Preprint
Article

This version is not peer-reviewed.

Comparison of sunshine duration measurements between the Campbell-Stokes sunshine recorder and three automatic sensors at three locations in Cyprus.

A peer-reviewed article of this preprint also exists.

Submitted:

28 September 2023

Posted:

03 October 2023

You are already at the latest version

Abstract
The purpose of this paper is to compare daily sunshine duration (SD) measured by Campbell-Stokes sunshine recorder (CS) with three automatic instruments (Kipp & Zonen pyranometers (CM6B), pyrheliometer (CHP1) and CSD3 sunshine recorders). The comparisons are essential, since in recent decades automatic sunshine duration sensors have been systematically replacing the manual measurements affecting therefore the continuity of the CS time series. The comparisons were applied to the daily SD data of three synoptic stations (Larnaca A/P, Pafos A/P and Athalassa) where parallel measurements of manual and automatic instruments are carried out during the periods 2009-2012 and 2012-2015. The CSD3 measurements were obtained from two automatic weather stations (AWS) (Mennogia and Pentakomo) which are closed to the synoptic station of Larnaca A/P. The comparisons cover the daily and monthly sums, their statistical distributions and their relationships. The daily differences of the pairs of the sunshine recorders installed at the same location are mostly within the range of -1.0 to +1.0 h. At Larnaca, in the period 2009-2012, the pyranometric method (Gl) is higher than the CS in the summer months, while during the winter months it is lower than CS. Pafos and Athalassa showed higher values of CS comparing to Gl and the pyrheliometric method (Pr), respectively, almost throughout the year. Generally, the annual average daily differences between the different pairs range between 0.3 and 0.5 h. Regression equations were determined allowing the estimation of daily SD under different sky conditions. The closest relations between different pairs were obtained in ‘clear sky’ and ‘all sky’ conditions, as it is indicated by the high coefficient of determinations. R2 reached the values of 0.92 and 0.96 under ‘all sky’ conditions, and between 0.80 and 0.91 under ‘clear’ sky conditions, respectively. An increase in cloud cover causes an increase in the SD differences recorded by the relevant devices. Comparing statistically the different pairs using the Mann-Whitney nonparametric test which is the alternative to the Two Sample T parametric test, it was found that the medians are not statistically different. However, significant differences were only detected in the case of the pair of CS and Pr at Athalassa (2012-2015) using both tests. In the rest of the cases the differences are not statistically significant at the 5% level.
Keywords: 
;  ;  ;  ;  

1. Introduction

Sunshine duration (SD) is considered as an important meteorological element since it indicates the amount of solar radiation arriving on the earth surface and at the same time it is also important for various sectors such as tourism, public health, agriculture, energy and climate classification (1-4). It is estimated as the total time length when the direct solar irradiance exceeds the value of 120 W/m2 (5). It is measured in units of ‘hours per day’ or as a ‘relative sunshine duration’ which is the percentage of the astronomical daylength. The available devices to measure sunshine duration can be classified into two types, i.e. ‘manual’ or ‘automatic’. A review on the sunshine recorders, their evolution and operation principles are described by Wang et al. (6).
The traditional instrument for the manual sunshine duration measurements is the Campbell-Stokes sunshine recorder (CS). It measures the bright sunlight as estimated by the length of the burn mark on a piece of special treated cardboard. It has been routinely measured since over 150 years (7). Painter (8) found that the irradiance threshold required producing a burn on a sun card varied from 106-285 W/m2, with an average of 170 W/m2. The heliographic records showed many problems which affect the temporal and spatial analysis of long-term SD series. The most important problems are the gaps of the measurements as well as the change of the location of the station and lack of metadata information. Furthermore, the magnitude of recording of SD depends on the type and quality of the paper, the weather conditions, the properties of the glass of the heliographic balls, as well as the ability of the observers to interpret correctly the card (9). In contrast, the automatic sunshine duration sensors use the threshold of 120 W/m2 which is recommended by WMO and are independent of the observers. Therefore, the automatic devices have been replacing the CS recorders. Presently, different types of automatic sensors are used, such as Kipp & Zonen CSD1 (10), CSD2 (11) and CSD3 (12-15), the pyranometric and pyrheliometric methods (16-17), the Haenni Solar 111 (11), the SONIe automatic device used by the Germany meteorological network (18), the Vaisala DSU12 (19), the Jordan photographic sunshine recorder and the DFC2 photoelectric sunshine meter which is used by China Meteorological Administration (17).
Details about the history of replacing the CS recorders with automatic sensors in various countries can be found in Baumgartner et al. (11), Matuszko (12), Stanhill (20), Sanchez-Romero et al. (21) and Owczarek and Malinowska (22). One of the advantages of the automatic measurements is that they do not require the daily involvement of personnel to replace the card every day and to read it out. However, the replacement of CS recorders with automatic devices created other problems related to the data quality, comparability and homogeneity of the data series. Therefore, the comparison of ‘manual’ and ‘automatic’ sensors is required for the interpretation of SD time series.
Given the need to compare the ‘manual’ and ‘automatic’ sensors, various authors study the differences of these instruments. For example, Srinivasan et al. (13) compared CS and Kipp & Zonen sunshine duration records from four locations in New Zealand. Generally, Kipp & Zonen sunshine duration records were higher than CS, with differences ranging from 2% to 17%. Similar results were obtained by Owczarek and Malinowska (22) at a station in northern Poland. The higher CSD3 daily SD values compared to CS were attributed to the higher sensitivity threshold required by the CS devices. Furthermore, they found that the higher daily totals obtained by CS rather than by the CSD3 devices are mainly recorded in the summer, due to the so-called ‘overburning effect’. This occurs when the solar disk suddenly becomes obscured by rapidly moving clouds with no sunshine recorded by the automatic instrument, but the burning of a trace on the CS suncard continues. It was also found that this ‘overburning effect’ is at its highest intensity in the presence of Cumulus Congestus clouds (Matuszko, 12, 23). On the other hand, SD recorded by CSD3 sensor can be significantly reduced by high clouds such as Altostratus or Cirrostratus. Baumgartner et al. (11) found also that the larger differences between CS and automatic sensors in Austria were attributed to the higher sensitivity threshold of the CS instrument. Legg (15) based on parallel measurements of CS and CSD3 at 16 sites in England has proposed a quadratic relationship between the two instruments. The Angström-Prescott model was checked by Almorox et al. (14) for 10 stations in Spain using CS and CSD3 Kipp & Zonen sensors. The results of this study showed that the Kipp & Zonen sensors can be considered as suitable for measuring sunshine duration and can provide a significant reduction in the statistical errors when solar radiation is estimated.
Urban and Zajac (10) found strong relationships between CS and CSD1 automatic sensor at five locations in south-western Poland. The estimated mean differences in daily totals of sunshine duration were ±0.3 h. The differences were both positive and negative with no pattern of occurrences. Comparing CS and CSD1 in England, Kerr and Tabony (24) found that CS recorder overestimates the sunshine due to the spreading of the burn on the card. This occurs in cases when cloud cover is broken and the sun is high in the sky. They showed that the overestimation of the sunshine was about 20% in summer and 7% in winter. This seasonal variation was attributed mainly to the influence of solar elevation. Sanchez-Romero et al. (25) have investigated the relationship between the burn width of CS and direct solar irradiance using digital image machine for the Girona station, a Mediterranean site in Spain. This semiautomatic method showed very good results as far as SD measurements.
Hannak et al. (18) analyzed the daily SD data of 13 stations in Germany using CS sunshine recorders and automatic measurements using SONIe instrument. They found that the manual observations are larger during the summer especially in cases of frequent alterations between sunny and cloudy conditions. Hinssen and Knap (16) have developed algorithms for the estimation of sunshine duration using pyranometers and pyrheliometers. The uncertainty for the yearly sums was estimated around 0.5%. Sanchez-Romero et al. (21) have developed a model to estimate the turbidity of the atmosphere based on SD from CS instrument. Similarly, Nyamsi et al. (26) have developed a method to estimate aerosol optical depth from SD measurements. Therefore, by means of the CS SD records it is possible to create time series of atmospheric aerosol during back to the starting point of sunshine duration measurements at the given location.
Zhou et al. (17) have demonstrated that the Jordan sunshine recorder was compatible with those from the DFC2 photoelectric sunshine meter and the Kipp & Zonen CMP11 pyranometers under all sky conditions, but they were considerably different from those observed by CHP1 pyrheliometer. They showed that the potential influencing factors on the measurements are the solar zenith angle, the spectral range of the automatic sensors, the relative humidity, and the sky conditions. On clear days, the SD observed by the Jordan sunshine recorder was generally less than the DFC2 photoelectric sensor and the CHP1 and CMP11 thermoelectric radiation meters. However, with an increase of cloud cover and the appearance of low or medium-level clouds (cumulus, cumulonimbus and altocumulus clouds), the Jordan sunshine recorder overestimated the SD due to the ‘overburning effect’. Finally, the estimation of daily SD from satellite based data is the study subject of Matuszko et al. (9) in Polland.
Parallel measurements of sunshine duration by manual and automatic devices are relatively limited in Cyprus. There are only three locations (synoptic stations) where both CS and three different automatic sensors (Kipp & Zonen pyranometer, pyrheliometer and CSD3 sunshine recorder) are operating at the same site or at least in a close distance to the selected locations. It has to be noted that the CSD3 sensors are located in neighbor Automatic Weather Stations (AWS). Up to now, there are no relevant studies comparing the sunshine duration measurements. As indicated earlier, several studies in different parts of the world have shown both negative and positive differences. The purpose of the present study is to compare the manual with the three automatic sensors at the selected locations. The established relationships could be useful in extending the existing daily time series of CS measurements, since the CS recorders were replaced with automatic instruments.
Section 2 gives informationabout the sunshine duration instruments operated at the synoptic stations of Larnca A/P, Pafos A/P and Athalassa during the periods 2009-2012 and 2012-2015. The manual observations are based on Campbell-Stokes sunshine recorder, while the automatic instruments are manufactured by Kipp & Zonen. Section 3 compares the daily sunshine duration measurements obtained from the said instruments on a seasonal basis and under various sky conditions and discusses the reasons of the observed positive or negative differences. Furthermore, linear relationships are established to convert the automatic measurements to CS time series. To assess the differences between the manual and automatic sensors, parametric (T tests) and non-parametric (Mann-Whitney) statistical tests are applied. Finally, the global radiation is estimated using the Angström-Prescott equation based on daily records of both records. The final section presents the conclusions of the study.

