Submitted:
29 September 2023
Posted:
30 September 2023
You are already at the latest version
Abstract
Keywords:
1. Introduction
2. Materials and Methods
2.1. Study and data collection locations
3. Statistical Analysis
R²aj. = 0.891
R²aj. = 0.996
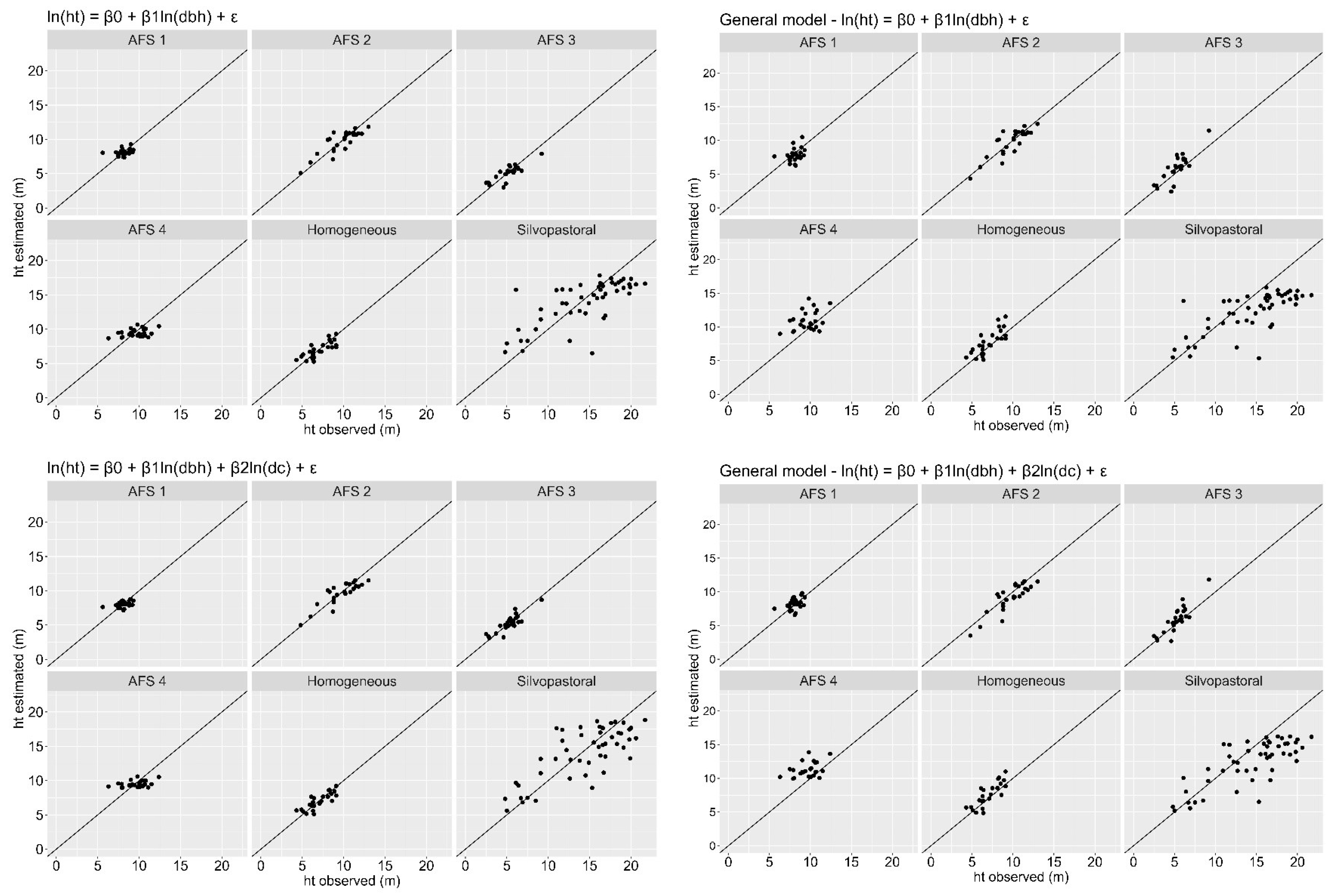
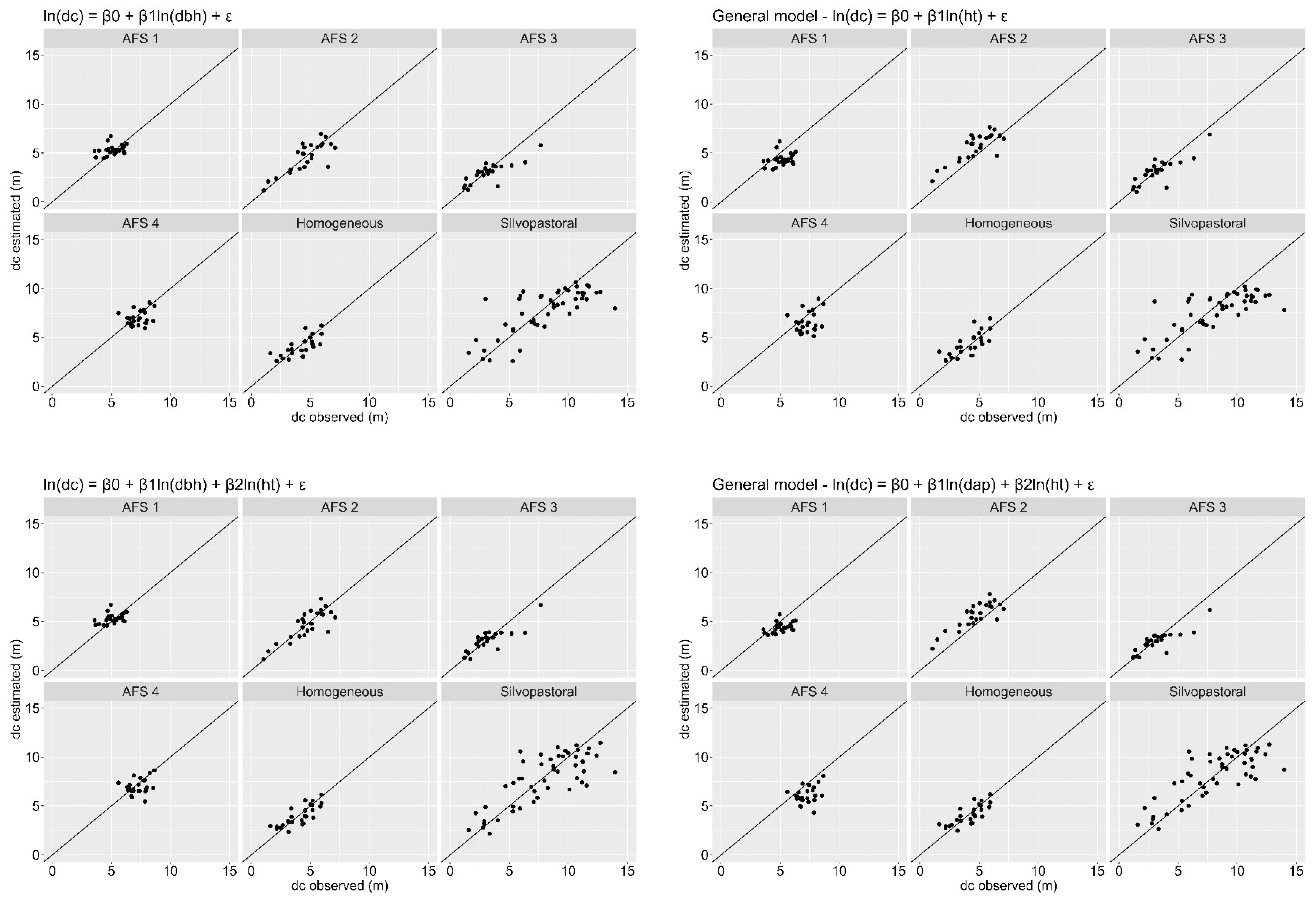
4. Results
5. Discussion
6. Conclusions
Author Contributions
Funding
Data Availability Statement
Acknowledgments
Conflicts of Interest
References
- Estatística, I.B. de G. e. Mapa da Amazônia Legal 2022. IBGE. 2021. [Google Scholar]
- Estatística, I.B. de G. e. Sistema IBGE de Recuperação Automática – SIDRA. 2021b.
- Peres, C.A.; Campos-Silva, J.; Ritter, C.D. Environmental policy at a critical junction in the Brazilian Amazon. Trends in Ecology and Evolution, 2023, 38, 113–116. [Google Scholar] [CrossRef]
- Fearnside, P.M. Valoração do estoque de serviços ambientais como estratégia de desenvolvimento no Estado do Amazonas. Inclusão Social, 2018, 12, 141–151. [Google Scholar]
- Homma, A.K.O. Amazônia: Venda de Serviços Ambientais ou de Atividades Produtivas? Terceira Margem Amazônia, 2021, 6, 23–34. [Google Scholar] [CrossRef]
- Brandão, D.O.; Barata, L.E.S.; Nobre, C.A. The Effects of Environmental Changes on Plant Species and Forest Dependent Communities in the Amazon Region. Forests, 2022. 13, 1-20.
