Preprint
Article

This version is not peer-reviewed.

Lightning under different land use and cover, and the influence of topography in the Carajás Mineral Province, Eastern Amazon

Submitted:

26 October 2023

Posted:

30 October 2023

You are already at the latest version

Abstract
Keywords: Lightning; Land Cover and Land Use; Topographic Effects, Itacaiúnas River Hydrographic Basin
Keywords: 
;  ;  ;  
Subject: 
Physical Sciences  -   Other

1. Introduction

Research into preferred regions of lightning occurrence (cloud-to-ground – CG and intracloud – IC) has become increasingly necessary due to the increased frequency of severe storms [1], widely reported by the Intergovernmental Panel on Climate Change (IPCC) in its latest reports [2].
The IPCC also warns about the influence of land use and cover changes (LULC) on the formation and intensification of storms. These factors are fundamental in land‒atmosphere interactions, reflecting changes in climate on local, regional, and global scales [3]. In this context, several studies have investigated this relationship, and the conclusions vary depending on the geographic region and the type of soil and vegetation in question [4,5].
At the global level, changes in LULC affect precipitation, with significant signals most evident over degraded regions such as East Asia, West Africa, and South America [6]. Changes in LULC cause a reduction in net radiation and evapotranspiration, which generates changes in atmospheric circulation patterns and variations in the magnitude and pattern of moisture flux convergence and subsequent reduction in precipitation accumulations. On the other hand, these changes increase the surface air temperature during summer due to reduced evapotranspiration. In contrast, temperatures in the upper troposphere become even colder due to the smaller amount of latent heat that is released in the condensation of water vapor, which generates a weaker circulation in regions of change in LULC [6].
Land cover changes associated with urbanization create higher air temperatures compared to those in surrounding rural areas, known as the urban heat island effect. Studies indicate that the contributions of anthropogenic forcing associated with urbanization also affect the formation of convective storms [7,8]. Considering the central part of the Amazon, the largest tropical forest in the world, research has shown that in recent decades, the increase in lightning incidence has been proportional to the increase in urban area. Thus, replacing forests with urban areas tends to increase the frequency of lightning in this region [9].
Increases of 60 to 70% in lightning density in urban areas compared to their surroundings have also been observed in Taiwan [7]. The spatial distribution of CG lightning is similar to that of the heat islands in Taipei, which supports the thermal influence hypothesis. Nevertheless, in this region, the concentrations of particulate matter with a diameter of 10 micrometers (PM10) and sulfur dioxide (SO2) showed a positive linearity with the number of CG lightning events, suggesting relationships with the influence of aerosols, as also discussed in other works [10,11]. These results indicate that both hypotheses (thermal and aerosol) must be considered to explain the increase in CG lightning in urban areas.
In addition to the influence of land cover and the interference of its different uses on lightning incidence, studies show that topography is also a factor that defines patterns of lightning occurrence in a region [12,13]. In southern Brazil, it was observed that the highest incidence of lightning is not directly related to altitude per se but appears to have a linear relationship with sections of steeper terrain [12]. In this study, it was also observed that the diurnal variation in CG lightning is smaller at low altitudes than at high altitudes. This result was associated with the occurrence of mesoscale convective systems (MCSs) at low altitudes in the northwestern region of southern Brazil.
Additionally, it has been observed in the United States that the intensification of deep convection in complex terrain can influence not only the CG lightning incidence and the location of the first flash of a storm but also the physical parameters of CG lightning [13].
Thus, this work presents a survey on lightning occurrence in the Itacaiúnas River Hydrographic Basin (BHRI), located in the Carajás Mineral Province, in the Eastern Amazon. This is a region that is characterized by a steep relief, given the presence of the Serra dos Carajás with approximately 900 metres of altitude.
The objective was to evaluate the lightning occurrence in different types of land use and coverage in the BHRI, altitudes and slopes to understand possible relationships between these elements and the development of storms in one of the areas with a high lightning incidence in Brazil. In addition, this basin contains the largest deposits of polymetallic minerals that are industrially extracted from iron, manganese, copper and nickel ores, as well as the artisanal exploration of gold, precious stones and others [14].
Finally, one of the primary justifications for the development of this study was that research assessing lightning occurrence in mining areas within the Amazon rainforest is in its early stages. However, it is greatly relevant for providing technical-scientific support in weather forecasts, as well as for developing warning systems aimed at protecting people and equipment exposed in open-pit mines.

