Submitted:
17 October 2023
Posted:
18 October 2023
You are already at the latest version
Abstract
Keywords:
1. Introduction
2. Location and Data
2.1. Project Site Selection


2.2. Meteorological Data



2.3. Sun Paths Diagram

3. Methodology

3.1. Proposed System Architecture

3.2. System Configuration
3.2.1. PV Field Orientation

3.2.2. PV Array and Inverter Characteristics

3.3. PV Field and Array Detailed Losses Parameter
| Thermal Loss factor | |
| Module temperature according to irradiance | |
| Uc (const) | 20.0 W/m²K |
| Uv (wind) | 0.0 W/m²K/m/s |
|
Ohmic Losses Series Diode Loss |
|
| Voltage drop | 0.7 V |
| Loss fraction | 0.1 % at STC |
| DC Wiring Losses | |
| Global array resistance | 4.1 mΩ |
| Loss fraction | 1.5 % at STC |


|
Module Quality Loss Loss fraction |
-0.8 % |
|
LID - Light Induced Degradation Loss fraction |
2.0 % |
|
Module Mismatch Losses Loss fraction |
2.0 % at MPP |
|
Strings Mismatch loss Loss fraction |
0.1 % |
|
Array Soiling Losses Loss fraction |
3.0 % |
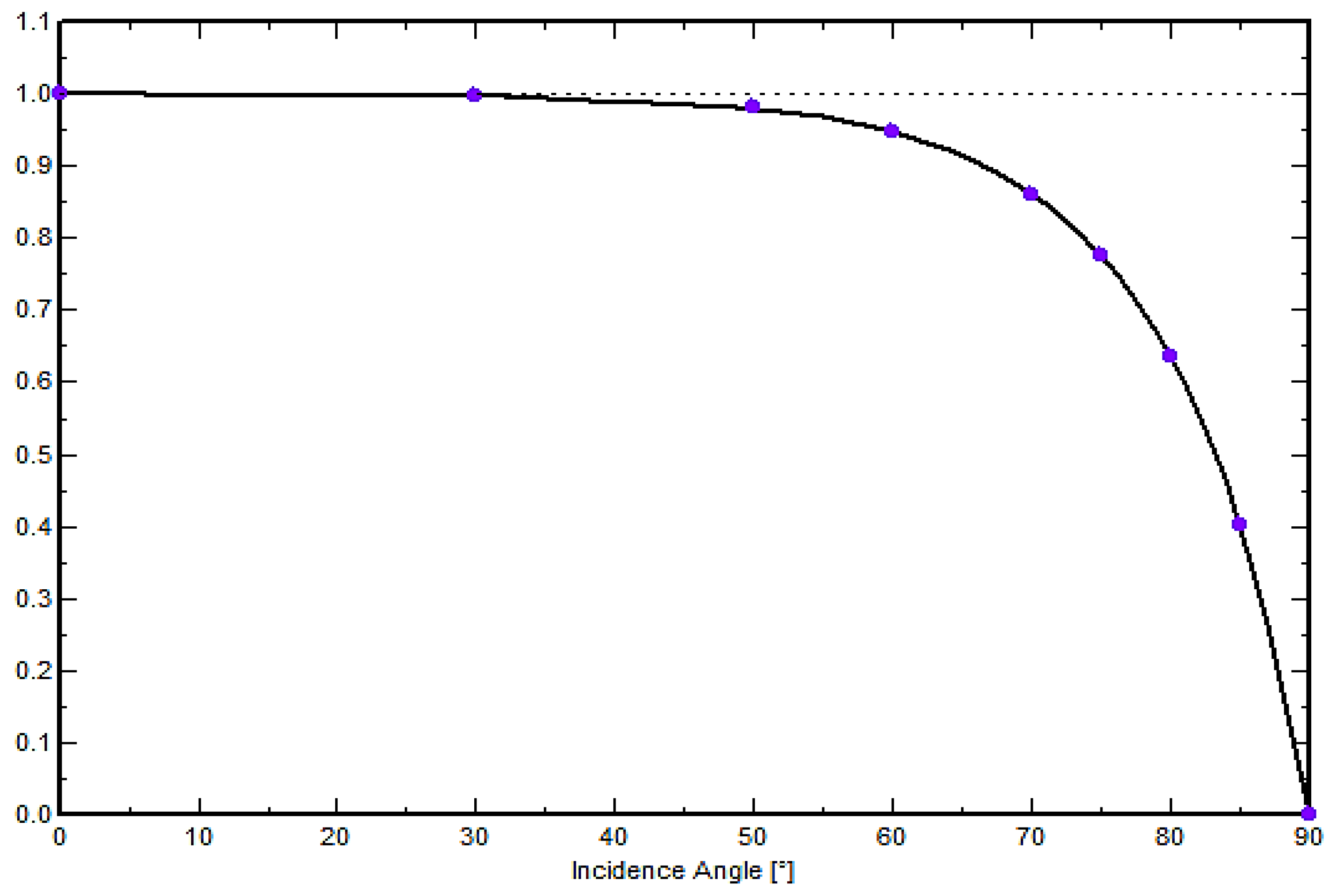
| 0° | 30° | 50° | 60° | 70° | 75° | 80° | 85° | 90° |
| 1.000 | 0.998 | 0.981 | 0.948 | 0.862 | 0.776 | 0.636 | 0.403 | 0.000 |


