Submitted:
25 September 2023
Posted:
25 September 2023
You are already at the latest version
Abstract
Keywords:
1. Introduction
2. Materials and Methods
2.1. Research sample
2.2. Selection method of urban tree species
2.3. Sample collection of urban tree organs
2.3.1. Leaf collection method
2.3.2. Branch collection and sample preparation
2.3.3. Bark collection and sample preparation
2.4. Trial production method of artificial rainfall simulation system
2.5. Artificial simulated rainfall simulation test
2.6. Calculation method for rainwater interception process and capacity of tree organs
3. Results
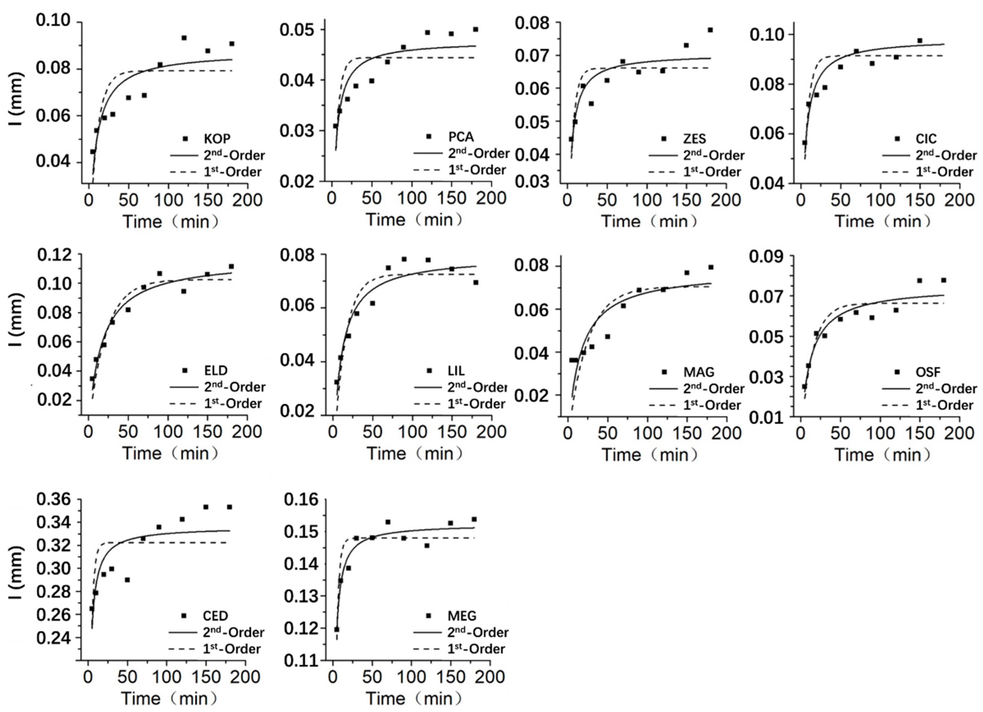
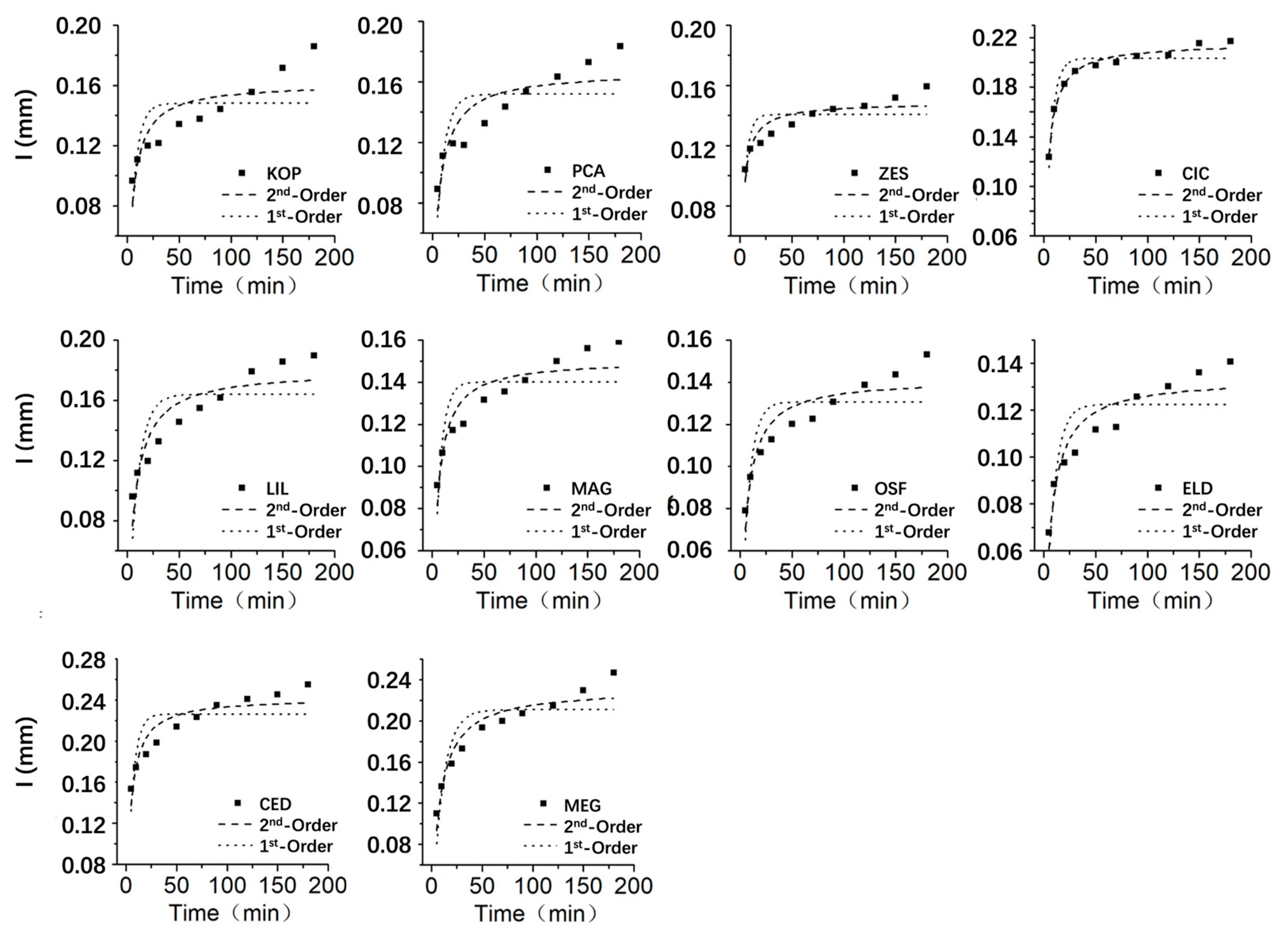
3.1. Dynamic analysis of rainwater interception process of tree organs
3.2. Analysis of dynamic parameters of rainwater interception by tree organs.
3.3. Rainwater interception in different tree organs
4. Discussion
4.1. Differences in rainwater interception capacity among tree species' organs
4.2. Differences in rainwater interception capacity among different tree organs
4.3. Difference of rainwater interception capacity of different life form tree species
4.4. Differences in rainwater interception capacity of tree organs between urban and natural areas
5. Conclusions
Author Contributions
Funding
Data Availability Statement
Conflicts of Interest
References
- Llorens, P.; Gallart, F. A simplified method for forest water storage capacity measurement. J Hydrol 2000, 240, 131–144. [Google Scholar] [CrossRef]
- Liu, S. Estimation of rainfall storage capacity in the canopies of cypress wetlands and slash pine uplands in North-Central Florida. J Hydrol 1998, 207, 32–41. [Google Scholar] [CrossRef]
- Crockford, R.; Richardson, D. Partitioning of rainfall in a Eucalypt forest and Pine plantation in southeastern Australia: III Determination of the canopy storage capacity of a dry sclerophyll Eucalypt forest. Hydrol. Processes 1990, 4, 157–167. [Google Scholar] [CrossRef]
- Aston, A. Rainfall interception by eight small trees. J Hydrol 1979, 42, 383–396. [Google Scholar] [CrossRef]
