Submitted:
12 October 2023
Posted:
13 October 2023
You are already at the latest version
Abstract
Keywords:
1. Introduction
2. Basic assumptions and Cross-sectional features
3. Analysis of variable cross-section
4. Out-plane Buckling
4.1. Internal force and normal stress of variable cross-sectional arch
4.2. Critical out-plane buckling load of variable cross-sectional arch
5. Comparisons with Finite Element (FE) Results
5.1. Numerical model of the arch with variable cross-section
5.2. Comparative analysis with finite element results
6. Parametric analysis
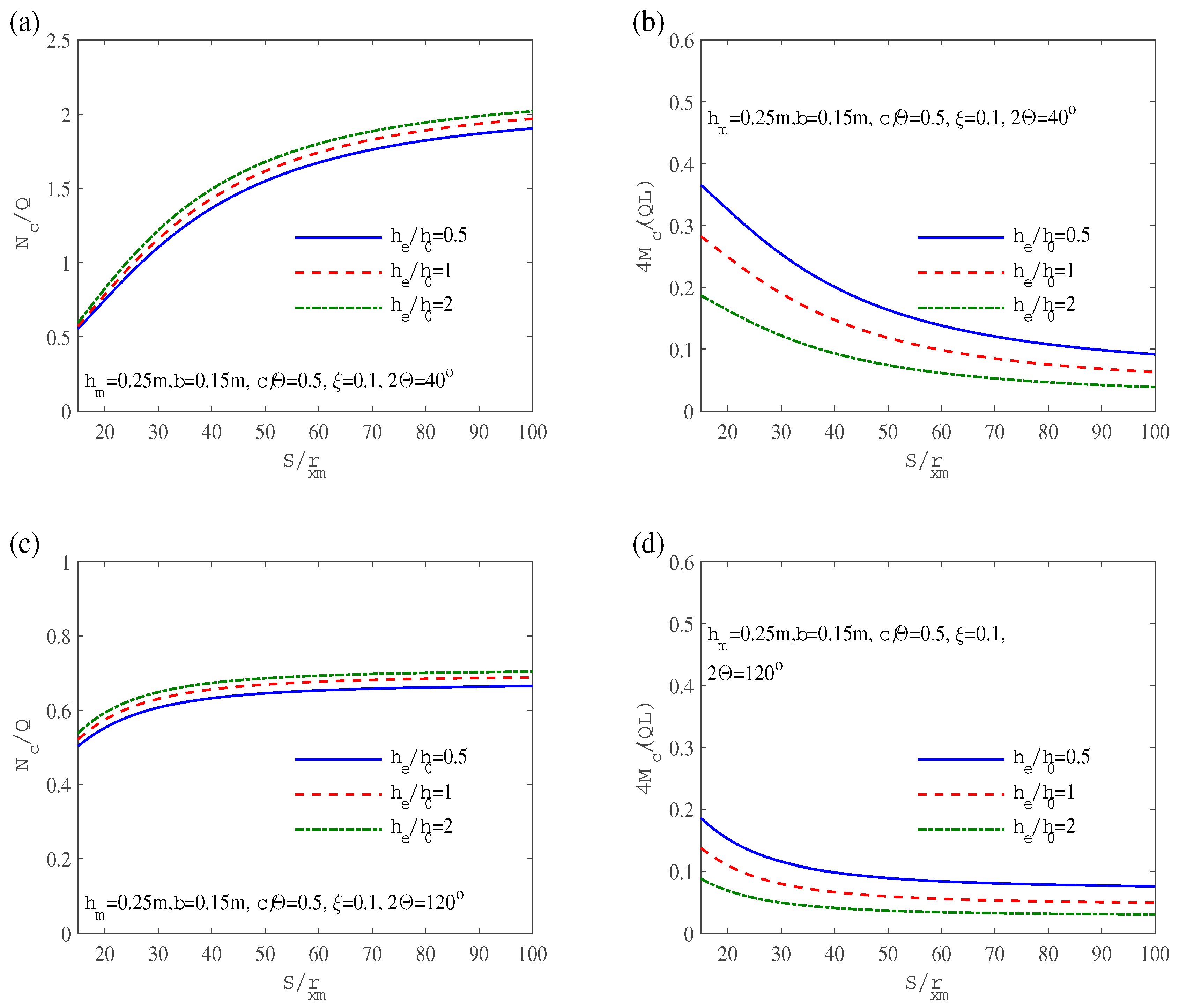
6.1. Parametric analysis of Stresses and Internal Forces
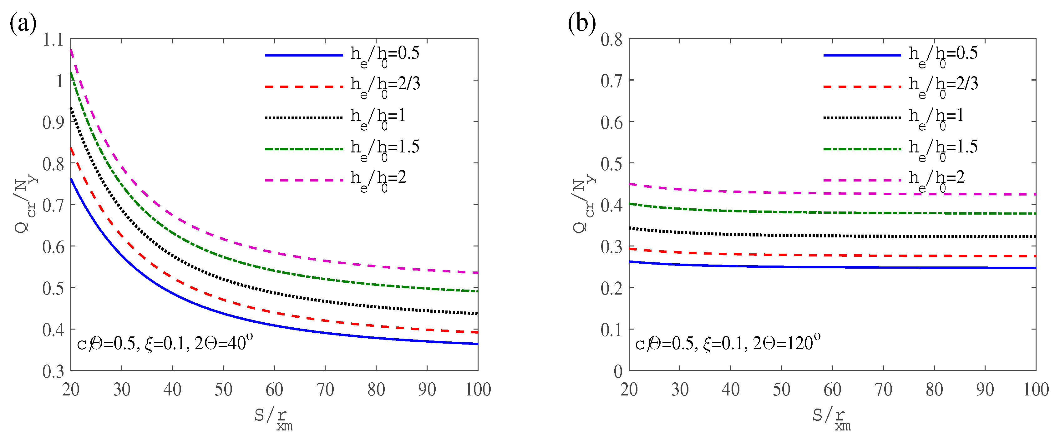
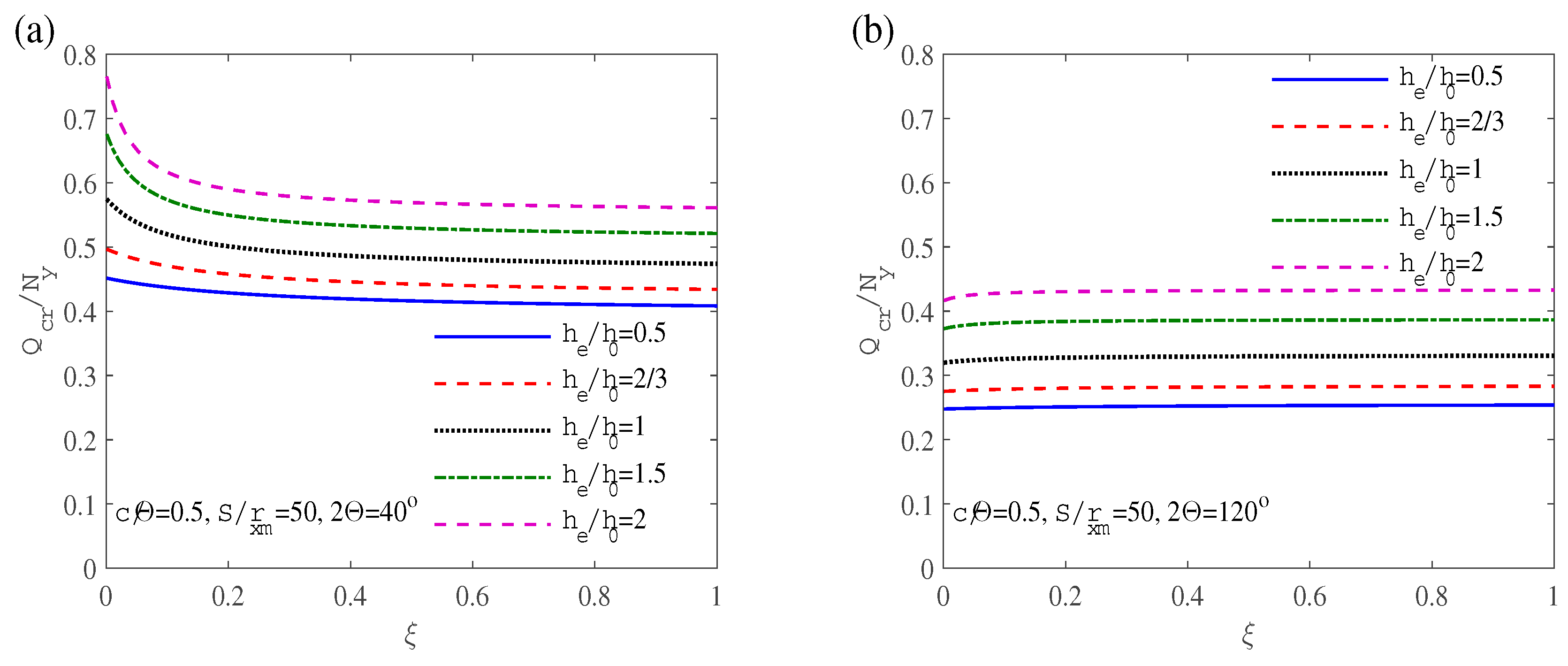
6.2. Parametric analysis of critical buckling load
7. Conclusions
Author Contributions
Funding
Data Availability Statement
Acknowledgments
Conflicts of Interest
Appendix A- Coefficients A11, A12, A13, A21, A22 and A23
References
- Trahair, N S. ; Flexural-torsional buckling of structures, 1rd ed.; Publisher: CRC press, 1993. [Google Scholar]
- Liu, A.; Lu, H.; Fu, J.; et al. Analytical and experimental studies on out-of-plane dynamic instability of shallow circular arch based on parametric resonance. Nonlinear dynamics, 2017, 87, 677–694. [Google Scholar] [CrossRef]
- Yuan, C.; Hu, Q.; Wang, Y.; et al. Out-of-plane stability of fixed concrete-filled steel tubular arches under uniformly distributed loads. Magazine of Concrete Research, 2021, 73, 945–957. [Google Scholar] [CrossRef]
- Pi, Y L. ; Bradford, M A.; Tong, G S. Elastic lateral–torsional buckling of circular arches subjected to a central concentrated load. International Journal of Mechanical Sciences, 2010, 52, 847–862. [Google Scholar] [CrossRef]