3.4. Simulation Modeling
4. Results and Discussion
4.1. Performance Analysis


| Month | GlobHor kWh/m2 |
DiffHor kWh/m2 |
T_Amb oC |
GlobInc kWh/m2 |
GlobEff kWh/m2 |
EArray MWh |
E_User MWh |
E_Solar MWh |
E_Grid MWh |
EFrGrid MWh |
|---|---|---|---|---|---|---|---|---|---|---|
| January | 122.3 | 54.1 | 17.35 | 153.7 | 145.6 | 240.7 | 7.440 | 3.069 | 232.8 | 4.371 |
| February | 132.6 | 60.3 | 21.49 | 155.8 | 147.7 | 237.9 | 6.720 | 3.025 | 230.2 | 3.695 |
| March | 174.6 | 78.3 | 26.48 | 191.0 | 180.9 | 283.4 | 7.440 | 3.479 | 274.4 | 3.961 |
| April | 182.5 | 88.7 | 29.10 | 185.4 | 175.2 | 271.9 | 7.200 | 3.547 | 263.1 | 3.653 |
| May | 190.0 | 100.7 | 30.27 | 182.4 | 171.9 | 267.5 | 7.440 | 3.701 | 258.6 | 3.739 |
| June | 155.3 | 99.9 | 29.46 | 146.0 | 137.0 | 217.5 | 7.200 | 3.706 | 209.3 | 3.494 |
| July | 145.1 | 99.2 | 29.24 | 137.4 | 128.6 | 206.0 | 7.440 | 3.770 | 197.9 | 3.670 |
| August | 145.8 | 90.6 | 28.99 | 143.0 | 134.2 | 213.7 | 7.440 | 3.692 | 205.5 | 3.748 |
| September | 139.4 | 74.2 | 27.91 | 145.8 | 137.2 | 216.8 | 7.200 | 3.485 | 208.8 | 3.715 |
| October | 136.0 | 72.5 | 26.95 | 152.6 | 144.5 | 229.4 | 7.440 | 3.382 | 221.3 | 4.058 |
| November | 127.8 | 54.0 | 23.13 | 158.3 | 150.0 | 241.5 | 7.200 | 2.959 | 233.9 | 4.241 |
| December | 122.7 | 50.2 | 18.73 | 158.7 | 150.3 | 246.6 | 7.440 | 3.035 | 238.7 | 4.405 |
| Year | 1774.2 | 922.8 | 25.77 | 1910.0 | 1803.1 | 2872.9 | 87.600 | 40.850 | 2774.4 | 46.750 |
4.2. Loss Diagram

4.3. P50 - P90 evaluation
| Meteo data | |
| Meteo data source | Meteonorm 7.3, Sat=100% |
| Kind | Not defined |
| Year-to-year variability (Variance) | 0.5 % |
| Specified Deviation | |
| Global variability (meteo + system) | |
| Variability (Quadratic sum) | 1.9 % |
| Simulation and parameters uncertainties | |
| PV module modelling/parameters | 1.0 % |
| Inverter efficiency uncertainty | 0.5 % |
| Soiling and mismatch uncertainties | 1.0 % |
| Degradation uncertainty | 1.0 % |
| Annual production probability | |
| Variability | 0.05 GWh |
| P50 | 2.77 GWh |
| P90 | 2.71 GWh |
| P95 | 2.69 GWh |