- Li, X.; Xiao, Q.; Niu, J.; Dymond, S.; van Doorn, N.S.; Yu, X.; Xie, B.; Lv, X.; Zhang, K.; Li, J. Process-based rainfall interception by small trees in Northern China: the effect of rainfall traits and crown structure characteristics. Agric For Meteorol 2016, 218, 65–73. [Google Scholar] [CrossRef]
- Calder, I.R. Rainfall interception and drop size-development and calibration of the two-layer stochastic interception model. Tree Physiol 1996, 16, 727–732. [Google Scholar] [CrossRef]
- Wang, J. Redistribution of rainfall and chemical characteristics of rainfall components in evergreen broad-leaved forest in Tiantong. Doctoral thesis, East China Normal University, Shanghai, 2008. [CrossRef]
- Yu, K.; Chen, N.; Yu, S.; Wang, G. Effects of species composition on rainfall interception capacity of alpine meadow vegetation. Acta Ecol. Sin. 2011, 31, 5771–5779. [Google Scholar]
- Herwitz, S.R. Interception storage capacities of tropical rainforest canopy trees. J Hydrol 1985, 77, 237–252. [Google Scholar] [CrossRef]
- Leyton, L.; Reynolds, E. R. C; Thompson, F. B. Rainfall interception in forest and moorland. In Proceedings of the International Symposium on Forest Hydrology, New York, 1967, 163-178.
- Hutchings, N.J.; Milne, R.; Crowther, J.M. Canopy storage capacity and its vertical distribution in a Sitka spruce canopy. J Hydrol 1988, 104, 161–171. [Google Scholar] [CrossRef]
- Kelliher, F.M.; Whitehead, D.; Pollock, D.S. Rainfall interception by trees and slash in a young Pinus radiata D. Don stand. J Hydrol 1992, 131, 187–204. [Google Scholar] [CrossRef]
- Lankreijer, H.; Hendriks, M.; Klaassen, W. A comparison of models simulating rainfall interception of forests. Agric For Meteorol 1993, 64, 187–199. [Google Scholar] [CrossRef]
- Teklehaimanot, Z.; Jarvis, P.; Ledger, D. Rainfall interception and boundary layer conductance in relation to tree spacing. J Hydrol 1991, 123, 261–278. [Google Scholar] [CrossRef]
- Wang, X.P.; Zhang, Y.F.; Hu, R.; Pan, Y.X.; Berndtsson, R. Canopy storage capacity of xerophytic shrubs in Northwestern China. J Hydrol 2012, 454, 152–159. [Google Scholar] [CrossRef]
