Submitted:
13 October 2024
Posted:
15 October 2024
You are already at the latest version
Abstract
Keywords:
1. Introduction
2. Materials and Methods
2.1. Study Area
2.2. Data Collection and Processing
2.2.1. Rainfall Data
2.2.2. Leaf Area Index (LAI)
2.2.3. Measured Data from Sample Plots
2.3. Research Methods
2.3.1. Estimation of Rainfall Interception Capacity of Vegetation Canopies

2.3.2. Model Accuracy Evaluation and Validation


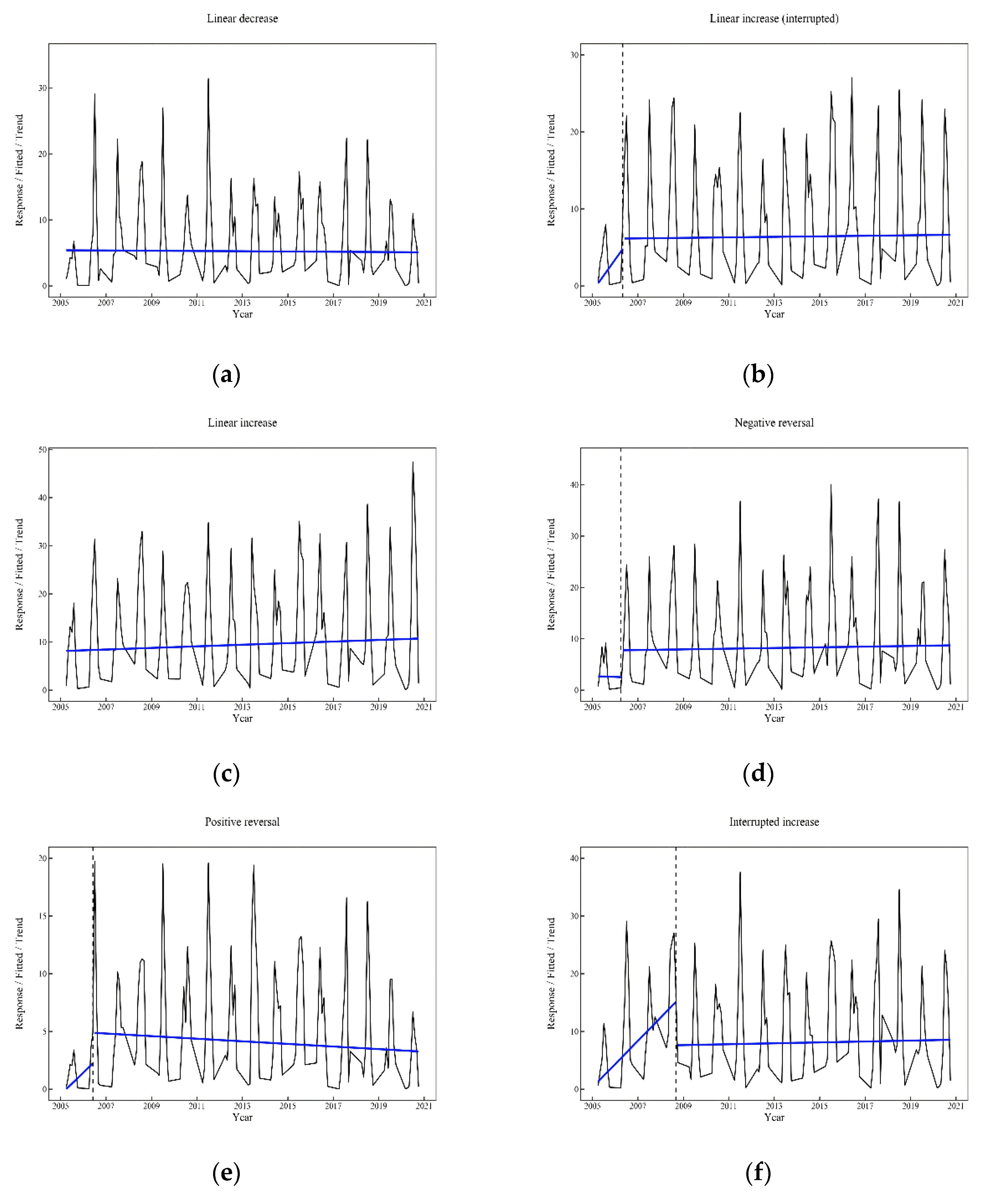
2.3.3. Analysis of Linear Trends in Canopy Rainfall Interception

which,
2.3.4. Canopy Rainfall Interception Mutation Test
2.3.5. Analysis of Factors Influencing Canopy Rainfall Interception
3. Results and Analyses
3.1. Validation of Model Accuracy
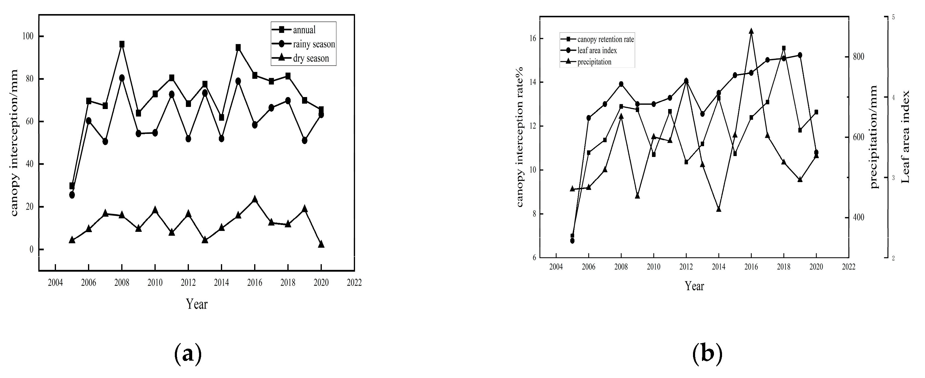
3.2. Changes in Rainfall Interception Time in the Beijing Canopy
3.3. Spatial Pattern of Rainfall Interception in the Beijing Canopy
3.3.1. Spatial Distribution of Canopy Precipitation Interception
2.3.2. Spatial Trends in Canopy Rainfall Interception Capacity
2.5. Driver Analysis
2.5.1. Single-Factor Detection
3.5.2. Reciprocal Factor Detection

4. Discussion
4.1. Evaluation of Model Accuracy Validation
4.2. An Investigation of the Spatial and Temporal Characteristics of Canopy Rain Interception
4.3. Exploring the Influencing Factors of Canopy Rainfall Interception in Beijing
5. Conclusions
Author Contributions
Funding
Conflicts of Interest
References
- Farley K A, Esteban G. Jobbágy, Jackson R B. Effects of afforestation on water yield: a global synthesis with implications for policy. Global Change Biology, 2005, 11(10):1565–1576.
- Feng X, Fu B, Piao S, et al. Revegetation in China’s Loess Plateau is approaching sustainable water resource limits. Nature Climate Change, 2016, 6(11): 1019-1022.
- X. Song, J. Zhang, C. Zhan, C. Liu, Review for impacts of climate change and human activities on water cycle. Journal of Hydraulic Engineering 44, 779-790 (2013).