- Liu, A.; Lu, H.; Fu, J.; et al. Lateral-torsional buckling of circular steel arches under arbitrary radial concentrated load. Journal of Structural Engineering, 2017, 143, 04017129. [Google Scholar] [CrossRef]
- Lu, H.; Liu, A.; Bradford, M A. ; et al. Experimental investigation of out-of-plane buckling of circular arches under a central radial point load. Thin-Walled Structures, 2020, 148, 106198. [Google Scholar] [CrossRef]
- Lu, H.; Liu, A.; Pi, Y L. ; et al. Flexural-torsional buckling of steel arches under a localized uniform radial-load incorporating shear deformations. Journal of Structural Engineering, 2019, 145, 04019117. [Google Scholar] [CrossRef]
- Pi, Y L. ; Bradford, M A. Out-plane strength design of fixed steel I-section arches. Journal of structural engineering, 2005, 131, 560–568. [Google Scholar] [CrossRef]
- Guo, Y L. ; Zhao, S Y.; Dou, C.; et al. Out-plane elastic buckling of circular arches with elastic end restraints. Journal of Structural Engineering, 2014, 140, 1–9. [Google Scholar]
- Xi, K T. ; Li, J.; Zhou, T G.; et al. Out-plane Stability Analysis of U-Section Pin-End Steel Arch. Applied Mechanics and Materials, 2013, 351, 169–173. [Google Scholar]
- Pi, Y L. ; Trahair, N S. Out-of-plane inelastic buckling and strength of steel arches. Journal of Structural Engineering, 1998, 124, 174–183. [Google Scholar] [CrossRef]
- Bouras, Y.; Vrcelj, Z. Out-of-plane stability of concrete-filled steel tubular arches at elevated temperatures. International Journal of Mechanical Sciences, 2020, 187, 105916. [Google Scholar] [CrossRef]
- Liu, L.; Zhang, Z.; Liu, A.; et al. Out-of-plane buckling of functionally graded porous arches reinforced by graphene platelets in a thermal environment. Mechanics of Advanced Materials and Structures 2023, 1–15. [Google Scholar] [CrossRef]
