Preprint
Article

This version is not peer-reviewed.

Research on the Coupled Coordination of the Digital Economy and Environmental Quality

A peer-reviewed article of this preprint also exists.

Submitted:

13 October 2023

Posted:

17 October 2023

You are already at the latest version

Abstract
Based on the panel data from 31 provinces in China from 2012 to 2020, this paper uses the TOPSIS method to measure the development level of the digital economy and environmental quality. Then, a coupled coordination degree model is used to analyse the relationship between the digital economy and environmental quality. Kernel density estimation and the Dagum Gini coefficient method were used to reveal the dynamic evolution trend of the coupled coordination level between the digital economy and environmental quality and the regional trends of coupled indicators. Finally, the dynamics of the above relations were explored with an econometric model. The results show that the coupled coordination degree of the digital economy and environmental quality displays obvious regional heterogeneity, and the national coordination level exhibits dynamic convergence characteristics. The heterogeneity of the coupled coordination degree of the two systems in the eastern region has decreased year by year, except in the western region, the central region and the northeast region, where an upwards trend is observed. Overall, the Gini coefficient of the coupled coordination degree between the digital economy and environmental quality displays a certain downwards trend. The level of economic development, technological innovation level, industrial structure, degree of opening to the outside world, degree of environmental regulation, marketization index and financial development level have a positive influence on the coupled coordination of the digital economy and environmental quality. Environmental regulation is the core driver of the coupling of the two systems, and the economic development level, technological innovation level, industrial structure and degree of openness are the other major drivers. Therefore, in the processes of digital economy transformation and environmental governance, all regions should focus on balanced development between regions to optimize the overall efficiency of the two systems, consider external influence, enhance internal capabilities, and promote the coordination and co-development of the two systems.
Keywords: 
;  ;  ;  

1. Introduction

With the development of urbanization and industrialization, environmental problems have become increasingly serious. For a long time, China’s economy has been based on the traditional resource- and labour-intensive growth model. Although economic development has occurred, it has led to environmental pollution and ecological destruction, thus not only restricting the sustainable development of the economy but also seriously affecting the health and safety of the people and making social contradictions increasingly prominent. The improvement of environmental quality requires the transformation of the economic development mode. According to the 14th Five-Year Plan for Digital Economy Development issued by the State Council, by 2025, the added value of the core industries of the digital economy will account for 10% of the GDP, and many places in China will enter a period of active development of the digital economy. The digital economy is an advanced economic form. It has played a considerable role in resource allocation, penetration and integration, collaborative governance and other processes. The digital economy and ecological environment influence and constrain each other, and sustainable development must account for their synergistic development.
Few academics have examined the relationship between the digital economy and environmental quality, and even fewer have studied the coupling of the digital economy and environmental quality. To meet the relevant research needs, this study attempts to establish an evaluation index system to measure space-time evolution through the characteristics of the coupled coordination degree and driving factors of these two systems.

2. Literature Review

Zalutskyy [1] defined the digital economy as an economy based on digital technology that provides inclusive socioeconomic development and prosperity. Sabina [2] noted that the digital economy is not limited to changes in technical infrastructure, and the institutional environment in the context of the digital economy is reaching a new form. Aghion and Howitt [3] introduced environmental pollution and resource constraints into Schumpeter’s model and found that continuous technological innovation could promote the outwards movement of the economic equilibrium point and enhance output. Cui et al. [4] proposed that the mitigation of ecological imbalance is mainly due to enhanced water resource protection and the sustainable nature of the scale and speed of socioeconomic development. Ma et al. [5] incorporated an environmental index and a digital economy index into the Environmental Kuznets (EKC) model and found that the impact of the digital economy on the environment displays a positive "U" shape. Notably, the digital economy made a significant contribution to improvements in the environment in China during the investigation period. Tang and Wang [6] used the SDM model and intermediary effect model to study the impact of the digital economy on ecological resilience and the corresponding mechanism and found that the digital economy is characterized by a significant spatial spill over effect that promotes the ecological resilience of regions and neighbouring regions. Zhao [7] found that industrial production has a considerable impact on the ecological environment, and the increase in tertiary industry has promoted the green economy. Using panel data for 72 countries from 2003-2019, Shahbaz et al. [8] demonstrated that the digital economy has had a positive impact on the energy transition. Lv et al. [9] proposed the main path for the digital economy to promote the realization of the value of ecological products. Shen et al. [10] and Dong et al. [11] used an improved coupled coordination degree model to verify the coupled relationships between socioeconomics and carbon emissions, urbanization and air quality. Yan et al. [12] verified that energy, the economy and the environment interact, restrict and promote each other. Weng et al. [13] conducted an empirical analysis of the coupled and coordinated development of the economy, environment and society in 31 provinces and regions in China. The results showed that the comprehensive index and coupled coordination degree are highest in the eastern region, although the degrees coupling is similar in the eastern, central and western provinces. Han et al. [14] and Liu et al. [15] explored the coupled coordination relationship among the regional digital economy, level of technological innovation and ecological environment in detail; they applied spatiotemporal and geographical weighted regression models and verified that human capital is the main force promoting coupled and coordinated development. Liu et al. proposed that the economic development level, technological innovation level and environmental driving mechanism are the main drivers of the coupled development of the three systems above in China’s provinces and cities. Fu et al. [16] calculated the coordinated development level of the digital economy and environment by using an entropy method and a coupled coordinated development (CCD) model, and the results showed that the coordinated development levels of the two systems presented regional heterogeneity. Zhang [17] proposed that attention be given to the integration of the digital economy and agricultural development, as the digital economy is an important driver that can promote economic and ecological development in rural areas.
In summary, scholars’ research on the digital economy and environmental quality has mainly focused on the following two aspects. First, the measurements of the digital economy and environmental quality have been obtained. The digital economy is a new economic model driven by advancements in digital technology [18], and it can significantly reduce resource and environmental loss [19,20], support green development [21,22], and protect the ecological environment [23,24]. Quantitative assessments of the digital economy have focused on added value [25,26] and the compilation of development indices [28]. Notably, scholars tend to base the measurements of the digital economy on the levels of Internet access and digital financial inclusion [27,28]. Environmental quality research has mainly focused on the development and evaluation of indicators. Comprehensively, urban environmental quality can include air quality, the quality of the sound environment, solid waste, soil quality, water quality and other factors [29,30,31,32,33,34]. With the gradual increase in the popularity of the concept of sustainable development, many countries have proposed series of indicator systems to support sustainable urban development [35,36,37]. In 1990, the United Nation‘s Organization for Economic Cooperation and Development (OECD) adopted the PSR system to represent the pressure caused by human activities on the ecological environment as an environmental indicator [38,39,40]. In general, due to the different research purposes and approaches of scholars, there are extensive differences in the construction of environmental quality indicators.
Second, we discuss the relationship between the digital economy and environmental quality. This approach is mainly manifested from two aspects. First, the impact of the digital economy on environmental quality is explored. The digital economy has an important impact on the quality of the environment [5,6,8]. Notably, the digital economy has an inhibitory effect on energy consumption in the short term [41] and a growth effect in the long term [42]. The digital economy is an important driver of ecological development [17], which can limit environmental pollution [43,44] and enable green development [45,46] by enhancing innovation. The second is the interaction between the digital economy and the environment. The two systems are characterized by a coupled and coordinated development relationship [11,12,13,14,16]. Human capital [14], the economic development level, the technological innovation level, and environmental mechanisms [15] are the main drivers that promote the coupled and coordinated relationship between the digital economy and environmental quality.
Based on a comprehensive view of the literature, although research on the digital economy and environmental quality has attracted increasing attention from scholars, there is still room for further expansion regarding the coupled and coordinated development of the digital economy and environmental quality. First, existing studies mainly focused on the coupled relationship between economic development and environmental quality and gave insufficient attention to the connection between digital economy development and environmental quality. Second, the existing studies mainly focused on the role and mechanism of the digital economy in improving the environment, including in specific regions through case studies. Empirically, panel data econometric models have been used to analyse the scope and intensity of the effect of the digital economy on environmental pollution at the provincial and city levels, and the coupled and coordinated relationship between the digital economy and environmental quality has not been comprehensively discussed.
Compared with those of previous studies, the main contributions of this paper are as follows: (1) a comprehensive evaluation index system is established for the digital economy and environmental quality, the coupled and coordinated relationship between the digital economy and environmental quality is established, and kernel density estimation is used to analyse the dynamic evolution trends of the two systems. The Dagum Gini coefficient was used to analyse the variations in regional differences in the coupled coordination index. (2) Exogenous and endogenous driving factors of the two systems are discussed, and the core and major driving factors affecting the coupled coordination degree are verified with an individual fixed-effect model. The purpose of this paper is to provide a scientific basis for relevant research and for various departments to formulate relevant policies related to the digital economy and environmental protection. Subsequently, the trend of the coupling and coordination of the two systems can be assessed over time.