- Potapov, P.; Hansen, M.C.; Laestadius, L.; Turubanova, S.; Yaroshenko, A.; Thies, C.; Smith, W.; Zhuravleva, I.; Komarova, A.; Minnemeyer, S.; Esipova, E. The last frontiers of wilderness: Tracking loss of intact forest landscapes from 2000 to 2013. Science Advances, 2017, 3, 1–14. [Google Scholar] [CrossRef]
- Cruz, D.C. da; Ferreira, G.C.; Ribeiro, S.S.; Schwartz, G.; Monteiro, A. Priority areas for restoration in permanent preservation areas of rural properties in the Brazilian Amazon. Land Use Policy, 2022, 115. [Google Scholar] [CrossRef]
- DeArmond, D.; Emmert, F.; Pinto, A.C. M.; Lima, A.J.N.; Higuchi, N. A Systematic Review of Logging Impacts in the Amazon Biome. Forests, 2023, 14, 1–19. [Google Scholar] [CrossRef]
- Sonter, L.J.; Herrera, D.; Barrett, D.J.; Galford, G.L.; Moran, C.J.; Soares-Filho, B.S. Mining drives extensive deforestation in the Brazilian Amazon. Nature Communications, 2017, 8, 1–7. [Google Scholar] [CrossRef]
- Vasconcelos, A. Í. T.; Garcia, E. A. da R.; Furtado, C. F. C.; Cabral, J. E. D. O. As dimensões da sustentabilidade dos Sistemas Agroflorestais – SAFs: um estudo no Projeto de Reflorestamento Consorciado e Adensado – RECA, Ponta do Abunã – RO. Desenvolvimento e Meio Ambiente, 2016, 36, 73–93. [Google Scholar] [CrossRef]
- Cruz, D. C. da; Benayas, J. M. R.; Ferreira, G. C.; Santos, S. R.; Schwartz, G. An overview of forest loss and restoration in the Brazilian Amazon. New Forests, 2021, 52(1), 1–16.
- Florestal, N.C. Lei 12.651 de 25 de maio de 2012. Presidência da República. Casa Civil. Subchefia para Assuntos Jurídicos, 2012.
- Villa, P.M.; Martins, S.V.; de Oliveira Neto, S.N.; Rodrigues, A.C.; Hernández, E.P.; Kim, D.G. Policy forum: Shifting cultivation and agroforestry in the Amazon: Premises for REDD+. Forest Policy and Economics, 2020, 118. [Google Scholar] [CrossRef]
- Vasconcellos, R.C. de; Beltrão, N.E.S. Avaliação de prestação de serviços ecossistêmicos em sistemas agroflorestais através de indicadores ambientais. Interações (Campo Grande), 2018, 209–220.
- Silva, J.A.G. da; Pauletto, D.; Silva, A.F. da; Carvalho, C. do S. de S.; Nascimento, H.G.G. do. Morfometria de Plantios de Dipteryx odorata Aubl Willd (Cumaru) no Oeste do Pará. Advances in Forestry Science, 2020, 7, 1171–1180. [Google Scholar] [CrossRef]
- Capucho, H.L.V.; Silva, A.F. da S.; Rebelo, A.G. de M; Pauletto, D.; Silva, A.R. Phenology of Dipteryx odorata and Dipteryx punctata in agroforestry systems in the eastern Amazon. Amazonian Journal of Agricultural and Environmental Sciences, 2021, 64. [Google Scholar]
- Román-Dañobeytia, F.; Cabanillas, F.; Lefebvre, D.; Farfan, J.; Alferez, J.; Polo-Villanueva, F.; Llacsahuanga, J.; Vega, C. M.; Velasquez, M.; Corvera, R.; Condori, E.; Ascorra, C.; Fernandez, L.E.; Silman, M.R. Survival and early growth of 51 tropical tree species in areas degraded by artisanal gold mining in the Peruvian Amazon. Ecological Engineering, 2021, 159. [Google Scholar] [CrossRef]
- Mota, C.G. da; Pauletto, D.; Capucho, H.L.V.; Silva, S.U.P. da; Ponte, M.X. O cultivo do cumaru como alternativa econômica para agricultores familiares: estudo de caso na região oeste do Pará. Research, Society and Development, 2022, 11. [Google Scholar] [CrossRef]
- Melo, R.R. de; Dacroce, J.M.F.; Junior, F.R.; Lisboa, G. dos S.; França, L.C. de J. Lumber yield of four native forest species of the Amazon Region. Floresta e Ambiente, 2019, 26, 1–7. [Google Scholar] [CrossRef]
- Sousa, B.C.M. de; Castro, S.P. de; Lourido, K.A.; Kasper, A.A. M.; Paulino, G. da S.; Delarmelina, C.; Duarte, M.C.T.; Sartoratto, A.; Vieira, T.A.; Lustosa, D. C.; Barata, L.E.S. Identification of Coumarins and Antimicrobial Potential of Ethanolic Extracts of Dipteryx odorata and Dipteryx punctata. Molecules, 2022, 27. [Google Scholar] [CrossRef] [PubMed]
- Campos, J. C. C.; Leite, H. G. Mensuração Florestal: Perguntas e respostas (5th ed.). Editora UFV. 2017.