- Malekzadeh, P.; Karami, G. Out-of-plane static analysis of circular arches by DQM. International journal of solids and structures, 2003, 40, 6527–6545. [Google Scholar] [CrossRef]
- Lim, N H. ; Kang, Y J. Out of plane stability of circular arches. International Journal of Mechanical Sciences, 2004, 46, 1115–1137. [Google Scholar] [CrossRef]
- Xi, K T. ; Li, J.; Zhou, T G.; et al. Out-of-Plane Stability Analysis of I-Section Steel Arch. Applied Mechanics and Materials, 2013, 405, 781–785. [Google Scholar]
- Wang, X R. ; Jin, J K.; Yang, G. Analysis on In-Plane and Out-Plane Instability Coupling of Steel Bowstring Arch Bridge with Box Section Single Rib. Advanced Materials Research, 2013, 790, 337–340. [Google Scholar] [CrossRef]
- Guo, Y L. ; Zhao, S Y.; Dou, C.; et al. Out-of-plane strength design of spatially trussed arches with a rectangular lattice section. Journal of Constructional Steel Research, 2013, 88, 321–329. [Google Scholar] [CrossRef]
- Zhong, Z.; Liu, A.; Fu, J.; et al. Analytical and experimental studies on out-of-plane dynamic parametric instability of a circular arch under a vertical harmonic base excitation. Journal of Sound and Vibration, 2021, 500, 116011. [Google Scholar] [CrossRef]
- Dou, C. ; Guo, Y L.; Zhao, S Y.; et al. Elastic out-plane buckling load of circular steel tubular truss arches incorporating shearing effects. Engineering structures 2013, 52, 697–706. [Google Scholar] [CrossRef]
- Bouras, Y.; Vrcelj, Z. out-plane stability of concrete-filled steel tubular arches at elevated temperatures. International Journal of Mechanical Sciences, 2020, 187, 105916. [Google Scholar] [CrossRef]
- Hayman, B. ; Creep buckling—a general view of the phenomena. Creep in Structures: 3rd Symposium, Leicester, UK, September 8–12, 1980. Berlin, Heidelberg, Springer Berlin Heidelberg, 1981, 289-307.