2.1. Samples and Data Sources

In this paper, 31 provinces and autonomous regions in China (excluding Hong Kong, Macao, and Taiwan) are selected for analysis, and the sample investigation period is 2011-2020. The data are mainly from the 2012-2021 China Statistical Yearbook, China Environmental Statistical Yearbook, China Energy Statistical Yearbook, Tertiary Industry Statistical Yearbook, Information Industry Yearbook, Peking University Digital Financial Inclusion Index and provincial statistical yearbooks. Some ecological and environmental data are from the EPS data platform. Additionally, some data gaps were filled with linear interpolation and the ARIMA model.

2.2. Index System

In accordance with the principles of data availability and index representativeness and with reference to relevant research results, the evaluation index system of the regional ecological environmental quality is constructed by selecting 12 one-way indicators, including the amount of general industrial solid waste, the forest coverage rate of each region, the urban gas penetration rate, etc., based on the four first-level indicators of pollution emissions, ecological protection, the level of human activities and environmental governance, as shown in Table 1.
Table 1. Index system of regional ecological environmental quality.
Table 1. Index system of regional ecological environmental quality.
Primary index Secondary index Index attribute Weight
Pollution discharge Amount of general industrial solid waste produced Negative 0.012034229
Industrial sulphur dioxide emission intensity Negative 0.017184897
Industrial solid waste effect Negative 0.011631183
Ecological protection Forest coverage by region Positive 0.07798519
Green coverage rate in built-up areas Positive 0.006508551
Expenditures on energy conservation and environmental protection Positive 0.080671149
Human environment Per capita water resources Positive 0.61623046
Urban gas penetration rate Positive 0.004545198
Environmental governance Investment in industrial pollution control Positive 0.132815803
Comprehensive utilization rate of general industrial solid waste Positive 0.022935958
Urban sewage treatment rate Positive 0.006014107
Treatment rate of harmless household garbage Positive 0.011443274
The system of the digital economy includes two first-level indicators, namely, Internet development and digital financial inclusion, and five individual indicators, such as the Internet penetration rate and the number of Internet-related employees, as shown in Table 2.
Table 2. Index system of the digital economy development level.
Table 2. Index system of the digital economy development level.
Primary index Secondary index Index attribute Weight
Internet development Internet penetration Positive 0.079554021
Number of Internet-related employees Positive 0.142595924
Internet-related output Positive 0.298073372
Number of mobile Internet users Positive 0.073869761
Digital financial inclusion Digital financial inclusion index Positive 0.405906923

2.3. Research Methods

2.3.1. Entropy Weight TOPSIS Method

The entropy weight method is used to determine the weights of indicators, and the ranking of evaluation objects is determined according to the Technique for Order of Preference by Similarity to the Ideal Solution (TOPSIS) method. The calculation steps in the entropy-weighted TOPSIS method are as follows:
Assume that the research object is m provinces, each province has an evaluation indicators, and a judgement matrix is constructed:
X = x i j m × n ( i = 1,2 , . . . , m ; j = 1,2 , . . . , n )
The following expressions are used to standardize the indicators:
x i j = x i j m i n x i j m a x x i j m i n x i j , x i j = m a x x i j x i j m a x x i j m i n x i j ,
Information entropy is calculated as follows:
H j = k i = 1 m p i j ln p i j ,
Among them, p i j = x i j i = 1 m x i j and k = 1 ln m .
The weight of indicator j is determined as:
w j = 1 H j j = 1 n 1 H j ,
The weight matrix is obtained as follows:
R = r i j m × n ,   where   r i j = w j × x i j ,
The Euclidean distance between each value and the best and worst solutions is given by:
s e p i + = j = 1 n s j + r i j 2 s e p i + = j = 1 n s j r i j 2 ,
The comprehensive evaluation index is expressed as:
M i = s e p i s e p i + s e p i + ,
In this case, the larger M i is, the higher the corresponding score and the higher the levels of the digital economy and environmental quality in the province.

2.3.2. Coupling Evaluation

With formula (1) to formula (7), the environmental development index (EDI) and digital economy development index (DDI) can be calculated for each factor, referring to the method of Cong [47]. The following formula is used to construct an evaluation model for the coupling degree of the regional digital economy and environmental development:
C i t = 2 E D I i t × D D I i t E D I i t + D D I i t ,
where C i t   is the degree of coupling between the digital economy and environmental quality of region i in year t, which reflects the mutual influence between systems. The greater the C i t value is, the stronger the coupling between the digital economy and environmental quality.

2.3.3. Coordination Degree Evaluation

To further explore the coordinated development level of the digital economy and environmental quality, a coupled coordination degree evaluation model of the provincial digital economy and environmental quality is constructed. The formulas are as follows:
T i t = β 1 E D I i t + β 2 D D I i t ,
D i t = C i t × T i t ,
T i t   is the coordination index of the regional digital economy and environmental quality, and β1 and β2 are weights. In this paper, it is assumed that the digital economy and environment are equally important in the development of provinces; therefore, β1=β2= 1 2 , D i t is the coupled coordination degree of the digital economy and environmental quality in region i in year t. The value of D i t   is between 0 and 1, and the closer D i t   is to 1, the more benign the overall effect generated by the interactions of the digital economy and environmental quality. The coupled coordination degree is divided into 10 different levels according to the approach of Tang et al. [48].