2. Materials and methods

The geographical coordinates of the stations involved in the sunshine duration (SD) measurements using different methods and their period of measurements are presented in Table 1, while the locations are also shown in Figure 1. As it is indicated from the Table 1, daily data from five stations are used. The availability of data varies between 2 and 4 years in each period of measurements. The stations cover the southern coastal and inland plain areas of the island. The comparison tests are applied for the three synoptic stations (Larnaca A/P, Pafos A/P and Athalassa) where different sunshine devices are installed (manual and automatic). The manual measurements of SD are carried out by the Campbell-Stokes sunshine recorders (CS), while the automatic measurements at the synoptic stations are based on the Kipp & Zonen pyranometers (CM6B) and CHP1 pyrheliometer. Additionally, parallel measurements are also carried out by the Kipp & Zonen CSD3 sunshine recorders obtained from two automatic weather stations (AWS) which are closed to the synoptic station of Larnaca A/P. Since the distance between the synoptic and AWS is lower than 35 Km, it is possible to assess the CSD3 sensors against the manual devices. Essentially, the comparisons of daily SD are applied between four different types of instruments, namely the manual Campbell-Stokes sunshine recorders (CS), and the automatic measurements based on pyranometers (Gl), pyrhiliometer (Pr) and the CSD3 sunshine sensors.
Simultaneous records of SD have been obtained between 2009 and 2012 at two locations (Pafos A/P and Larnaca A/P). The SD measurements are based on CS sunshine recorders and Kipp & Zonen CM6B pyranometers, as well as on Kipp & Zonnen CSD3 SD sensors obtained from nearby stations such as Mennogia and Pentakomo which are located at a distance of about 15 Km and 35 Km from Larnaca A/P, respectively. The selected stations have the same climatic conditions. The second period of simultaneous SD measurements represents the period 2012-2015 with records obtained from CS and Kipp & Zonen CHP1 pyrhiliometer which was installed on a solar tracker system at Athalassa.
The SD values obtained from manual and automatic sunshine recorders are in some cases different as a result of the different principles and technology adopted by these instruments (11, 12, 15, and 24). The sensitivity threshold of burning the card of the Campbell-Stokes recorder (CS) ranges from 70 to 280 W/m2 (12). The pyranometric method is based on the mean, minimum and maximum values of measured global irradiance over 10-min intervals. For this purpose, different algorithms were developed (16). CHP1 pyrheliometer is mounted on a solar tracker system and is a high precision instrument designed to measure direct normal irradiance from the solar disk within a solid angle of 50. It uses a thermopile as a detector to measure the irradiance in the range of 280-4000 nm (27). The threshold for the determination of SD is 120 W/m2, which is recommended by WMO (WMO, 2021). The CSD3 SD sensor measures SD through a high-quality glass tube and uses these photo-diodes with a spectral response range from 400 to 1100 nm. One photo-diode measures the total radiation, while the other one measures scattered radiation. The threshold for the determination of SD of CSD3 is 120 W/m2. As it is indicated in Table 1, comparison tests are applied between the four methods of measurements (CS, pyranometric (Gl), pyrheliometric (Pr) and CSD3) in order to determine whether the differences of the mean or median daily values are significant.
Furthermore, the measurements differ in their temporal resolution and precision. The manual measurements have daily resolution, while the automatic measurements have a temporal resolution of ten minutes with precision of one minute. Only concurrent daily sunshine data from manual and automatic instruments were used for analyses at each location. For the estimation of daily sunshine total, all hourly data must be available for the given day. The sunshine data were then aggregated into monthly totals and the percentage difference of sunshine hours between the two instruments was calculated by the following equation:
Percentage difference = (sum of Daily SD of Automatic Dev.) – (sum of Daily SD of CS)*100/(sum CS)
A negative percentage difference indicates that the automatic SD is lower than the manual CS recorder, while positive percentage difference indicates that the automatic sensor measures higher SD compared to CS recorder. It is expected that the automatic sensors would record higher sunshine duration than the CS instrument, due to the higher sensitivity and sampling frequency of the automatic instrument. On the other hand, SD from CS is obtained from suncards which are interpreted by observers. Therefore, certain level of subjectivity is inherent regarding these data, which can result in dissimilar SD estimates from different observers. Furthermore, at times of frequently passing clouds the electronic sensor may be able to assess correctly the short SD, while in those periods the CS continues to burn a trace in the suncard. Additionally, the daily SD total may be entered into the climate database incorrectly. On the other hand, the automatic sensors could be a source of error if there are issues with calibrations or shading the sensors.
The sky conditions are classified according to the clearness index. The daily clearness index (KT) is defined as the ratio of the daily global irradiation (Gd) to the respective extraterrestrial irradiation (G0d), both measured on horizontal surfaces:
K T = G d / G 0 d
Escobedo et al. (28) have been proposed four sky conditions which are based on the relation between hourly irradiances of global, direct and diffuse radiation and the clearness index. The method was also implemented successfully at Athalassa by Pashiardis et al. (29).
The KT ratio must be lower than 1. The four sky categories based on clearness index and relative sunshine duration (σ=Sd/S0d) are defined as follows:
Class I: Cloudy sky when KT ≤ 0.35 or σ ≤ 0.3
Class II: Partially cloudy with predominance of diffuse component: 0.35 < KT ≤ 0.55 or 0.3 < σ ≤ 0.6
Class III: Partially cloudy with predominance of direct component: 0.55 < KT ≤ 0.65 or 0.6 < σ ≤ 0.85
Class IV: Clear sky: KT > 0.65 or σ > 0.85.
The daily total global irradiation at the top of the atmosphere (G0d) is estimated by the following equation (30):
G 0 d = ( 24 3.6 / π ) G 0 n [ ( cos ϕ cos δ sin ω s + ( π ω s / 180 ) sin ϕ sin δ ) ] ( k J / m 2 ) a
where G0n is the irradiance falling on a plain at normal incidence at the top of the atmosphere and can be estimated as a function of the day number of the year (dn) from the following equation:
G 0 n = G s c * [ 1 + 0.033 * cos ( 360 * d n / 365 ) ]       ( W / m 2 )
where Gsc is the solar constant (1361 W/m2), and ωs is the sunset hour angle which is given by:
ω s = cos 1 ( tan ϕ * tan δ )
where φ is the latitude of the location and δ is the solar declination angle (deg).
The daily values of the radiation components are estimated from the hourly values. Furthermore, the astronomical day length (S0d) which is the computed time during which the center of the solar disk is above an altitude of zero degrees (without allowance for atmospheric refraction) is given by:
S 0 d = ( 1 / 7.5 ) * cos 1 ( tan ϕ * tan δ )       ( h )
Both SD and global radiation data were undergone to a quality control process. All the stations showed a high quality data.
Regarding the differences of daily sunshine duration records between the pairs of the four different methods of SD measurements we have adopted the classification scheme proposed by Urban and Zajác (10): (1) insignificant grade (C1), within the margin of error [-0.1 to 0.1 h]; (2) small grades which consist of a small negative grade level (-C2) [-0.5 to -0.1 h] and a small positive grade level (C2) (0.1 to 0.5 h]; (3) medium grades in the negative region (-C3) within the margin of error [-1.5 to -0.5 h) and a medium positive region (C3) within the margin of error (0.5 to 1.5 h]; and (4) high grades in the negative region (-C4) with a margin of error <-1.5 h and a high positive region (C4) with a margin of error > 1.5 h.
The comparisons covered the daily and monthly sums and their statistical distributions. A linear fit was applied between the daily and monthly sunshine durations of the automatic and manual instruments. The correlations between the instruments are examined and the results are presented in the next section.

