Submitted:
19 October 2023
Posted:
20 October 2023
You are already at the latest version
Abstract
Keywords:
1. Introduction
2. Model
2.1. Households
2.2. Firms
2.3. Commercial Banks
2.4. Equilibrium
2.5. Calibration and Solution Method
3. Quantitative Results
3.1. Impulse Response Analysis
3.1.1. Responses to Productivity Volatility Shocks
3.1.2. Responses to Financial Volatility Shocks
3.1.3. Discussion on the Effect of Financial Integration
3.2. Regressions Analysis of Simulated Data
3.2.1. Simulated Moments
4. Sensitivity Analysis
4.1. Autocorrelation Coefficient of Volatility Shocks
4.2. Risk Aversion Coefficient
4.3. Intertemporal Elasticity of Substitution
4.4. Welfare Analysis of Financial Integration
5. Conclusion
Funding
Institutional Review Board Statement
Informed Consent Statement
Data Availability Statement
Conflicts of Interest
References
- Fernández-Villaverde, J.; Guerrón-Quintana, P.; Rubio-Ramírez, J.F.; Uribe, M. Risk matters: The real effects of volatility shocks. Am. Econ. Rev. 2011, 101, 2530–2561. [Google Scholar] [CrossRef]
- Christiano, L.J.; Motto, R.; Rostagno, M. Risk shocks. Am. Econ. Rev. 2014, 104, 27–65. [Google Scholar] [CrossRef]
- Fogli, A.; Perri, F. Macroeconomic volatility and external imbalances. J. Monet. Econ. 2015, 69, 1–15. [Google Scholar] [CrossRef]
- Kollmann, R. International business cycles and risk sharing with uncertainty shocks and recursive preferences. J. Econ. Dyn. Control. 2016, 72, 115–124. [Google Scholar] [CrossRef]
- Colacito, R.; Croce, M.M.; Liu, Y.; Shaliastovich, I. Volatility risk pass-through. Technical report, National Bureau of Economic Research, 2018.
- Arellano, C.; Bai, Y.; Kehoe, P.J. Financial frictions and fluctuations in volatility. J. Polit. Econ. 2019, 127, 2049–2103. [Google Scholar] [CrossRef]
- Backus, D.K.; Kehoe, P.J.; Kydland, F.E. International real business cycles. J. Polit. Econ. 1992, 100, 745–775. [Google Scholar] [CrossRef]
- Baxter, M.; Crucini, M. Business cycles and the asset structure of foreign trade. Int. Econ. Rev. 1995, 36, 821–854. [Google Scholar] [CrossRef]
- Heathcote, J.; Perri, F. Financial globalization and real regionalization. J. Econ. Theory. 2004, 119, 207–243. [Google Scholar] [CrossRef]
- Kose, M.A.; Yi, K.M. Can the standard international business cycle model explain the relation between trade and comovement? J. Int. Econ. 2006, 68, 267–295. [Google Scholar] [CrossRef]
- Devereux, M.B.; Yetman, J. Leverage constraints and the international transmission of shocks. J. Money Credit Bank. 2010, 42, 71–105. [Google Scholar] [CrossRef]
- Devereux, M.B.; Sutherland, A. Country portfolios in open economy macro-models. J. Eur. Econ. Assoc. 2011, 9, 337–369. [Google Scholar] [CrossRef]
- Kollmann, R.; Enders, Z.; Müller, G.J. Global banking and international business cycles. Eur. Econ. Rev. 2011, 55, 407–426. [Google Scholar] [CrossRef]
- Kalemli-Ozcan, S.; Papaioannou, E.; Perri, F. Global banks and crisis transmission. J. Int. Econ. 2013, 89, 495–510. [Google Scholar] [CrossRef]
- Perri, F.; Quadrini, V. International recessions. Am. Econ. Rev. 2018, 108, 935–984. [Google Scholar] [CrossRef]
- Yao, W. International business cycles and financial frictions. J. Int. Econ. 2019, 118, 283–291. [Google Scholar] [CrossRef]
- Devereux, M.B.; Yu, C. International financial integration and crisis contagion. Rev. Econ. Stud. 2020, 87, 1174–1212. [Google Scholar] [CrossRef]
- Tang, A.; Yao, W. The effects of financial integration during crises. J. Int. Money Finance. 2022, 124, 102613. [Google Scholar] [CrossRef]
- Fernández-Villaverde, J.; Rubio-Ramírez, J. Macroeconomics and volatility: Data, models, and estimation. Technical report, National Bureau of Economic Research, 2010.