2.3.4. Kernel Density Estimation

The probability density function of coupled coordination degree D is established as follows:
f x = 1 m h i = 1 m k x x i h ,
x i   is the ith observed value of the coupled coordination degree D of the random variable, h is the bandwidth, and k · is the kernel density. The Gaussian kernel density function is used to estimate the dynamic evolution trend of the distribution of the coupled coordination degree between the digital economy and ecological environmental quality. The kernel function expression is as follows:
K x = 1 2 π e x p x 2 2 ,

2.3.5. Dagum Gini Coefficient

To reveal the trend of the relative differences in evaluation indicators, the Dagum Gini coefficient decomposition method is used to calculate the regional differences in evaluation indicators, and the calculation is as follows:
G = l = 1 q h = 1 q i = 1 m l r = 1 m h y l i y h r 2 m 2 y ¯ ,
Here, q and m are the number of regions and the number of provinces, respectively, l and h are the inner sets for region m, i and r are different provinces, and y l i and y h r represent the coupled coordination degree of province i in region l and province r in region h, respectively. The contribution value of Gini coefficient decomposition is calculated as follows:
G l l = i = 1 m l r = 1 m l y l i y l r 2 m l 2 y ¯ ,
G l h = i = 1 m l r = 1 m h y l i y h r m l m h y i ¯ + y h ¯   ,
G w = l = 1 q G l l p l s l   ,
G b = l = 2 q h = 1 l 1 G l h p l s h + p s h l D l h   ,
G t = l = 2 q h = 1 l 1 G l h p l s h + p h h l 1 D l h   ,
G l l   a n d   G l h are the Gini coefficients for region l and region h with respect to region l, G w is the Gini coefficient within the group, G b is the intergroup Gini coefficient, and G b is the supervariable density coefficient.   p l = m l / m is the ratio of the number of provincial units in l region to the total number; s l = m l y l ¯ / m y ¯ ; D l h = d l h p l h / d l h + p l h is the relative influence of the coupled coordination degree of the digital economy and environmental quality in regions l and h; d l h = 0 d F l y 0 y y x d F h x is the difference in the coupled coordination degree between two systems and is the mathematical expectation of the sum of sample values satisfying y l i y h r > 0 in region l and region h; p l h = 0 d F h y 0 y y x d F l x   is the first hypervariable moment, or the mathematical expectation of the sum of sample values satisfying y h r y l i > 0 in region l region and region h; and F l F h is th cumulative density distribution function for the   l h region.

2.3.6. Establishment of the Measurement Model

Based on the panel data from 31 provinces in China from 2011to 2020, the dynamic factor measurement model of coupled and coordinated development is constructed as follows:
D i t = β 1 P E C O i t + β 2 S T R i t + β 3 P I N N i t + β 4 F I N i t + β 5 G O V i t + β 6 M I i t + β 7 E R i t + ε i t ,
where i represents each province, t represents time, D i t is the coupled coordination degree, PECO is the level of economic development, STR is the upgrading of the industrial structure, PINN is the technological innovation ability, FIN is the level of financial development, GOV is the degree of government intervention, MI is the marketization index, ER is the degree of environmental regulation and ε is the error term.

3. Analysis of Results

3.1. Coupled Coordination Level Analysis

The regional EDI and DDI were calculated according to formulas (1)-(7), and the coupling degree C i t values of the two systems were calculated according to formulas (8), (9) and (10). The measurement results for the coupling and coordination degree D i t values of the two systems are shown in Figure 1. Combined with the data characteristics, the following findings were obtained. First, although the value ranges of the environmental quality index and digital economy index are different in different regions, the distribution patterns of the two are relatively similar, forming the basis for the coupled relationship between the two systems. Second, the level in the eastern region is above the national average level, and Beijing, Guangdong, Shanghai and Zhejiang display the highest levels, reflecting good coupled coordination degrees. Third, the levels in the central region and the northeast region are at the national average level, and those in Shanxi and Liaoning are lower. Fourth, the level in the western region is generally lower than the national average level, especially in Inner Mongolia, with the lowest observed value, but the measurement level in Tibet reflects a good system coupling effect. Overall, the development level of the digital economy in the eastern region is relatively strong, and the degree of correlation and mutual promotion between the two systems of the digital economy and environmental quality displays regional heterogeneity.
Figure 1. Evaluation index, coupling degree and coupled coordination degree in each region.
Figure 1. Evaluation index, coupling degree and coupled coordination degree in each region.
Preprints 87750 g001
The average value of the coupling degree C in Inner Mongolia is 0.757, ranging from 0.5 to 0.8, indicating that the digital economy and environmental quality systems in Inner Mongolia are in the run-up stage, and the C values in other regions are higher than 0.8, with many close to 1; this suggests that the two systems in other regions are in a high-level coupling stage. The D-value grade and division standard for the coupled coordination degree are shown in Table 3.
Table 3. Evaluation criteria for the coupled coordination degree.
Table 3. Evaluation criteria for the coupled coordination degree.
Coupled coordination degree Coordination level Value range
Hyperdysregulation 1 [0~0.1)
Severe disorder 2 [0.1~0.2)
Moderate dysregulation 3 [0.2~0.3)
Mild disorder 4 [0.3~0.4)
Borderline disorder 5 [0.4~0.5)
Forced misalignment 6 [0.5~0.6)
Primary coordination 7 [0.6~0.7)
Intermediate coordination 8 [0.7~0.8)
Good coordination 9 [0.8~0.9)
Quality coordination 10 [0.9~1)
Figure 2a-d show the coupled coordination levels in the four economic regions during the investigation period, reflecting the coupled coordination degree trend of the digital economy and environmental quality in each province and city. The average coupled coordination degree from 2011 to 2020 ranks as follows: eastern (0.59311) > central (0.50455) > western (0.49988) > northeast (0.49367). Therefore, from a data perspective, the coupled coordination degree of the digital economy and environmental quality systems displays obvious regional heterogeneity.
Figure 2. a. Coupled coordination degree in the eastern region. b. Coupled coordination degree in the central region. c. Coupled coordination degree in Northeast China. d. Coupled coordination degree in the western region.
Figure 2. a. Coupled coordination degree in the eastern region. b. Coupled coordination degree in the central region. c. Coupled coordination degree in Northeast China. d. Coupled coordination degree in the western region.
Preprints 87750 g002aPreprints 87750 g002b
The coupled coordination degree of the digital economy and environmental quality in the eastern region is higher than the national average level. Hebei Province experienced a brief decline in this degree in 2012, but a rapid growth trend has since occurred. In 2017, the coupled coordination degree of Hebei reached 0.535, an increase of 2.9 times that in 2012, among the highest values nationally, reflecting a jump in the coupled coordination level from low to high. The coupled coordination levels in Hainan, Jiangsu and Shandong provinces also increased considerably by 81.59%, 81.86% and 92.56%, respectively. The lowest increase was in Tianjin at 47.56%.
The development trend of the coupled coordination level in the central region is good. The gap between the coupled coordination level of Shanxi and the other provinces after 2013 varied, but the levels in the other five provinces were similar. The increase in the coupled coordination level in the six central provinces was generally higher than that in most of the eastern regions, ranging from 1.2 to 2, with the largest increase in Henan Province. In 2020, the coupled coordination degree of the two systems in Henan Province was 0.639, twice that in 2011, indicating that the correlation between the digital economy and environmental quality systems in Henan Province improved over time.
The coupled coordination degree of the Jilin and Heilongjiang systems in Northeast China steadily improved, and that in Liaoning declined in 2015 and 2016; additionally, the growth rate slowed after 2018, indicating that the coupled coordination level of the digital economy and environmental quality was not stable.
In the western region, the coupled coordination level of Tibet far exceeds the levels in other areas, outpacing the western average level by approximately 74%. The coupled coordination level in Gansu Province increased the most, approximately 4.37 times the original value. Second, the coupled coordination level in Guizhou increased by more than a factor of 2, and the coupled coordination levels in other provinces and cities increased to different degrees. Ningxia displayed a low coupled coordination level before 2013, with subsequent reductions in 2014 and 2015, indicating that the coupled coordination between the digital economy and environmental quality in some provinces and cities is still in the run-up period. Thus, it is necessary to work together to improve the coupling of the two systems.
During the study period, the coupled coordination level of 31 provinces (autonomous regions) in China improved, and by 2020, the values in all regions reached levels 6, 7, 8 and 9. The classified coupled coordination level of each province in 2011 and 2020 is shown in Table 4. In 2011, no province reached the level of primary coordinated development or above, only one region in Beijing reached the level of slight coordinated development, and the coupled coordination degree of Beijing was 0.532. This indicates that the coordinated promotion of the digital economy and environmental quality had not yet begun nationwide. In 2020, the coupled coordination levels of Zhejiang and Tibet reached the good level, with values of 0.807 and 0.872 in Zhejiang and Tibet, respectively, leading the country. The coupled coordination levels of the two systems in Beijing, Shanghai, Jiangsu, Fujian, Guangdong, Hainan and Chongqing, accounting for approximately 23% of the country, reached the intermediate level of coordinated development. These seven provinces have experienced rapid development, and the coordination and interaction between the two systems have been remarkable. The coupled coordination level of the two systems in 17 regions, such as Tianjin and Hebei, accounting for approximately 55% of the country in total, has reached a primary level of coordinated development, indicating that the coupling of the two systems has occurred in more than half of the country. The remaining five regions are characterized by partially coordinated development, indicating that there is still much room for the coordinated promotion of the environment and digital economy in these provinces. Overall, during the sample investigation period, the coupled coordination level of the digital economy and environmental quality in 31 provinces and regions around the country improved to varying degrees.
Table 4. Coupled coordination level of each province.
Table 4. Coupled coordination level of each province.
Coupled coordination type The year 2011 The year 2020
Sound and coordinated development
0.8 < D 0.9
—— Zhejiang, Tibet
Intermediate coordinated development
0.7 < D 0.8
—— Peking, Shanghai, Jiangsu, Fujian, Kwangtung, Hainan, Chongqing
Primary coordinated development
0.6 < D 0.7
—— Tianjin, Hebei, Liaoning, Jilin, Heilongjiang, Anhui, Jiangxi, Shandong, Henan, Hubei, Hunan, Guangxi, Sichuan, Guizhou, Yunnan, Shaanxi, Qinghai
Partially coordinated development
0.5 < D 0.6
Peking Shanxi, Inner Mongolia, Gansu, Ningxia, Xinjiang