3. Results

3.1. Monthly and annual variation of Daily Sunshine Duration

The monthly variability of the daily sunshine duration is presented through the boxplots graphs (Figure 2). The smooth lines represent the mean values of SD for each month of the year, while the circles represent the median values and the asterisks the outliers. The highest values are recorded in the summer months reaching the value of about 13.5 h/d, while the lowest mean values range between 5.5 and 6.5 h/d occurring in December or January. The median values are generally slightly higher than the mean values. The outliers are more common during the spring and summer months.
Table 2 presents the annual statistics of the daily SD values for the five locations for different periods of measurements and different types of sunshine recorders. The annual mean daily values of SD vary between 8.5 and 9.6 h/d, while the daily median values are slightly higher ranging from 9.0 to 10.5 h/d. The dispersion of the values is almost similar in all locations, as it is expressed through the standard deviation. The actual maximum daily values reached almost 14.0 h/d, while all the sites show negative skewness. The average annual actual SD sum for all the locations is 3300 h, ranging from 3100 to 3500 h irrespective of the measuring device (Table 2).
The frequency distributions of the daily sunshine duration of the selected stations are shown in Figure 3, while the cumulative density function curves (CDF) are presented in Figure 4. Generally, the histograms have a negative skewness, while the CDF curves show a similar pattern. For example, in about 60% of the daily values the daily sunshine duration is lower than 10 h/d for the selected locations. The CDF curves are very close for each pair of measurements, indicating that the recorders show similar values.

3.2. Time series plots of the differences of the daily SD totals between the different devices

The time series plots of the differences of the daily SD totals among the pairs for the synoptic and automatic weather stations (AWS) for the selected time periods are presented in Figure 5. As it is indicated from the graphs, the daily differences for the sunshine recorders installed at the same location are mostly within the range of -2.5 to +2.5 h. However, in cases where the comparisons are between the synoptic and the automatic weather stations these differences are slightly higher. At Larnaca in the period 2009-2012, positive differences between the pyranometric method (Gl) and CS are observed during the summer months, while negative differences are observed during the winter months. Negative differences between Gl and CS are also observed almost throughout the year for Pafos in the period 2009-2012. The maximum positive difference for the period 2009-2012, for the pair Gl and CS is 2.5 h for Larnaca and 3 h for Pafos, whereas the lowest differences reached the values of -3.4 and -4.3 h, respectively. Comparing Pr with CS for the period 2012-2015 at Athalassa, the maximum difference reached the value of 1.5 h, while the lowest difference reached -4.4 h. The comparisons of CS recording devices and CSD3 sensors showed slightly higher ranges. For example, for the comparison of CS at Larnaca and CSD3 at Mennogia, the maximum difference is 4.5 h, and the lowest difference is -4.7 h. This is expected since CSD3 measures the SD at AWS which are located in a short distance from the synoptic station. The average annual daily differences between the different pairs range between 0.3 and 0.5 h, which are approximately 18 and 30 min.

3.3. Monthly variability of the differences of daily SD between different pairs

The variability of the daily differences among the pairs of SD for each month of the year is demonstrated for each location for the selected time periods through the graph of boxplots (Figure 6). The smooth line represents the monthly mean values of the daily SD differences in h, while the circles represent the median values and the asterisks represent the outliers. As it is indicated from the graphs the median values are very close to the means. All the months show outliers. The variability of the winter months for Larnaca and Pafos, is higher than the summer months as it is indicated from the length of the boxes, since during the summer months the atmosphere is mostly clear in all locations. In contrast, the variability between Pr and CS at Athalassa is higher in the summer months.

3.4. Comparisons of the average monthly SD differences recorded by manual and automatic devices

The percentages of the differences of the different pairs of the manual (CS) and electronic devices (Gl, Pr and CSD3) estimated by Eq. (1) on a monthly basis are shown in Table 3. The average annual sunshine duration sum of CS recorder at Larnaca reached a value of 3372.4 h and it was higher by 6.4 h than the one measured using the pyranometric method. In the case of Pafos for the same pair of recorders, the annual average sum reached a value of 3415.0 h and it was higher by 175.2 h than the one measured using the pyranometric method. In the case of the comparisons of the pairs of CS and CSD3, the annual differences for Pentakomo are 112.7 h, while for Mennogia are -111.5 h. The differences in absolute values are almost similar. In the case of Athalassa, the differences between the pair of CS and Pr are -150.7 h, i.e. the annual sum of CS sunshine recorder is higher than the CHP1 pyrhiliometer. Therefore, with the exception of the CSD3 sensor at Pentakomo, in the rest of cases, the CS recorder measures higher annual values of SD than the automatic sensors.
Figure 7 shows the percentage difference between automatic devices and CS recorders for each month of the year for the selected study locations. It has to be noted that a positive percentage difference indicates that the automatic sensor measures higher sunshine duration than the CS recorder. Overall, with the exception of the pair CSD3_Pent and CS at Larnaca, the percentage difference is typically negative. The positive difference of the said pair is recorded in the period from December to April and August to October. The highest positive difference is recorded in February and March reaching the value of approximately 15%. A secondary positive difference is observed in autumn (September to October). The positive differences could be attributed to the fact that the compared pair is located at a distance of about 35 Km, where the weather conditions with respect to the cloud cover would be probably differ. The lowest negative was observed in November (-6.8%), while during the rest of the months it was around 1 %. Positive differences were also observed between the pair Gl and CS for Larnaca during the summer ranging from 2% to 4.5%. The lowest negative difference was recorded in December reaching the value of -12.5%.
Especially, high differences between the selected pairs occurred in the winter period (November to February). The lowest monthly mean daily difference for Gl and CS at Larnaca is -0.4 h/d which is observed in November, while the highest positive mean daily difference is 0.5 h/d which was recorded in September (Table 3). At Pafos, for the same pair of instruments, the mean daily difference range between 0.0 and -0.8 h/d with the lowest occurring in December. Regarding the differences between CSD3 at Mennogia and CS at Larnaca, the monthly mean daily values are negative throughout the year with the lowest average difference of -0.6 h/d which occurred in May and November. Finally, the respective monthly mean daily differences between the pyrheliometric method (Pr) and CS are again negative, with the lowest average of -0.7 h/d occurring in February at Athalassa in the period 2012-2015. The main reason for the larger values of manual sunshine duration is the ‘overburning effect’ (18, 20). The burnt area on the card of the CS sunshine recorder does not cease immediately at the moment when a cloud disturbs the sunshine. This ‘overburning’ leads to an overestimation of sunny conditions, while the automatic instruments change faster in the direct solar radiation than the CS device. Furthermore, the types of clouds play an important role. Matuszka (9) found that under an overcast sky, higher sunshine duration were observed if the cloud type was Cirrus and Cirrostratus (i.e., relatively thin and high cloud) compared to Stratocumulus and Stratus (i.e., relatively thick and low cloud). The effect of cloud amount and type has to be explored under local conditions.