- Monson, R.K.; Grant, M.C.; Jaeger, C.H.; Schoettle, A.W. Morphological causes for the retention of precipitation in the crowns of alpine plants. Environ Exp Bot. 1992, 32, 319–327. [Google Scholar] [CrossRef]
- Ilek, A.; Kucza, J.; Morkisz, K. Hydrological properties of bark of selected forest tree species. Part 2: Interspecific variability of bark water storage capacity Folia For. Pol., Ser. A 2017, 59, 110–122. [Google Scholar] [CrossRef]
- Garcia-Estringana, P.; Alonso-Blázquez, N.; Alegre, J. Water storage capacity, stemflow and water funneling in Mediterranean shrubs. J Hydrol 2010, 389, 363–372. [Google Scholar] [CrossRef]
- Keim, R.F.; Skaugset, A.E.; Weiler, M. Storage of water on vegetation under simulated rainfall of varying intensity. Adv Water Resour 2006, 29, 974–986. [Google Scholar] [CrossRef]
- Wohlfahrt, G.; Bianchi, K.; Cernusca, A. Leaf and stem maximum water storage capacity of herbaceous plants in a mountain meadow. J Hydrol 2006, 319, 383–390. [Google Scholar] [CrossRef]
- Beysens, D.; Steyer, A.; Guenoun, P.; Fritter, D.; Knobler, C. How does dew form? Phase Transit. 1991, 31, 219–246. [Google Scholar] [CrossRef]
- Dunkerley, D.L.; Booth, T.L. Plant canopy interception of rainfall and its significance in a banded landscape, arid western New South Wales, Australia. Water Resour Res. 1999, 35, 1581–1586. [Google Scholar] [CrossRef]
- Li, X.; Niu, J.; Zhang, L.; Xiao, Q.; McPherson, G.E.; Van Doorn, N.; Yu, X.; Xie, B.; Dymond, S.; Li, J. A study on crown interception with four dominant tree species: a direct measurement. Hydrol. Res. 2015, 47, 857–868. [Google Scholar] [CrossRef]
- Peng, H.; Zhao, C.; Feng, Z.; Xu, Z.; Wang, C.; Zhao, Y. Canopy interception by a spruce forest in the upper reach of Heihe River basin. Northwestern China. Hydro. Processes 2014, 28, 1734–1741. [Google Scholar] [CrossRef]
- Koch, K.; Bhushan, B.; Barthlott, W. Multifunctional surface structures of plants: an inspiration for biomimetics. Prog. Mater. Sci. 2009, 54, 137–178. [Google Scholar] [CrossRef]