- Binoti, D.H.B.; Da Binoti, M.L.M.S.; Leite, H.G.; Silva, A. Redução dos custos em inventário de povoamentos equiâneos. Revista Brasileirade Ciencias Agrarias, 2013, 8, 125–129. [Google Scholar] [CrossRef]
- Lopes, L.S.S.; Rode, R.; Pauletto, D.; Baloneque, D.D.; Santos, F.G. dos; Silva, A.R.; Binoti, D.H.B; Leite, H.G. Uso de regressão e redes neurais artificiais na estimativa do volume de Khaya ivorensis. Revista Ciência Da Madeira - RCM, 2020, 11, 74–84. [Google Scholar] [CrossRef]
- Medeiros, R.A.; Paiva, H.N. de; Nogueira, G.S.; Leite, H.G. Planejamento de experimentos com espécies florestais (1st ed.). Editora UFV, 2022.
- Lameira, M.K. da S. ; Silva, H.K.M.; Gomes, K.M.A.; Cândido, A.C.T.F.; Martorano, L.G.; Ribeiro, R.B. da S.; Silva, A.R.; Gama, J.R.V. Capacidade produtiva de Dipteryx odorata (Aubl.) Willd. em um sistema de produção de pecuária integrada no Baixo Amazonas, Brasil Productive, 2022, 19, 56–65. [Google Scholar]
- Alvares, C.A.; Stape, J.L.; Sentelhas, P.C.; Gonçalves, J.L. de M.; Sparovek, G. Köppen’s climate classification map for Brazil. Meteorologische Zeitschrift, 2013, 22, 711–728. [Google Scholar] [CrossRef]
- Martorano, L.G.; Soares, W.B.; de Moraes, J.R. da S.C.; Nascimento, W.; Aparecido, L.E. de O.; Villa, P.M. Climatology of air temperature in belterra: Thermal regulation ecosystem services provided by the tapajós national forest in the amazon. Revista Brasileira de Meteorologia, 2021, 36, 327–337. [Google Scholar] [CrossRef]
- Brasil, E.C.; Cravo, M.S.; Viégas, I.J.M. Recomendações de adubação para o estado do Pará. In Recomendações de calagem e adubação para o estado do Pará, 2020.
- Estatística, I.B. de G. e. Mapa de vegetação do Brasil, 2004.
- Baloneque, D. D.; Pauletto, D.; Lopes, L.S.S.; Rode, R.; Oliveira, T.G. de S. Variáveis morfométricas de quatro espécies florestais em sistema silvipastoril no município de Belterra, Pará. Research, Society and Development, 2022, 11. [Google Scholar] [CrossRef]
- Chave, J.; Andalo, C.; Brown, S.; Cairns, M.A.; Chambers, J. Q.; Eamus, D.; Fölster, H.; Fromard, F.; Higuchi, N.; Kira, T.; Lescure, J. P.; Nelson, B. W.; Ogawa, H.; Puig, H.; Riéra, B.; Yamakura, T. Tree allometry and improved estimation of carbon stocks and balance in tropical forests. Oecologia, 2005, 145, 87–99. [Google Scholar] [CrossRef] [PubMed]
- Gonzaga, A.L. Madeira: Uso e Conservação. In Cadernos Técnicos, 2006, 6.
- Zau, M.D.L.; De Vasconcelos, R.P.; Giacon, V.M.; Lahr, F.A.R. Chemical, physical and mechanical properties of particleboard produced with Amazon wood waste - Cumaru (Dipteryx odorata) - and Castor oil based polyurethane adhesive. Polimeros, 2014, 24, 726–732. [Google Scholar] [CrossRef]
- Araujo, H.J.B. Inventário florestal a 100% em pequenas áreas sob manejo florestal madeireiro. Acta Amazonica, 2006, 36, 447–464. [Google Scholar] [CrossRef]
- Romero, F.M.B. , Jacovine, L.A.G., Ribeiro, S.C., Torres, C.M.M.E., da Silva, L. F., Gaspar, R. de O., da Rocha, S.J.S.S., Staudhammer, C.L., & Fearnside, P.M. Allometric equations for volume, biomass, and carbon in commercial stems harvested in a managed forest in the southwestern amazon: A case study. Forests, 2020, 11, 1–17. [Google Scholar]
- Souza, A.L. de; Soares, C.P.B. Florestas Nativas: estrutura, dinâmica e manejo (1st ed.). Editora UFV, 2013.
- Santos, A.C. de A.; Fardin, L.P.; Oliveira Neto, R.R. de. Teste de hipótese em análise de regressão. In Jurnal Penelitian Pendidikan Guru Sekolah Dasar (1st ed.). Novas Edições Acadêmicas, 2017.
