data presented in the figure demonstrates a positive correlation between the dimensionless ETC and the length ratio, indicating that as the length ratio increases, the ETC also increases. Conversely, there is a negative correlation between the dimensionless ETC and the number of damaged channels, suggesting that as the number of damaged channels increases, the ETC decreases. This is because with the increase of length ratio, the heat convection area of the bifurcation network pipeline will increase, increasing ETC. It is worth noting that when p=4, the dimensionless ETC hardly changes with the change of the length ratio. The reason for this result is that when all branches of the tree-like bifurcation networks are damaged, only the heat conduction of matrix part exists in porous media. The length ratio hardly influence the dimensionless ETC of porous media.
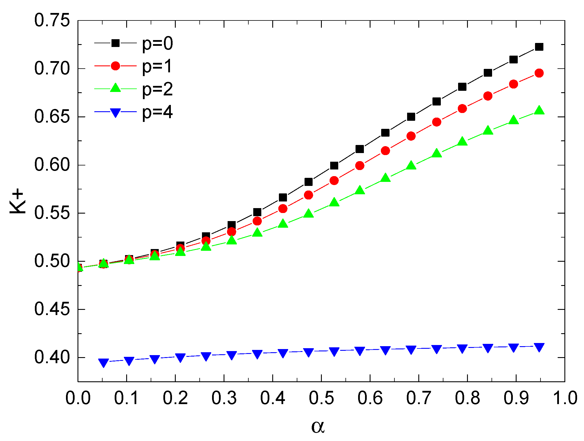
Figure 4 illustrates the impact of the diameter ratio, β , denoted as, on the dimensionless ETC for varying numbers of damaged channels. The rationale behind this phenomenon is that an increase in the diameter ratio results in a decrease in the overall thermal resistance. Consequently, the ETC decreases while the length ratio remains constant. It can be observed from the figure that the dimensionless ETC exhibits a decreasing trend as the diameter ratio increases. Additionally, it is observed that the dimensionless ETC exhibits a minor variation with the change in the diameter ratio when p=4. The aforementioned statement aligns with the result presented in Figure 4.
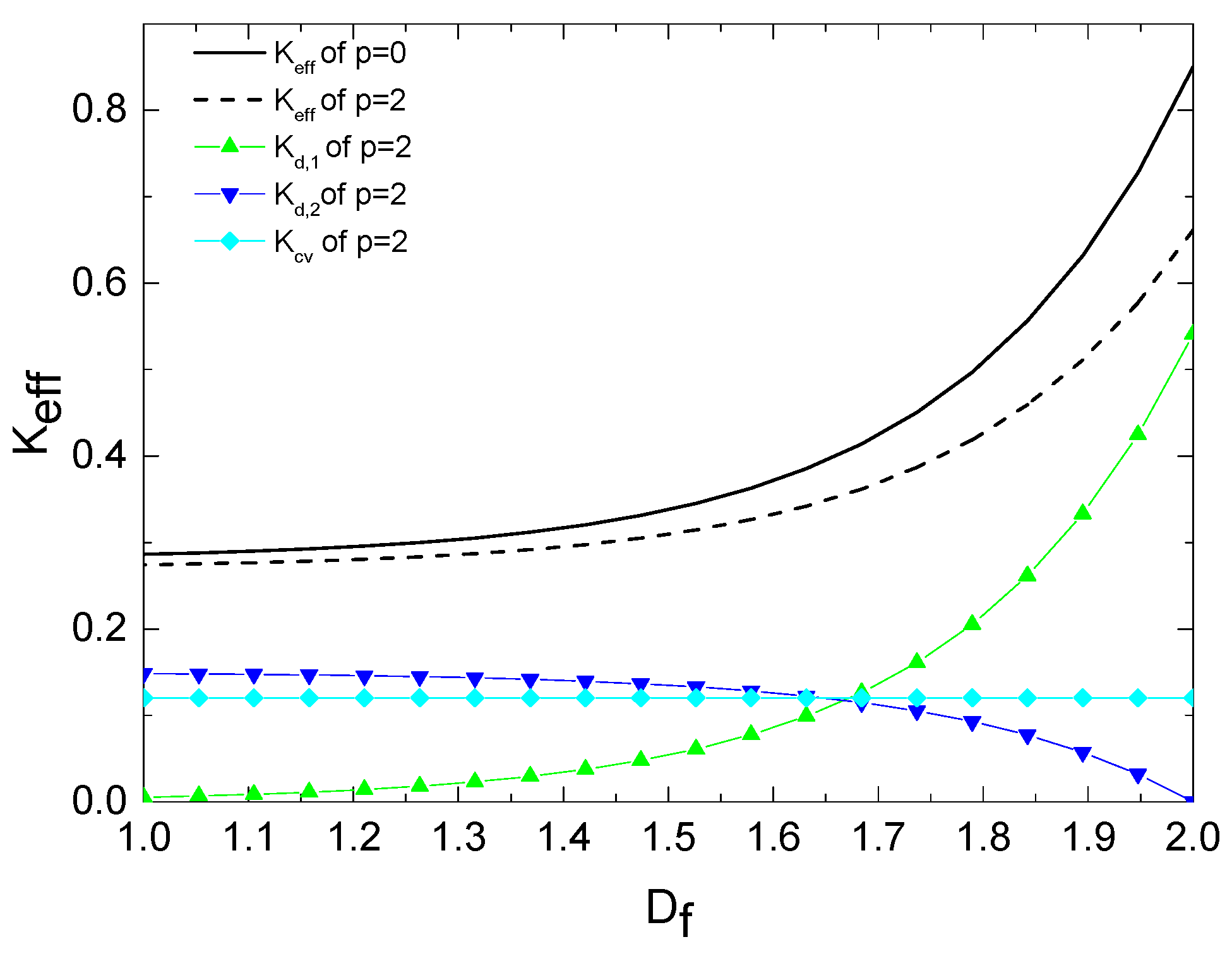
Figure 5 illustrates the relationship between the ETC, K e f f , the ETC of the randomly distributed damaged tree-like bifurcation network part, K d , 1 , the ETC of the matrix part, K d , 2 , and the heat convection ETC, K c v , with respect to the fractal dimension of the porous media. This relationship is examined for various numbers of damaged channels. The research indicates that there is a positive correlation between the fractal dimension of porous media and the ETC. Specifically, as the fractal dimension increases, the ETC also increases. On the other hand, the ETC of the randomly distributed damaged tree-like bifurcation network component falls when the fractal dimension of porous media increases. The