- Backus, D.; Coleman, C.; Ferriere, A.; Lyon, S. Pareto weights as wedges in two-country models. J. Econ. Dyn. Control. 2016, 72, 98–110. [Google Scholar] [CrossRef]
- Hoffmann, M.; Krause, M.U.; Tillmann, P. International capital flows, external assets and output volatility. J. Int. Econ. 2019, 117, 242–255. [Google Scholar] [CrossRef]
- Silva-Yanez, L.E. Essays on Macroeconomic Uncertainty and Capital Flows. City University of New York, 205 East 42nd Street New York, NY 10017, United States, 2020.
- Benigno, G.; Benigno, P.; Nisticò, S. Risk, monetary policy, and the exchange rate. NBER Macroecon. Annu. 2012, 26, 247–309. [Google Scholar] [CrossRef]
- Mumtaz, H.; Theodoridis, K. The international transmission of volatility shocks: An empirical analysis. J. Eur. Econ. Assoc. 2015, 13, 512–533. [Google Scholar] [CrossRef]
- Popescu, A.; Rafael Smets, F. Uncertainty, risk-taking, and the business cycle in Germany. CESifo Econ. Stud. 2010, 56, 596–626. [Google Scholar] [CrossRef]
- Carrière-Swallow, Y.; Céspedes, L.F. The impact of uncertainty shocks in emerging economies. J. Int. Econ. 2013, 90, 316–325. [Google Scholar] [CrossRef]
- Gilchrist, S.; Sim, J.W.; Zakrajšek, E. Uncertainty, financial frictions, and investment dynamics. Technical report, National Bureau of Economic Research, 2014.
- Caldara, D.; Fuentes-Albero, C.; Gilchrist, S.; Zakrajšek, E. The macroeconomic impact of financial and uncertainty shocks. Eur. Econ. Rev. 2016, 88, 185–207. [Google Scholar] [CrossRef]
- Lhuissier, S.; Tripier, F.; et al. Do uncertainty shocks always matter for business cycles. Centre d’Etudes Prospectives et d’Informations Internationales research center. 2016.
- Alessandri, P.; Mumtaz, H. Financial regimes and uncertainty shocks. J. Monet. Econ. 2019, 101, 31–46. [Google Scholar] [CrossRef]
- Gete, P.; Melkadze, G. Aggregate volatility and international dynamics. The role of credit supply. J. Int. Econ. 2018, 111, 143–158. [Google Scholar] [CrossRef]
- Obstfeld, M. International capital mobility in the 1990s. Technical report, National Bureau of Economic Research, 1993.
- Van Wincoop, E. Welfare gains from international risksharing. J. Monet. Econ. 1994, 34, 175–200. [Google Scholar] [CrossRef]
- Asdrubali, P.; Sørensen, B.E.; Yosha, O. Channels of interstate risk sharing: United States 1963–1990. Q. J. Econ. 1996, 111, 1081–1110. [Google Scholar] [CrossRef]
- Van Wincoop, E. How big are potential welfare gains from international risksharing? J. Int. Econ. 1999, 47, 109–135. [Google Scholar] [CrossRef]
- Kalemli-Ozcan, S.; Sørensen, B.E.; Yosha, O. Economic integration, industrial specialization, and the asymmetry of macroeconomic fluctuations. J. Int. Econ. 2001, 55, 107–137. [Google Scholar] [CrossRef]
- Kose, M.A.; Prasad, E.S.; Terrones, M.E. How does globalization affect the synchronization of business cycles? Am. Econ. Rev. 2003, 93, 57–62. [Google Scholar] [CrossRef]
- Asdrubali, P.; Kim, S. Dynamic risksharing in the United States and Europe. J. Monet. Econ. 2004, 51, 809–836. [Google Scholar] [CrossRef]
- Rangvid, J.; Santa-Clara, P.; Schmeling, M. Capital market integration and consumption risk sharing over the long run. J. Int. Econ. 2016, 103, 27–43. [Google Scholar] [CrossRef]
- Bai, Y.; Zhang, J. Financial integration and international risk sharing. J. Int. Econ. 2012, 86, 17–32. [Google Scholar] [CrossRef]
- Kim, S.; Kim, S.H.; Wang, Y. Financial integration and consumption risk sharing in East Asia. Jpn. World Econ. 2006, 18, 143–157. [Google Scholar] [CrossRef]
- Shin, K.; Sohn, C.H. Trade and financial integration in East Asia: effects on co-movements. World Econ. 2006, 29, 1649–1669. [Google Scholar] [CrossRef]
- Sørensen, B.E.; Wu, Y.T.; Yosha, O.; Zhu, Y. Home bias and international risk sharing: Twin puzzles separated at birth. J. Int. Money Finance. 2007, 26, 587–605. [Google Scholar] [CrossRef]
- Kim, S.; Lee, J.W.; Shin, K. Regional and global financial integration in East Asia. China Asia World Econ. 2008, 168–200. [Google Scholar]
- Calvi, R.; et al. Assessing financial integration: A comparison between Europe and East Asia. Technical report, Directorate General Economic and Financial Affairs (DG ECFIN), European, 2010.