3.5. Frequencies of the daily differences between the four selected methods of SD

Figure 8 shows the histograms of the daily differences among the different pairs of sunshine recorders. Generally, in all cases, the histograms resemble a normal distribution, as it is indicated by the red line on the graph. Similar results were found by Kerr and Tabony (24) and Legg (15).
Table 4 shows the percentage of annual differences of daily SD among different pairs of sunshine recorders at the three synoptic stations during different time periods, based on the classification scheme proposed by Urban and Zając (10). The daily differences are determined by SD of automatic devices minus manual SD (CS). As it is indicated from the Table 4, approximately between 9% and 23% of all the measurements show exactly the same values (Class C1). With the exception of the pair CSD3_Pent and CS, the percentage daily differences between the automatic sensors and CS recorders fluctuate between 48% and 59% within the range of classes –C2 and C2, i.e, within the range of -0.5 to 0.5 h. Generally, the frequencies of negative differences between the automatic and manual instruments are higher than the frequencies of positive differences for the pairs at Pafos and Athalassa. The highest negative percentage was 68% and it was occurred at Pafos. In the case of Larnaca, the negative percentages of daily differences between the automatic instruments and the CS recorder range between 38% and 50%.
Table 5 shows the monthly frequencies of daily differences in sunshine duration between the selected pairs of sunshine recorders in different time periods. Almost all the year around, over 50% of the differences between Gl and CS are within the classes –C2 and C2 at Larnaca. However, for the same pair at Pafos and the same range of classes, over 50% of differences are recorded from September to December. Regarding the pair of CSD3_Men and CS at Larnaca (2009-2012) and the pair Pr and CS at Athalassa (2012-2015), over 50% of the differences were within the range of –C2 to C2, almost all the year around.

3.6. Relationships under different sky conditions

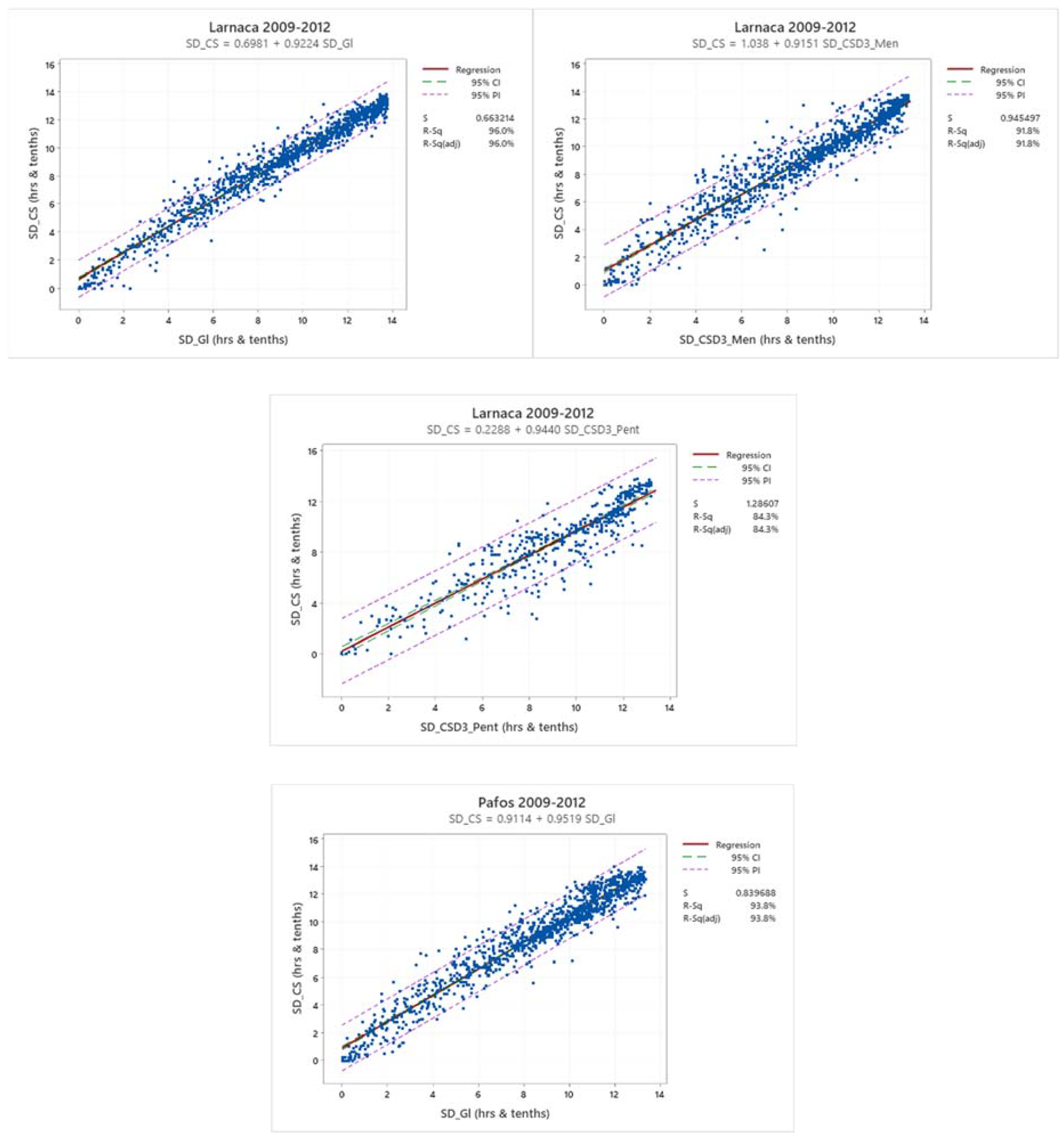
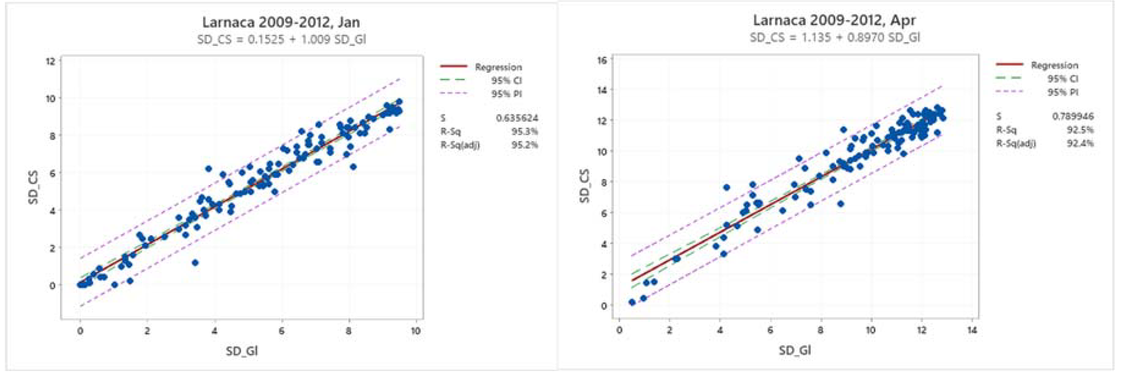
Figure 9 shows the scatterplots of different pairs of sunshine recorders at the three synoptic stations for the different periods of measurements. The correlation between individual daily SD records is strong, as it is indicated by the coefficient of determination (R2) which ranges between 0.84 and 0.96. The lowest correlation was recorded between the daily CS at Larnaca and CSD3 at Pentakomo. Scatterplots with the regression lines for four months of the year representing the four seasons of the year are shown in Figure 10. The parameters of the linear equations on a monthly and annual basis for all the pairs are shown in Table 6. The lower R2 was obtained for the cases of comparisons of the sunshine recorders with the CSD3 sensors which are installed in the AWS close to the synoptic ones. A higher dispersion is observed in the middle of the graphs rather towards the tops and bottoms of the regression lines. This can be attributed to the fact that on mostly cloudy (low daily SD) or mostly clear sunny (high daily SD) days, the instruments tend to measure similar sunshine durations. In contrast, at intermediate sunshine conditions (middling daily sunshine durations), SD measured by each instrument tends to be more dissimilar, due to the different sensitivity of each instrument. For example, the CS device will require a certain time of sustained sunshine for a trace to burn through the sun card. In contrast, the automatic instruments are more sensitive in detecting cloud changes. As it is expected, the length of the prediction intervals for the cases of comparisons between CS sunshine recorders and CSD3 sensors is higher, due to the fact that the cloud appearance in the neighbor stations will be probably slightly different than those at the synoptic stations (Table 6).
As it was indicated earlier, all cases of sunshine duration measurements over the analyzed period were classified into four categories, according to the value of clearness index (KT), namely cloudy, partly cloudy with predominance of diffuse radiation (D), partly cloudy with predominance of direct radiation (B) and clear skies. The second class can be described as ‘mostly cloudy’ and the third class as ‘mostly clear’ class. Figure 11 shows the scatterplots and the regression lines of the relationships between the manual (CS) and automatic (Gl) SD measurements recorded at Larnaca during the period 2009-2012 for the four sky conditions. The regression parameters of the relations between different pairs for the three synoptic stations are presented in Table 7. The closest relations are obtained in ‘clear sky’ and ‘all sky’ conditions, as it is indicated by the high coefficient of determinations. R2 reached the values of 0.91 and 0.96 under ‘all sky’ conditions, and between 0.80 and 0.91 under ‘clear’ sky conditions. An increase in the amount of clouds causes an increase in the SD differences recorded by the relevant devices. The coefficients of determination for the regression equations under ‘mostly cloudy’ and ‘mostly clear’ conditions range between 0.53 and 0.86.
The comparisons of the actual SD measured using CS and automatic sensors under various sky conditions were assessed through the average values of each instrument and the root-mean-square deviation (RMSD) which is given by the following equation:
R M S D = i = 1 n ( A S i C S i ) 2 n
where ASi is the ith sunshine duration recorded with Automatic sensor, CSi is the ith sunshine duration recorded by CS recorder and n is the number of cases.
The average of daily sums of actual SD under ‘partly cloudy’ sky conditions, are higher for CS than the automatic devices as shown in Table 8. For example, in the case of Larnaca (2009-2012) the average of CS under ‘partly cloudy’ conditions with predominance of diffuse radiation is 4.81 h, while Gl is 4.33 h. Similarly, in the case of under ‘partly cloudy’ conditions with predominance of direct radiation the average of CS is 7.70 h, while Gl is 7.38 h. However, under ‘clear’ or ‘all-sky’ conditions the automatic devices have slightly higher values. The mean difference varied from 0.1 to 0.3 h under ‘cloudy’ and ‘clear’ sky conditions. The highest RMSD is obtained under ‘partly cloudy’ conditions in most of the cases. Higher R2 are obtained under ‘clear’ and ‘all-sky’ conditions.
Comparing the pair of the pyranometric method (Gl) and manual (CS) at Larnaca during the period 2009-2012, it was found that the largest frequencies of negative differences were obtained under ‘mostly cloudy’ sky conditions which were approximately about 60% (Table 9). However, under ‘cloudy’ and ‘clear’ sky conditions the frequencies of positive differences reached the value of 68% and 74%, respectively. In the case of Pafos (2009-2012), for the same pair (Gl-CS), the negative differences reached the value of 78% under ‘partly cloudy’ sky conditions, while under ‘cloudy’ and ‘clear’ sky conditions they are approximately 31% and 45%, respectively.
Comparing the pair of manual (CS) at Larnaca and the CSD3 sensor at Mennogia, during the period 2009-2012, it was found that the frequencies of negative differences were about 60% under ‘partly cloudy’ sky conditions, while under ‘clear’ and ‘cloudy’ sky conditions, the positive differences are 66 and 54%, respectively. In the case of the comparison of CS and the pyrheliometric method (Pr) at Athalassa during the period 2012-2015, it was found that the frequencies of negative differences are approximately about 70% under ‘partly cloudy’ sky conditions. The percentages of negative differences under ‘cloudy’ and ‘clear’ sky conditions are about 47% and 56%, respectively.
As can be seen, the largest frequencies of negative differences between the electronic and manual devices were recorded under ‘partly cloudy’ sky conditions, and it can be attributed to the fact of the influence of the clouds which cover the solar disk in quick succession. In this occasion, the CS recorder will continue the burning of a trace on the card and overestimates the sunshine duration. This occurs mostly when the sun elevation is high (24).