influence of the fractal dimension of porous media on ETC resulting from heat convection is negligible. The ETC of the matrix exhibits a decrease as the fractal dimension of the porous media increases. The observed phenomenon can be attributed to the positive correlation between the fractal dimension of pores and the porosity of porous media. As the fractal dimension of holes increases, the porosity of the media also increases, thereby resulting in a decrease in the matrix composition of the porous media. The determination of the total ETC of the porous media may be observed from Eqs. (41), which indicate that it is influenced by the ETC of the three constituent parts. The dominance of heat transmission in porous media by the heat conduction of the randomly distributed damaged tree-like bifurcation network component can be observed in Figure 4, as the fractal dimension grows.
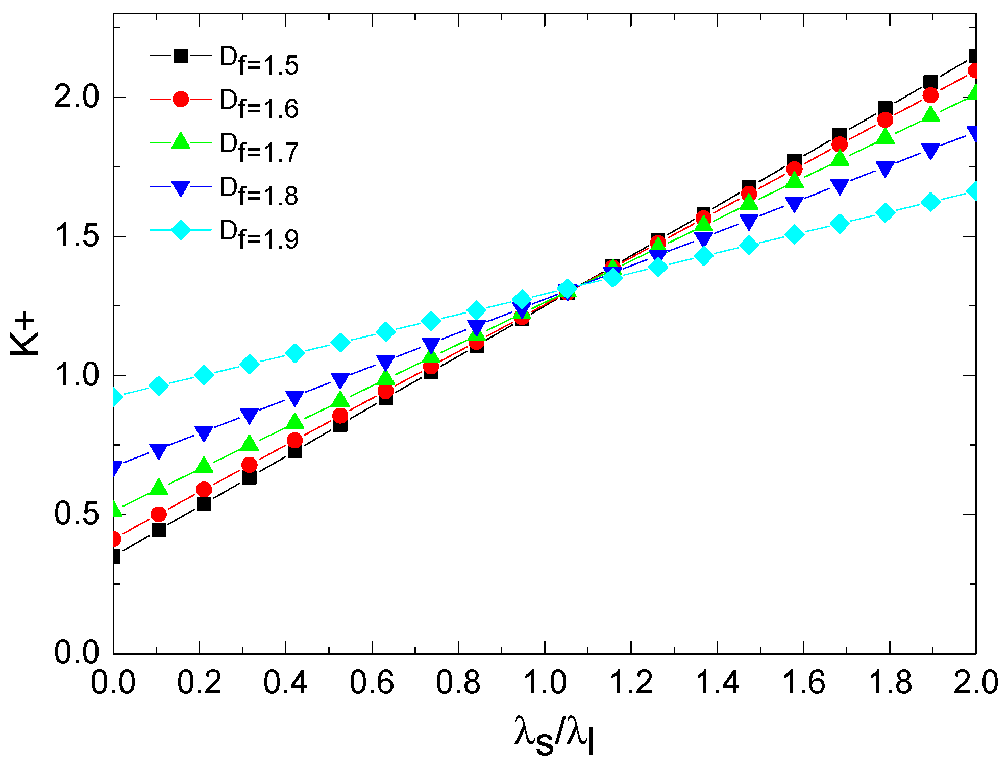
Figure 6 illustrates the impact of the ratio between the ETC of the wall and the ETC of the fluid on the dimensionless ETC of the porous media, considering various fractal dimensions. Based on the analysis of Figure 6, it can be inferred that an increase in the ratio of ETC of the wall to that of the fluid results in a corresponding increase in the dimensionless ETC. It is noteworthy to mention that the dimensionless ETC remains consistent across various fractal dimensions, provided that the ratio between the ETC of the wall and that of the fluid is approximately 1.1. When the ratio is below 1.1, there is an observed rise in the dimensionless ETC as the fractal dimension increases. However, when the ratio exceeds 1.1, a decrease in the fractal dimension is associated with an increase in the dimensionless ETC. The relationship between porosity and fractal dimension can be elucidated by observing that an increase in fractal dimension corresponds to an increase in porosity. In cases when the ETC of the fluid surpasses that of the matrix component, an increase in porosity leads to a more significant involvement of tree-like bifurcation networks in the heat conduction process inside porous media. In contrast, if the ETC of the fluid is lower than that of the matrix, an increase in porosity will result in a reduction in the heat transfer area of the matrix. Consequently, the overall ETC will fall.