- Binkley, D.; Stape, J.L.; Bauerle, W.L.; Ryan, M.G. Explaining growth of individual trees: Light interception and efficiency of light use by Eucalyptus at four sites in Brazil. Forest Ecology and Management, 2010, 259, 1704–1713. [Google Scholar] [CrossRef]
- Wink, C.; Monteiro, J.S.; Reinert, D.J.; Liberalesso, E.E. Parâmetros da copa e a sua relação com o diâmetro e altura das árvores de eucalipto em diferentes idades. Scientia Forestalis/Forest Sciences, 2012, 40, 57–67. [Google Scholar]
- Li, Q.; Liu, Z.; Jin, G. Impacts of stand density on tree crown structure and biomass: A global meta-analysis. Agricultural and Forest Meteorology, 2022, 326. [Google Scholar] [CrossRef]
- Oliveira, T.M. de, Madi, J.P.S., Cerqueira, C.L., Millikan, P.H.K., Chaves, M.P. de L., & Carvalho, S. de P.C. Relações morfométricas para árvores de Tectona grandis. Advances in Forestry Science, 2018, 5, 461–465. [Google Scholar]
- Resende, R.T.; Soares, A.A.V.; Forrester, D.I.; Marcatti, G.E.; dos Santos, A.R.; Takahashi, E.K.; e Silva, F.F.; Grattapaglia, D.; Resende, M.D.V.; Leite, H.G. Environmental uniformity, site quality and tree competition interact to determine stand productivity of clonal Eucalyptus. Forest Ecology and Management, 2018, 410, 76–83. [Google Scholar] [CrossRef]
- Sharma, R.P.; Vacek, Z.; Vacek, S. Individual tree crown width models for Norway spruce and European beech in Czech Republic. Forest Ecology and Management, 2016, 366, 208–220. [Google Scholar] [CrossRef]
- Chen, Q.; Duan, G.; Liu, Q.; Ye, Q.; Sharma, R. P.; Chen, Y.; Liu, H.; Fu, L. Estimating crown width in degraded forest: A two-level nonlinear mixed-effects crown width model for Dacrydium pierrei and Podocarpus imbricatus in tropical China. Forest Ecology and Management, 2021, 497. [Google Scholar] [CrossRef]
- Ricken, P.; Hess, A.F.; Mattos, P.P. de; Braz, E.M.; Nakajima, N.Y.; Hosokawa, R.T. Morfometria de Araucaria angustifolia em diferentes altitudes no Sul do Brasil. Pesquisa Florestal Brasileira, 2020, 40, 1–11. [Google Scholar] [CrossRef]
- Chai, G.; Zheng, Y.; Lei, L.; Yao, Z.; Chen, M.; Zhang, X. A novel solution for extracting individual tree crown parameters in high-density plantation considering inter-tree growth competition using terrestrial close-range scanning and photogrammetry technology. Computers and Electronics in Agriculture, 2023, 209. [Google Scholar] [CrossRef]
- Forrester, D. I.; Ammer, C.; Annighöfer, P.J.; Barbeito, I.; Bielak, K.; Bravo-Oviedo, A.; Coll, L.; del Río, M.; Drössler, L.; Heym, M.; Hurt, V.; Löf, M.; den Ouden, J.; Pach, M.; Pereira, M.G.; Plaga, B. N. E.; Ponette, Q.; Skrzyszewski, J.; Sterba, H.; … Pretzsch, H. Effects of crown architecture and stand structure on light absorption in mixed and monospecific Fagus sylvatica and Pinus sylvestris forests along a productivity and climate gradient through Europe. Journal of Ecology, 2018, 106, 746–760. [Google Scholar] [CrossRef]
- Qin, Y.; Wu, B.; Lei, X.; Feng, L. Prediction of tree crown width in natural mixed forests using deep learning algorithm. Forest Ecosystems, 2023, 10. 100109. [Google Scholar] [CrossRef]
- Mildrexler, D.J.; Berner, L.T.; Law, B.E; Birdsey, R.A.; Moomaw, W.R. Large Trees Dominate Carbon Storage in Forests East of the Cascade Crest in the United States Pacific Northwest. Frontiers in Forests and Global Change, 2020, 3, 1–15. [Google Scholar] [CrossRef]
- Shoda, T.; Imanishi, J.; Shibata, S. Growth characteristics and growth equations of the diameter at breast height using tree ring measurements of street trees in Kyoto City, Japan. Urban Forestry and Urban Greening, 2020, 49. [Google Scholar] [CrossRef]
- Qin, Y.; He, X.; Lei, X.; Feng, L.; Zhou, Z.; Lu, J. Tree size inequality and competition effects on nonlinear mixed effects crown width model for natural spruce-fir-broadleaf mixed forest in northeast China. Forest Ecology and Management, 2022, 518. [Google Scholar] [CrossRef]
- Hu, L.; Xu, X.; Wang, J.; Xu, H. Individual tree crown width detection from unmanned aerial vehicle images using a revised local transect method. Ecological Informatics, 2023, 75. [Google Scholar] [CrossRef]
- Feldpausch, T.R.; Banin, L.; Phillips, O.L.; Baker, T.R.; Lewis, S.L.; Quesada, C.A.; Affum-Baffoe, K.; Arets, E.J. M.M.; Berry, N.J.; Bird, M. , Brondizio, E. S.; De Camargo, P.; Chave, J.; Djagbletey, G.; Domingues, T.F.; Drescher, M.; Fearnside, P.M.; França, M.B.; Fyllas, N.M.; … Lloyd, J. Height-diameter allometry of tropical forest trees. Biogeosciences, 2011, 8, 1081–1106. [Google Scholar] [CrossRef]
- Nascimento, R.G.M.; Vanclay, J.K.; Filho, A.F.; Machado, S. do A.; Ruschel, A.R.; Hiramatsu, N.A.; de Freitas, L.J.M. The tree height estimated by non-power models on volumetric models provides reliable predictions of wood volume: The Amazon species height modelling issue. Trees, Forests and People, 2020, 2. [Google Scholar] [CrossRef]
- Leites, L.P.; Zubizarreta-Gerendiain, A.; Robinson, A.P. Modeling mensurational relationships of plantation-grown loblolly pine (Pinus taeda L.) in Uruguay. Forest Ecology and Management, 2013, 289, 455–462. [Google Scholar] [CrossRef]
- Gujarati, D.N.; Porter, D.C. Econometria básica (5th ed.). AMGH Editora, 2011.