4.2. Financial Analysis
| Item | Quantity units | Cost BDT |
Total BDT |
|---|---|---|---|
| PV modules ECO-300M-60 |
6248 | 12003.84 | 75000000.00 |
| Inverters 890GTS_1500 |
1 |
6000000.00 |
6000000.00 |
| Installation Settings |
1 |
10000000.00 |
10000000.00 |
| Total Depreciable asset |
91000000.0091000000.00 |
| Item | Total BDT/year |
|---|---|
| Maintenance Cleaning |
50000.00 |
| Total (OPEX) Including inflation (2.00%) |
50000.00 64060.60 |

| Electricity sale Fixed feed-in tariff (BDT/kWh) |
Net present value (NPV) (BDT) |
Payback period (Years) |
Return on investment (ROI) (%) |
|---|---|---|---|
| 5.00 | 72950859 | 6.4 | 290.6 |
| 10.00 | 232876645 | 3.2 | 671.7 |
| 15.00 | 392802431 | 2.2 | 1052.8 |
4.3. Carbon Balance

| Item | LCE | Quantity | Subtotal (kgCO2) |
|---|---|---|---|
| Modules | 1713 kgCO2/kWp | 1874 kWp | 3210322 |
| Supports | 3.90 kgCO2/kg | 62480 kg | 243377 |
| Inverters | 3.90 kgCO2/units | 1.00 unit | 386 |
| Total | 3454.085 |
| SL. | Project Name | Capacity (MWp) |
Location | Latitude, Longitude | Agency | Expected Energy Generation and CO2 Emission Reduction During System Life | Expected Energy Generation and CO2 Emission Reduction till The Data Collection Day |
|---|---|---|---|---|---|---|---|
| 1 | 200 MW (AC) Solar Park by Beximco Power Co. Ltd. | 200 | Sundarganj, Gaibandha | 25.328795°N, 89.541671°E | BPDB | 4 TWh, 2 M tCO2 |
156 GWh, 74 k tCO2 |
| 2 | 30MW (AC) Solar Park by Intraco CNG Ltd. & Juli New Energy Co. Ltd. | 30 | Gangachara, Rangpur | 25.855312°N, 89.222482°E | BPDB | 654 GWh, 309 k tCO2 |
36 GWh, 17 k tCO2 |
| 3 | 100 MW (AC) Solar Park by Energon Technologies FZE & China Sunergy Co.Ltd (ESUN) | 100 | Mongla, Bagerhat | 22.650135°N, 89.761117°E | BPDB | 2 TWh, 1 M tCO2 |
199 GWh, 94 k tCO2 |
| 4 | Sirajganj 6.13 MW (AC) Grid Connected Solar Photovoltaic Power Plant | 7.6 | Sirajganj, Sirajgonj | 24.386177°N, 89.748409°E | NWPGCL | 166 GWh, 78 k tCO2 |
22 GWh, 10 k tCO2 |
| 5 | 35 MW AC Solar Park by Consortium of Spectra Engineers Limited & Shunfeng Investment Limited | 35 | Shibalaya, Manikganj | 23.848491°N, 89.913733°E | BPDB | 763 GWh, 361 k tCO2 |
102 GWh, 48 k tCO2 |
| 6 | 50 MW (AC) Solar Park by HETAT-DITROLIC-IFDC Solar Consortium | 50 | Gauripur, Mymensingh | 24.75894°N, 90.59746°E | BPDB | 1 TWh, 516 k tCO2 |
166 GWh, 79 k tCO2 |
| 7 | Kaptai 7.4 MWp (6.63 MW AC) Grid-connected Solar PV Power Plant | 7.4 | Kaptai, Rangamati | 22.493286°N, 92.218809°E | BPDB | 161 GWh, 76 k tCO2 |
37 GWh, 17 k tCO2 |
| 8 | 8 MW Solar Park by Parasol Energy Ltd. | 8 | Panchagarh, Panchagarh | 26.376098°N, 88.591665°E | BPDB | 174 GWh, 82 k tCO2 |
40 GWh, 19 k tCO2 |
| 9 | 20MW (AC) Solar Park by Joules Power Limited (JPL) | 20 | Teknaf, Cox’s Bazar | 20.980463°N, 92.252503°E | BPDB | 436 GWh, 206 k tCO2 |
116 GWh, 55 k tCO2 |
| 10 | 1.5 MW Grid-connected Solar Power Plant in Lalpur, Natore [Proposed] | 1.874 | Char Jazira, Lalpur, Natore |
24.0900°N, 88.5800°E |
Proposed |
70.375 GWh, 33074.061 tCO2 |
Proposed |
| Location | Generation Capacity (MW) | Project Status |
|---|---|---|
| Gangachara, Rangpura | 30 | aOngoing |
| Dharmapasha, Sunamganja | 32 | aOngoing |
| Gauripur, Mymensingha | 50 | aOngoing |
| Chuadangaa | 50 | aFuture |