5. Conclusion

This research presents the derivation of a dimensionless equation for the ETC of porous media including randomly distributed damaged tree-like bifurcation networks. Furthermore, the impact of the structural features of the porous media on the ETC is investigated. In this study, we took into account not only the heat conduction of the bifurcation network and matrix components, but also the heat convection resulting from liquid flow. Our findings indicate that when the ratio of ETC of the wall to that of the fluid is less than 1.1, there is an observed increase in the dimensionless ETC as the fractal dimension increases. Conversely, when the ratio exceeds 1.1, a decrease in the fractal dimension corresponds to an increase in the dimensionless ETC. The present study investigates the heat transfer phenomenon occurring in porous media characterized by randomly distributed broken tree-like bifurcation network interactions, with a focus on the dimensionless ETC. Additionally, it was observed that an increase in the fractal dimension results in the dominance of heat conduction in the heat transfer process of porous medium, namely inside the randomly distributed damaged tree-like bifurcation network segment. Furthermore, by a comparative analysis of the available experimental data and the fractal model suggested in our study, it was shown that the ETC model for porous media presented in this research has a favorable concurrence with the experimental data. The proposed model aims to enhance the understanding of heat transport mechanisms in porous media and offer valuable insights for a wide range of engineering applications. The omission of considering the impact of capillary surface roughness on the effective heat conductivity of porous media is acknowledged in this study. Hence, our forthcoming research will focus on investigating the impact of surface roughness on the effective heat conductivity.

Acknowledgements

This work was supported by the National Natural Science Foundation of China under Grant No. 11972266, Knowledge Innovation Program of Wuhan-Basic Research under Grant No. 2022010801010248, Applied Program of Wuhan-Basic Research under Grant No. 2022013988065194 and No. 2022013988065210, Research Project of Hubei Provincial Department of Education under Grant No. T2022016.