3.7. Statistical tests of comparisons of SD Recorders

To compare the means of two samples, the two sample t tests can be used. It determines whether there is sufficient (statistical) evidence that there is a difference in the means. However, in order to apply the Two Sample T tests, the assumption of normality must be met. As it is indicated from Figure 3, the SD data are not normally distributed. Similar graphs were obtained for the other locations and time periods. Therefore, the Mann-Whitney nonparametric alternative to the Two Sample T test was applied. In this case, the medians are checked. Significant differences were only detected in the case of the pair of CS and Pr at Athalassa (2012-2015) using both tests. In the rest of the cases the differences are not statistically significant at the 5% significant level.

3.8. Angström-Prescott equation

The Angström-Prescott (A-P) formulation is the most widely used equation between relative SD (Sd/S0d) and solar radiation. The A-P equation is given by:
G d = G 0 d * ( a + b * ( S d / S 0 d ) )
Where Gd and G0d are the daily global and extraterrestrial horizontal solar radiation measured in MJ/m2. Sd and S0d are, respectively, the actual SD and the astronomical daylength in h. α and b are empirical regression coefficients. An example of the linear regression of the daily clearness index (KT) and the relative sunshine duration (σCS) estimated from the CS sunshine recorder for Larnaca during the period 2009-2012, is given in Figure 12. As shown in the graph, most of the data are within the prediction intervals. The coefficient of determination (R2) is 0.901.
The major drawback of this method is that the empirical coefficients are site specific and thus dependent on local climate conditions. As it is indicated from Table 10, α ranges from 0.227 to 0.298, while b varies from 0.468 to 0.533. The dispersion of the empirical values is small, since all the stations have almost the same climatic conditions. The coefficients of determination are very high, ranging from 0.728 to 0.907. The lowest values are obtained in the cases when the relative sunshine was measured from automatic stations equipped with CSD3 recorders. Otherwise, R2 is around 0.90. It has to be noted that the empirical coefficients for the same location but in different time periods are almost similar. We should emphasize that the CS measurements compared with those of an electronic sensor affect the values of the coefficients. Furthermore, the empirical regression coefficients might vary considerably throughout the year due to seasonal meteorological changes.
Figure 13 presents the quadratic relationship between the daily direct horizontal irradiation (Bd, MJ/m2) and the daily SD obtained by CS and Pr at Athalassa during the period 2012-2015. The coefficient of determination (R2) in both graphs is very high (0.924 and 0.933, respectively).

3.9. Reconstruction of time series for the whole period of SD measurements

The linear relationships obtained between CS manual measurements and automatic instrument (Gl) at Larnaca and Pafos during the period of parallel measurements (2009-2012) are shown in Figure 9. The regression equations can be used to estimate daily CS sunshine duration and extend therefore the time series from the starting year until recently. In this way we could examine the trend of sunshine recorded at these sites. The trend lines of the selected sites are presented in Figure 14. In the case of Larnaca the slope is positive and it is statistically significant different from zero at the 5% significant level. In contrast, the slopes at Pafos and Athalassa are negative but they are not statistically significant from zero at the 5% significant level.