2. Materials and Methods

2.1. Study area

The analysis of the lightning incidence in different types of land cover and use was developed for the Itacaiúnas River Hydrographic Basin (BHRI) region, which has an area of approximately 42,000 km2 located in the Carajás Mineral Province in the east of the Amazon (Figure 1).
The basin has 1/3 of its area protected (conservation units and indigenous lands), which is indicative of the environmental significance of the region for biodiversity conservation [15]. Deforested areas correspond to approximately half of the basin area and are predominantly used for pastures. Approximately 35% of the cattle herd in the state of Pará comes from BHRI [16], and the assets produced in the region, especially mineral resources, account for 25% of the GDP of the State of Pará [17].

2.2. Data

The lightning data used in this study were sourced from the Atmospheric Electricity Group at the National Institute for Space Research [18]. This group is part of a network of lightning data collected by sensors on the ground and aboard satellites operating in VLF (very low frequency), LF (low frequency), and VHF (very high frequency). Lightning detection is carried out by capturing the electromagnetic radiation emitted by lightning when it occurs in the atmosphere. Integrating this database allows for more precise data on lightning occurrences since no single network can detect all lightning events. For the study region, the detection efficiency is approximately 90%. Detailed information about this network can be found in [19].
The land use and land cover data were derived from mappings conducted by [20], who utilized imagery from Landsat-8 and Sentinel-2A satellites. The land cover and land use classes, along with a detailed change detection approach, were developed through geographic object-based image analysis (GEOBIA - Geographic Object-Based Image Analysis).
Three land cover patterns were used: Forest, mountain savanna, and water; and three land use patterns: Deforestation (pasturelands), mining, and urbanization (Figure 2). In the land cover classes, forested areas encompassed ombrophilous forest with closed and open canopies exceeding 30 meters in height. The open and shrubby deciduous mountain savanna covered regions at high altitudes, approximately 600 to 900 meters. Bodies of water, on the other hand, were represented by rivers and small lakes.
Elevation data were obtained from the Geomorphometric Database of Brazil - TOPODATA [21], provided free of charge by the National Institute for Space Research (INPE). TOPODATA is a project that offers a digital elevation model with local adjustments and a spatial resolution of 30 meters, derived from the original Shuttle Radar Topography Mission (SRTM) data, covering the entire Brazilian territory.

2.2. Methodology

The lightning and land use/land cover data were assessed to extract potential relationships between land cover types and the frequency of lightning occurrences. Subsequently, possible associations between lightning incidence and topography, including altitude and slope, were also evaluated.
For the spatial analysis of lightning occurrences, the kernel density estimator (KDE) was applied, with the scale varying for each year to facilitate visualization across all years under investigation. Furthermore, over the years, lightning detection technology has seen improvements, and conducting the analysis with the same scale could potentially suggest an increase in the number of lightning events over time. While this increase may occur due to the intensification of storms [2], different scales were chosen as a precaution in the data evaluation. Moreover, the objective of this figure was to provide a qualitative rather than quantitative assessment of lightning occurrences in the study region.
KDE is a nonparametric method for estimating the probability density distribution of a dataset. In broad terms, KDE is one of the types of analyses derived from the estimation of point data intensity, which means estimating the number of events per unit area. In this case, the higher the clustering of lightning occurrence points in a specific area within the BHRI is, the higher the intensity calculated by KDE.
This KDE approach was particularly interesting to apply in this study because, for data detected over long distances, such as lightning, there could be an intrinsic location error. Thus, it is possible to overcome the error inherent in pinpointing the discharge point in detection networks. The application of KDE can provide valuable initial insights into lightning occurrences, such as which regions have a higher concentration of lightning events.

