Preprint
Article

This version is not peer-reviewed.

A 2-Year Wencheng Waxy Yam Pesticide Residues Investigation and Quality Evaluation

A peer-reviewed article of this preprint also exists.

Submitted:

29 September 2023

Posted:

30 September 2023

You are already at the latest version

Abstract
Wencheng waxy yam is famous for its glutinous and resilient taste, similar to waxy rice, but there is currently a lack of systematic research on the quality of this featured product, and little is known about its pesticide residues. We carried out a 2-year investigation of Wencheng waxy yam at seven sites from 2021 to 2022 to determine the oxidase content and phytochemical characteristics, namely amylose, amylopectin, protein, reducing sugar, and mineral contents such as K, Fe, and Zn, , including the status of pesticide residues. The results showed that oxidase content was affected by rainfall, and adequate water reduced the production of oxidase, including polyphenol oxidase (PPO), peroxidase (POD), and superoxide dismutase (SOD), during the late growth stage of waxy yam, which was beneficial for reducing browning in yam processing. Radar map analysis showed that, with comprehensive evaluation, standardized production sites 1 and 2 had a relatively higher quality than 3–7 with small farmers. The results of pesticide multi-residue testing showed that no pesticides were detected in 64.29% samples, and the detected residues samples were very low, making the consumption of yam safe for consumers. These findings could be beneficial for the exploitation of the health benefits of waxy yam tubers and the innovation of yam-based functional products.
Keywords: 
;  ;  ;  ;  

1. Introduction

Yam, a candidate for ‘the homology of medicine and food’ published by China in 2020 [1], was first recorded in “Shennong’s Classic Material Medical” in China. With its main edible part being its underground tuber, yam is effective at improving blood circulation and enhancing spleen, lung, stomach, and kidney channel functions, and yam has a long history of cultivation and medicinal use in China [2,3]. Wencheng is located in Wenzhou City, Zhejiang province, China (27°34’–27°59’N, 119°46’–120°15’E). The mountainous area within Wencheng County accounts for 82.5% of the total area of the county, and most of the landforms are typical mountainous areas. The mean annual precipitation is 1772.6 mm, and the average humidity is 76.5%. Wencheng has plentiful rain and a mild climate, and more than 80% of rainfall is concentrated from March to October. The warm climate conditions provide a foundation for the growth of waxy yam. Waxy yam is a unique variety of yam in Wencheng, with a glutinous and resilient taste. In 2022, there were 650 households planting waxy yam in the county, with a cultivation area of 400 ha, and the total output value was 100 million RMB. Waxy yam makes important contributions to the development of the primary, secondary, and tertiary industries in Wencheng County and has become a ‘golden card’ for Wencheng County.
Yam is also called ‘Shanyao’ in China. More than 600 species have been reported worldwide, and about 60 are edible and medicinal [4]. More than 55 Dioscorea species are distributed in northeastern, central, and southeastern China [5]. As waxy yam is a unique variety, and Wencheng waxy yam is famous for its glutinous and resilient taste, similar to waxy rice. Its unique efficacy and flavor are highly attractive to consumers, indicating good market prospects and development potential for yam products.
For yam quality, previous reviews have primarily focused on nutritional and functional ingredients, including starch, fiber, protein, polysaccharides, sapogenins, dioscorin, allantoin, flavonoids, polyphenols, and other active compounds [6,7,8]. There is still a lack of comprehensive information on the physicochemical properties and applications of yam nutrients, and in addition, pesticide residues in yams are little known to consumers. The present study investigated the relationship between phytochemical characteristics, as well as the oxidase content, and browning degree of Wencheng waxy yam at different production sites and positions in 2 years, and 68 pesticides commonly used in yam were examined to assess the safety of yam for consumption, aiming to facilitate further exploitation of the health benefits of waxy yam tubers and innovation of yam-based functional products.

2. Materials and methods

2.1. Sample collection

Wencheng waxy yam was planted in April and collected from September to December. The samples were collected in December 2021 and December 2022. Waxy yam is primarily grown by family-owned farmers; seven typical growers were chosen for the 2-year investigation. Sites 1 and 2 were standardized production demonstration sites with a relatively large production scale, and sites 3 to 7 were sites worked by small-scale farmers. Fresh yam tuber samples with uniform thickness, no pests or diseases, intact and undamaged, and no fungus pests were collected. The appearance and planting location of the waxy yam are shown in Figure 1.
The sliced sample was ground in a domestic blender for chemical analysis. Chemical analysis techniques were conducted according to the methods of AOAC (1998) to determine the moisture content (Method 934.01) and protein content (Method 984.13) [9]. The dry matter of the yam tuber was obtained by subtracting the moisture content from the total weight of the tested sample.