References

  1. He, Y.L.; Xie, T. Advances of thermal conductivity model of nanoscale silica aerogel insulation material. Applied Thermal Engineering. 2015, 81, 28-50. [CrossRef]
  2. Mao, N.; Ye, J.; Quan, Z.Z.; Zhang, H.N.; Wu, D.Q.; Qin, X.H.; Wang, R.W.; Yu, J.Y. Tree-like structure driven water transfer in 1D fiber assemblies for Functional Moisture-Wicking Fabrics. Mater. Des. 2020, 186, 108305. [CrossRef]
  3. Liang, M.; Fu, C.; Xiao, B.; Luo, L.; Wang, Z. A fractal study for the effective electrolyte diffusion through charged porous media. Int. J. Heat Mass Transf. 2019, 137, 365–371. [CrossRef]
  4. Zhang, N.;Wang, Z.Y. Review of soil thermal conductivity and predictive models. International Journal of Thermal Sciences. 2017, 117, 172-183. [CrossRef]
  5. Liu, H.; Zhao, X. Thermal conductivity analysis of high porosity structures with open and closed pores. International Journal of Heat and Mass Transfer. 2022, 183, 122089. [CrossRef]
  6. Pan, Y.; Zhao, R.; Nian, Y.; Study on the flow and heat transfer characteristics of pin-fin manifold microchannel heat sink. International Journal of Heat and Mass Transfer. 2022, 183, 122052. [CrossRef]
  7. Mandelbrot, B.B. The Fractal Geometry of Nature; W H Freeman: San Francisco, CA, USA, 1982.
  8. Yu, B.M.; Li, J. Some fractal characters of porous media. Fractals. 2001, 9, 365-372. [CrossRef]
  9. Yu, B.M.; Lee, L.J.; Cao, H. A fractal in-plane permeability model for fabrics. Polymer composites. 2002, 23, 201-221. [CrossRef]
  10. Yu, B.M.; Cheng, P. A fractal model for permeability of bi-dispersed porous media. International Journal of Heat and Mass Transfer. 2002, 45, 2983-2993. [CrossRef]
  11. Zheng, Q.; Wang, H.L.; Guo, X.Y. Research on the effect of surface roughness on gas diffusion coefficient of porous media embedded with a fractal-like tree network. Fractals. 2021, 29, 2150195. [CrossRef]
  12. Miao, T.J.; Chen, A.M.; Zhang, L.W. A novel fractal model for permeability of damaged tree-like branching networks. International Journal of Heat and Mass Transfer. 2018, 127, 278-285. [CrossRef]
  13. Kou, J.L.; Chen, Y.Y.; Zhou, X.Y.; Lu, H.J.; Wu, F.M.; Fan, J.T. Optimal structure of tree-like branching networks for fluid flow. Phys. A. 2014, 393, 527-534. [CrossRef]
  14. Zheng, Q.; Wang, H.L.; Jiang, J.; Xu, C. Fractal analysis of surface roughness effects on gas diffusion in porous nanofibers. Fractals. 2020, 28, 2050125. [CrossRef]
  15. Zheng, Q.; Yu, B.M.; Wang, S.F.; Luo, L. A diffusivity model for gas diffusion through fractal porous media. Chem. Eng. Sci. 2020, 68, 650-655. [CrossRef]
  16. Zheng, Q.; Xu, J.; Yang, B.; Yu, B.M. Research on the effective gas diffusion coefficient in dry porous media embedded with a fractal-like tree network. Phys. A. 2013, 392, 1557-1566. [CrossRef]
  17. Wang, F.Y.; Cheng, H. A fractal permeability model for 2D complex tortuous fractured porous media. J. Pet. Sci. Eng. 2020, 188, 106938. [CrossRef]
  18. Zheng, Q.; Yu, B.M. A fractal permeability model for gas flow through dual-porosity media. J. Appl. Phys. 2012, 111 024316. [CrossRef]
  19. Wang, F.Y.; Cheng, H. A fractal permeability model for 2D complex tortuous fractured porous media. J. Pet. Sci. Eng. 2020, 188, 106938. [CrossRef]
  20. Zhang, J.; Raza, A.; Khan, U.; Ali, Q.; Zaib, A.; Weera, W.; Galal A. Thermophysical Study of Oldroyd-B Hybrid Nanofluid with Sinusoidal Conditions and Permeability: A Prabhakar Fractional Approach. Fractal and fractional. 2022, 6, 357. [CrossRef]