3. Results

Figure 3 shows kernel density maps of lightning on an annual scale. The highest concentrations of lightning were recorded in areas to the southwest and northeast of the Itacaiúnas River Hydrographic Basin (IRHB). This suggested that storms may be influenced by different land use and land cover types and by the terrain configuration, which exhibits higher elevations of up to 900 meters, as seen in the southwest region of the basin (Figure 1).
Considering the potential influence of elevation, the formation of convective clouds can be favored because a warm and moist air mass, when encountering a mountain, is forced to ascend due to valley-mountain circulation effects. In this case, cloud formation occurs on the windward side of the mountain (the side from which the wind is blowing), and it is possible that intense rainfall accompanied by lightning may occur.
On the other hand, the lightning observed in the northeast of the region may be associated with the influence of the Intertropical Convergence Zone and/or Instability Lines, potentially intensifying when they encounter deforested areas, as shown in Figure 1. Bare soils are notably warmer, which can enhance convective systems. Additionally, the reduced terrain roughness intensifies wind shear, which can also favor the formation of convective cells with greater vertical development and, consequently, generate lightning. In this case, there is a hypothesis of the influence of land use and land cover on the intensification of storms.
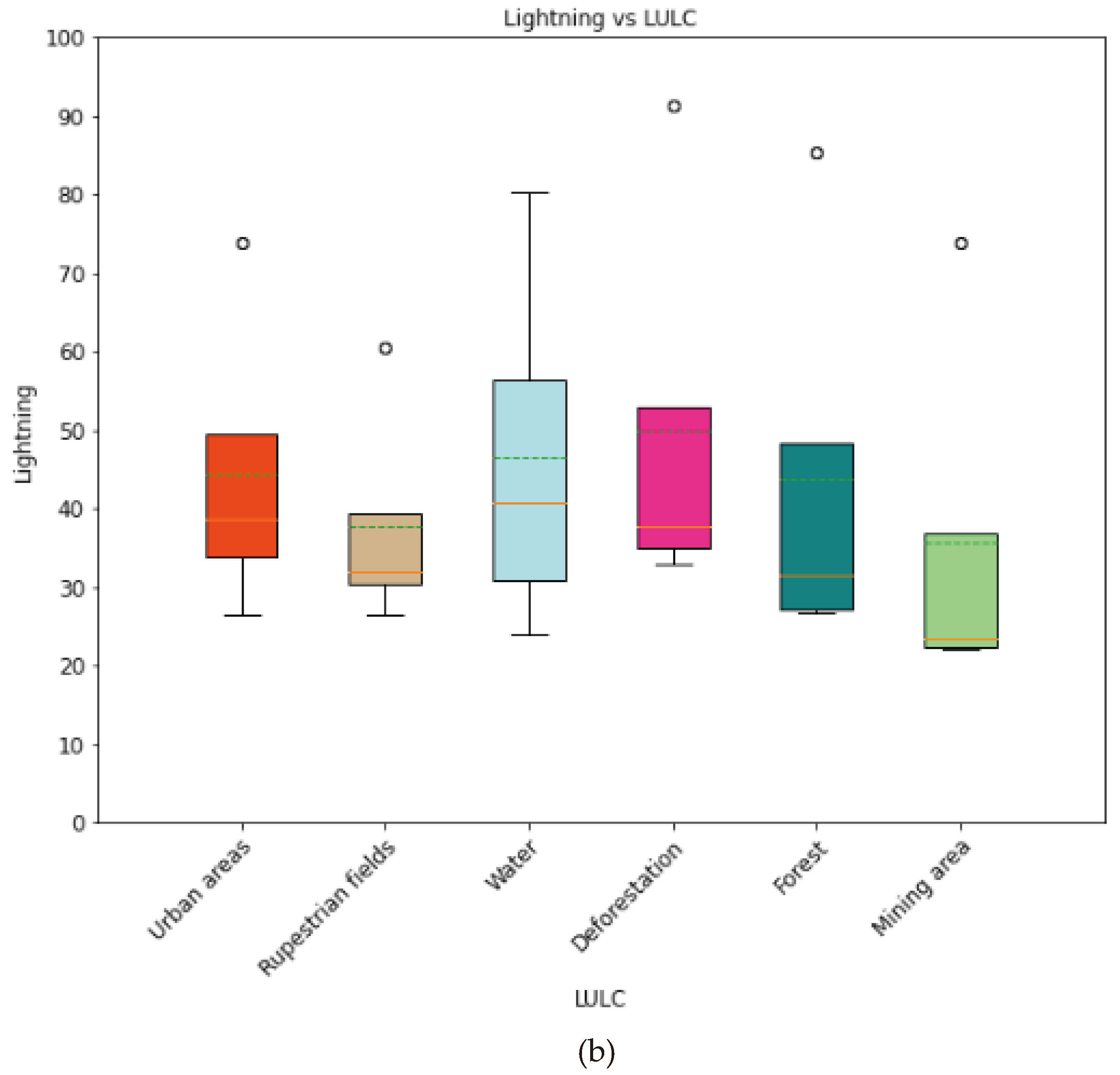
To assess possible relationships with LULC, lightning was counted based on its incidence in different types of land use and land cover in the region. Additionally, a lightning count was conducted for elevation strata to evaluate potential topographical influences. The results are presented in Figure 4 and Figure 5, respectively.
Figure 4 presents the numbers for the average lightning density in different land use and land cover categories and the percentage of occurrence in the BHRI area. The highest average lightning density occurred in deforested/pasture areas, with approximately 50 strokes/km²/year, which corresponded to approximately 19% of the total lightning in the basin. Over water, urban areas, and forests, the lightning density was approximately 18%, 17%, and 16%, respectively. Last, the lowest lightning incidence occurred in rupestrian fields (~15%) and mining areas (~14%).
What stood out in these results was the small percentage difference between the occurrence of lightning in mining and urban areas, covering only 0.31% and 0.37% of the basin area, respectively, compared to the vast forested area, which constituted 50.42% of the total BHRI. In other words, these results suggested that there was a high lightning incidence in areas with greater population density, which may increase the risk of fatalities caused by this phenomenon.