2.2. Reagents and materials

The contents of three oxidases, namely polyphenol oxidase (PPO), peroxidase (POD), and superoxide dismutase (SOD), were detected. Mineral materials, including K, Fe, and Zn, were detected. The contents of amylose, amylopectin, protein, and reducing sugar were detected.
For oxidase content analysis, fresh sliced yam tubers (500 g) were quickly homogenized in 500 mL of 0.1 mol/L phosphate buffer (pH 7.0, 4°C) containing 30 mmol/L ascorbic acid using a domestic blender for 2 min. The resultant homogenate was quickly filtered through four layers of clean cheesecloth. The filtrate was then centrifuged at 8000 rpm for 10 min at 4°C. The supernatant was used for the analysis of oxidase activity. The PPO activity was determined by measuring the increase in absorbance at 525 nm over time. Briefly, 1 g of yam tissue was added to a 10 mL extraction buffer (containing 1% PVPP and 1.33 mM EDTA) for grinding. Then, one unit of PPO activity was defined as a change in absorbance of 0.01 min−1, and the enzyme activity was expressed in U kg−1 fresh weight (FW) [10].
The POD activity was determined by measuring the increase in absorbance at 470 nm over time. Samples were extracted by grinding 10 g of a frozen sample with sterile sea sand in 0.8 mL PBS buffer (pH 7.2) in an Ultra-Turax T25 at 4°C and centrifuged at 10,000 × g for 15 min at 4°C after adding the respective substrate (2 mL guaiacol). POD activity was expressed as U kg−1 fresh yam protein content [11].
The SOD activity was determined by measuring formanzan at an absorbance of 560 nm over time. The oxidase reaction with the reaction solution generated the superoxide anion (O2-), which restored nitroblue tetrazolium and produced formanzan. SOD was able to clear O2- and suppress or reduce the formation of formanzan. Thus, the darker the reaction solution, the lower the SOD activity; in contrast, the higher the activity. SOD activity was expressed as U mL−1 protein content when the inhibition percentage reached 50% [12]. The activities were calculated as follows:
P P O ( U / f resh   weight ) = 60 × Δ A ÷ W
P O D ( U / g f r e s h w e i g h t ) = 2000 × Δ A ÷ W
S O D = 11.11 × i n h i b i t i o n p e r c e n t a g e ÷ ( 1 i nhibition   percentage ) ÷ W
where ΔA means the change in absorbance value, and W means the sample weight (g).
Minerals, including potassium (K), iron (Fe), and zinc (Zn), were analyzed for subsequent wet ashing of the sample. Mineral analyses were conducted using an atomic absorption spectrophotometer (Model 2380, Perkin-Elmer Co., Norwalk, NJ, USA), following the method of Onwuliri and Anekwe [13].
Amylose and amylopectin contents were determined by a dual wavelength iodine binding technique [14]. Proteins were detected using the Chinese national standard GB 5009.5-2016 “National standard for food safety determination of protein in foods” [15]. Reducing sugar was detected following national standard GB 5009.86-2016 “National standard for food safety determination of ascorbic acid in food” [16].
The radar chart analysis method was used based on evaluating indicators, including amylose, amylopectin, protein, reducing sugar contents, and K, Fe, and Zn mineral material contents after dimensionless processing. A dimensionless procedure was carried out to constrain the values between 0 and 1; the closer the value to 1, the better the trait.
r i j = r i j m a x   r i j
where rij is the evaluation index value.
The radar chart area S and perimeter L were calculated as follows:
const angle = 2 * Math.PI / 7
L = Math.sqrt(a * a + b * b - 2 * a * b * Math.cos(angle))
S = 0.5 * a * b * Math.sin(angle)
For a comprehensive evaluation of samples from seven sites, the radar chart area S and perimeter L were used. The values of S and L and the ratio of S/L were used for the comprehensive evaluation of waxy yam. We chose the average value between 2021 and 2022 for a 7-site evaluation.
For deetection of pesticides, sample extraction and purification were performed as described by Sun et al. [17]. Fresh waxy yam samples were homogenized and stored at −20℃after removal of surface soil residues for analysis. The steps for QuEChERS process were shown in Figure 2.
A total of 42 batches of glutinous yam samples were collected in 2021–2022 for 68 pesticide multi-residue tests. Ultra-high performance liquid chromatography coupled with tandem mass spectrometry (HPLC-MS/MS, LCMS 8050, Shimadzu, Japan) was used to measure the pesticide multi-residues. Based on a study by Xu et al. [18], the conditions for chromatography and mass spectrometry were established. Specific information on the 68 pesticides tested is provided in the Supplementary Information (Table S1).