| Netrokonaa | 50 | aFuture |
| Mongla, Bagerhata | 100 | aOngoing |
| Fenia | 100 | aFuture |
| Narsingdia | 120 | aFuture |
| Sundarganj, Gaibandhaa | 200 | aOngoing |
5. Conclusion
Author Contributions
Funding
Data Availability Statement
Acknowledgments
Conflicts of Interest
List of Abbreviations and Symbols
| Abbreviation/Symbol | Elaboration/Meaning |
| ৳ | Taka (BDT) |
| ° | Degree |
| °C | Degree Celsius |
| A | Ampere |
| AC | Alternating Current |
| Ah | Ampere hour |
| BDT | Bangladeshi Taka |
| BPDB | Bangladesh Power Development Board |
| CO2 | carbon dioxide |
| COE | Cost of Energy |
| CRF | Capital Recovery Factor |
| DC | Direct Current |
| DHI | Diffuse Horizontal Irradiance |
| DNI | Direct Normal Irradiance |
| gCO2 | gram carbon dioxide |
| GHI | Global Horizontal Irradiance |
| GIS | Geographical Information System |
| GW | gigawatt |
| GWh | Gigawatt hour |
| IAM | Incidence Angle Modifier |
| Impp | Current at Maximum Power Point |
| IRR | Internal Rate of Return |
| kW | kilowatt |
| kWac | kilowatt alternating current |
| kWdc | kilowatt direct current |
| kWh | kilowatt hour |
| kWp | kilowatt peak |
| LCE | Life Cycle Emissions |
| LCOE | Levelized Cost of Energy |
| MWh | Megawatt hour |
| mΩ | Milliohm |
| NPC | Net Present Cost |
| NPV | Net Present Value |
| NWPGL | North-West Power Generation Company Ltd. |
| O&M | Operation and Maintenance |
| OPEX | Operation Expenditure |
| Pmpp | Power at Maximum Power Point |
| Pnom | Nominal Power |
| PR | Performance Ratio |
| PV | Photovoltaic |
| RH | Relative humidity |
| ROI | Return on Investment |
| SF | Solar Fraction |
| STC | Standard Test Condition |
| tCO2 | ton carbon dioxide |
| V | volt |
| Vmpp | Voltage at Maximum Power Point |
| W | watt |
| Wh | watt hour |
References
- Solar Energy In Bangladesh: Current Status and Future. Available online: https://energytracker.asia/solar-energy-in-bangladesh-current-status-and-future/?fbclid=IwAR2dpVoe0scUzqZ_VGKQm2M3jkzN0UawrjmlbM3h9i0F_wGdD874jBmZUzg (accessed on 4 September 2023).
- Islam, M.S. Feasibility Analysis and Simulation of the Solar Photovoltaic Rooftop System Using PVsyst Software. Int. J. Educ. Manag. Eng. 2022, 12, 21–32. [Google Scholar] [CrossRef]
- Omar, M.A.; Mahmoud, M.M. Economic Evaluation of Residential Grid Connected PV Systems Based on Net- Metering and Feed-in- Tariff Schemes in Palestine. Int. J. Renew. Energy Res. 2018, 8, 2106–2115. [Google Scholar] [CrossRef]
- Podder, A.K.; Das, A.K.; Hossain, E.; Kumar, N.M.; Roy, N.K.; Alhelou, H.H.; Karthick, A.; Al-Hinai, A. Integrated Modeling and Feasibility Analysis of a Rooftop Photovoltaic Systems for an Academic Building in Bangladesh. Int. J. Low-Carbon Technol. 2021, 16, 1317–1327. [Google Scholar] [CrossRef]
- Hasan, M.; Tanvir, A.A.; Siddiquee, S.M.S.; Zubair, A. Efficient Hybrid Renewable Energy System for Industrial Sector with On-Grid Time Management. 2015 Int. Conf. Green Energy Technol. ICGET 2015 2015, 4–9. [Google Scholar] [CrossRef]
- Duman, A.C.; Güler, Ö. Economic Analysis of Grid-Connected Residential Rooftop PV Systems in Turkey. Renew. Energy 2020, 148, 697–711. [Google Scholar] [CrossRef]