According to a survey conducted by the Atmospheric Electricity Group at the National Institute for Space Research (ELAT/INPE), the state of Pará, where the BHRI is located, ranks third in the number of lightning-related deaths. The survey covered the period between 2000 and 2019 and showed that Pará recorded approximately 162 fatalities, ranking only behind São Paulo (327) and Minas Gerais (175) in terms of states. Notably, both São Paulo and Minas Gerais are much more populous than Pará, with population densities approximately 5 and 2 times higher, respectively, according to data from the IBGE census [22].
These results underscore the importance of initiatives aimed at protecting both the general population in urbanized areas and workers and equipment. Furthermore, the findings also emphasized the importance of initiatives focused on implementing and/or improving lightning warning systems in mining regions, particularly in reducing production downtime due to storms.
Figure 5 presents the occurrence of lightning by elevation strata. The elevation strata were defined here as low (70 to 300 meters), intermediate (301 to 500 meters), and high (above 501 meters). It was observed that the occurrence of lightning, in general, showed similar values at lower and intermediate elevation levels (approximately 70 to 600 meters), with a slight reduction in the range of 601 to 800 meters. On the other hand, above the 800-meter level, the incidence of lightning resembled that of the lower and intermediate levels.
However, it is important to highlight that when evaluating outliers, intermediate elevations tended to show the highest values compared to other elevation strata. This indicated that electrical activity in the region may be related to the terrain slope rather than just the altitude. Orographic lifting tends to form convective clouds over elevated terrains but not necessarily over the highest parts of the region, as illustrated in Figure 6. These results aligned with what was observed by [12] regarding CG lightning incidences in southern Brazil, suggesting that terrain slope may have more influence than altitude on lightning occurrence.
Furthermore, there may also be an effect associated with spatial variations in the electric field near the surface, caused by variations in the height/slope of the surface's electric boundary condition. These effects would produce competing areas of higher and lower electric fields near the surface during lightning propagation toward the ground. Finally, the sloping terrain (related to the terrain gradient and not local roughness), when spatially interacting with the approaching lightning branch endpoints, can produce many more ground attachment options [13].