3.2. Dynamic Evolution Characteristics of the Coupled Coordination Degree

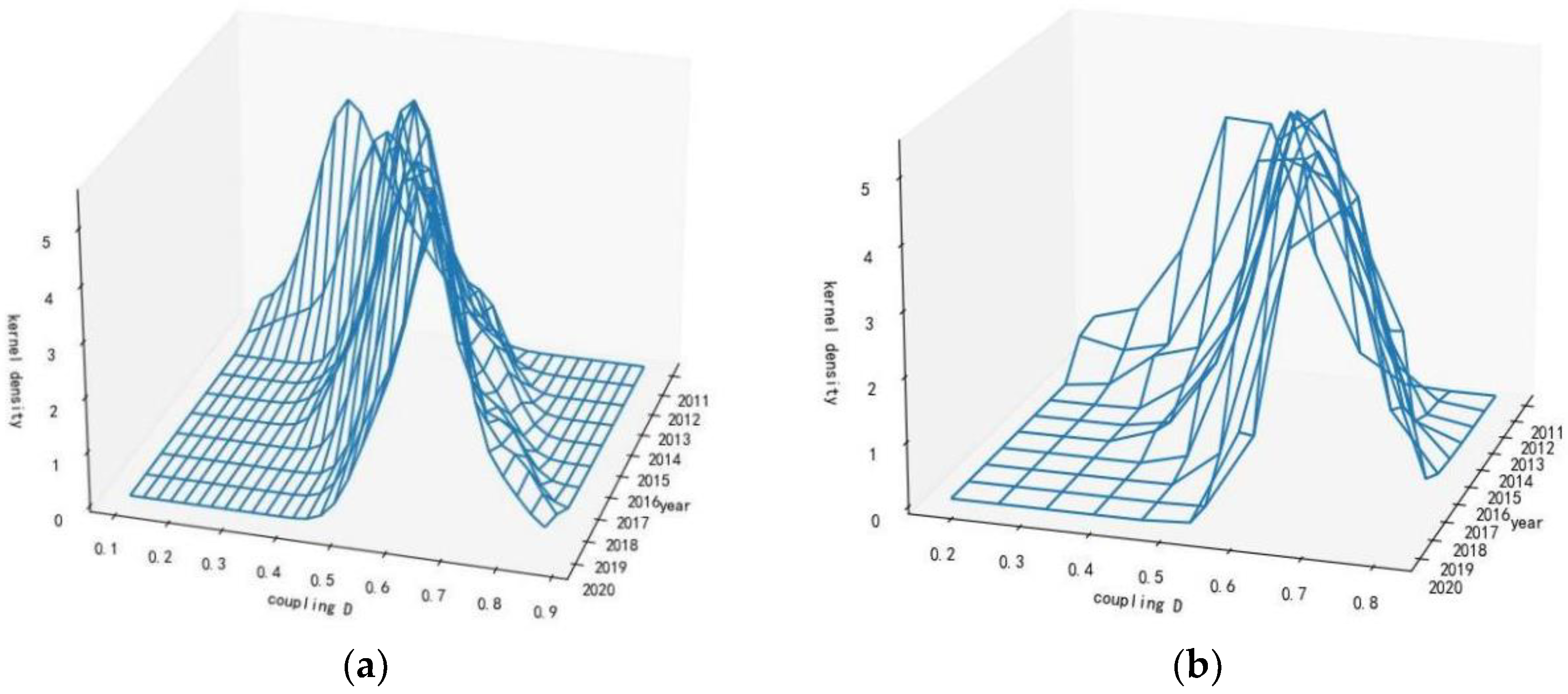
In this paper, Python 3.6 software was used to estimate the kernel density of the coupled coordination degree between the digital economy and environmental quality from 2011 to 2020, as shown in Figure 3.
Figure 3. (a) Nationwide; (b) Eastern region; (c) Central region; (d) Western region; (e) Northeast region.
Figure 3. (a) Nationwide; (b) Eastern region; (c) Central region; (d) Western region; (e) Northeast region.
Preprints 87750 g003aPreprints 87750 g003b
Figure 3(a) shows the dynamic evolution trend of the overall national coupled coordination degree during the sample period. Notably, the kernel curve gradually shifts to the right, indicating that the overall coupled coordination level of the country continues to improve. From the perspective of the distribution pattern, the kernel curve displays a slight trailing phenomenon in 2012, 2014, 2017 and 2018, indicating that there is a certain spatial gap in the coupled coordination levels in 2012, 2014, 2017 and 2018 nationwide. Some provinces rely on their own resource endowments and advanced development experience; they took the lead in improving the coupled coordination level of the digital economy and ecological environment system. The variations in the kernel curve display a narrowing trend to a certain extent, which indicates that the spatial gap of the coupled coordination level in the country is gradually narrowing. Based on the distribution pattern, the vertical height of the curves remains basically unchanged, the horizontal width decreases, and the number of peaks decreases, which indicates that the horizontal density of the national coupled coordination degree tends to move in the direction of numerical reduction, and there is a dynamic convergence characteristic. The dynamic distribution and evolution trend of the coupled coordination degree between the digital economy and environmental quality in the four economic regions is shown in Figure 3(b)-(e).
In the eastern region, the kernel curve gradually shifts to the right, and the coupled coordination degree generally shows an upwards trend. From the distribution pattern, the height of the main peak exhibits a steady upwards trend, the width of the main peak gradually narrows, and the interprovincial difference in the coupled coordination degree in the eastern region decreases. From the perspective of distribution variations, there is no obvious tailing phenomenon in the right tail of the kernel curve, indicating that the spatial difference in the interprovincial coupled coordination level is relatively small in the eastern region. The kernel density curve of the coupled coordination degree maintains a unimodal peak, indicating that the interprovincial coupled coordination level is evenly distributed in the eastern region, and there is no multipolar or bipolar phenomenon.
In the central region, the kernel curve moves to the right, and the coupled coordination degree generally shows an upwards trend. The kernel density curve of the coupled coordination degree maintains a unimodal peak, indicating that the interprovincial coupled coordination level is evenly distributed in the eastern region, and there is no multipolar or bipolar phenomenon. From the distribution pattern, the height of the main peak displays an "up-down" trend, and the width of the main peak exhibits an "enlarging-narrowing" trend, indicating that the coupled coordination level in the central region first increased and then slightly decreased. Additionally, the interprovincial difference in the coupled coordination degree in the central region first increased and then decreased.
In the western region, the kernel curve gradually shifts to the right, and the coupled coordination degree generally displays an upwards trend. From the distribution pattern, the height of the main peak presents a trend of "up-down-up", and the width of the main peak exhibits a trend of "narrowing-enlarging-narrowing". From the perspective of distribution ductility, there is no obvious tailing phenomenon in the right tail of the kernel curve, indicating that the spatial gap in the interprovincial coupled coordination level is relatively small in the western region. The kernel density curve of the coupled coordination degree displays a unimodal state, indicating that the interprovincial coupled coordination level is evenly distributed and that there is no multipolar differentiation in western China.
In Northeast China, the kernel curve displays three stages of "right shift-left shift-right shift", and the increase in the coupled coordination degree exhibits breakpoints from 2014-2017 and 2018-2020. Moreover, the main peak displays a multistage trend of "rising-sharply declining-slightly rising". This shows that the coupled coordination level of the two systems in Northeast China is trending downwards, and the interprovincial coupled coordination level varied in the two stages from 2015 to 2017 and 2018 to 2020.