4. Conclusions

Comparisons between manual and automatic instruments for SD measurements were applied to the three synoptic stations (Larnaca A/P, Pafos A/P and Athalassa) where different sunshine devices are installed. The manual measurements of SD are carried out with the Campbell-Stokes sunshine recorders (CS), while the automatic measurements at the synoptic stations are based on the Kipp & Zonen pyranometers (CM6B) and CHP1 pyrhiliometer. Additionally, parallel measurements of CS at Larnaca and Kipp & Zonen CSD3 sunshine recorders obtained from two automatic weather stations (AWS) located near to the synoptic station of Larnaca A/P, are also carried out. Since the distance between the synoptic and AWS is lower than 35 Km, it is possible to assess the CSD3 sensors against the manual devices. Essentially, the comparisons of daily SD are applied between four different types of instruments, namely the manual Campbell-Stokes sunshine recorders (CS), and the automatic measurements based on pyranometers (Gl), pyrhiliometer (Pr) and the CSD3 sunshine sensors.
All sites show negative skewness of the daily SD values and their monthly average daily sunshine duration range between 5 h/d (January) to 13 h/d (June or July). The average annual actual SD sum for all the sites is 3300 h, ranging from 3100 to 3500 h irrespective of the measuring device.
The differences have been determined between the daily values measured with automatic sensors and the daily value of Campbell-Stokes sunshine recorder. Positive differences indicate that the automatic sensor measures higher sunshine duration than the CS recorder, while negative differences indicate that CS is higher that the automatic instrument. The daily differences of the pairs of the sunshine recorders installed at the same location are mostly within the range of -1.0 to +1.0 h. However, in cases where the comparisons take place between the synoptic and the automatic weather stations these differences are slightly higher. At Larnaca in the period 2009-2012, positive differences between the pyranometric method (Gl) and CS are observed during the summer months, while negative differences are observed during the winter months. Negative differences between Gl and CS are also observed almost throughout the year at Pafos during the period 2009-2012. The maximum positive difference for the period 2009-2012, for the pair Gl and CS is 2.5 h for Larnaca and 3 h for Pafos, whereas the lowest differences reached the values of -3.4 and -4.3 h, respectively. Comparing Pr with CS for the period 2012-2015 at Athalassa, the differences are mostly negative, and the maximum difference reached the value of 1.5 h, while the lowest difference was -4.4 h. The comparisons of CS recording devices and CSD3 sensors showed slightly higher ranges. For example, for the comparison of CS at Larnaca and CSD3 at Mennogia, the maximum difference is 4.5 h, and the lowest difference is -4.7 h. This is expected, since CSD3 measures the SD at AWS which are located in a short distance from the synoptic station, whereas the sky conditions are probably slightly different. Generally, the annual average daily differences between the different pairs range between 0.3 and 0.5 h, which are approximately 18 and 30 min.
The main reason for larger values of manual sunshine duration is the ‘overburning effect’. The burnt area on the card of the CS sunshine recorder does not cease immediately at the moment when a cloud disturbs the sunshine. This ‘overburning’ leads to an overestimation of sunny conditions, while the automatic instruments change faster in the direct solar radiation than the CS device. Furthermore, the types of clouds play an important role. Matuszka (9) found that under an overcast sky, higher sunshine duration were observed if the cloud type was Cirrus and Cirrostratus (i.e., relatively thin and high cloud) compared to Stratocumulus and Stratus (i.e., relatively thick and low cloud). Generally, in all cases, the histograms of the differences resemble a normal distribution. Similar results were found by Kerr and Tabony (24) and Legg (15).
The analysis of the differences showed that approximately the pairs have the same values in about 9% to 23% of all the measurements (Class C1). With the exception of the pair CSD3_Pent and CS, the percentage daily differences between the automatic sensors and CS recorders fluctuate between 48% and 59% within the range of -0.5 to 0.5 h i.e., between the –C2 and C2 classes. Generally, the frequencies of negative differences between the automatic and manual instruments are higher than the frequencies of positive differences for the pairs at Pafos and Athalassa. The highest negative percentage was 68% and it was occurred at Pafos. In the case of Larnaca, the negative percentages of daily differences between the automatic instruments and the CS recorder range between 38% and 50%.
The correlation between individual daily SD records is strong, as it is indicated by the coefficient of determination (R2) which ranges between 0.84 and 0.96. The lowest correlation was recorded between the daily CS at Larnaca and CSD3 at Pentakomo. The lower R2 was obtained for the cases of comparisons of the sunshine recorders with the CSD3 sensors which are installed in the AWS close to the synoptic ones. A higher dispersion is observed in the middle of the graphs rather towards the tops and bottoms of the regression lines. This can be attributed to the fact that on ‘mostly cloudy’ (low daily sunshine duration) or ‘mostly clear’ sunny (high daily SD) days, the instruments tend to measure similar sunshine durations. In contrast, at intermediate cloud conditions (middling daily sunshine durations), SD measured by each instrument tends to be more dissimilar, due to the different sensitivity of each instrument. For example, the CS instrument will require a certain time of sustained sunshine for a trace to burn through the sun card. In contrast, the automatic instruments are more sensitive in detecting cloud changes. As it is expected, the length of the prediction intervals for the cases of comparisons between CS sunshine recorders and CSD3 sensors is higher, due to the fact that the cloud appearance in the neighbor stations will be probably slightly different than those at the synoptic stations. The coefficients of determination for the regression equations under ‘mostly cloudy’ and ‘mostly clear’ conditions range between 0.53 and 0.86.
The largest frequencies of negative differences between the electronic and manual devices were recorded under ‘partly cloudy’ sky conditions, and it can be attributed to the fact of the influence of the clouds which cover the solar disk in quick succession. In this occasion, the CS recorder will continue the burning of a trace on the card and overestimates the sunshine duration. This occurs mostly when the sun elevation is high (24).
Comparing statistically the different pairs using the Mann-Whitney nonparametric test which is the alternative parametric test to the Two Sample T test, it was found that the medians are not statistically different. However, significant differences were only detected in the case of the pair of CS and Pr at Athalassa (2012-2015) using both tests. In the rest of the cases the differences are not statistically significant at the 5% significant level.
The empirical coefficients of the Angström-Prescott (A-P) formulation for different pairs are very close. The parameter α ranges from 0.227 to 0.298, while b varies from 0.468 to 0.533. The dispersion of the empirical values is small, since all the stations have almost the same climatic conditions. The coefficients of determination are very high, ranging from 0.728 to 0.907. The lowest values are obtained in the cases when the relative sunshine was measured from automatic stations equipped with CSD3 recorders. Otherwise, R2 is around 0.90. It has to be noted that the empirical coefficients for the same location but in different time periods are almost similar. The empirical regression coefficients might vary considerably throughout the year due to seasonal meteorological changes. The daily direct horizontal irradiation is closely related to the daily sunshine duration through quadratic equations.
The linear relationships between CS and the automatic sensors can be used to extend the time series of CS measurements. The slope of the trend line of the annual totals of SD for the whole period of measurements, in the case of Larnaca, it is positive and it is statistically significant different from zero at the 5% significant level. In contrast, the slopes at Pafos and Athalassa are negative but they are not statistically significant from zero at the 5% significant level. The study could be also extended comparing the automatic sensors between themselves. Furthermore, satellite data can be compared with grond-based data.

Acknowledgments

The authors would like to thank the Meteorological Department of Cyprus for providing the meteorological data.

Nomenclature

B Direct (Beam) horizontal irradiance (BHI, W/m2)
Bd Daily Direct (Beam) horizontal irradiation (MJ/m2)
CDF Cumulative Density Function
CS Campbell-Stokes sunshine recorder
CSD3 Sunshine obtained from CSD3 automatic sensor (h/d)
dn Day number of the year (1..365)
D Diffuse horizontal irradiance (DHI, W/m2)
G Global solar horizontal irradiance (GHI, W/m2)
Gd Daily global solar irradiation (MJ/m2)
G0 Extraterrestrial horizontal irradiance (W/m2)
G 0 d Daily extraterrestrial irradiation (ETR) (MJ/m2)
G0n Extraterrestrial normal irradiance (W/m2)
Gsc Solar constant (1361 Wm2)
Gl Sunshine obtained from CM6B pyranometer (h/d)
IQR Interquartile range
KT Daily clearness index (Gd/G0d)
Max Maximum
Min Minimum
n Number of observations
Pr Sunshine obtained from CHP1 pyrheliometer (h/d)
Q1 First Quartile
Q3 Third Quartile
RMSD Root Mean Square Deviation (h)
R2 Coefficient of determination
S Standard deviation of residuals
Sd Daily sunshine duration (hours)
S0d Astronomical day length (hours)
SD Sunshine duration (S, hours)
StDev Standard deviation (Std)
SZA Solar Zenith Angle (deg)
WMO World Meteorological Organization

Greek:

αs Solar altitude angle (degrees)
δ Solar declination angle (degrees)
Solar zenith angle (SZA) (degrees)
σ Relative sunshine duration (Sd/S0d)
φ Latitude of the station in degrees
ω Hour angle (degrees)
ωs Sunset hour angle (degrees)