- Fogg, G. Adhesion of water to the external surfaces of leaves. Discuss Faraday Soc. 1948, 3, 162–166. [Google Scholar] [CrossRef]
- Challen, S. The retention of aqueous suspensions on leaf surfaces. J Pharm Pharmacol. 1962, 14, 707–714. [Google Scholar] [CrossRef] [PubMed]
- Fang, H. Status and comprehensive evaluation of urban green space plant communities in Shanghai. Master's thesis, East China Normal University, Shanghai, 2006.
- Wang, B. Urban vegetation and urban vegetation. Acta Sci. Nat. Univ. Sunyatseni 1998, 4, 9–12. [Google Scholar]
- Shi Y.; Jin H.; Bao Z.; Ge Y. Tree structure characteristics of urban built-up area of China. Chin. Lands. Archit. 2016, 32:77-82.
- Liu, S. A new model for the prediction of rainfall interception in forest canopies. Ecol. Modell. 1997, 99, 151–159. [Google Scholar] [CrossRef]
- Ning J.; Li T. Statistics of rainfall characteristics and calculation of rainwater storage tank volume in Shanghai. China Water Wastewater 2006, 22:48-51. [CrossRef]
- Gao, J.; Qi, L. Characteristics and influence of short duration heavy rainfall in Shanghai. Meteorol. Environ. Res. 2015, 28, 52–60. [Google Scholar] [CrossRef]
- Huo, Y.; Bi, H.; Zhu, Y.; Xu, H.; Wang, X.; Chang Y., F. Experiment on rainfall characteristics of QYJY-503C artificial rainfall simulator [J]. Bull. Soil Water Conserv. 2015, 13, 31–36. [Google Scholar] [CrossRef]
- Xiao, Q.; McPherson, E.G. Surface water storage capacity of twenty tree species in Davis, California. J. Environ. Qual. 2016, 45, 188–198. [Google Scholar] [CrossRef]
- Li, J.; Tang, Y.; Li, B. The influence of indoor simulated rainfall intensity on the stability of gravel soil slope. Gansu Water Res. Hydropower Technol 2013, 49, 21–23. [Google Scholar]
- Xia, D.; Zhang, X.; Fang, Y.; Jia, S. Rainfall intensity ratio control based on rainfall spray control system. Lab Res. Explor 2010, 29, 4–7. [Google Scholar] [CrossRef]
- Geng X.; Zheng F.; Liu L. Effect of rainfall intensity and slope gradient on soil erosion process on purple soil hill slopes. J. Sediment Res. 2010, 6:48-53.