- Hair, J.F. Jr.; Anderson, R.E.; Tatham, R.L.; Blanck, W.C. Análise multivariada de dados (5. ed.). Bookman, 2005.
- Voss, D. S. Multicollinearity. In Encyclopedia of Social Measurement, 2004, 2, pp. 1–3000.
- Oliveira, M. L. R. de; Leite, H. G.; Garcia, S. L. R.; Campos, J. C. C.; Soares, C. P. B.; Santana, R. C. Estimação do volume de árvores de clones de eucalipto pelo método da similaridade de perfis. Revista Árvore, 2009, 33, 133–141. [Google Scholar] [CrossRef]
- Reis, T.; Silva, S.; Junior, I.T.; Leite, R.; Taquetti, M.; Atanazio, K.; Fardin, L.; Cruz, J.; Leite, H. Assessing alternatives for growth and yield modelling in eucalypt stands. Southern Forests, 2022, 84, 34–43. [Google Scholar] [CrossRef]
- Gomes, G.S.L.; Neto, S.N. de O.; Leite, H.G.; da Silva, M.L.; Lopes, L.S. de S.; Said Schettini, B.L. Relationships between spacing, productivity and profitability of eucalypt plantations in a small rural property in south-eastern Brazil. Southern Forests, 2022, 84, 206–214. [Google Scholar] [CrossRef]
- Wu, X.; Zhou, S.; Xu, A.; Chen, B. Passive measurement method of tree diameter at breast height using a smartphone. Computers and Electronics in Agriculture, 2019, 163. [Google Scholar] [CrossRef]
- Curto, R.D.A.; Pinto, M.F.; Wink, C.; Araújo, E.J.G. de; Kohler, S.V. Aplicativos e smartphones para mensuração da altura de árvores em plantio florestal. Pesquisa Florestal Brasileira, 2022, 42, 1–12. [Google Scholar] [CrossRef]
- Chisholm, R.A.; Muller-Landau, H.C.; Abdul Rahman, K.; Bebber, D.P.; Bin, Y.; Bohlman, S.A.; Bourg, N.A.; Brinks, J.; Bunyavejchewin, S.; Butt, N.; Cao, H.; Cao, M.; Cárdenas, D.; Chang, L.W.; Chiang, J.M.; Chuyong, G.; Condit, R.; Dattaraja, H.S.; Davies, S.; … Zimmerman, J.K. Scale-dependent relationships between tree species richness and ecosystem function in forests. Journal of Ecology, 2013, 101, 1214–1224. [Google Scholar] [CrossRef]
- Castro-Izaguirre, N.; Chi, X.; Baruffol, M.; Tang, Z.; Ma, K.; Schmid, B.; Niklaus, P.A. Tree diversity enhances stand carbon storage but not leaf area in a subtropical forest. PLoS ONE, 2016, 11, 1–13. [Google Scholar] [CrossRef]
- Sullivan, M.J.P.; Talbot, J.; Lewis, S.L.; Phillips, O.L.; Qie, L.; Begne, S.K.; Chave, J.; Cuni-Sanchez, A.; Hubau, W.; Lopez-Gonzalez, G.; Miles, L.; Monteagudo-Mendoza, A.; Sonké, B.; Sunderland, T.; Ter Steege, H.; White, L. J.T.; Affum-Baffoe, K.; Aiba, S.I.; De Almeida, E.C.; … Zemagho, L. Diversity and carbon storage across the tropical forest biome. Scientific Reports, 2017, 7, 1–12. [Google Scholar] [CrossRef] [PubMed]
- Liu, X.; Trogisch, S.; He, J.S.; Niklaus, P.A.; Bruelheide, H.; Tang, Z.; Erfmeier, A.; Scherer-Lorenzen, M.; Pietsch, K.A.; Yang, B.; Kühn, P.; Scholten, T.; Huang, Y.; Wang, C.; Staab, M.; Leppert, K.N.; Wirth, C.; Schmid, B.; Ma, K. Tree species richness increases ecosystem carbon storage in subtropical forests. Proceedings of the Royal Society B: Biological Sciences, 2018, 285. [Google Scholar]
- Neuman, A.D.; Belcher, K.W. The contribution of carbon-based payments to wetland conservation compensation on agricultural landscapes. Agricultural Systems, 2011, 104, 75–81. [Google Scholar] [CrossRef]
- Manzatto, C.V.; Skorupa, L.A.; Araújo, L.S. de; Vicente, L.E.; Assad, E.D. Estimativas de redução de emissões de gases de efeito estufa pela adoção de sistemas ILPF no Brasil. In Sistemas de Integração Lavoura-Pecuária-Floresta no Brasil: Estratégias Regionais de Transferência de Tecnologia, Avaliação da Adoção e de Impactos, 2019, pp. 400–424.