- Savenije H H, G. The importance of interception and why we should delete the term evapotranspiration from ourvocabulary. Hydrological Processes, 2004, 18(8):1507-1511.
- Ni Y, Yu Z, Lv X, et al. Response of runoff to vegetation change in typical basin of the Loess Plateau. Ecological Engineering, 2022, 182: 106704.
- Sun C H, Su Y X, Han L S, et al. The simulation and spatial-temporal variations of atmospheric rainfall interception by vegetation canopies based on MODIS LAI data at the basin scale in the Guangdong Province from 2004 to 2016. Acta Ecol. Sin, 2020, 4040: 2252-2266.
- Zheng C, Jia L. Global canopy rainfall interception loss derived from satellite earth observations. Ecohydrology, 2020, 13(2): e2186.
- Livesley S J, Baudinette B, Glover D. Rainfall interception and stem flow by eucalypt street trees–the impacts of canopy density and bark type. Urban For Urban Green 13: 192–197. 2014.
- LI Y, MA R, ZHANG Y, et al. Simulation of canopy rainfall interception of Platycladus orientalis forest and its mixed forest using the modified Gash model. Chinese Journal of Ecology, 2019, 38(5): 1331. [CrossRef]
- Dunkerley D, L. Intra-storm evaporation as a component of canopy interception loss in dryland shrubs: observations from Fowlers Gap, Australia. Hydrological Processes: An International Journal, 2008, 22(12): 1985-1995. [CrossRef]
- Cuartas L A, Tomasella J, Nobre A D, et al. Interception water-partitioning dynamics for a pristine rainforest in Central Amazonia: marked differences between normal and dry years. Agricultural and Forest Meteorology, 2007, 145(1-2): 69-83.
- Zimmermann A, Zimmermann B. Requirements for throughfall monitoring: The roles of temporal scale and canopy complexity. Agricultural and Forest Meteorology, 2014, 189: 125-139.
- Muzylo A, Llorens P, Valente F, et al. A review of rainfall interception modelling. Journal of hydrology, 2009, 370(1-4): 191-206.