3.3. Regional Differences in and Decomposition of the Coupled Coordination Degree

3.3.1. Overall and Intraregional Differences

Figure 4 shows the spatiotemporal evolution of the Gw value of the Gini coefficient within the four regions in each year. Notably, the intragroup Gini coefficient Gw is high in the western region and the eastern region, reflecting heterogeneity in coupled coordination. However, the Gini coefficient in the northeast region is small, reflecting relatively uniform coupled coordination. The value of the Gini coefficient in the central region is moderate. In addition, Figure 4 shows that the intragroup Gini coefficient value in the eastern region displays a downwards trend, which suggests that the heterogeneity of the coupled coordination degree between the digital economy and environmental quality in the provinces in the eastern region has been decreasing in the past 10 years. However, this heterogeneity is increasing in the western, central and north-eastern regions.
Figure 4. Decomposition of the Gini coefficient by region.
Figure 4. Decomposition of the Gini coefficient by region.
Preprints 87750 g004

3.3.2. Interregional Differences

As shown in Table 5, the regional differences between the eastern and central regions showed a significant downwards trend, with a decrease of 73.7%; the regional differences between the northeast and eastern regions and the eastern regions and western regions displayed an oscillating downwards trend, with decreases of 61.9% and 64.8%, respectively. Notably, various regions have established multiple measures to manage and protect the environment and vigorously develop the digital economy. With spatial spillover and the regional coordination of the development level of the two systems, the regional differences in the coupled coordination degree have gradually decline. The interregional differences fluctuate greatly between the northeast and the west and frequently between the central and the western regions.
Table 5. Values of the interregional Gini coefficient.
Table 5. Values of the interregional Gini coefficient.
Year Northeast & East Northeast & Central Northeast & West East & Central East & West Central & West
2011 0.176 0.071 0.094 0.224 0.213 0.111
2012 0.162 0.059 0.073 0.159 0.163 0.092
2013 0.111 0.039 0.051 0.103 0.119 0.062
2014 0.098 0.038 0.053 0.098 0.105 0.064
2015 0.097 0.045 0.064 0.094 0.107 0.071
2016 0.098 0.050 0.059 0.087 0.106 0.071
2017 0.084 0.043 0.047 0.072 0.094 0.062
2018 0.087 0.047 0.043 0.067 0.086 0.055
2019 0.082 0.047 0.050 0.061 0.084 0.059
2020 0.067 0.041 0.054 0.059 0.075 0.057

3.3.3. Sources of Differences

Figure 5 visually shows the contributions of Gw within each group, Gb between the groups and Gt over time. The overall Gini coefficient of the coupled coordination degree between the digital economy and environmental quality displayed a certain downwards trend, ranging from 0.155 in 2011 to 0.061 in 2020. Except for fluctuations in 2015, the overall regional differences and imbalances have gradually decreased. In comparison, the main source of disequilibrium is associated with intergroup Gb. In the past 10 years, the intergroup contribution has been greater than 40%, the average intragroup contribution Gw has been approximately 24.3%, and the average contribution Gt of has been 25.4%. In other words, the main source of regional imbalance in the coupled development of China’s digital economy and environmental quality systems is the coupled coordination imbalance among regions. Additionally, the overlap of samples within and between/among regions has made a relatively small contribution to the coupled coordination imbalance between the two systems. Since 2020, the gap between the intragroup contribution rate and the intergroup contribution rate of the coupled coordination degree has narrowed significantly, with the intergroup contribution rate dropping to 40.35% and the intragroup contribution rate rising to 27.18%, indicating that the interregional difference in the coupled coordination degree of the national digital economy and environmental quality has decreased, while the intraregional difference has increased. Notably, the strategy for vigorously developing the digital economy and promoting environmental restoration has varied by region, resulting in the main overall difference in the coupled coordination degrees of the two systems. Therefore, attention should be given to regional differences to promote the digital economy and effectively enhance the quality of the environment.
Figure 5. Trends of the contributions of differences in factors to the coupled coordination degree.
Figure 5. Trends of the contributions of differences in factors to the coupled coordination degree.
Preprints 87750 g005