- Meyer, L.D.; Harmon, W.C. Multiple-Intensity Rainfall Simulator for Erosion Research on Row Sideslopes. Trans Asae 1979, 22, 0100–0103. [Google Scholar] [CrossRef]
- Pei, T.; Zheng, Y.; Simulation and model of canopy rainfall distribution process I. models of throughfall, trunk runoff and Canopy Interception under constant rainfall intensity. For. Sci. (Beijing, China) 1996, 32, 1–10. [Google Scholar]
- Liu Y.; Peng H.; Meng W.; Bie Q.; Wang Y. Zhao C. Artificial rainfall interception characteristics in alpine meadows under different grazing scenarios in the upper reach of Heihe River. J. Lanzhou Univ., Nat. Sci. 2013:10-12.
- Müller, C.; Riederer, M. Plant surface properties in chemical ecology. J Chem Ecol. 2005, 31, 2621–2651. [Google Scholar] [CrossRef]
- Wan, D.; Liu, H.; Zhao, X.; Qu, J.; Xiao, S.; Hou, Y. Role of the Mg/Al atomic ratio in hydrotalcite-supported Pd/Sn catalysts for nitrate adsorption and hydrogenation reduction. J Colloid Interface Sci. 2009, 332, 151–157. [Google Scholar] [CrossRef]
- Klaassen, W.; Bosveld, F.; De Water, E. Water storage and evaporation as constituents of rainfall interception. J Hydrol 1998, 212-213, 36-50. [CrossRef]
- Bassette, C.; Bussiere, F. Partitioning of splash and storage during raindrop impacts on banana leaves. Agric For Meteorol. 2008, 148, 991–1004. [Google Scholar] [CrossRef]
- Hancock, N.H.; Crowther, J.M. A technique for the direct measurement of water storage on a forest canopy. J Hydrol 1979, 41, 105–122. [Google Scholar] [CrossRef]
- Wang Zhijie. Studies on the Rainfall Features inside the Coastal Protection Forest of Casuarina equisetifolia. Fujian For Sci Technol 2000, 4, 10–13. [Google Scholar] [CrossRef]
- Livesley, S.J.; Baudinette, B.; Glover, D. Rainfall interception and stem flow by eucalypt street trees – The impacts of canopy density and bark type. Urban For Urban Green 2014, 13, 192–197. [Google Scholar] [CrossRef]
- Crockford, R.; Richardson, D. Partitioning of rainfall in a eucalypt forest and pine plantation in southeastern Australia: IV The relationship of interception and canopy storage capacity, the interception of these forests, and the effect on interception of thinning the pine plantation. Hydrol. Processes 1990, 4, 169–188. [Google Scholar] [CrossRef]







| Common name | Scientific name | Life form | Species code |
|---|---|---|---|
| Golden Rain Tree | Koelreuteria paniculata | Deciduous broad | KOP |
| London Planetree | Platanus × acerifolia | Deciduous broad | PCA |
| Japanese zelkova | Zelkova serrata | Deciduous broad | ZES |