- Yu, I.W.; Fung, K.P.; Tam, C.S. Assessing financial market integration in Asia–equity markets. J. Bank. Financ. 2010, 34, 2874–2885. [Google Scholar] [CrossRef]
- Park, C.Y.; Lee, J.W. Financial integration in emerging Asia: Challenges and prospects. Asian Econ. Policy Rev. 2011, 6, 176–198. [Google Scholar] [CrossRef]
- Fernandez-Arias, E.; Montiel, P.J. The surge in capital inflows to developing countries: An analytical overview. World Bank Econ. Rev. 1996, 10, 51–77. [Google Scholar] [CrossRef]
- Bhattacharya, A.; Montiel, P.; Sharma, S. Private capital flows to sub-Saharan Africa: An overview of trends and determinants. External Finance for Low-Income Countries; International Monetary Fund, Washington, DC. 1997; pp. 207–232.
- Basu, A.; Srinivasan, K. Foreign direct investment in Africa-Some case studies, IMF Working Paper, No. 02/61, 2002.
- Chang, R.; Velasco, A. Financial fragility and the exchange rate regime. J. Econ. Theory. 2000, 92, 1–34. [Google Scholar] [CrossRef]
- Agénor, P.R. Benefits and costs of international financial integration: Theory and facts. World Econ. 2003, 26, 1089–1118. [Google Scholar] [CrossRef]
- Stiglitz, J.E. Capital market liberalization, economic growth, and instability. World Dev. 2000, 28, 1075–1086. [Google Scholar] [CrossRef]
- Pancaro, C. Macroeconomic volatility after trade and capital account liberalization. World Bank Policy Research Working Paper, No.5441, 2010.
- Cavoli, T.; Gopalan, S.; Rajan, R.S. Does financial inclusion amplify output volatility in emerging and developing economies? Open Econ. Rev. 2020, 31, 901–930. [Google Scholar] [CrossRef]
- Christiano, L.J.; Eichenbaum, M. Current real-business-cycle theories and aggregate labor-market fluctuations. Am. Econ. Rev. 1992, 430–450. [Google Scholar]
- Neumeyer, P.A.; Perri, F. Business cycles in emerging economies: The role of interest rates. J. Monet. Econ. 2005, 52, 345–380. [Google Scholar] [CrossRef]
- Jermann, U.J. Asset pricing in production economies. J. Monet. Econ. 1998, 41, 257–275. [Google Scholar] [CrossRef]
- Caldara, D.; Fernandez-Villaverde, J.; Rubio-Ramirez, J.F.; Yao, W. Computing DSGE models with recursive preferences and stochastic volatility. Rev. Econ. Dyn. 2012, 15, 188–206. [Google Scholar] [CrossRef]
- Mencia, J.; Sentana, E. Valuation of VIX derivatives. J. Financ. Econ. 2013, 108, 367–391. [Google Scholar] [CrossRef]
- Skintzi, V.D.; Refenes, A.N. Volatility spillovers and dynamic correlation in European bond markets. J. Int. Financial Mark. Inst. Money. 2006, 16, 23–40. [Google Scholar] [CrossRef]
- Ederington, L.H.; Guan, W. How asymmetric is US stock market volatility? J. Financial Mark. 2010, 13, 225–248. [Google Scholar] [CrossRef]
- Mendoza, E.G. Sudden stops, financial crises, and leverage. Am. Econ. Rev. 2010, 100, 1941–1966. [Google Scholar] [CrossRef]
- Bekhtiar, K.; Fessler, P.; Lindner, P. Risky assets in Europe and the US: risk vulnerability, risk aversion and economic environment, ECB Working Paper No. 2270, 2019.