3. Results and discussion

3.1. Oxidase content of PPO, POD, and SOD

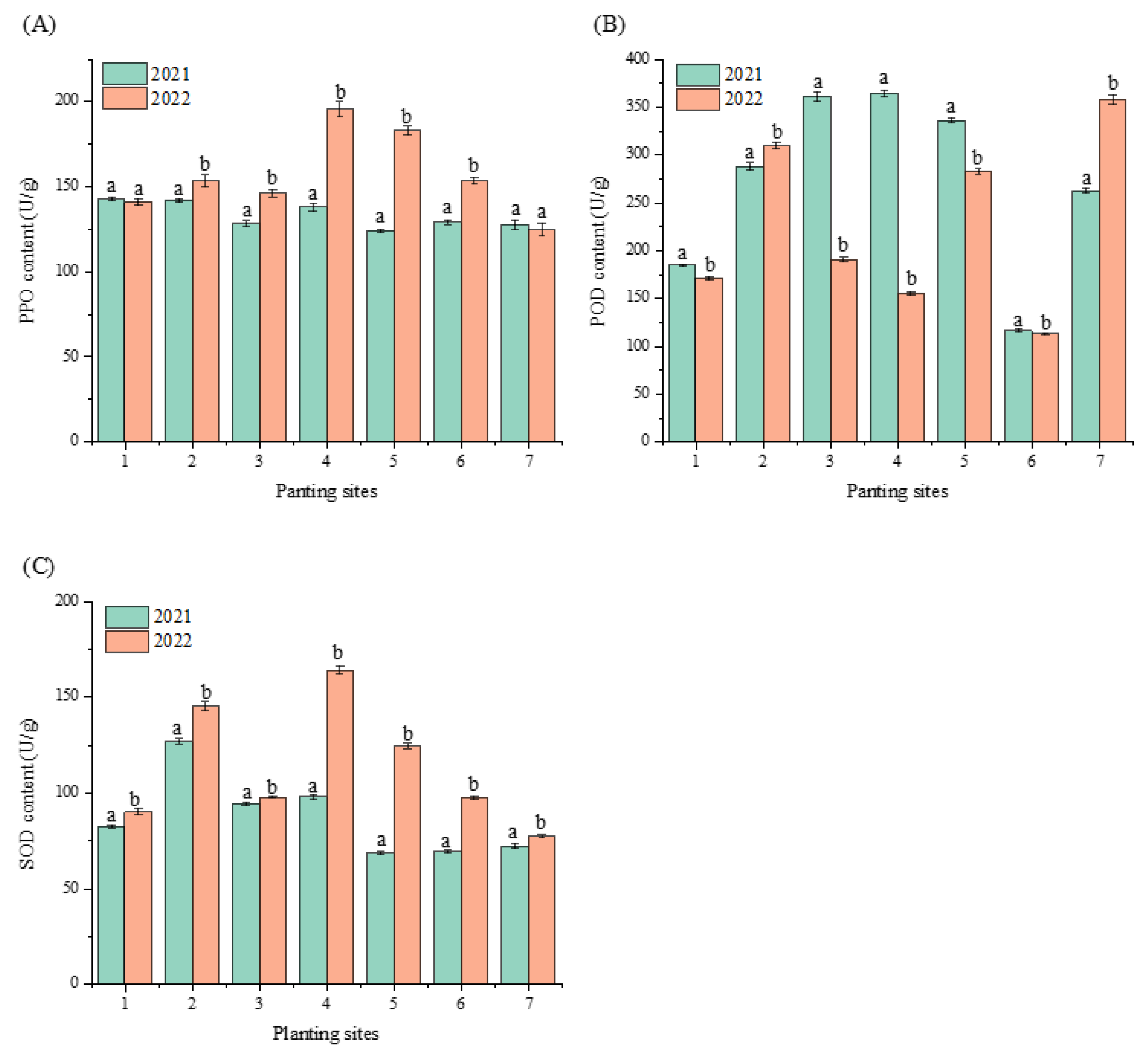
The contents of the three oxidases in the 2 years are shown in Figure 3. As Figure 3 shows, the contents of the three oxidases from seven sites varied greatly between 2021 and 2022. The PPO contents were 127.34–142.78 U/g fresh weight in 2021 and 124.47–195.18 U/g fresh weight in 2022. The POD contents were 115.83–360.82 U/g fresh weight in 2021 and 112.34–357.25 U/g fresh weight in 2022. The SOD contents were 112.34–357.25 U/g fresh weight in 2021 and 68.25–126.67 U/g fresh weight in 2022. Sites 1 and 2 were large-scale sites with more than 1 ha of area. The two large sites had carried out standardized production for several years, and the results showed that waxy yam quality of sites 1 and 2 would be more stable than farmer household production.
Oxidase content is the key enzyme involved in enzymatic browning, including resistance-related enzymes, such as PPO, POD, and SOD. PPO, a copper-containing nuclear-encoded enzyme of oxidoreductase, typically consists of three parts with a plastid peptide, a copper ion active center, and a C-terminus with a shielding function, and it is responsible for the oxidative conversion of phenolic compounds to polymers [19]. The PPO can be converted to oxy-PPO by reaction with O2, and enzymatic browning occurs. The browning stage is classified into three states based on its interaction with copper and oxygen: met-PPO (Cu2+–OH–Cu2+), deoxy-PPO (no bridging to oxygen), and oxy-PPO (Cu2+–O2–Cu2+) [20]. The background content of PPO, POD, and SOD is affected by the yam genotype, and the extent of their activity varies during the yam maturation time, especially from August to October. The oxidase content is affected by planting technology and soil properties. The results showed that at different planting sites, the PPO, POD, and SOD varied greatly according to the rainfall, temperature, and humidity changes between 2021 and 2022 in Wencheng. According to the local meteorological data recording, the rainfall and temperature were relatively normal in 2021, but the weather was relative, with high temperatures and less rainfall in 2022. Rainfall is an important factor that affects the yam features at the late growth stage. The rainfall in October was 239.7 mm in 2021 and 16.3 mm in 2022. Wencheng climate data is shown in Table 1.
Figure 3 and Table 1 show that PPO and SOD contents in 2021 were relatively lower than the values in 2022 for the 7 typical planting sites. For POD content, the values of sites 1, 3, 5, and 6 in 2021 were higher than in 2022, and the values of sites 2 and 7 were lower in 2021 than in 2022. Adequate water reduced the production of oxidase during the late growing stage of waxy yam and was beneficial for the processing and preservation of yams to prevent enzymatic browning.