- Cardozo, E.G.; Celentano, D.; Rousseau, G.X.; Silva, H.R. e.; Muchavisoy, H. M.; Gehring, C. Agroforestry systems recover tree carbon stock faster than natural succession in Eastern Amazon, Brazil. Agroforestry Systems, 2022, 96, 941–956. [Google Scholar] [CrossRef]
- Müller, M.D.; Fernandes, E.N.; Castro, C.R.T.; Paciullo, D.S.C.; Alves, F.D.F. Estimativa de Acúmulo de Biomassa e Carbono em Sistema Agrossilvipastoril na Zona da Mata Mineira. Pesquisa Florestal Brasileira, 0.
- Santos, S.R.M. dos; Miranda, I. de S.; Tourinho, M.M. Análise florística e estrutural de sistemas agroflorestais das várzeas do rio Juba, Cametá, Pará. Acta Amazonica, 2004, 34, 251–263. [Google Scholar] [CrossRef]
- Montagnini, F.; Nair, P.K.R. Carbon sequestration: An underexploited environmental benefit of agroforestry systems. Agroforestry Systems, 2004, 61–62, 281–295. [Google Scholar]
- Celentano, D.; Rousseau, G.X.; Paixão, L.S.; Lourenço, F.; Cardozo, E.G.; Rodrigues, T.O.; e Silva, H.R.; Medina, J.; de Sousa, T.M.C.; Rocha, A.E.; de Oliveira Reis, F. Carbon sequestration and nutrient cycling in agroforestry systems on degraded soils of Eastern Amazon, Brazil. Agroforestry Systems, 2020, 94, 1781–1792. [Google Scholar] [CrossRef]
- BRASIL. Lei nº 14.119, de 13 de janeiro de 2021. Institui a Política Nacional de Pagamento por SA; e altera as Leis nos 8.212, de 24 de julho de 1991, 8.629, de 25 de fevereiro de 1993, e 6.015, de 31 de dezembro de 1973, para adequá-las à nova política. Available online: http://www.planalto.gov.br/ccivil_03/_ato2019-2022/2021/lei/L14119.htm.





| Forest stand | City | Age (years) | Spacing (m) | Species cultivated/raised in consortium * |
|---|---|---|---|---|
| Homogeneous | Alenquer | 10 | 6 x 6 | - |
| AFS 1 | Alenquer | 6 | 5.5 x 4.5 | Ab |
| AFS 2 | Belterra | 7 | 8 x 6 | C; Aç; Gr; Bn; P |
| AFS 3 | Alenquer | 8 | 10 x 8.5 | Lm |
| AFS 4 | Mojuí dos Campos | 9 | 4 x 8 | Lj |
| Silvopastoral | Belterra | 11 | 10 x 10 | Bovines |
| Forest stand | n | ht (m) | hc (m) | cc (m) | dbh (cm) | dc (m) |
| Homogeneous | 25 | 7.04 ± 1.43 | 1.9 ± 0.73 | 4.48 ± 1.34 | 8.79 ± 2.86 | 4.1 ± 1.26 |
| AFS 1 | 25 | 8.08 ± 0.78 | 0.64 ± 0.47 | 6.03 ± 0.93 | 8.88 ± 1.51 | 5.15 ± 0.77 |
| AFS 2 | 25 | 9.68 ± 1.94 | 2.78 ± 1.1 | 6.22 ± 2.03 | 11.95 ± 3.31 | 4.7 ± 1.57 |
| AFS 3 | 25 | 5.26 ± 1.4 | 1.26 ± 0.84 | 2.74 ± 1.42 | 6.18 ± 2.78 | 3.15 ± 1.54 |
| AFS 4 | 25 | 9.62 ± 1.38 | 0.7 ± 0.35 | 7.83 ± 1.2 | 14.09 ± 2.6 | 7.25 ± 0.76 |
| Silvopastoral | 50 | 14.35 ± 4.55 | 5.45 ± 2.58 | 10.45 ± 3.77 | 16.57 ± 5.31 | 7.97 ± 3.16 |
| Total and average | 175 | 9.77 ± 4.2 | 2.6 ± 2.45 | 6.88 ± 3.56 | 11.86 ± 5.22 | 5.76 ± 2.68 |
| Model | System | F | |||||
| Homogeneous | 0.857056 * | 0.50536 * | 0.589 | 2.500 | 34.556 | ||
| AFS 1 | 1.382878 * | 0.32745 * | 0.358 | 1.131 | 28.310 | ||
| AFS 2 | 0.839736 * | 0.57845 * | 0.696 | 2.924 | 73.442 | ||
| AFS 3 | 0.857707 * | 0.446987 * | 0.698 | 2.159 | 35.696 | ||
| AFS 4 | 1.382878 * | 0.32745 * | 0.358 | 1.131 | 28.310 | ||