| Camphor Tree | Cinnamomum camphora | Evergreen broad | CIC |
| Japanese blueberry tree | Elaeocarpus decipiens | Evergreen broad | ELD |
| Glossy privet | Ligustrum lucidum | Evergreen broad | LIL |
| Southern magnolia | Magnolia Grandiflora | Evergreen broad | MAG |
| Fragrant tea olive | Osmanthus fragrans | Evergreen broad | OSF |
| Deodar cedar | Cedrus deodara | Coniferous | CED |
| Dawn redwood | Metasequoia glyptostroboides | Coniferous | MEG |
| No. | Tree | Set rainfall Intensity (mm/h) |
Average actual rainfall Intensity (mm/h) |
Rainfall uniformity (%) |
Rainfall Time (min) |
|---|---|---|---|---|---|
| 1 | Golden Rain Tree | 4 | 4.32 | 90.4 | 180 |
| 2 | 8 | 8.13 | 91.2 | 180 | |
| 3 | 12 | 11.68 | 92.1 | 180 | |
| 4 | 16 | 16.53 | 91.7 | 180 | |
| 5 | London Planetree | 4 | 4.42 | 90.4 | 180 |
| 6 | 8 | 8.31 | 91.2 | 180 | |
| 7 | 12 | 11.18 | 92.1 | 180 | |
| 8 | 16 | 15.79 | 91.5 | 180 | |
| 9 | Japanese zelkova | 4 | 3.48 | 90.2 | 180 |
| 10 | 8 | 8.51 | 91.2 | 180 | |
| 11 | 12 | 12.38 | 92.1 | 180 | |
| 12 | 16 | 16.57 | 91.9 | 180 | |
| 13 | Camphor Tree | 4 | 4.51 | 90.4 | 180 |
| 14 | 8 | 8.23 | 91.2 | 180 | |
| 15 | 12 | 11.68 | 92.1 | 180 | |
| 16 | 16 | 15.33 | 91.1 | 180 | |
| 17 | Japanese blueberry tree | 4 | 4.46 | 90.4 | 180 |
| 18 | 8 | 8.04 | 91.2 | 180 | |
| 19 | 12 | 11.81 | 92.1 | 180 | |
| 20 | 16 | 15.73 | 91.4 | 180 | |
| 21 | Glossy privet | 4 | 4.25 | 90.4 | 180 |
| 22 | 8 | 8.48 | 91.2 | 180 | |
| 23 | 12 | 11.82 | 92.1 | 180 | |
| 24 | 16 | 16.44 | 91.6 | 180 | |
| 25 | Southern magnolia | 4 | 4.28 | 90.4 | 180 |
| 26 | 8 | 8.17 | 91.2 | 180 | |
| 27 | 12 | 12.82 | 92.1 | 180 | |
| 28 | 16 | 16.71 | 94.4 | 180 | |
| 29 | Fragrant tea olive | 4 | 4.24 | 91.2 | 180 |
| 30 | 8 | 8.48 | 92.1 | 180 | |
| 31 | 12 | 11.67 | 90.4 | 180 | |
| 32 | 16 | 16.48 | 91.2 | 180 | |
| 33 | Deodar cedar | 4 | 3.79 | 91.2 | 180 |
| 34 | 8 | 8.11 | 92.1 | 180 | |
| 35 | 12 | 13.01 | 90.4 | 180 | |
| 36 | 16 | 16.17 | 91.2 | 180 | |
| 37 | Dawn redwood | 4 | 4.52 | 92.1 | 180 |
| 38 | 8 | 8.14 | 90.4 | 180 | |
| 39 | 12 | 12.84 | 91.2 | 180 | |
| 40 | 16 | 16.79 | 92.3 | 180 |
| Tree | Pseudo 1s-order | Pseudo 2nd-order | |||||
|---|---|---|---|---|---|---|---|
| Ie (mm) | k1 | R2 | Ie (mm) | k2 | R2 | ||
| Golden Rain Tree | 0.08 | 0.10 | 0.50 | 0.09 | 0.015 | 0.74 | |
| London Planetree | 0.04 | 0.18 | 0.44 | 0.05 | 0.053 | 0.76 | |
| Japanese zelkova | 0.07 | 0.18 | 0.53 | 0.07 | 0.038 | 0.76 | |
| Camphor Tree | 0.09 | 0.16 | 0.56 | 0.10 | 0.023 | 0.77 | |