  21. Xie, B.; Hu, Y.H.; Liu, L.T.; Thermal conduction model of asymmetric structural aramid nanofiber aerogel membranes based on fractal theory. International Journal of Heat and Mass Transfer. 2023, 208, 124086. [CrossRef]
  22. Shi, Q.T.; Feng, C.; Li, B.; Ming, P.W.; Zhang, C.M. Fractal model for the effective thermal conductivity of microporous layer. International Journal of Heat and Mass Transfer. 2023, 205, 123884. [CrossRef]
  23. Xiao, B.Q. A fractal model for predicting the effective thermal conductivity of roughened porous media with microscale conductivity. Fractals. 2021, 29, 2150114. [CrossRef]
  24. Shen, Y.Q.; Xu, P. A generalized thermal conductivity model for unsaturated porous media with fractal geometry. International Journal of Heat and Mass Transfer. 2020, 152, 119540. [CrossRef]
  25. Jing, D.L.; He, L.; Wang, X.M. Optimization analysis of fractal tree-like microchannel network for electroviscous flow to realize minimum hydraulic resistance. International Journal of Heat and Mass Transfer. 2018, 125, 749-752. [CrossRef]
  26. Xu, L.; Xu, Y.; Gu, H.; Thermal-hydraulic performance of flat-plate microchannel with fractal tree-like structure and self-affine rough wall, Engineering Applications of Computational Fluid Mechanics. 2023, 17, e2153174. [CrossRef]
  27. Chen, Y.P.; Cheng, P. Heat transfer and pressure drop in fractal tree-like microchannel nets. International Journal of Heat and Mass Transfer. 2002, 45, 2643-2648. [CrossRef]
  28. Li, Y.; Yu, B.M. Study of the starting pressure gradient in branching network. Sci. China Technol. Sci. 2010, 53, 2397–2403. [CrossRef]
  29. Zhang, J.; Wang, Y.Z.; Lou, G.; Kou, J.L. A fractal model for effective thermal conductivity of dual-porosity media with randomly distributed tree-like networks. Fractals. 2021, 29, 2150146. [CrossRef]
  30. Miao, T.J.; Chen, A.M.; Xu, Y.; Yang, S.S.; Yu, B.M. Optimal structure of damaged tree-like branching networks for the equivalent thermal conductivity. Therm. Sci. 2016, 102, 89–99. [CrossRef]
  31. Xiao, B.Q.; Fang, J.; Long, G.B.; Tao, Y.Z.; Huang, Z.J. Analysis Of Thermal Conductivity Of Damaged Tree-Like Bifurcation Network With Fractal Roughened Surfaces. Fractals. 2022, 30, 1-13. [CrossRef]
  32. Shao, Y.H.; Yang, H.; Guo, X.Y.; Wang, H.L.; Zhu, L.M.; Ma, X.; Chen, R.J.; Ruan, S.F.; Ren, L.L.; Zheng, Q. Thermal conductivity model of porous media embedded with a damaged tree-like branching network considering the influence of roughness. Fractal and fractional. 2023, 7, 5. [CrossRef]
  33. Xia, Y.L.; Zheng, S.; Yang, S.S.; Yi, S. Analysis on effective thermal conductivity model of porous media with rough fractal-like tree network. J. Cent. China Norm. Univ. 2022, 2, 255–261.
  34. Xu, P.; Yu, B.M.; Yun, M.J.; Zou, M.Q. Heat conduction in fractal tree-like branched networks. International Journal of Heat and Mass Transfer. 2006, 49, 3746-3751. [CrossRef]
  35. Valvano, J.W.; Allen, J.T.; Bowman, H.F. The simultaneous measurement of thermal conductivity, thermal diffusivity, and perfusion in small volumes of tissue. J. Biomech. Eng. 1984, 106, 192–197. [CrossRef]
  36. Liang, X.G.; Ge, X.S.; Zhang, Y.P. A convenient method of measuring the thermal conductivity of biological tissue. Phys. Med. Biol. 1991, 36, 1599. [CrossRef]