- Geng, Y.; Ranzi, G. ; Wang, Y T.; et al. out-plane creep buckling analysis on slender concrete-filled steel tubular arches. Journal of Constructional Steel Research. 2018, 140: 174-190.
- Shafiee, H.; Naei, M H. ; Eslami, M R. In-plane and out-plane buckling of arches made of FGM. International Journal of Mechanical Sciences, 2006, 48, 907–915. [Google Scholar] [CrossRef]
- Piovan, M T. ; Domini, S.; Ramirez, J M. In-plane and out-plane dynamics and buckling of functionally graded circular curved beams. Composite Structures, 2012, 94, 3194–3206. [Google Scholar] [CrossRef]
- Huang, C S. ; Tseng, Y P.; Leissa, A W.; et al. An exact solution for in-plane vibrations of an arch having variable curvature and cross-section. International Journal of Mechanical Sciences, 1998, 40, 1159–1173. [Google Scholar] [CrossRef]
- 27. Shin, Y J.; Kwon, K M.; Yun, J H. Vibration analysis of a circular arch with variable cross-sectional using differential transformation and generalized differential quadrature. Journal of sound and vibration. 2008, 309(1-2), 9-19.
- Tsiatas, G C. ; Babouskos, N G. Linear and geometrically nonlinear analysis of non-uniform shallow arches under a central concentrated force. International Journal of Non-Linear Mechanics, 2017, 92, 92–101. [Google Scholar] [CrossRef]
- Yan, S.; Shen, X.; Chen, Z.; et al. On buckling of non-uniform shallow arch under a central concentrated load. International Journal of Mechanical Sciences, 2017, 133, 330–343. [Google Scholar] [CrossRef]
- Yan, S.; Shen, X.; Chen, Z.; et al. On collapse of non-uniform shallow arch under uniform radial pressure. Engineering Structures, 2018, 160, 419–438. [Google Scholar] [CrossRef]
- Liu, A.; Lu, H. ; Pi, Y L.; et al. out-plane Parametric Resonance of Arches Under an In-Plane Central Harmonic Load. International Symposium on Environmental Vibration and Transportation Geodynamics. Springer, Singapore, 2016, 45-51.
- Bradford, M A. ; Pi, Y L.; Liu, A. Out-plane elastic-plastic buckling strength of high-strength steel arches. Journal of Structural Engineering, 2018, 144, 04018053. [Google Scholar] [CrossRef]
- Pi, Y L. ; Trahair, N S. out-plane inelastic buckling and strength of steel arches. Journal of Structural Engineering, 1998, 124, 174–183. [Google Scholar] [CrossRef]












Disclaimer/Publisher’s Note: The statements, opinions and data contained in all publications are solely those of the individual author(s) and contributor(s) and not of MDPI and/or the editor(s). MDPI and/or the editor(s) disclaim responsibility for any injury to people or property resulting from any ideas, methods, instructions or products referred to in the content. |
© 2023 by the authors. Licensee MDPI, Basel, Switzerland. This article is an open access article distributed under the terms and conditions of the Creative Commons Attribution (CC BY) license (http://creativecommons.org/licenses/by/4.0/).