3.2. Mineral materials, amylose, amylopectin, protein, and reducing sugar content analysis

The detection of amylose, amylopectin, protein, reducing sugar, K, Fe, and Zn contents from 7 sites in 2021 and 2022 are shown in Table 2.
The radar map analysis is shown in Figure 4. As an important staple food in Wencheng, the taste quality of waxy yam is a decisive factor that affects quality and consumer preference. In the present study, research on the taste quality of waxy yam mainly focused on amylose and amylopectin contents. Table 2 shows that the amylose content varied from 26.74% to 33.79% and that the amylopectin content varied from 41.34% to 56.48%. The amylopectin content was generally higher than the amylose content, which is the main factor affecting its waxy features. Compared with waxy rice, the amylose content was relatively low (0.0–24.8%), and the amylopectin content contained most of the starch value, distributed between 75.2% and 100.0% [21]. Compared with the high proportion of amylopectin content in waxy rice, the amylopectin content in glutinous rice yam is relatively low. The amylose content varied greatly, which is the main factor affecting the glutinous stability of waxy yam. The protein content of waxy yam varied from 1.40% to 3.04%. The reducing sugar content of waxy yam varied from 0.31% to 0.77%, as it plays a vital role in the edible quality and processing properties of waxy yam. Previous studies have shown that during processing, Maillard reactions occur between carbonyl compounds (reducing sugars) and amino compounds (amino acids and proteins), which give a unique flavor and color to food products. As amino acids and proteins are limited, the reducing sugar content plays an important role in affecting the color of waxy yam. Therefore, it is necessary and significant to accurately monitor the reducing sugar content in waxy yam to improve its acceptability and utilization [22]. Currently, waxy yam is consumed fresh, and a small amount is used for processing. It is necessary to further study the best contents of protein, amino acids, and reducing sugars to improve the quality of waxy yam processing products.
Waxy yam contains rich K elements, ranging from 3102 to 5412 mg/kg. The Fe content varied from 4.12 to 6.59 mg/kg, and the Zn content varied from 3.90 to 7.30 mg/kg. These three types of elements are essential for human health, and the results suggest that waxy yam has good health functions. As a tonic, the market value of waxy yam is steadily rising, and yam has become increasingly popular. The cultivation area thereof has continuously expanded, and the value and profitability of this crop to farmers have increased in recent years [23]. An appropriate supply of N, P, and K fertilizer is beneficial for increasing yam yield and nutrient accumulation. [24]
For a comprehensive evaluation, the balance of nutrients is crucial for foods [25]. For waxy yam, amylose, amylopectin, protein, reducing sugar, and mineral contents, including K, Fe, and Zn, are important nutrient components in yam tubers. Although there is currently a lack of standards for evaluating the quality of waxy yams, a dimensionless procedure was carried out to constrain the values between 0 and 1; the closer the value to 1, the better the trait. The chart area S and perimeter L are calculated in Table 3. The sum of the L and S values and the total number were used to evaluate the order of the seven sites.
Table 3 shows that the quality evaluation order of the sites was as follows: 2 > 1 > 7 > 5 > 3 > 4 > 6. The comprehensive evaluation results showed that standardized production sites 1 and 2 had a relatively higher quality than sites 3–7 with small farmers.