  37. A. Bhattacharya, R.L. Mahajan, Temperature dependence of thermal conductivity of biological tissues, Physiological measurement, 24 (2003) 769-783. [CrossRef]
Figure 1. (a) Schematic diagram of porous media with randomly distributed damaged tree-like bifurcation networks; (b) Schematic diagram of a single damaged tree-like bifurcation network.
Figure 1. (a) Schematic diagram of porous media with randomly distributed damaged tree-like bifurcation networks; (b) Schematic diagram of a single damaged tree-like bifurcation network.
Preprints 88883 g001
Figure 2. The comparison between experimental data and ETC K e f f versus λ s at α = 0.77 , β = 0.8 , k = 2 , m = 5 , n = 2 ,   ϕ f = 0.1 , λ l = 0.5 , d 0 ¯ = 1 × 10 2 m, N u = 4.93 , δ T = 2.5 × 10 5 m.
Figure 2. The comparison between experimental data and ETC K e f f versus λ s at α = 0.77 , β = 0.8 , k = 2 , m = 5 , n = 2 ,   ϕ f = 0.1 , λ l = 0.5 , d 0 ¯ = 1 × 10 2 m, N u = 4.93 , δ T = 2.5 × 10 5 m.
Preprints 88883 g002
Figure 3. The dimensionless ETC K + versus α and p at β = 0.8 , n = 2 ,   k = 2 , ϕ f = 0.1 , λ l = 0.5 , λ s = 0.15 , d 0 ¯ = 1 × 10 2 m, N u = 4.93 , δ T = 2.5 × 10 5 m.
Figure 3. The dimensionless ETC K + versus α and p at β = 0.8 , n = 2 ,   k = 2 , ϕ f = 0.1 , λ l = 0.5 , λ s = 0.15 , d 0 ¯ = 1 × 10 2 m, N u = 4.93 , δ T = 2.5 × 10 5 m.
Preprints 88883 g003
Figure 4. The dimensionless conductivity K + versus β and p at , α = 0.77 , n = 2 ,   k = 2 , ϕ f = 0.1 , λ l = 0.5 , λ s = 0.15 , d 0 ¯ = 1 × 10 2 m, N u = 4.93 , δ T = 2.5 × 10 5 m.
Figure 4. The dimensionless conductivity K + versus β and p at , α = 0.77 , n = 2 ,   k = 2 , ϕ f = 0.1 , λ l = 0.5 , λ s = 0.15 , d 0 ¯ = 1 × 10 2 m, N u = 4.93 , δ T = 2.5 × 10 5 m.
Preprints 88883 g004
Figure 5. The ETC of each component K e f f , K d , 1 , K d , 2 , K c v versus D f and p at α = 0.77 , β = 0.8 , k = 2 , m = 5 , n = 2 , λ s = 0.15 , λ l = 0.5 , d 0 ¯ = 1 × 10 2 m, N u = 4.93 , δ T = 2.5 × 10 5 m.
Figure 5. The ETC of each component K e f f , K d , 1 , K d , 2 , K c v versus D f and p at α = 0.77 , β = 0.8 , k = 2 , m = 5 , n = 2 , λ s = 0.15 , λ l = 0.5 , d 0 ¯ = 1 × 10 2 m, N u = 4.93 , δ T = 2.5 × 10 5 m.
Preprints 88883 g005
Figure 6. The dimensionless ETC K + versus λ s / λ l and D f at α = 0.77 , β = 0.8 , k = 2 , m = 5 , n = 2 , p = 2 , d 0 ¯ = 1 × 10 2 m, N u = 4.93 , δ T = 2.5 × 10 5 m.
Figure 6. The dimensionless ETC K + versus λ s / λ l and D f at α = 0.77 , β = 0.8 , k = 2 , m = 5 , n = 2 , p = 2 , d 0 ¯ = 1 × 10 2 m, N u = 4.93 , δ T = 2.5 × 10 5 m.
Preprints 88883 g006
Disclaimer/Publisher’s Note: The statements, opinions and data contained in all publications are solely those of the individual author(s) and contributor(s) and not of MDPI and/or the editor(s). MDPI and/or the editor(s) disclaim responsibility for any injury to people or property resulting from any ideas, methods, instructions or products referred to in the content.
Copyright: This open access article is published under a Creative Commons CC BY 4.0 license, which permit the free download, distribution, and reuse, provided that the author and preprint are cited in any reuse.
Prerpints.org logo

Preprints.org is a free preprint server supported by MDPI in Basel, Switzerland.

Subscribe

Disclaimer

Terms of Use

Privacy Policy

Privacy Settings

© 2026 MDPI (Basel, Switzerland) unless otherwise stated