4. Analysis of Dynamic Factors Related to Coupled and Coordinated Development

4.1. Variable Selection and Model Construction

Based on relevant research results [2]-[4], the coupled coordination degree of the digital economy and environmental quality is used as the explained variable, and the level of economic development, industrial structure, level of opening up to the outside world, degree of government intervention, level of financial development, technological innovation ability and marketization index are selected as explanatory variables. The level of economic development, industrial structure, financial development, openness to the outside world and technological innovation ability are marketization indices defined as external driving factors, as shown in Table 6.
Table 6. Dynamic factors related to the coupled coordination degree.
Table 6. Dynamic factors related to the coupled coordination degree.
Dynamic factor Variable name Variable symbol Indicator specification
Internal driving forces Level of economic development PECO GDP per capita (logarithm)
Upgrading of industrial structure STR The proportion of the value added of tertiary industry in the value added of secondary industry
Technological innovation ability PINN Number of patent applications granted (logarithm)
Financial development level FIN Total deposits and loans by financial institutions as a proportion of GDP
Level of openness TRADE Value of imports and exports of goods as a proportion of GDP
External driving forces Degree of government intervention GOV Fiscal expenditure as a percentage of GDP
Marketization index MI China’s Marketization Index Report by Province (2019) is expanded and calculated
Environmental regulation ER The proportion of completed investments in industrial pollution control in relation to industrial added value
The F test, BP test and Hausman test were used to compare the mixed POOL model, the fixed-effects FE model and the random-effects RE model, respectively. As shown in Table 8, the F test indicated a 5% level of significance, with F(30,270)=23.008 and p=0.000<0.05, after excluding one invalid sample. Thus, the FE model performed better than the POOL model. The BP test showed a 5% level of significance, with chi(1)=199.811 and p=0.000<0.05, suggesting that the RE model performed better than the POOL model. The Hausman test yielded a 5% level of significance, with chi(7)=59.743 and p=0.000<0.05, indicating that the FE model performed better than the RE model. Based on the above analysis, the individual fixed-effect model is selected.
Table 7. Summary of test results (n=309).
Table 7. Summary of test results (n=309).
Check type Purpose of inspection Test value Test conclusion
F test FE model and POOL model are compared F (30,270)=23.008,
p=0.000
FE model
BP test RE model and POOL model are compared χ2(1)=199.811,
p=0.000
RE model
Hausman test FE model and RE model are compared χ2(7)=59.743,
p=0.000
FE model
Table 8. Intermediate process values for the FE model.
Table 8. Intermediate process values for the FE model.
Terms Coeff. Std. Err. t p 95% CI
Intercept -2.595 0.508 -5.112 0.000** -3.590 ~ -1.600
Level of economic development 0.170 0.056 3.055 0.002** 0.061~0.279
Level of technological innovation 0.105 0.011 9.202 0.000** 0.083~0.127
Upgrading of industrial structure 0.121 0.016 7.513 0.000** 0.089~0.153
Level of openness 0.117 0.049 2.370 0.018* 0.020~0.214
Degree of government intervention -0.191 0.142 -1.347 0.179 -0.468~0.087
Environmental regulation 5.147 1.621 3.176 0.002** 1.971~8.324
Marketization index 0.019 0.007 2.703 0.007** 0.005~0.033
Financial development level 0.058 0.012 4.771 0.000** 0.034~0.082
F (8,270)=161.178,p=0.000
R 2=-4.595,R 2(within)=0.888
* p<0.05 ** p<0.01

4.2. Analysis of Dynamic Factors

Table 8 shows that the FE model yields a 0.01 level of significance in terms of the economic development level (t=3.055, p=0.002<0.01), and the regression coefficient is 0.170>0, indicating that the level of economic development has a significant positive influence on the coupled coordination degree D. In terms of technological innovation, a level of significance of 0.01 was observed (t=9.202, p=0.000<0.01), and the regression coefficient was 0.105>0, indicating that technological innovation has a significant positive influence on the coupled coordination degree D. For the upgrading of industrial structure, a 0.01 level of significance was observed (t=7.513, p=0.000<0.01), and the regression coefficient was 0.121>0, indicating that industrial structure upgrading has a significant positive impact on D. In terms of the degree of openness to the outside world, significance was observed at the 0.05 level (t=2.370,p=0.018<0.05), and the regression coefficient was 0.117>0, indicating that the degree of openness to the outside world has a significant positive influence on D. In terms of the degree of government intervention, there was no significant effect (t=-1.347, p=0.179>0.05), indicating that the degree of government intervention has no influence on D. A 0.01 level of significance (t=3.176, p=0.002<0.01) was observed for environmental regulation, and the regression coefficient was 5.147>0, indicating that environmental regulations have a significant positive impact on D. The marketization index displayed a 0.01 level of significance (t=2.703, p=0.007< 0.01), and the regression coefficient was 0.019>0, indicating that this index has a significant positive influence on D. Additionally, the level of financial development displayed significance at the 0.01 level (t=4.771, p=0.000<0.01), and the regression coefficient was 0.058>0, indicating that the level of financial development has a significant positive impact on D. Therefore, environmental regulation and external factors are the core drivers of the coupled coordination of the digital economy and environmental quality, and the economic development level, level of technological innovation, industrial structure and openness degree are internal factors that drive the coupled coordination level.
Therefore, we should focus on the proportion of investment in industrial pollution control and improve the coupling and coordination of the digital economy and environmental quality. At the same time, local governments should take various measures to promote local economic development, industrial structure upgrading, the degree of openness, the creation of a good business environment, the level of financial development, and the coordinated progress of the digital economy and environmental quality.

5. Conclusions and Policy Recommendations

5.1. Conclusions

Based on the panel data from 31 provinces and cities in China from 2011 to 2020, the entropy of the digital economy and environmental quality is measured, and the degree of coordinated development of the two systems is analysed. On this basis, the kernel density model and Gini coefficient model are established to analyse the distribution dynamics, evolution trends and regional differences of the coupled coordination of the two systems. An individual fixed-effect model is established, and the driving factors of the coordinated development of the two systems are analysed. The main conclusions of this paper are four-fold. First, the overall level of development of China’s digital economy and the quality of the environment have maintained steady growth, and the digital economy is developing fastest. Second, the coupled coordination degree of the two systems in each region has displayed a gradual upwards trend and an overall upwards trend, respectively. In 2018, the country entered a state of coordination, with the eastern region reaching this state first. The digital economy and environmental quality system in Inner Mongolia are in the run-up stage, and in other regions, these systems are in the stage of high-level coupling and coordination. Third, the spatial gap in the level of coupled coordination across the country is gradually narrowing. The national coupled coordination level is characterized by dynamic convergence, and the coupled development level of the digital economy and environmental quality displays some regional imbalance. Fourth, the coupling and coordination of the digital economy and environmental quality systems is the result of the joint impacts of many factors, with environmental regulation being the main external driver. Among the internal factors, the level of economic development, the level of technological innovation, the upgrading of the industrial structure and the degree of openness to the outside world are the main driving factors of the coupled coordination level of the digital economy and environmental quality.