3.3. Analysis of pesticide residues

A total of 42 samples were collected from 2021 to 2022, with 6 samples from each planting site, respectively. As shown in Figure 5, among all the samples of waxy yam, no pesticides were detected in 27 samples. Among them, all samples from planting sites 1 and 2 were not detected with pesticides, and the number of uncontaminated samples from collection sites 3 to 7 was 3, 3, 2, 3, and 4, respectively. A total of three different pesticides were detected in the 42 samples. The detection rate of pesticides reached 35.71%, and contamination ranged from one to three detectable pesticides per sample. Pesticides were not detected in most of the samples, indicating that waxy yam is safe for consumption (Figure 6). Fewer pesticides were detected in waxy yam from large-scale production subjects (sites 1 and 2) compared to small-scale farmers (sites 3 to 7) because agricultural-scale subjects have more advantages than small-scale farmers in that they are large in scale, standardized in production and marketing, and the exact responsibility of the subjects can be accurately tracked by recording input use and production management practices. Large-scale production subjects the challenges faced by retail farmers by centralizing the purchase of inputs, providing technical training, and supervising the production of products [26].
In this study, the detected pesticides were azoxystrobin (nine samples), with a residue range of 0.008−0.031 mg kg-1; prochloraz (six samples), with a residue range of 0.007−0.027 mg kg-1; and carbendazim (six samples), with a residue range of 0.009−0.049 mg kg-1, specific data are presented in Supplementary Information (Table S2). Among the 3 pesticides detected in all samples, only the MRLs of prochloraz have been established in yam according to GB 2763-2021 [27], with values of 0.3 mg kg-1. The test values are well below this limit (0.3 mg kg-1). According to the EU pesticide database, the maximum residue limits of azoxystrobin, prochloraz, and carbendazim in yam are 1.0, 0.03, or 0.1 mg kg-1 [28]. It is clear that the residues of the three pesticides detected in this study were very low, thus this indicates that the risks associated with the consumption of waxy yam are considered safe for humans and do not pose potential risk to human health as far as food safety. Since yams are eaten mainly from underground tubers, they are not directly exposed to pesticides, which may be one of the reasons why fewer pesticides were detected in yams than in other leafy vegetables. Balkan et al. tested potato for 135 pesticides in a multi-residue assay, and no pesticide residues were found in 93 out of 104 samples, and the other samples in which pesticides were detected had very low residue levels [29], which is consistent with the results of our study. Sun et al. found that the median residue values of chlorfenapyr in radish and radish leaves were 0.12 and 3.92 mg/kg for the same time of treatment (14 days), respectively, and the residue values in radish were much lower than those in radish leaves [30]. In addition, it may be attributed to microbial degradation in the soil [31]. The types and mechanisms of microbial degradation of organophosphorus pesticides were systematically described by Ji et al. [32]. Degradative strains isolated from pesticide-contaminated soils can utilize organophosphorus pesticides as a carbon and energy source for growth.

4. Conclusions

In this study, we investigated the oxidase content, including PPO, POD, and SOD, and quality properties, including amylose, amylopectin, protein, reducing sugar, and mineral contents, of Wencheng waxy yam through a 2-year investigation. The PPO content varied from 124.47 to 195.18 U/g fresh weight, while the POD content varied from 112.34 to 360.82 U/g fresh weight. The SOD content varied from 68.25 to 357.25 U/g fresh weight. Rainfall was an important factor affecting the yam features and formation of oxidase during the late growth stage. Adequate water reduced the oxidase production and was beneficial for the processing and preservation of yams to prevent enzymatic browning. A comprehensive evaluation was carried out using radar map analysis; the results showed that with a quality content evaluation of amylose, amylopectin, protein, reducing sugar, and mineral contents, including K, Fe, and Zn, standardized production sites 1 and 2 had relatively higher quality than sites 3–7 with small farmers. In addition, the results of pesticide residues also show that yams contain very little pesticide residue and are safe for consumers.

Supplementary Materials

The following supporting information can be downloaded at the website of this paper posted on Preprints.org.

Author Contributions

All authors contributed to the study’s conception and design. Material preparation, data collection, and analysis were performed by Y.H. Liu, D.L Xu, W.R. Zheng. The first draft of the manuscript was written by L.P. Chen and revised by C.X. Sun. Formal analysis was carried out by C.X. Sun., Y.H. Liu. All authors commented on previous versions of the manuscript.

Funding

This work was supported by Zhejiang Provincial Department of Agriculture and Rural Affairs (2021SNLF010).

Data Availability Statement

Experimental data associated with this research are available from the authors.

Conflicts of Interest

The authors declare no conflict of interest.