- Greenwood, J.; Hercowitz, Z.; Huffman, G.W. Investment, capacity utilization, and the real business cycle. Am. Econ. Rev. 1988, 402–417. [Google Scholar]
- Andreasen, M.M.; Fernández-Villaverde, J.; Rubio-Ramírez, J.; et al. The pruned state-space system for non-linear dsge models: Theory and empirical applications. Rev. Econ. Stud. 2016, 85, 1–49. [Google Scholar] [CrossRef]
- Oi, W.Y. The desirability of price instability under perfect competition. Econometrica: J. Econom. Soc. 1961, 58–64. [Google Scholar] [CrossRef]
- Hartman, R. The effects of price and cost uncertainty on investment. J. Econ. Theory. 1972, 5, 258–266. [Google Scholar] [CrossRef]
- Abel, A.B. Optimal investment under uncertainty. Am. Econ. Rev. 1983, 73, 228–233. [Google Scholar]
- Heathcote, J.; Perri, F. The international diversification puzzle is not as bad as you think. J. Polit. Econ. 2013, 121, 1108–1159. [Google Scholar] [CrossRef]
- Bansal, R.; Yaron, A. Risks for the long run: A potential resolution of asset pricing puzzles. J. Finance. 2004, 59, 1481–1509. [Google Scholar] [CrossRef]
- Ai, H. Information quality and long-run risk: Asset pricing implications. J. Finance. 2010, 65, 1333–1367. [Google Scholar] [CrossRef]
- Van Wincoop, E. How Big are Potential Welfare Gains from International Sharing? FRB of New York Staff Report, No. 37, 1998.
- Gourinchas, P.O.; Jeanne, O. The elusive gains from international financial integration. Rev. Econ. Stud. 2006, 73, 715–741. [Google Scholar] [CrossRef]
- Coeurdacier, N.; Rey, H.; Winant, P. Financial integration and growth in a risky world. J. Monet. Econ. 2020, 112, 1–21. [Google Scholar] [CrossRef]












![]() |
| With Volatility Shocks | Without Volatility Shocks | ||||||
|---|---|---|---|---|---|---|---|
| (1) | (2) | (3) | (4) | (5) | (6) | ||
| -0.0075*** | -0.0363*** | -0.6860*** | -0.0071*** | -0.0115*** | -0.6215*** | ||
| (0.0008) | (0.0022) | (0.0423) | (0.0004) | (0.0004) | (0.0173) | ||
| 0.0269*** | 0.0980*** | 0.1596*** | 0.0250*** | 0.0804*** | 0.1246*** | ||
| (0.0046) | (0.0128) | (0.0149) | (0.0040) | (0.0047) | (0.0130) | ||
| Country-Pair FE | Yes | Yes | Yes | Yes | Yes | Yes | |
| Time FE | Yes | Yes | Yes | Yes | Yes | Yes | |
| Country Time Trends | Yes | Yes | Yes | Yes | Yes | Yes | |
| Observation | 39600 | 39600 | 39600 | 39600 | 39600 | 39600 | |
| Adj. | 0.168 | 0.156 | 0.212 | 0.080 | 0.094 | 0.138 | |
| Data | Prod. Shock | Prod. + Financial |
Prod.+ Prod. Vol. |
Prod.+Financial Financial Vol. |
All | |