4. Conclusions

In the present study, a survey on lightning occurrence in the Itacaiúnas River Hydrographic Basin (IRHB) region in the Carajás Mineral Province in the Eastern Amazon for the period from 2012 to 2021 was conducted. The aim was to assess the possible influences of lightning occurrences with different land use and land cover types, as well as to evaluate the incidence of lightning in different elevation strata in the region.
The results revealed peculiarities between different land use and land cover types, among which forested and deforested areas accounted for nearly 99% of the IRHB. Despite this territorial dominance, the difference in the percentage of lightning incidence in relation to other areas was very small. Between mining and deforested areas, with the lowest and highest territorial occupation, respectively, the difference in the percentage of lightning was 5%. Since the absolute values were high, the results suggested that mining areas receive a high and concentrated quantity of lightning, and future specific studies need to be conducted to understand if and how the minerals in the region may influence lightning incidence.
The assessment of electrical activity in different elevation strata showed that lightning may be more related to the terrain slope (orographic lifting) than altitude per se.
In both analyses, the results revealed a high incidence of lightning in the IRHB and highlighted the importance of initiatives aimed at protecting the lives of workers and equipment exposed to the open sky in this region.

Author Contributions

Conceptualization, A.P.P.S., D.S.F, W.R.N.J., P.W.M.S.F., O.P.J, V.B. and E.V.M; methodology, A.P.P.S., D.S.F, W.R.N.J., P.W.M.S.F. and O.P.J.; software, A.P.P.S., D.S.F, W.R.N.J. and F.J.L.L; validation, A.P.P.S., D.S.F, W.R.N.J., P.W.M.S.F. and O.P.J.; formal analysis, A.P.P.S., D.S.F, F.J.L.L, C.P.C., A.V.N.N and R.G.T.; investigation, A.P.P.S., D.S.F and W.R.N.J.; resources, A.P.P.S., D.S.F, W.R.N.J., and O.P.J; data curation, A.P.P.S., D.S.F, W.R.N.J. and F.J.L.L; writing—original draft preparation, A.P.P.S. and D.S.F; writing—review and editing, all authors; visualization, A.P.P.S., D.S.F and W.R.N.J.; supervision, P.M.S. and O.P.J.; project administration, D.S.F.; funding acquisition, D.S.F. All authors have read and agreed to the published version of the manuscript.

Funding

This research was funded by Vale Institute of Technology Sustainable Development (ITVDS).

Acknowledgments

The authors thank to ELAT/INPE for providing lightning data, to GEOBIA for land use and land cover data, and TOPODATA/INPE for elevation data. Finally, we acknowledge the Vale Institute of Technology Sustainable Development (ITVDS) for supporting the team and the essential contribution to this research.

Conflicts of Interest

The authors declare no conflict of interest. The funders had no role in the design of the study; in the collection, analyses, or interpretation of data; in the writing of the manuscript; or in the decision to publish the results.