References

  1. Li, Y.; Ji, S.Y.; Xu, T.; Zhong, Y.H.; Xu, M.H.; Liu, Y.Q.; Li, M.J.; Fan, B.; Wang, F.Z.; Xiao, J.B.; Lu., B.Y. Chinese yam (Dioscorea): Nutritional value, beneficial effects, and food and pharmaceutical applications. Trends Food Sci. Tech. 2023, 134, 29–40. [Google Scholar]
  2. Xiong, F.; Lyu, C.G.; Kang, C.Z.; Wan, X.F.; Sun, J.H.; Wang, T.L.; Wang, S.; Li, H.Y.; Yang, J.A.; Guo, L.P. Authenticating the geographical origin of the Chinese yam (Tiegun) with stable isotopes and multiple elements. Food Chem. X. 2023, 18, 100678. [Google Scholar] [CrossRef] [PubMed]
  3. Chen, Y.; Zhou, X.Z.; Ma, L.N.; Lin, Y.S.; Huang, X.G. Chinese yam yield is affected by soil nutrient levels and interactions among N, P, and K fertilizers. Chinese Herbal Medicines 2023, 11, 006. [Google Scholar] [CrossRef]
  4. Darkwa, K.; Olasanmi, B.; Asiedu, R.; Asfaw, A. Review of empirical and emerging breeding methods and tools for yam (Dioscorea spp.) improvement:Status and prospects. Plant Breeding 2019, 139, 474–497. [Google Scholar]
  5. Shan, N.; Wang, P.T.; Zhu, Q.L.; Sun, J.Y.; Zhang, H.Y.; Liu, X.Y.; Cao, T.X.; Chen, X.; Huang, Y.J.; Zhou, Q.H. Comprehensive characterization of yam tuber nutrition and medicinal quality of Dioscorea opposita and D. alata from different geographic groups in China. J. Integr. Agr. 2020, 19, 2839–2848. [Google Scholar]
  6. Liu, X.; Yan, Y.; Liu, H.; Wang, X.; Qin, G. Emulsifying and structural properties of polysaccharides extracted from Chinese yam by an enzyme-assisted method. LWT–Food Sci. Technol 2019, 111, 242–251. [Google Scholar]
  7. Zeng, M.; Zhang, L.; Li, M.; Zhang, B.; Zhou, N.; Ke, Y.; Feng, W.; Zheng, X. Estrogenic effects of the extracts from the Chinese yam (Dioscorea opposite Thunb.) and its effective compounds in vitro and in vivo. Molecules 2018, 23(2), 11. [Google Scholar] [CrossRef]
  8. Epping, J.; Laibach, N. An underutilized orphan tuber crop-Chinese yam: A review. Planta 2020, 252, 58. [Google Scholar]
  9. AACC. Approved methods of the American Association of Cereal Chemists (9th ed.). 1995. St. Paul, MN: The Association.
  10. Huang, C.C.; Chiang, P.Y.; Chen, Y.Y.; Wang, C.R. Chemical compositions and enzyme activity changes occurring in yam (Dioscorea alata L.) tubers during growth. LWT-Food Sci. Technol 2007, 40, 1498–1506. [Google Scholar] [CrossRef]
  11. Huyskens-Keil, I.; Eichholz-Dündar, K.; Hassenberg, W.B. Impact of light quality (white, red, blue light and UV-C irradiation) on changes in anthocyanin content and dynamics of PAL and POD activities in apical and basal spear sections of white asparagus after harvest. Postharvest Biol. Tec. 2019, 111069. [Google Scholar]
  12. Foyer, C.H.; Descourvières, P.; Kunert, K.J. Protection against oxygen radicals: an important defence mechanism studied in transgenic plants. Plant Cell Environ. 1994, 17. [Google Scholar] [CrossRef]
  13. Onwuliri, V. A.; Anekwe, G.E. Proximate and elemental composition of Bryophyllum pinnatum (Lim). Medical Science Research 1992, 20, 103–104. [Google Scholar]
  14. Zhu, T.; Jackson, D.S.; Wehling, R.L. Comparison of amylose determination methods and the development of a dual wavelength iodine binding technique. Cereal Chem. 2008, 85(1), 51–58. [Google Scholar] [CrossRef]
  15. GB 5009.5-2016 “National standard for food safety Determination of protein in foods”.
  16. GB 5009.86-2016 “National standard for food safety Determination of ascorbic acid in food”.
  17. Derardja, A.E.; Pretzler, M.; Kampatsikas, I.; Barkat, M.; Rompel, A. Purification and Characterization of Latent Polyphenol Oxidase from Apricot (Prunus armeniaca L.). J. Agric. Food Chem. 2011, 88(1), 105–110. [Google Scholar] [CrossRef] [PubMed]
  18. Sui, X.; Meng, Z.; Dong, T.T.; Fan, X.T.; Wang, Q.G. Enzymatic browning and polyphenol oxidase control strategies. Curr. Opin. in Biotech. 2023, 81, 102921. [Google Scholar]