|---|---|---|---|---|---|---|
| (1) | (2) | (3) | (4) | (5) | (6) | |
| Percentage Standard Deviation | ||||||
| Output | 1.32 | 1.32 | 1.32 | 1.47 | 1.34 | 1.47 |
| Standard Deviation Relative to Output | ||||||
| Consumption | 0.62 | 0.64 | 0.86 | 0.64 | 0.89 | 0.88 |
| Investment | 2.85 | 2.19 | 2.27 | 2.22 | 2.29 | 2.31 |
| Labor | 0.66 | 0.62 | 0.82 | 0.62 | 0.84 | 0.84 |
| Net Export | 0.40 | 0.29 | 0.41 | 0.32 | 0.41 | 0.44 |
| Cross-Correlation with Output | ||||||
| Consumption | 0.78 | 0.99 | 0.90 | 0.99 | 0.90 | 0.91 |
| Investment | 0.94 | 0.94 | 0.91 | 0.93 | 0.91 | 0.90 |
| Labor | 0.84 | 1.00 | 0.91 | 1.00 | 0.91 | 0.92 |
| Net Export | -0.44 | -0.25 | -0.12 | -0.26 | -0.12 | -0.14 |
| Cross-Country Correlations | ||||||
| Consumption | 0.49 | 0.25 | 0.51 | 0.22 | 0.52 | 0.48 |
| Output | 0.20 | 0.29 | 0.35 | 0.27 | 0.36 | 0.33 |
| Investment | 0.35 | -0.08 | 0.09 | -0.13 | 0.11 | 0.05 |
| Labor | 0.38 | 0.28 | 0.52 | 0.26 | 0.53 | 0.50 |
| Financial Autarky | Financial Integration | Change of (%) |
|||||
|---|---|---|---|---|---|---|---|
|
Social Welfare |
Deterministic Equivalence of Cons. |
Social Welfare |
Deterministic Equivalence of Cons. |
||||
| (1) | (2) | (3) | (4) | (5) | |||
| Prod. Vol. Shock | 1.6763 | 0.01676 | 1.6796 | 0.01680 | 0.1990 | ||
| Financial Vol. Shock | 1.6784 | 0.01678 | 1.6817 | 0.01682 | 0.1986 | ||
| 1 | VIX index reflects investors’ expectations of market volatility; the higher the index is, the more volatile the market, hence the name “market panic index”. The index is compiled by the Chicago Board Options Exchange (CBOE), and the new version of the compilation method after 2003 incorporates more options with different strike prices, selecting S&P 500 (SPX) options as the underlying. Further information regarding the calculation can be found at https://en.jinzhao.wiki/wiki/VIX
|
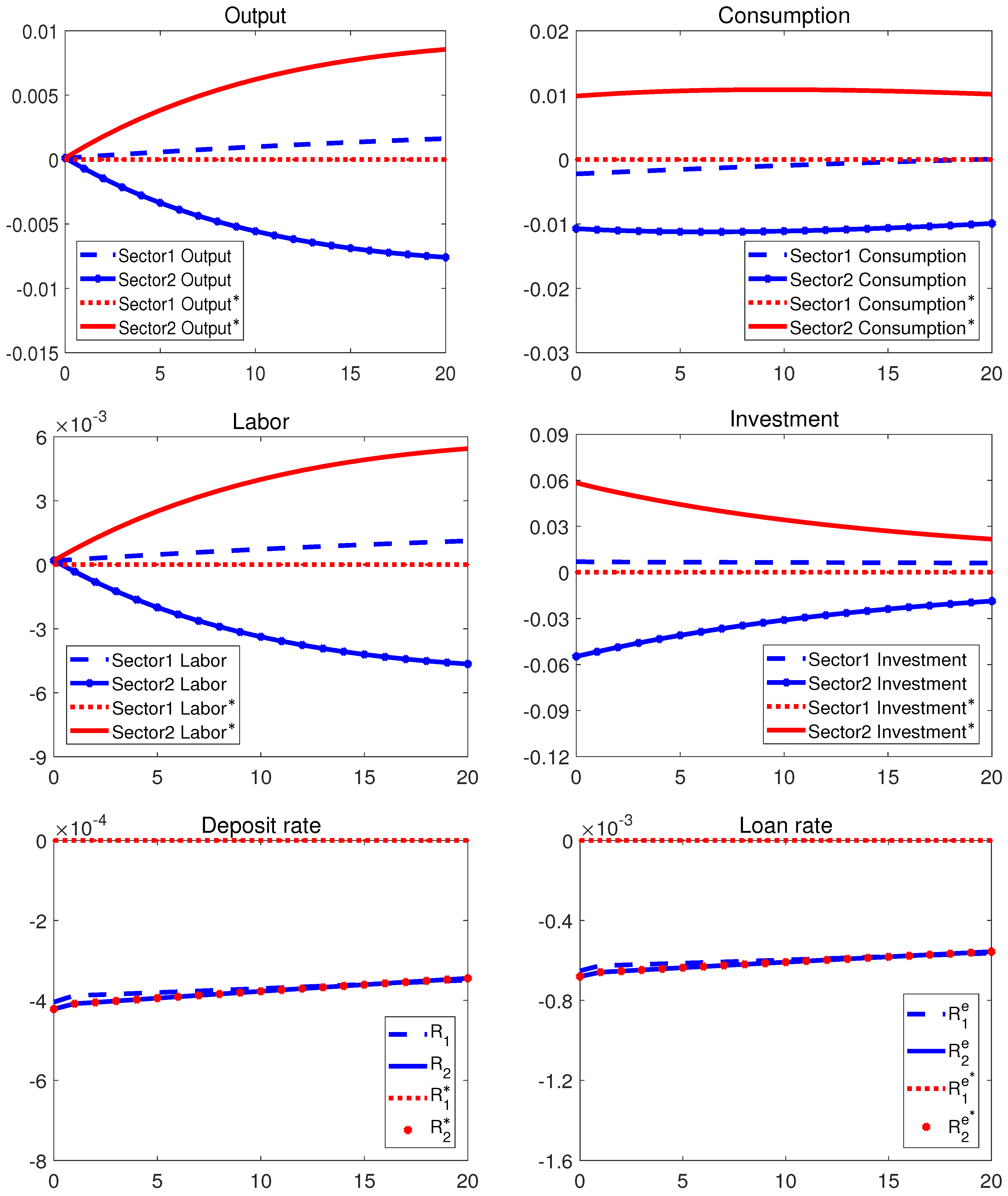
| 2 | Labor in the domestic sector II experiences a slight increase in response to productivity volatility shocks, which can be attributed to the Oi-Hartman-Abel effect. The Oi-Hartman-Abel effect, as proposed by Oi [67], Hartman [68], and Abel [69], and others, suggests that labor demand is a convex function with respect to total factor productivity based on the first-order condition of firm profit maximization. According to Jensen’s inequality, an increase in productivity volatility leads to an increase in labor demand. This effect is observed when firms have the ability to endogenously determine their production scale and flexibly adjust factor inputs. However, as lending to the domestic sector II continues to be crowded out by the foreign sector, investment by firms in the domestic sector II declines, resulting in a decrease in labor demand. |