5.2. Policy Recommendations

Based on the above research results, the following policy recommendations are proposed. 1) Continue to expand the depth and breadth of the application of digital technologies; improve the allocation mechanism of digital resources; coordinate regional development; effectively consider the positive role of the government in strengthening relations, improving the supply of public services and optimizing the business environment; enhance the internal driving forces; promote innovation in the high-quality development of the digital economy; and realize the sustainable development of the digital economy. These tasks could provide new momentum for improving the quality of the environment. 2) Strengthen ecological and environmental protection and restoration. Strict environmental protection standards should be established considering local conditions, and environmental restoration should be strengthened from four perspectives: pollution discharge, ecological protection, the living environment, and environmental improvement. 3) Promote the development level of the digital economy, and improve the quality of the ecological environment in parallel. The factor supply system should be optimized to support the two-way development of the digital economy and environmental quality. A reasonable and efficient resource allocation mechanism should be established, continuous support for the coordinated promotion of the digital economy and environmental quality should be provided, and a long-term mechanism to promote the coupled coordination of the digital economy and environmental quality should be formed. 4) In the process of digital economy transformation and environmental governance, all regions should focus on balanced within and among regions and promote regional coordinated development to optimize the overall efficiency of the two systems. 5) Promote the opening and sharing of public data, establish a regional collaborative governance mechanism for the environment, actively remove policy barriers that hinder the coordinated development of the digital economy and environmental quality, fully consider the external driving forces of the coordinated development of the two systems, further explore internal driving forces, and promote the coordination and common progress of the two systems.
In view of the availability of data, the research period selected in this paper is relatively short, and the actual background in China is different from that in other developed countries; consequently, the conclusions may be different. Subsequent studies will further enrich relevant research in terms of the depth and breadth of the research field.

Author Contributions

Conceptualization, X.L.; methodology, X.L. and J.C; software, X.L. and J.H.; validation, X.L., J.C. and J.H.; formal analysis, J.C.; investigation, J.C.; resources, J.C.; data curation, X.L.; writing—original draft preparation, X.L.; writing—review and editing, X.L.; visualization, X.L.; supervision, X.L.; project administration, X.L.; funding acquisition, J.H. All authors have read and agreed to the published version of the manuscript.

Funding

This research was funded by National Social Science Foundation of China (22BJY242) .

Institutional Review Board Statement

Not applicable

Informed Consent Statement

Not applicable.

Data Availability Statement

The raw data supporting the conclusion of this article will be made available by the authors, without undue reservation.

Conflicts of Interest

The authors declare no conflict of interest.