- Ihsan, M.A.; Eram, A.F.; Khadem, M.M. Viability Study of Net Metering Scheme in Residential Scale: A Bangladeshi Perspective. Proc. Int. Conf. Comput. Intell. Sustain. Eng. Solut. CISES 2022 2022, 361–365. [Google Scholar] [CrossRef]
- Poudyal, R.; Loskot, P.; Parajuli, R. Techno-Economic Feasibility Analysis of a 3-KW PV System Installation in Nepal. Renewables Wind. Water, Sol. 2021, 8. [Google Scholar] [CrossRef]
- Imam, A.A.; Al-Turki, Y.A.; Sreerama Kumar, R. Techno-Economic Feasibility Assessment of Grid-Connected PV Systems for Residential Buildings in Saudi Arabia-A Case Study. Sustain. 2020, 12. [Google Scholar] [CrossRef]
- Faiz, F.U.H.; Shakoor, R.; Raheem, A.; Umer, F.; Rasheed, N.; Farhan, M. Modeling and Analysis of 3 MW Solar Photovoltaic Plant Using PVSyst at Islamia University of Bahawalpur, Pakistan. Int. J. Photoenergy 2021, 2021. [Google Scholar] [CrossRef]
- Baqir, M.; Channi, H.K. Analysis and Design of Solar PV System Using Pvsyst Software. Mater. Today Proc. 2022, 48, 1332–1338. [Google Scholar] [CrossRef]
- Kumar, R.; Rajoria, C.S.; Sharma, A.; Suhag, S. Design and Simulation of Standalone Solar PV System Using PVsyst Software: A Case Study. Mater. Today Proc. 2020, 46, 5322–5328. [Google Scholar] [CrossRef]
- Satish, M.; Santhosh, S.; Yadav, A. Simulation of a Dubai Based 200 KW Power Plant Using PVsyst Software. 2020 7th Int. Conf. Signal Process. Integr. Networks, SPIN 2020 2020, 824–827. [Google Scholar] [CrossRef]
- Jagadale, P.; Choudhari, A.; Jadhav, S. Design and Simulation of Grid Connected Solar Si-Poly Photovoltaic Plant Using PVsyst For Pune, India Location. Renew. Energy Res. Appl. 2022, 3, 41–49. [Google Scholar]
- Grover, A.; Khosla, A.; Joshi, D. Design and Simulation of 20MW Photovoltaic Power Plant Using PVSyst. Indones. J. Electr. Eng. Comput. Sci. 2020, 19, 58–65. [Google Scholar] [CrossRef]
- Chauhan, A.; Sharma, M.; Baghel, S. Designing and Performance Analysis of 15KWP Grid Connection Photovoltaic System Using Pvsyst Software. Proc. 2nd Int. Conf. Inven. Res. Comput. Appl. ICIRCA 2020 2020, 1003–1008. [Google Scholar] [CrossRef]
- Kapoor, S.; Sharma, A.K.; Porwal, D. Design and Simulation of 60kWp Solar On-Grid System for Rural Area in Uttar-Pradesh by “PVsyst. ” J. Phys. Conf. Ser. 2021, 2070. [Google Scholar] [CrossRef]
- Belmahdi, B.; El Bouardi, A. Solar Potential Assessment Using PVsyst Software in the Northern Zone of Morocco. Procedia Manuf. 2020, 46, 738–745. [Google Scholar] [CrossRef]
- Tamoor, M.; Bhatti, A.R.; Farhan, M.; Miran, S.; Raza, F.; Zaka, M.A. Designing of a Hybrid Photovoltaic Structure for an Energy-Efficient Street Lightning System Using PVsyst Software †. Eng. Proc. 2021, 12, 10–14. [Google Scholar] [CrossRef]
- Mohammadi, S.A.D.; Gezegin, C. Design and Simulation of Grid-Connected Solar PV System Using PVSYST, PVGIS and HOMER Software. Int. J. Pioneer. Technol. Eng. 2022, 1, 36–41. [Google Scholar] [CrossRef]
- PVsyst – Logiciel Photovoltaïque. Available online: https://www.pvsyst.com/ (accessed on 1 September 2023).
- Dalala, S.; B, V.J.; Rautc, R. Mr Swapnil Narkhede SSRN ANALYSIS OF 1KW SOLAR ROOFTOP SYSTEM BY USING PVSyst. Int. Conf. Commun. Inf. Process. 2020, 1–8. [Google Scholar]
- Solar Panel Orientation - Energy Education. Available online: https://energyeducation.ca/encyclopedia/Solar_panel_orientation (accessed on 1 September 2023).