References

  1. Santos, A. P. P.; Coelho, C. A.; Pinto Junior, O.; dos Santos, S. R. Q.; de Lima, F. J. L.; De Souza, E. B. Climatic diagnostics associated with anomalous lightning incidence during the summer 2012/2013 in Southeast Brazil. Int. J. Climatol 2018, 38, 996-1009.
  2. Caretta, A. M. M. A., Arfanuzzaman, R. B. M., Morgan, S. M. R., & Kumar, M. Climate Change 2022: Impacts, Adaptation, and Vulnerability. Contribution of Working Group II to the Sixth Assessment Report of the Intergovernmental Panel on Climate Change. 2022.
  3. Shukla, Priyadarshi R., et al. IPCC, 2019: Climate Change and Land: an IPCC special report on climate change, desertification, land degradation, sustainable land management, food security, and greenhouse gas fluxes in terrestrial ecosystems. 2019.
  4. Souza-Filho, Pedro Walfir M., et al. "Four decades of land-cover, land-use and hydroclimatology changes in the Itacaiúnas River watershed, southeastern Amazon. J. Environ. Manage. 2016, 167, 175-184.
  5. Kumar, M., Denis, D. M., Kundu, A., Joshi, N., & Suryavanshi, S. Understanding land use/land cover and climate change impacts on hydrological components of Usri watershed, India. Appl Water Sci 2022, 12, 39. [CrossRef]
  6. Chilukoti, N.; Xue, Y. An assessment of potential climate impact during 1948–2010 using historical land use land cover change maps. Int. J. Climatol 2021, 41, 295-315. [CrossRef]
  7. Kar, S. K.; Liou, Y. A. Influence of land use and land cover change on the formation of local lightning. Remote Sensing 2019, 11, 407. [CrossRef]
  8. Sokol, N. J.; Rohli, R. V. Land cover, lightning frequency, and turbulent fluxes over Southern Louisiana. Appl. Geogr 2018, 90, 1-8. [CrossRef]
  9. Pinto Jr, O.; de Almeida Pinto, I. R. C.; Neto, O. P. Lightning enhancement in the Amazon region due to urban activity. AJCC 2013, 2013.
  10. Naccarato, K. P.; Pinto Jr, O.; & Pinto, I. R. C. D. A. Evidence of thermal and aerosol effects on the cloud-to-ground lightning density and polarity over large urban areas of Southeastern Brazil. GRL 2003, 30.
  11. Farias, W. R. G.; Pinto Jr, O.; Naccarato, K. P.; Pinto, I. R. C. A. Anomalous lightning activity over the Metropolitan Region of São Paulo due to urban effects. Atm. Res. 2009, 91, 485-490.
  12. Bourscheidt, V.; Junior, O. P., Naccarato, K. P.; Pinto, I. R. C. D. A. The influence of topography on the cloud-to-ground lightning density in South Brazil. Atm. Res. 2009, 91, 508-513. [CrossRef]
  13. Cummins, K. L. Mapping the impact of terrain on lightning incidence and multiple ground contacts in cloud-to-ground flashes. In Proceedings on Atmospheric Electricity, Norman, Oklahoma, U.S.A, 15-20 June 2014.
  14. Souza-Filho, P. W. M.; de Lucia Lobo, F., Cavalcante, R.B.L.; Mota, J. A.; da Rocha Nascimento Jr, W.; Santos, D. C.; Siqueira, J. O. Land-use intensity of official mineral extraction in the Amazon region: Linking economic and spatial data. Land Degrad. Dev. 2021, 32, 1706-1717.
  15. Silva, M. S. D.; Cavalcante, R. L.; Souza Filho, P. W. M.; Silva Júnior, R. O. D.; Pontes, P. R., Dallagnol, R.; Rocha, E. J. P. D. Comparison of sediment rating curves and sediment yield in subbasins of the Itacaiúnas River Watershed, Eastern Amazon. RBRH 2021, 26.
  16. Instituto Brasileiro de Geografia e Estatística (IBGE). Available online: https://censos.ibge.gov.br/agro/2017/ (accessed on 22 January 2023).
  17. Silva Júnior, R. O.; Queiroz, J. C. B.; Ferreira, D. B. S.; Tavares, A. L.; Souza-Filho, P. W. M.; Guimarães, J. T. F.; Rocha, E. J. P. Estimativa de precipitação e vazões médias para a bacia hidrográfica do rio Itacaiúnas (BHRI), Amazônia Oriental, Brasil. RBGF 2017, 10, 1638-1654.