References

  1. Zalutskyy, I. Socio-economic environment of city in digital economy development: Conceptual grounds of transformation. Reg. Econ. 2019, 2, 56–66. [Google Scholar] [CrossRef]
  2. Sabina, Z.F. Institutional environment of the digital economy. Теoретическая Экoнoмика 2022, 12, 136–142. [Google Scholar] [CrossRef]
  3. Aghion, P.; Howitt, P. Endogenous Growth Theory; MIT Press: London, England, 1998. [Google Scholar]
  4. Cui, D.; Chen, X.; Xue, Y.; Li, R.; Zeng, W. An integrated approach to investigate the relationship of coupling coordination between social economy and water environment on urban scale - A case study of Kunming. J. Environ. Manag. 2019, 234, 189–199. [Google Scholar] [CrossRef]
  5. Ma, S.; Wei, W.; Li, J. Has the digital economy improved the ecological environment? Empirical evidence from China. Environ. Sci. Pollut. Res. Int. 2023, 30, 91887–91901. [Google Scholar] [CrossRef]
  6. Tang, Y.; Wang, Y. Impact of digital economy on ecological resilience of resource-based cities: Spatial spillover and mechanism. Environ. Sci. Pollut. Res. Int. 2023, 30, 41299–41318. [Google Scholar] [CrossRef]
  7. Zhao, X. Ecological economy and green marketing from the perspective of natural environment protection. Nat. Environ. Prot. 2022, 3, 1–8. [Google Scholar] [CrossRef]
  8. Shahbaz, M.; Wang, J.; Dong, K.; Zhao, J. The impact of digital economy on energy transition across the globe: The mediating role of government governance. Renew. Sustain. Energy Rev. 2022, 166, 112620. [Google Scholar] [CrossRef]
  9. Lv, X.; Yang, B.; Sun, Y. Reflection on digital economy promoting the value realization of geological survey ecological products. In Proceedings of the 1st International Conference on Public Management, Digital Economy and Internet Technology.2022,ISBN 978-989-758-620-0, SciTePress; 393-399. [Google Scholar] [CrossRef]
  10. Shen, L.; Huang, Y.; Huang, Z.; Lou, Y.; Ye, G.; Wong, S.W. Improved coupling analysis on the coordination between socio-economy and carbon emission. Ecol. Indic. 2018, 94, 357–366. [Google Scholar] [CrossRef]
  11. Dong, G.; Ge, Y.; Liu, J.; Kong, X.; Zhai, R. Evaluation of coupling relationship between urbanization and air quality based on improved coupling coordination degree model in Shandong Province, China. Ecol. Indic. 2023, 154, 110578. [Google Scholar] [CrossRef]
  12. Yan, X.; Chen, M.; Chen, M.Y. Coupling and coordination development of Australian energy, economy, and ecological environment systems from 2007 to 2016. Sustainability 2019, 11, 6568. [Google Scholar] [CrossRef]
  13. Weng, Q.; Lian, H.; Qin, Q. Spatial disparities of the coupling coordinated development among the economy, environment and society across China’s regions. Ecol. Indic. 2022, 143, 109364. [Google Scholar] [CrossRef]
  14. Han, X.; Fu, L.; Lv, C.; Peng, J. Measurement and spatio-temporal heterogeneity analysis of the coupling coordinated development among the digital economy, technological innovation and ecological environment. Ecol. Indic. 2023, 151, 110325. [Google Scholar] [CrossRef]
  15. Liu, S.; Miao, Y.; Lu, G.; Wang, J. How digital economy and technological innovation can achieve a virtuous cycle with the ecological environment? Environ. Dev. Sustain. 2023, 1–25. [Google Scholar] [CrossRef]
  16. Fu, L.; Liu, B.; Zhu, Z.; Cao, J.; Sun, C.; Yu, Z. Analysis of the coupling coordinated development and evolutionary trend of digital economy and ecological environment. Front. Environ. Sci. 2022, 10, 1006354. [Google Scholar] [CrossRef]
  17. Zhang, L. Ecological agriculture development under the guidance of digital economy. Creat. Econ. 2021, 5, 85–92. [Google Scholar] [CrossRef]
  18. Zhou, Y.; Chen, M. Theoretical thinking and practical evaluation of digital economy measurement. Chin. Soc. Sci. Eval. 2023, 1, 73–84+159. [Google Scholar]
  19. Guo, J.; Luo, P. Does the Internet promote China’s total factor productivity. Manag. World 2016, 10, 34–49. [Google Scholar]
  20. Zeng, Y.; Song, Y.; Lin, X.; Fu, C. Some issues on the construction of China’s digital countryside. Chin. Rural Econ. 2021, 4, 21–35. [Google Scholar]
  21. Cai, Y.; Ma, W. "The impact of data elements on high-quality development and the constraint of data flow". J. Quant. Tech. Econ. 2021, 38, 64–83. [Google Scholar] [CrossRef]
  22. Xu, X.; Ren, X.; Chang, Z. Big data and green development. China Ind. Econ. 2019, 4, 5–22. [Google Scholar]
  23. Han, J.; Chen, X. Digital economy enabling green development: Internal mechanism and empirical evidence. Comp. Econ. Soc. Syst. 2022, 2, 73–84. [Google Scholar]
  24. Xu, X.; Zhang, M. Research on the scale measurement of China’s digital economy—Based on the perspective of international comparison. China Ind. Econ. 2020, 5, 23–41. [Google Scholar]
  25. 2. 5 Bakhshi, H. How can we measure the modern digital economy? Significance 2016, 13, 6–7. [Google Scholar] [CrossRef]
  26. Chen, X.; Miao, Z. Spatial distribution of digital economic growth dynamics and regional income. Acta Geogr. Sin. 2021, 76, 1882–1894. [Google Scholar]
  27. Zhao, T.; Zhang, Z.; Liang, S. Digital economy, entrepreneurial activity and high-quality development: Empirical evidence from Chinese cities. Manag. World 2020, 36, 65–76. [Google Scholar]
  28. Huang, Q.; Yu, Y.; Zhang, S. Internet development and manufacturing productivity improvement: The internal mechanism and China’s experience. China Ind. Econ. 2019, 8, 5–23. [Google Scholar] [CrossRef]
  29. Li, W.; Ouyang, Z.; Meng, X.; Wang, X. Plant species composition in relation to green cover configuration and function of urban parks in Beijing, China. Ecol. Res. 2006, 21, 221–237. [Google Scholar] [CrossRef]
  30. Esau, I.; Bobylev, L.; Donchenko, V.; Gnatiuk, N.; Lappalainen, H.K.; Konstantinov, P.; Kulmala, M.; Mahura, A.; Makkonen, R.; Manvelova, A. An enhanced integrated approach to knowledgeable high-resolution environmental quality assessment. Environ. Sci. Policy 2021, 122, 1–13. [Google Scholar] [CrossRef]
  31. Andria, G.; Cavone, G.; Lanzolla, A.M. Modelling study for assessment and forecasting variation of urban air pollution. Measurement 2008, 41, 222–229. [Google Scholar] [CrossRef]
  32. Liu, J.; Ma, M.; Zhang, F.; Yang, Z.; Domagalski, J. The ecohealth assessment and ecological restoration division of urban water system in Beijing. Ecotoxicology 2009, 18, 759–767. [Google Scholar] [CrossRef]
  33. Fang, B.; Liu, C.F.; Zou, L.-L.; Wei, Y.M. The assessment of health impact caused by energy use in urban areas of China: An intake fraction–based analysis. Nat. Hazards 2012, 62, 101–114. [Google Scholar] [CrossRef]
  34. Miethaner, S.; Koenig, F.; Lehmann, B. A new approach for the assessment of urban waters. WasserWirtsch-Hydrol. Wasserbau Hydromechanik Gewässer Ökol. Boden 2008, 98, 21–26. [Google Scholar] [CrossRef]
  35. Musse, M.A.; Barona, D.A.; Rodriguez, L.M.S. Urban environmental quality assessment using remote sensing and census data. Int. J. Appl. Earth Obs. Geoinf. 2018, 71, 95–108. [Google Scholar] [CrossRef]
  36. Lai, S.; Zoppi, C. Un’ontologia dei processi di valutazione ambientale strategica per i piani urbanistici. Sci. Reg. 2012, 11, 131–138. [Google Scholar] [CrossRef]
  37. Meneses, M.; Pasqualino, J.C.; Castells, F. Environmental assessment of urban wastewater reuse: Treatment alternatives and applications. Chemosphere 2010, 81, 266–272. [Google Scholar] [CrossRef]
  38. Balfors, B.; Mörtberg, U.; Gontier, M.; Brokking, P. Impacts of region-wide urban development on biodiversity in strategic environmental assessment. J. Environ. Assess. Policy Manag. 2005, 07, 229–246. [Google Scholar] [CrossRef]
  39. Nakamae, E.; Qin, X.; Tadamura, K. Rendering of landscapes for environmental assessment. Landsc. Urban Plan. 2001, 54, 19–32. [Google Scholar] [CrossRef]
  40. Cui, H.; Wang, W. Research on the coordinated development model of ecological resources and economy in Changchun City. Fresenius Environ. Bull. 2021, 30, 10530–10534. [Google Scholar]
  41. Fan, Y.; Xu, H. Can the development of China’s digital economy achieve economic greening? Empirical evidence from China’s inter-provincial panel data. Inq. Econ. Issues 2021, 9, 15–29. [Google Scholar]
  42. Shen, F.; Ye, W. Government empowerment and data constraint: Practical logic and path construction of grassroots government digital governance: A case study based on "long youtong" digital governance Soc. Sci. Henan Prov. 2019, 29, 86–93. [Google Scholar]
  43. Ren, B. The logic, mechanism and path of digital economy leading high-quality development. J. Xi’an Univ. Finance Econ. 2020, 33, 5–9. [Google Scholar]
  44. Vidas-Bubanja, M. Implementation of green ICT for sustainable economic development. In Proceedings of the 2014 37th International Convention on Information and Communication Technology, Electronics and Microelectronics (MIPRO); IEEE: Opatija, Croatia; 2014; pp. 1592–1597. [Google Scholar]
  45. Han, J.; Chen, X.; Feng, X. Realistic challenges and path selection of enabling green development of digital economy. Reform https://kns.cnki.net/kcms/detail/detail.aspx?FileName=REFO202209002&DbName=CJFQ2022. 2022, 2022, 11–23. [Google Scholar]
  46. Li, J.; Lu, H.; Wang, L. The relationship between infrastructure investment efficiency and economic growth: A case study of Southeast Asian countries. Sci.Decis. 2022, 11, 141–149 https://knscnkinet/kcms/detail/detailaspx. [Google Scholar]
  47. Cong, X.N. Form, nature and some misuse of coupling degree model in geography. Econ. Geogr. 2019, 39, 18–25. [Google Scholar]
  48. Tang, X. ;Zhang,X. ;Li,Y. An empirical study on dynamic coordinated development of manufacturing Industry and producer services in China. Econ.Res. 2018, 53, 79–93. [Google Scholar]
Disclaimer/Publisher’s Note: The statements, opinions and data contained in all publications are solely those of the individual author(s) and contributor(s) and not of MDPI and/or the editor(s). MDPI and/or the editor(s) disclaim responsibility for any injury to people or property resulting from any ideas, methods, instructions or products referred to in the content.
Copyright: This open access article is published under a Creative Commons CC BY 4.0 license, which permit the free download, distribution, and reuse, provided that the author and preprint are cited in any reuse.
Prerpints.org logo

Preprints.org is a free preprint server supported by MDPI in Basel, Switzerland.

Subscribe

Disclaimer

Terms of Use

Privacy Policy

Privacy Settings

© 2026 MDPI (Basel, Switzerland) unless otherwise stated