References

  1. Matzarakis, A.P.; Katsoulis, V.D. Sunshine duration hours over the Greek region. Theor. Appl. Climatol. 2006, 83, 107–120. [Google Scholar] [CrossRef]
  2. Kambezidis, H.D. The Solar Radiation climate of Greece. Climate 2021, 9, 183. [Google Scholar] [CrossRef]
  3. Kambezidis, H.D. The Sky-Status Climatology of Greece: Emphasis on Sunshine Duration and atmospheric scattering. Appl. Sci. 2022, 12, 7969. [Google Scholar] [CrossRef]
  4. Pashiardis, S.; Pelengaris, A.; Kalogirou, S.A. Gographical Distribution of Global Radiation and Sunshine Duration over the Island of Cyprus. Appl. Sci. 2023, 13, 5422. [Google Scholar] [CrossRef]
  5. World Meteorological Organization (WMO). Guide to instruments and Methods of Observation. Volume I: Measurements of Meteorological Variables; WMO-No 8; WMO: Geneva, Switzerland, 2021; pp. 308–323. [Google Scholar]
  6. Wang, Y.; Zhang, G.; Sun, G.; Xu, D.; Yang, S.; Wu, L. A review on sunshine recorders: Evolution of operation principle and construction. Measurement 2021, 186, 1101138. [Google Scholar] [CrossRef]
  7. Sanchez-Lorenzo, A.; Calbȯ, J.; Wild, M.; Azorin-Molina, C.; Sanchez-Romero, A. New insights into the history of the the Campbell-Stokes sunshine recorder. Weather 2013, 68, 327–331. [Google Scholar] [CrossRef]
  8. Painter, H.E. The performance of a Campbell-Stokes sunshine recorder compared with simultaneous record of normal incidence irradiance. Meteorol. Mag. 1981, 110, 102–109. [Google Scholar]
  9. Matuszko, D.; Bartoszek, K.; Soroka, J.; Węglarezyk, S. Sunshine duration in Poland from ground- and satellite- based data. Int. J. Climatol. 2019, 1–13. [Google Scholar] [CrossRef]
  10. Urban, G.; Zając, I. Comparison of sunshine duration measurements from Campbell-Stokes sunshine recorder and CSD1 sensor. Theor. Appl. Climatol. 2017, 129, 77–87. [Google Scholar] [CrossRef]
  11. Baumgartner D., J.; Pötzi, W.; Freislich, H.; Strutzmann, H.; Veronig, A.M.; Foelsche, U.; Rieder, H.E. A comparison of long-term parallel measurements of sunshine duration obtained with Campbell-Stokes sunshine recorder and two automated sunshine sensors. Theor. Appl. Climatol. 2018, 133, 263–275. [Google Scholar] [CrossRef]
  12. Matuszko, D. A comparison of sunshine duration records from the Campbell-Stokes sunshine recorder and CSD3 sunshine duration sensor. Theor. Appl. Climatol. 2015, 119, 401–406. [Google Scholar] [CrossRef]
  13. Srinivasan, R.; Macara, G.; Liley, B. Sunshine duration instrument comparisons in New Zealand. Weather and Climate 2019, 39, 28–40. [Google Scholar] [CrossRef]
  14. Almorox J; Arnaldo J. A.; Bailek N.; Martí P. Adjustment of the Angström-Prescott equation from Campbell-Stokes and Kipp-Zonen sunshine measures at different timescales in Spain. Renewable Energy 2020, 154, 332–350.
  15. Legg, T. Comparison of daily sunshine duration recorded by Campbell-Stokes and Kipp and Zonen sensors. Weather 2014, 69, 264–267. [Google Scholar] [CrossRef]
  16. Hinssen Yvonne, B.L.; Knap Wouter, H. Comparison of Pyranometric and Pyrheliometric Methods for the Determination of Sunshine Duration. Journal of Atmospheric and Oceanic Technology 2007, 24, 835–846. [Google Scholar] [CrossRef]
  17. Zhou, H.; Quan, W.; Wang, Z.; Li, X.; Li, Y.; Zhan, H. Comparison of sunshine duration measurements between a Jordan sunshine recorder and three automatic sensors at Shangdianzi GAW station. J. Meteorol. Res. 2021, 35, 716–728. [Google Scholar] [CrossRef]
  18. Hannak, L.; Friedrich, K.; Imbery, F.; Kaspar, F. Comparison of manual and automatic daily sunshine duration measurements at German climate reference stations. Adv. Sci. Res. 2019, 16, 175–183. [Google Scholar] [CrossRef]
  19. Kejna, M.; Uscka-Kowalkowska, J. Comparison of the results of sunshine duration recording by Campbell-Stokes heliograph and a sunshine duration DSU12 at Koniczynka near Toruń in the years 2006-2010 (in polish). Review of Geophysics 2012, z.1, 11–20. [Google Scholar]
  20. Stanhill, G. Through a glass brightly: Some new light on the Campbell-Stokes sunshine recorder. Weather, 2003, 58, 3–11. [Google Scholar] [CrossRef]
  21. Sanchez-Romero, A.; Sanchez-Lorenzo, A.; Calbȯ, J.; Gonzalez, J.A.; Azorin-Molina, C. The signal of aerosol-induced chnges in sunshine duration records: A review of the evidence. Journal of Geophysical Research: Atmospheres 2014, 119, 4657–4673. [Google Scholar] [CrossRef]
  22. Owczarek, M.; Malinowska, M. Manual and Automatic Measurements of Sunshine Duration in Cassubian Lakeland (Northern Poland). Atmosphere 2023, 14, 244. [Google Scholar] [CrossRef]
  23. Matuszko, D. Influence of cloudiness on sunshine duration. Int. J. Climatol. 2012, 32, 1527–1536. [Google Scholar] [CrossRef]
  24. Kerr, A.; Tabony, R. Comparison of sunshine recorded by Campbell-Stokes and automatic sensors. Weather 2004, 59, 90–99. [Google Scholar] [CrossRef]
  25. Sanchez-Romero, A.; Gonzalez, J.A.; Calbȯ, J.; Sánchez-Lorenzo, A. Using digital image processing to characterize the Campbell-Stokes sunshine recorder and to derive high-temporal resolution direct solar irradiance. Atmos. Meas. Tech. 2015, 8, 183–194. [Google Scholar] [CrossRef]
  26. Nyamsi, W.W.; Lipponen, A.; Sanchez-Lorenzo, A.; Wild, M.; Arola, A. A hybrid method for reconstructing the historical evolution of aerosol optical depth from sunshine duration measurements. Atmos. Meas. Tech. 2020, 13, 3061–3079. [Google Scholar] [CrossRef]
  27. Kipp & Zonen. The Kipp & Zonen products. Kippzonen.com/Products.
  28. Escobedo, J.F.; Gomes, E.N.; Oliveira, A.R.; Soares, J. Modelling hourly and daily fractions of UV, PAR and NIR to global solar radiation under various sky conditions at Botucatu, Brazil. Appl. Energy 2009, 86, 299–309. [Google Scholar] [CrossRef]
  29. Pashiardis, S.; Kalogirou, S.A.; Pelengaris, A. Shortwave Radiation on Horizontal and Incline Surfaces-One Year of Solar Radiation Measurements at Athalassa, an Inland Location in Cyprus. Appl. Sci. 2022, 12, 11035. [Google Scholar] [CrossRef]
  30. Wald, I. Funtamentals of Solar Radiation; CRC Press: Boca Raton, FL, USA, 2020. [Google Scholar]
Figure 1. Map of Cyprus showing the synoptic stations (Larnaca A/P, Pafos A/P and Athalassa) with parallel manual and automatic measurements of SD obtained either locally or from other neighbor AWS (Mennogia, Pentakomo) equipped with CSD3 sensors.
Figure 1. Map of Cyprus showing the synoptic stations (Larnaca A/P, Pafos A/P and Athalassa) with parallel manual and automatic measurements of SD obtained either locally or from other neighbor AWS (Mennogia, Pentakomo) equipped with CSD3 sensors.
Preprints 86421 g001
Figure 2. Monthly boxplots of daily SD for the measuring locations in different tine periods.
Figure 2. Monthly boxplots of daily SD for the measuring locations in different tine periods.
Preprints 86421 g002aPreprints 86421 g002b
Figure 3. Histograms of daily sunshine duration of the three synoptic and two AWS stations.
Figure 3. Histograms of daily sunshine duration of the three synoptic and two AWS stations.
Preprints 86421 g003aPreprints 86421 g003b
Figure 4. Empirical Cumulative Density Function (CDF) curves for the daily SD data of the selected stations.
Figure 4. Empirical Cumulative Density Function (CDF) curves for the daily SD data of the selected stations.
Preprints 86421 g004
Figure 5. Time series plots of the differences in daily sunshine duration between different sunshine recorders at the synoptic stations of Pafos A/P and Larnaca A/P for the period 2009-2012 and for Athalassa for the period 2012-2015. CSD3 measurements were obtained from the automatic weather stations (AWS) of Mennogia and Pentakomo.
Figure 5. Time series plots of the differences in daily sunshine duration between different sunshine recorders at the synoptic stations of Pafos A/P and Larnaca A/P for the period 2009-2012 and for Athalassa for the period 2012-2015. CSD3 measurements were obtained from the automatic weather stations (AWS) of Mennogia and Pentakomo.
Preprints 86421 g005aPreprints 86421 g005b
Figure 6. Monthly boxplots of daily differences among the pairs of sunshine duration measurements for the locations and periods shown in the graphs.
Figure 6. Monthly boxplots of daily differences among the pairs of sunshine duration measurements for the locations and periods shown in the graphs.
Preprints 86421 g006
Figure 7. Percentage difference in daily sunshine duration measured by automatic devices (Gl, CSD3 and Pr) and CS recorders for each of the three study locations. Positive values indicate that the automatic devices measure higher SD than CS, whereas negative values indicate that the automatic devices measure lower values than CS.