- Tilt and Orientation and Solar Energy. Available online: https://www.viridiansolar.co.uk/resources-1-3-tilt-and-orientation.html (accessed on 1 September 2023).
- Bansal, N.; Pany, P.; Singh, G. Visual Degradation and Performance Evaluation of Utility Scale Solar Photovoltaic Power Plant in Hot and Dry Climate in Western India. Case Stud. Therm. Eng. 2021, 26, 101010. [Google Scholar] [CrossRef]
- Talavera, D.L.; Muñoz-Cerón, E.; de la Casa, J.; Lozano-Arjona, D.; Theristis, M.; Pérez-Higueras, P.J. Complete Procedure for the Economic, Financial and Cost-Competitiveness of Photovoltaic Systems with Self-Consumption. Energies 2019, 12, 1–23. [Google Scholar] [CrossRef]
- Cui, Y.; Zhu, J.; Meng, F.; Zoras, S.; McKechnie, J.; Chu, J. Energy Assessment and Economic Sensitivity Analysis of a Grid-Connected Photovoltaic System. Renew. Energy 2020, 150, 101–115. [Google Scholar] [CrossRef]
- Meteo Database > Import Meteo Data > Meteonorm Data and Program. Available online: https://www.pvsyst.com/help/meteo_source_meteonorm.htm (accessed on 1 September 2023).
- Intro - Meteonorm (En). Available online: https://meteonorm.meteotest.ch/en/ (accessed on 1 September 2023).
- Surface Meteorology and Solar Energy (SSE) Data Release 5.1 - NASA Technical Reports Server (NTRS). Available online: https://ntrs.nasa.gov/citations/20080012141 (accessed on 1 September 2023).
- Solar Resource Maps and GIS Data for 200+ Countries | Solargis. Available online: https://solargis.com/maps-and-gis-data/download/bangladesh (accessed on 1 September 2023).
- Eltbaakh, Y.A.; Ruslan, M.H.; Alghoul, M.A.; Othman, M.Y.; Sopian, K.; Razykov, T.M. Solar Attenuation by Aerosols: An Overview. Renew. Sustain. Energy Rev. 2012, 16, 4264–4276. [Google Scholar] [CrossRef]
- Page, J.K. RADIATION DATA. 1981, 23–35. [Google Scholar] [CrossRef]
- Bowen, A. FUNDAMENTALS OF SOLAR ARCHITECTURE. Sol. Energy Convers. 1979, 481–553. [Google Scholar] [CrossRef]
- Yousef, B.A.A.; Radwan, A.; Olabi, A.G.; Abdelkareem, M.A. Sun Composition, Solar Angles, and Estimation of Solar Radiation. Renew. Energy - Vol. 1 Solar, Wind. Hydropower Defin. Dev. Appl. Case Stud. Model. Simul. 2023, 1, 3–22. [Google Scholar] [CrossRef]
- Mermoud, A. Modeling Systems Losses in PVsyst. 2013, 1–15. [Google Scholar]
- Soualmia, A.; Chenni, R. Modeling and Simulation of 15MW Grid-Connected Photovoltaic System Using PVsyst Software. Proc. 2016 Int. Renew. Sustain. Energy Conf. IRSEC 2016 2017, 702–705. [Google Scholar] [CrossRef]
- What Is the Carbon Footprint of Solar Panels? | Solar.Com. Available online: https://www.solar.com/learn/what-is-the-carbon-footprint-of-solar-panels/ (accessed on 2 September 2023).
- Project Design > Carbon Balance Tool. Available online: https://www.pvsyst.com/help/carbon_balance_tool.htm (accessed on 2 September 2023).
- Solar Park | National Database of Renewable Energy, SREDA. Available online: http://www.renewableenergy.gov.bd/index.php?id=1&i=1&pg=1 (accessed on 4 September 2023).
- Sustainable and Renewable Energy Development Authority (SREDA)-Power Division; Ministry of Power, Energy & Mineral Resources. Available online: http://www.sreda.gov.bd/ (accessed on 4 September 2023).