  19. Sun, C.X.; Cang, T.; Wang, Z.W.; Wang, X.Q.; Yu, R.X.; Wang, Q.; Zhao, X.P. Degradation of three fungicides following application on strawberry and a risk assessment of their toxicity under greenhouse conditions. Environ. Monit. Assess. 2015, 187, 303. [Google Scholar] [CrossRef]
  20. Xu, Z.L.; Li, L.X.Y.; Xu, Y.; Wang, S.S.; Zhang, X.X.; Tang, T.; Yu, J.Z.; Zhao, H.Y.; Wu, SG.; Zhang, C.R.; Zhao, X.P. Pesticide multi-residues in Dendrobium of cinale Kimura et Migo: method validation, residue levels and dietary exposure risk assessment. Food Chem. 2021, 43, 128490. [Google Scholar] [CrossRef]
  21. Xie, L.H.; Tang, S.Q.; Wei, X.J.; Sheng, Z.H.; Shao, G.N.; Jiao, G.A.; Hu, S.K.; Lin, W.; Hu., P.S. Simultaneous determination of apparent amylose, amylose and amylopectin content and classification of waxy rice using near-infrared spectroscopy (NIRS). Food Chem 2022, 388, 132944. [Google Scholar] [CrossRef]
  22. He, H.J.; Wang, Y.Y.; Zhang, M.; Wang, Y.L.; Ou, X.Q.; Guo, J.L. Rapid determination of reducing sugar content in sweet potatoes using NIR spectra. J. Food Compos. Anal. 2022, 111, 104641. [Google Scholar]
  23. Raj, M.; Hegde, V.; Jeeva, M.L.; Senthil, M.; Nath, V.S.; Vidyadharan, P.; Archana, P.V. Molecular diagnosis of Colletotrichum gloeosporioides causing Anthracnose/Dieback disease in Greater Yam (Dioscorea alata L.). Archives of Phytopathology and Plant Protection 2013, 46, 927–936. [Google Scholar] [CrossRef]
  24. Niu, S.; Xu, H.; Sun, Z.; Wang, D.; Zhao, W.; Ma, Q. Effect of NPK application rates and basal/dressing ratios on yield and nutrient utilization of yam. Journal of Plant Nutrition and Fertilizers 2020, 26(9), 1702–1713. [Google Scholar]
  25. Xu, H.Y.; Chen, X.W.; Li, J.; Bi, Y.L. Approach to evaluate the sensory quality deterioration of chicken seasoning using characteristic oxidation indicators. Food Chem. X. 2023, 17, 100564. [Google Scholar] [CrossRef] [PubMed]
  26. Zhou, J. H.; Li, K.; Liang, Q . Food safety controls in different governance structures in China’s vegetable and fruit industry. J. Integr. Agr. 2015, 14(11), 2189–2202.
  27. Ministry of Agriculture and Rural Affairs of the People’s Republic of China. National Food Safety Standard-maximum residue limits for pesticides in food. GB2763-2021. Standards Press of China: Beijing, China, 2021. Available online: http://2763.foodmate.net/.
  28. European Commission.2023. Pesticides database. Avaliable at: https://food.ec.europa.eu/plants/pesticides/eu-pesticides-database_en (Accessed September 21, 2023).
  29. Balkan, T.; Yilmaz, O. Investigation of insecticide residues in potato grown in T? rkiye by LC- MS/MS and GC-MS and health risk assessment. Turkish Journal of Entomology 2022, 46(4), 481–500. [Google Scholar]
  30. Sun, M.; Yi, X.; Tong, Z.; Dong, X.; Chu, Y.; Meng, D.; Duan, J. Residual Behavior and Dietary Risk Assessment of Chlorfenapyr and Its Metabolites in Radish. Molecules 2023, 28, 580. [Google Scholar] [CrossRef]
  31. Hormenoo, Y.A.; Agbenorhevi, J.K.; Ekyem, S.O.; Bonsu, K.O.; Torve, V.; Voegborlo, B.R. Determination of some herbicide residues in sweet potato. Cogent Food Agr. 2021, 7, 1910159. [Google Scholar] [CrossRef]
  32. Ji, X.Y.; Wang, Q.; Zhang, W.D.; Yin, F. Research advances in organophosphorus pesticide degradation: a review. Fresen. Environ. bull. 2016, 25(5), 1556–1561. [Google Scholar]
Figure 1. Waxy yam appearance and the location of Wencheng.
Figure 1. Waxy yam appearance and the location of Wencheng.
Preprints 86512 g001
Figure 2. Analytical steps of the QuEChERS.
Figure 2. Analytical steps of the QuEChERS.
Preprints 86512 g002
Figure 3. Contents of three oxidases at seven sites in 2 years. (A. polyphenol oxidase (PPO) content at seven sites; B. peroxidase (POD) content at seven sites; C. superoxide dismutase (SOD) content at seven sites).
Figure 3. Contents of three oxidases at seven sites in 2 years. (A. polyphenol oxidase (PPO) content at seven sites; B. peroxidase (POD) content at seven sites; C. superoxide dismutase (SOD) content at seven sites).
Preprints 86512 g003