| Japanese blueberry tree | 0.10 | 0.05 | 0.89 | 0.12 | 0.005 | 0.95 | |
| Glossy privet | 0.07 | 0.07 | 0.83 | 0.08 | 0.013 | 0.91 | |
| Southern magnolia | 0.07 | 0.04 | 0.54 | 0.08 | 0.008 | 0.71 | |
| Fragrant tea olive | 0.07 | 0.07 | 0.79 | 0.07 | 0.011 | 0.89 | |
| Deodar cedar | 0.32 | 0.30 | 0.30 | 0.34 | 0.017 | 0.74 | |
| Dawn redwood | 0.15 | 0.31 | 0.75 | 0.15 | 0.048 | 0.92 | |
| Tree | Pseudo 1st-order | Pseudo 2nd-order | |||||
|---|---|---|---|---|---|---|---|
| Ie (mm) | k1 | R2 | Ie (mm) | k2 | R2 | ||
| Golden Rain Tree | 0.15 | 0.15 | 0.38 | 0.16 | 0.012 | 0.66 | |
| London Planetree | 0.15 | 0.13 | 0.49 | 0.17 | 0.010 | 0.75 | |
| Japanese zelkova | 0.14 | 0.23 | 0.49 | 0.15 | 0.025 | 0.80 | |
| Camphor Tree | 0.20 | 0.17 | 0.89 | 0.22 | 0.013 | 0.98 | |
| Japanese blueberry tree | 0.12 | 0.12 | 0.66 | 0.13 | 0.012 | 0.87 | |
| Glossy privet | 0.16 | 0.11 | 0.54 | 0.18 | 0.008 | 0.80 | |
| Southern magnolia | 0.14 | 0.16 | 0.57 | 0.15 | 0.016 | 0.84 | |
| Fragrant tea olive | 0.13 | 0.14 | 0.61 | 0.14 | 0.014 | 0.84 | |
| Deodar cedar | 0.23 | 0.17 | 0.55 | 0.24 | 0.011 | 0.84 | |
| Dawn redwood | 0.21 | 0.10 | 0.72 | 0.23 | 0.006 | 0.90 | |
| Tree | Pseudo 1st-order | Pseudo 2nd-order | |||||
|---|---|---|---|---|---|---|---|
| Ie (mm) | k1 | R2 | Ie (mm) | k2 | R2 | ||
| Golden Rain Tree | 0.36 | 0.08 | 0.69 | 0.34 | 0.003 | 0.89 | |
| London Planetree | 0.42 | 0.06 | 0.71 | 0.47 | 0.002 | 0.86 | |
| Japanese zelkova | 1.05 | 0.10 | 0.66 | 1.16 | 0.001 | 0.87 | |
| Camphor Tree | 1.13 | 0.12 | 0.88 | 1.22 | 0.001 | 0.94 | |
| Japanese blueberry tree | 0.41 | 0.10 | 0.53 | 0.45 | 0.003 | 0.77 | |
| Glossy privet | 0.25 | 0.07 | 0.77 | 0.29 | 0.003 | 0.89 | |
| Southern magnolia | 0.35 | 0.08 | 0.67 | 0.44 | 0.002 | 0.90 | |
| Fragrant tea olive | 0.34 | 0.11 | 0.64 | 0.37 | 0.004 | 0.86 | |
| Deodar cedar | 0.82 | 0.15 | 0.64 | 0.88 | 0.002 | 0.87 | |
| Dawn redwood | 0.53 | 0.17 | 0.63 | 0.54 | 0.004 | 0.88 | |
Disclaimer/Publisher’s Note: The statements, opinions and data contained in all publications are solely those of the individual author(s) and contributor(s) and not of MDPI and/or the editor(s). MDPI and/or the editor(s) disclaim responsibility for any injury to people or property resulting from any ideas, methods, instructions or products referred to in the content. |
© 2023 by the authors. Licensee MDPI, Basel, Switzerland. This article is an open access article distributed under the terms and conditions of the Creative Commons Attribution (CC BY) license (http://creativecommons.org/licenses/by/4.0/).