| Year | Gross income | Running costs | Depreciable allowance | Taxable income | Taxes | After-tax profit | Self- consumption saving |
Cumulative Profit |
% Amorti. |
|---|---|---|---|---|---|---|---|---|---|
| 2024 | 27744 | 50 | 0 | 27694 | 0 | 27694 | 408 | -62898 | 30.9% |
| 2025 | 27744 | 51 | 0 | 27693 | 0 | 27693 | 408 | -34796 | 61.8% |
| 2026 | 27744 | 52 | 0 | 27692 | 0 | 27692 | 408 | -6696 | 92.6% |
| 2027 | 27744 | 53 | 0 | 27691 | 0 | 27691 | 408 | 21403 | 123.5% |
| 2028 | 27744 | 54 | 0 | 27690 | 0 | 27690 | 408 | 49501 | 154.4% |
| 2029 | 27744 | 55 | 0 | 27689 | 0 | 27689 | 408 | 77598 | 185.3% |
| 2030 | 27744 | 56 | 0 | 27687 | 0 | 27687 | 408 | 105694 | 216.1% |
| 2031 | 27744 | 57 | 0 | 27686 | 0 | 27686 | 408 | 133789 | 247.0% |
| 2032 | 27744 | 59 | 0 | 27685 | 0 | 27685 | 408 | 161883 | 277.9% |
| 2033 | 27744 | 60 | 0 | 27684 | 0 | 27684 | 408 | 189975 | 308.8% |
| 2034 | 27744 | 61 | 0 | 27683 | 0 | 27683 | 408 | 218067 | 339.6% |
| 2035 | 27744 | 62 | 0 | 27682 | 0 | 27682 | 408 | 246157 | 370.5% |
| 2036 | 27744 | 63 | 0 | 27680 | 0 | 27680 | 408 | 274246 | 401.4% |
| 2037 | 27744 | 65 | 0 | 27679 | 0 | 27679 | 408 | 302333 | 432.2% |
| 2038 | 27744 | 66 | 0 | 27678 | 0 | 27678 | 408 | 330420 | 463.1% |
| 2039 | 27744 | 67 | 0 | 27677 | 0 | 27677 | 408 | 358505 | 494.0% |
| 2040 | 27744 | 69 | 0 | 27675 | 0 | 27675 | 408 | 386588 | 524.8% |
| 2041 | 27744 | 70 | 0 | 27674 | 0 | 27674 | 408 | 414671 | 555.7% |
| 2042 | 27744 | 71 | 0 | 27672 | 0 | 27672 | 408 | 442752 | 586.5% |
| 2043 | 27744 | 73 | 0 | 27671 | 0 | 27671 | 408 | 470831 | 617.4% |
| 2044 | 27744 | 74 | 0 | 27670 | 0 | 27670 | 408 | 498909 | 648.3% |
| 2045 | 27744 | 76 | 0 | 27668 | 0 | 27668 | 408 | 526986 | 679.1% |
| 2046 | 27744 | 77 | 0 | 27667 | 0 | 27667 | 408 | 555061 | 710.0% |
| 2047 | 27744 | 79 | 0 | 27665 | 0 | 27665 | 408 | 583134 | 740.8% |
| 2048 | 27744 | 80 | 0 | 27663 | 0 | 27663 | 408 | 611206 | 771.7% |
| Total | 693595 | 1602 | 0 | 691994 | 0 | 691994 | 10212 | 611206 | 771.7% |
Disclaimer/Publisher’s Note: The statements, opinions and data contained in all publications are solely those of the individual author(s) and contributor(s) and not of MDPI and/or the editor(s). MDPI and/or the editor(s) disclaim responsibility for any injury to people or property resulting from any ideas, methods, instructions or products referred to in the content. |
© 2023 by the authors. Licensee MDPI, Basel, Switzerland. This article is an open access article distributed under the terms and conditions of the Creative Commons Attribution (CC BY) license (http://creativecommons.org/licenses/by/4.0/).