Figure 4. Radar map analysis of 7 sites between 2021 and 2022 (planting sites 1 to 7).
Figure 4. Radar map analysis of 7 sites between 2021 and 2022 (planting sites 1 to 7).
Preprints 86512 g004
Figure 5. Detection of pesticide residues in samples from the planting sites 1 to 7.
Figure 5. Detection of pesticide residues in samples from the planting sites 1 to 7.
Preprints 86512 g005
Figure 6. Proportion of pesticide residues in samples (A) represents 2021 and (B) represents 2022.
Figure 6. Proportion of pesticide residues in samples (A) represents 2021 and (B) represents 2022.
Preprints 86512 g006
Table 1. Wencheng climate data in 2021 and 2022.
Table 1. Wencheng climate data in 2021 and 2022.
Lowest temperature (°C) Highest temperature (°C) Rainfall (mm)
2021 August 21 35 432.1
September 16 36 39.8
October 11 33 239.7
2022 August 20 40 559
September 16 36 39.3
October 8 37 16.3
Table 2. Detection results of quality indicators from 7 sites.
Table 2. Detection results of quality indicators from 7 sites.
Quality index Year Site 1 Site 2 Site 3 Site 4 Site 5 Site 6 Site 7
Amylose, % 2021 33.79±1.52 31.58±2.38 27.06±2.39 27.71±1.96 26.74±1.89 29.20±2.96 30.36±2.68
2022 32.37±2.36 29.00±1.64 31.35±2.58 32.88±2.03 33.71±2.37 31.60±2.35 33.59±2.56
Amylopectin, % 2021 49.30±3.84 50.97±4.26 49.35±3.96 48.72±3.84 53.60±4.26 45.45±5.27 41.34±3.83
2022 49.81±3.26 49.88±3.98 45.10±4.08 44.41±4.02 45.87±3.84 48.73±4.38 56.48±4.98
Protein, % 2021 2.38±0.16 2.82±0.84 2.22±0.98 1.40±0.02 2.00±0.26 1.62±0.14 3.04±0.69
2022 2.29±0.12 2.36±0.24 1.98±0.12 2.32±0.04 1.72±0.12 2.36±0.16 2.25±0.12
Reducing sugar, % 2021 0.54±0.08 0.53±0.03 0.31±0.09 0.57±0.03 0.65±0.08 0.39±0.02 0.31±0.05
2022 0.57±0.05 0.53±0.04 0.77±0.06 0.37±0.02 0.38±0.04 0.31±0.04 0.41±0.03
K, mg/kg 2021 4060±125 4510±236 3113±126 3102±156 5412±214 3136±236 5368±356
2022 3996±108 5126±208 3338±253 4165±189 4071±198 4023±248 4028±298
Fe, mg/kg 2021 5.25±0.08 6.59±0.26 5.19±0.26 5.14±0.08 4.76±0.08 4.14±0.24 4.12±0.18
2022 5.72±0.06 6.4±0.98 6.15±0.08 6.3±0.23 5.82±0.12 5.36±0.37 5.26±0.24
Zn, mg/kg 2021 4.44±0.04 3.48±0.56 4.12±0.12 3.90±0.24 4.12±0.38 3.87±0.15 4.03±0.19
2022 5.72±0.08 7.30±0.87 6.86±0.36 6.57±0.36 6.33±0.26 6.55±0.24 6.13±0.38
Table 3. Comprehensive evaluation of nutrient components in yam tubers.
Table 3. Comprehensive evaluation of nutrient components in yam tubers.
Quality indices Years 1 2 3 4 5 6 7
Amylose 2021 1.00 0.93 0.80 0.82 0.79 0.86 0.90
2022 0.96 0.86 0.93 0.97 1.00 0.94 0.99
Amylopectin 2021 0.87 0.90 0.87 0.86 0.95 0.80 0.73
2022 0.88 0.88 0.80 0.79 0.81 0.86 1.00
Protein 2021 0.78 0.93 0.73 0.46 0.66 0.53 1.00
2022 0.75 0.78 0.65 0.76 0.57 0.78 0.74
Reducing sugar 2021 0.70 0.69 0.40 0.74 0.84 0.51 0.40
2022 0.74 0.69 1.00 0.48 0.49 0.40 0.53
K 2021 0.75 0.83 0.58 0.57 1.00 0.58 0.99
2022 0.74 0.95 0.62 0.77 0.75 0.74 0.74
Fe 2021 0.80 1.00 0.79 0.78 0.72 0.63 0.63
2022 0.87 0.97 0.93 0.96 0.88 0.81 0.80
Zn 2021 0.61 0.48 0.56 0.53 0.56 0.53 0.55
2022 0.78 1.00 0.94 0.90 0.87 0.90 0.84
Average S 1.78 2.03 1.65 1.58 1.71 1.43 1.72
Average L 4.87 5.16 4.59 4.51 4.70 4.28 4.70
S/L 0.366 0.393 0.359 0.350 0.363 0.335 0.365
Order 2 1 5 6 4 7 3
Disclaimer/Publisher’s Note: The statements, opinions and data contained in all publications are solely those of the individual author(s) and contributor(s) and not of MDPI and/or the editor(s). MDPI and/or the editor(s) disclaim responsibility for any injury to people or property resulting from any ideas, methods, instructions or products referred to in the content.
Copyright: This open access article is published under a Creative Commons CC BY 4.0 license, which permit the free download, distribution, and reuse, provided that the author and preprint are cited in any reuse.
Prerpints.org logo

Preprints.org is a free preprint server supported by MDPI in Basel, Switzerland.

Subscribe

Disclaimer

Terms of Use

Privacy Policy

Privacy Settings

© 2026 MDPI (Basel, Switzerland) unless otherwise stated