| Silvopastoral | 0.762366 * | 0.671219 * | 0.516 | 23.599 | 50.384 | ||
| General model | -0.584886 * | 1.010811 * | 0.713 | 9.497 | 359.300 | ||
| Homogeneous | 0.921099 * | 0.353371 * | 0.19068 ns | 0.617 | 1.139 | 20.344 | |
| AFS 1 | 1.303266 * | 0.219919 * | 0.187483 ns | 0.378 | 1.129 | 15.880 | |
| AFS 2 | 1.0934 * | 0.370159 * | 0.172467 ns | 0.767 | 1.117 | 40.406 | |
| AFS 3 | 0.922075 * | 0.204625 ns | 0.33709 * | 0.708 | 1.170 | 30.078 | |
| AFS 4 | 1.303266 * | 0.219919 * | 0.187483 ns | 0.378 | 1.129 | 15.880 | |
| Silvopastoral | 1.030821 * | 0.251216 ns | 0.447024 * | 0.636 | 1.265 | 43.872 | |
| General model | 0.617836 * | 0.458415 * | 0.300522 * | 0.760 | 1.231 | 275.800 |
| Model | Sistem | F | |||||
| Homogeneous | -0.335868 ns | 0.797088 * | 0.507 | 1.282 | 25.666 | ||
| AFS 1 | 0.42463 * | 0.57355 * | 0.544 | 1.161 | 59.440 | ||
| AFS 2 | -1.470793 * | 1.207716 * | 0.793 | 1.236 | 92.693 | ||
| AFS 3 | -0.190952 ns | 0.718981 * | 0.573 | 1.364 | 33.147 | ||
| AFS 4 | 0.42463 * | 0.57355 * | 0.544 | 1.161 | 59.440 | ||
| Silvopastoral | -0.600536 ns | 0.939553 * | 0.582 | 1.390 | 69.203 | ||
| General model | -0.4364 * | 0.8743 * | 0.699 | 1.331 | 404.400 | ||
| Homogeneous | -0.883262 ns | 0.474319 ns | 0.638691 ns | 0.547 | 1.269 | 15.503 | |
| AFS 1 | 0.045817 ns | 0.483848 * | 0.273933 ns | 0.5581 | 1.158 | 31.950 | |
| AFS 2 | -1.970995 * | 0.863153 * | 0.595666 ns | 0.805 | 1.228 | 50.667 | |
| AFS 3 | -0.996543 * | 0.299154 ns | 0.939239 * | 0.695 | 1.300 | 28.293 | |
| AFS 4 | 0.045817 ns | 0.483848 * | 0.273933 ns | 0.558 | 1.158 | 31.950 | |
| Silvopastoral | -1.086688 * | 0.511525 * | 0.637688 * | 0.695 | 1.325 | 56.760 | |
| General model | -0.674451 * | 0.521555 * | 0.489129 * | 0.741 | 1.303 | 250.500 |
| Sistem | N.ha-1 | V | W | C | CO2 | CO2/year | ||
| (m³/tree) | (m³.ha-1) | (kg/tree) | (t.ha-1) | (t.C.ha-1) | (t.CO2.ha-1) | (t.CO2.ha-1/year) | ||
| Homogeneous | 278 | 0.0252 | 7.0163 | 50.820 | 14.128 | 7.064 | 25.925 | 2.592 |
| AFS 1 | 405 | 0.0254 | 10.2899 | 45.121 | 18.274 | 9.137 | 33.533 | 5.589 |
| AFS 2 | 209 | 0.0479 | 10.0087 | 107.739 | 22.517 | 11.259 | 41.320 | 5.903 |
| AFS 3 | 118 | 0.0163 | 1.9288 | 23.661 | 2.792 | 1.396 | 5.123 | 0.640 |
| AFS 4 | 313 | 0.0578 | 18.0926 | 154.792 | 48.450 | 24.225 | 88.906 | 9.878 |
| Silvopastoral | 100 | 0.1261 | 12.6057 | 267.135 | 26.714 | 13.357 | 49.019 | 4.456 |
Disclaimer/Publisher’s Note: The statements, opinions and data contained in all publications are solely those of the individual author(s) and contributor(s) and not of MDPI and/or the editor(s). MDPI and/or the editor(s) disclaim responsibility for any injury to people or property resulting from any ideas, methods, instructions or products referred to in the content. |
© 2023 by the authors. Licensee MDPI, Basel, Switzerland. This article is an open access article distributed under the terms and conditions of the Creative Commons Attribution (CC BY) license (http://creativecommons.org/licenses/by/4.0/).