Figure 7. Percentage difference in daily sunshine duration measured by automatic devices (Gl, CSD3 and Pr) and CS recorders for each of the three study locations. Positive values indicate that the automatic devices measure higher SD than CS, whereas negative values indicate that the automatic devices measure lower values than CS.
Preprints 86421 g007
Figure 8. Histograms of the daily differences among different pairs of sunshine recorders. The red line represents the normal distribution.
Figure 8. Histograms of the daily differences among different pairs of sunshine recorders. The red line represents the normal distribution.
Preprints 86421 g008
Figure 9. Scatterplots of different pairs of sunshine recorders at the three synoptic stations for the whole period of measurements.
Figure 9. Scatterplots of different pairs of sunshine recorders at the three synoptic stations for the whole period of measurements.
Preprints 86421 g009aPreprints 86421 g009b
Figure 10. Scatterplots of daily SD for the pair of CS and Gl for Larnaca for the period 2009-2012 for four months representing the four seasons of the year.
Figure 10. Scatterplots of daily SD for the pair of CS and Gl for Larnaca for the period 2009-2012 for four months representing the four seasons of the year.
Preprints 86421 g010aPreprints 86421 g010b
Figure 11. Scatterplots of daily sunshine duration recorded by Campbell-Stokes recorder (CS) and SD obtained from global radiation measurements (Gl) under different sky conditions for Larnaca during the period 2009-2012.
Figure 11. Scatterplots of daily sunshine duration recorded by Campbell-Stokes recorder (CS) and SD obtained from global radiation measurements (Gl) under different sky conditions for Larnaca during the period 2009-2012.
Preprints 86421 g011
Figure 12. Linear regression between the daily clearness index (KT) and daily relative sunshine (σCS) for Larnaca during the period 2009-2012.
Figure 12. Linear regression between the daily clearness index (KT) and daily relative sunshine (σCS) for Larnaca during the period 2009-2012.
Preprints 86421 g012
Figure 13. Quadratic relationship between the daily direct horizontal irradiation (Bd, MJ/m2) and the daily SD obtained from CS and pyrheliometer (Pr) in h/d at Athalassa during the period 2012-2015.
Figure 13. Quadratic relationship between the daily direct horizontal irradiation (Bd, MJ/m2) and the daily SD obtained from CS and pyrheliometer (Pr) in h/d at Athalassa during the period 2012-2015.
Preprints 86421 g013
Figure 14. Trend lines of the annual sunshine duration totals during the whole period of measurements at the three synoptic stations. The reference line of 2011 indicates the end of CS measurements at Larnaca and Pafos, while at Athalassathe CS was recorded until 2015.
Figure 14. Trend lines of the annual sunshine duration totals during the whole period of measurements at the three synoptic stations. The reference line of 2011 indicates the end of CS measurements at Larnaca and Pafos, while at Athalassathe CS was recorded until 2015.
Preprints 86421 g014aPreprints 86421 g014b
Table 1. Coordinates of meteorological stations involved in simultaneous measurements of different methods of daily SD (CS=Campbell-Stokes sunshine recorder, Gl= SD from global radiation (CM6B pyranometers), Pr= SD from Kipp & Zonen CHP1 Pyrhiliometer and CSD3= SD from Kipp & Zonen automatic sensors), during the periods: 2009-2012 and 2012-2015.
Table 1. Coordinates of meteorological stations involved in simultaneous measurements of different methods of daily SD (CS=Campbell-Stokes sunshine recorder, Gl= SD from global radiation (CM6B pyranometers), Pr= SD from Kipp & Zonen CHP1 Pyrhiliometer and CSD3= SD from Kipp & Zonen automatic sensors), during the periods: 2009-2012 and 2012-2015.
Preprints 86421 i001
Table 2. Selected statistics of annual daily sunshine duration (h/d) obtained from manual and automatic observations from five locations (coastal and inland plain) over Cyprus in different time periods.
Table 2. Selected statistics of annual daily sunshine duration (h/d) obtained from manual and automatic observations from five locations (coastal and inland plain) over Cyprus in different time periods.
Preprints 86421 i002
Table 3. The percentages of the differences of the different pairs of the manual (CS) and electronic devices (Gl, Pr and CSD3) estimated by Eq. (1) on a monthly basis at the three synoptic stations and two automatic weather stations equipped with CSD3 SD sensors during different time periods.
Table 3. The percentages of the differences of the different pairs of the manual (CS) and electronic devices (Gl, Pr and CSD3) estimated by Eq. (1) on a monthly basis at the three synoptic stations and two automatic weather stations equipped with CSD3 SD sensors during different time periods.
Preprints 86421 i003
Table 4. Percentages of annual differences of daily SD among different pairs of automatic devices minus CS sunshine recorders at the three synoptic stations during different time periods, based on the classification scheme proposed by Urban and Zając (10).
Table 4. Percentages of annual differences of daily SD among different pairs of automatic devices minus CS sunshine recorders at the three synoptic stations during different time periods, based on the classification scheme proposed by Urban and Zając (10).
Preprints 86421 i004
Table 5. Monthly frequencies of daily differences in sunshine duration between the selected pairs of sunshine recorders in different time periods.
Table 5. Monthly frequencies of daily differences in sunshine duration between the selected pairs of sunshine recorders in different time periods.
Preprints 86421 i005
Table 6. Monthly and annual linear regression parameters between different pairs of sunshine duration recorders for different time periods at the three synoptic stations. Response variable is the CS recorder.
Table 6. Monthly and annual linear regression parameters between different pairs of sunshine duration recorders for different time periods at the three synoptic stations. Response variable is the CS recorder.
Preprints 86421 i006
Table 7. Regression parameters for different pairs of sunshine recorders under four categories of sky conditions, at the three synoptic stations for different time periods. Response variable is the CS recorder.
Table 7. Regression parameters for different pairs of sunshine recorders under four categories of sky conditions, at the three synoptic stations for different time periods. Response variable is the CS recorder.
Preprints 86421 i007
Table 8. Comparison of sunshine duration recorded by manual (CS) and automatic devices (Gl, Pr, CSD3) for the three synoptic stations and different time periods (n: number of cases; MeanDif: Automatic Sensor – CS recorder; RMSD: Root mean square deviation; R2: Coefficient of determination). Means and RMSD are in h.
Table 8. Comparison of sunshine duration recorded by manual (CS) and automatic devices (Gl, Pr, CSD3) for the three synoptic stations and different time periods (n: number of cases; MeanDif: Automatic Sensor – CS recorder; RMSD: Root mean square deviation; R2: Coefficient of determination). Means and RMSD are in h.
Preprints 86421 i008
Table 9. Frequency (%) of daily sunshine differences from different SD recorders under the classification scheme (7 classes) and four different sky conditions based on clearness index (KT) at the selected synoptic stations.
Table 9. Frequency (%) of daily sunshine differences from different SD recorders under the classification scheme (7 classes) and four different sky conditions based on clearness index (KT) at the selected synoptic stations.
Preprints 86421 i009
Table 10. Annual empirical linear regression coefficients for the selected stations and different periods. KT is the clearness index and σ is the relative sunshine at the given location.
Table 10. Annual empirical linear regression coefficients for the selected stations and different periods. KT is the clearness index and σ is the relative sunshine at the given location.
Preprints 86421 i010
Disclaimer/Publisher’s Note: The statements, opinions and data contained in all publications are solely those of the individual author(s) and contributor(s) and not of MDPI and/or the editor(s). MDPI and/or the editor(s) disclaim responsibility for any injury to people or property resulting from any ideas, methods, instructions or products referred to in the content.
Copyright: This open access article is published under a Creative Commons CC BY 4.0 license, which permit the free download, distribution, and reuse, provided that the author and preprint are cited in any reuse.
Prerpints.org logo

Preprints.org is a free preprint server supported by MDPI in Basel, Switzerland.

Subscribe

Disclaimer

Terms of Use

Privacy Policy

Privacy Settings

© 2026 MDPI (Basel, Switzerland) unless otherwise stated