| 3 | Appendix D.2 illustrates the trend of the cross-country correlation coefficient at different levels of financial integration. Figure ?? compares the impact of productivity shocks alone versus the combination of productivity shocks and productivity volatility shocks, revealing that the inclusion of productivity volatility shocks decreases the correlation of output, consumption, investment, and labor in both countries. Figure ?? further incorporates an additional financial volatility shock into the analysis of productivity and financial shocks. The results demonstrate that the effect of the financial volatility shock is not significant at low levels of financial integration. However, as financial integration deepens, the financial volatility shock amplifies the correlation of economic volatility between countries, with a more pronounced effect being observed at higher levels of integration. |
| 4 | The simulation process involves the following steps: first, I select 20 levels of financial integration at equal intervals, representing different degrees of financial integration. For each level of financial integration, I simulate 100 periods while considering the simultaneous effects of productivity shocks and productivity volatility shocks. Additionally, I simulate another 100 periods under the joint impact of all shocks. This simulation is performed for 10 country pairs. |
| 5 | The business cycle statistics and simulation results for each of the above sensitivity analyses are summarized in Appendix D. The findings of this paper remain robust to different parameters of the shock autocorrelation coefficient, the risk aversion coefficient, and the IES. |
Disclaimer/Publisher’s Note: The statements, opinions and data contained in all publications are solely those of the individual author(s) and contributor(s) and not of MDPI and/or the editor(s). MDPI and/or the editor(s) disclaim responsibility for any injury to people or property resulting from any ideas, methods, instructions or products referred to in the content. |
© 2023 by the authors. Licensee MDPI, Basel, Switzerland. This article is an open access article distributed under the terms and conditions of the Creative Commons Attribution (CC BY) license (http://creativecommons.org/licenses/by/4.0/).