  18. 18. Elat/Inpe. Available online: http://www.inpe.br/webelat/homepage/ (accessed on 12 January 2022).
  19. Pinto, O. J. A new Lightning Location System. In Proceedings of International Conference on Lightning Physics and Effects, Brasília-DF, Brazil, 2018.
  20. Souza-Filho, P. W. M.; Nascimento Jr, W. R.; Santos, D. C.; Weber, E. J.; Silva Jr, R. O.; Siqueira, J. O. A GEOBIA approach for multitemporal land-cover and land-use change analysis in a tropical watershed in the southeastern Amazon. Remote Sensing 2018, 10, 1683.
  21. Topodata. Available online: http://www.dsr.inpe.br/topodata/ (accessed on 23 March 2022).
  22. Censo 2022. Available online: https://censo2022.ibge.gov.br/ (accessed on 24 June 2023).
Figure 1. Location of the Itacaiúnas River Hydrographic Basin (BHRI) and its respective land cover and land use types. The elevation map of the region is also displayed on the left.
Figure 1. Location of the Itacaiúnas River Hydrographic Basin (BHRI) and its respective land cover and land use types. The elevation map of the region is also displayed on the left.
Preprints 88816 g001
Figure 2. Classification of different land cover and land use types in the Itacaiúnas River Hydrographic Basin (BHRI). Source: Adapted from [20].
Figure 2. Classification of different land cover and land use types in the Itacaiúnas River Hydrographic Basin (BHRI). Source: Adapted from [20].
Preprints 88816 g002
Figure 3. Kernel Lightning Density (lightning/km²/year) in the IRHB from 2012 to 2021. The density scale varies each year.
Figure 3. Kernel Lightning Density (lightning/km²/year) in the IRHB from 2012 to 2021. The density scale varies each year.
Preprints 88816 g003
Figure 4. Lightning in different land cover types in the BHRI region. In the boxplot (b), the solid line represents the 2nd quartile (median), and the dotted line is the mean.
Figure 4. Lightning in different land cover types in the BHRI region. In the boxplot (b), the solid line represents the 2nd quartile (median), and the dotted line is the mean.
Preprints 88816 g004aPreprints 88816 g004b
Figure 5. Lightning in different elevation strata in the BHRI region. The solid line represents the 2nd quartile (median), and the dotted line is the mean.
Figure 5. Lightning in different elevation strata in the BHRI region. The solid line represents the 2nd quartile (median), and the dotted line is the mean.
Preprints 88816 g005
Figure 6. Illustration scheme of the predominant wind direction and orographic cloud formation in the IRHB region.
Figure 6. Illustration scheme of the predominant wind direction and orographic cloud formation in the IRHB region.
Preprints 88816 g006
Disclaimer/Publisher’s Note: The statements, opinions and data contained in all publications are solely those of the individual author(s) and contributor(s) and not of MDPI and/or the editor(s). MDPI and/or the editor(s) disclaim responsibility for any injury to people or property resulting from any ideas, methods, instructions or products referred to in the content.
Copyright: This open access article is published under a Creative Commons CC BY 4.0 license, which permit the free download, distribution, and reuse, provided that the author and preprint are cited in any reuse.
Prerpints.org logo

Preprints.org is a free preprint server supported by MDPI in Basel, Switzerland.

Subscribe

Disclaimer

Terms of Use

Privacy Policy

Privacy Settings

© 2026 MDPI (Basel, Switzerland) unless otherwise stated