- Gash J H C, Lloyd C R, Lachaud G. Estimating sparse forest rainfall interception with an analytical model. Journal of Hydrology, 1995, 170(1-4): 79-86.
- Rutter A J, Morton A J. A Predictive Model of Rainfall Interception in Forests. III. Sensitivity of The Model to Stand Parameters and Meteorological Variables. Journal of Applied Ecology, 1977.
- Wang H, Zhao C, Liu Y, et al. Exploring the spatiotemporal distribution and driving factors of vegetation canopy rainfall interception in the Qilian Mountains, Northwest China. Catena, 2024, 237: 107829. [CrossRef]
- Zhang Q, Lv X, Yu X, et al. Species and spatial differences in vegetation rainfall interception capacity: A synthesis and meta-analysis in China. Catena, 2022, 213: 106223.
- Yaokui C, Li J. A Modified Gash Model for Estimating Rainfall Interception Loss of Forest Using Remote Sensing Observations at Regional Scale. Water, 2014, 6(4):993-993.
- Sun Z X, Zhu L Q, Zhao T X, Zhang Z Lu R W, Zhu W B. Spation-temporal variations and driving factor analysis of rainfall interception by vegetation canopy in the Qinling-Daba Mountains. Acta Ecologica Sinica,2024, 44(05):2029-2042.
- Lu S W, Li S N, Liu Y F. Ecological benefit evaluation of the Grain for Green Project in Bei**g. Acta Ecologica Sinica, 2021, 41(15): 6170-6181.
- Li Y, Liang Y, Wei T, et al. Spatiotemporal dynamics of rainfall interception and effective precipitation in the Loess Plateau after large-scale afforestation. Land Degradation & Development, 2023, 34(16): 5004-5016.
- Chen L H, Zhang Y, Yu X X, et al. Characteristics and simulation on canopy interception of typical forest vegetation in Bei**g West Mountain Area. Journal of Basic Science and Engineering, 2013, 21: 423-431.
- Lu J F, Ma Q Y, Liu S H, et al. Rainfall interception capacity of a Pinus tabularformis plantation in Miyun, Bei**g. J. Bei**g For. Univ, 2005, 27: 129-132.
- **nxiao Y, Yongsheng Q, Lihua C, et al. The forest ecosystem services and their valuation of Bei**g mountain areas. Acta Ecologica Sinica, 2002, 22(5): 783-786.
- ZHANG Qiang, LI Ling jun, CHEN Yun-run, LU Hai-feng, LIU Bao-xian, ZHAO Wen-hui, SU Ri-na. Species diversity, biomass, and their relationship in the mountainous areas of Beijing. [J/OL]. China Environmental Science:1-16[2024-09-20].
- Peng, S.Z., Ding, Y.X., Wen, Z.M., Chen, Y.M., Cao, Y., & Ren, J.Y. (2017). Spatiotemporal change and trend analysis of potential evapotranspiration over the Loess Plateau of China during 2011-2100. Agricultural and Forest Meteorology, 233, 183-194. [CrossRef]
- Wenyue Z, **bin J I. A Review of Research Advances and Future Perspectives of Evaporation of Intercepted Rainfall from Sparse Tree Canopy in Drylands. Advances in Earth Science, 2021, 36(8): 862.
- Roo A P J D E, Wesseling C G, Cremers N H D T, et al. LISEM: a new physically based hydrological and soil erosion model in a GIS-environment, theory and implementation. 1994.
- Zhang, Y., Kong, D., Gan, R., Chiew, F.H.S., McVicar, T.R., Zhang, Q., & Yang, Y. (2019). Coupled estimation of 500m and 8-day resolution global evapotranspiration and gross primary production in 2002-2017. Remote Sensing Environ. 222, 165-182. [CrossRef]
- Cai B F, Yu R. Advance and evaluation in the long time series vegetation trends research based on remote sensing. J. Remote Sens, 2009, 13(6): 1170-1186.
- Tošić, I. Spatial and temporal variability of winter and summer precipitation over Serbia and Montenegro. Theoretical and applied climatology, 2004, 77: 47-56.
- Zhong X Z, Wu R J. NDVl change trends and driving force analysis in the Tuojiang River Basin based on the improved BFAST model[J], Remote sensing for Natural Resources 2024,1(11): 07-07.
- Brakhasi F, Hajeb M, Mielonen T, et al. Investigating aerosol vertical distribution using CALIPSO time series over the Middle East and North Africa (MENA), Europe, and India: A BFAST-based gradual and abrupt change detection. Remote Sensing of Environment, 2021, 264: 112619. [CrossRef]
- Zhong X, Li J, Wang J, et al. Linear and nonlinear characteristics of long-term NDVI using trend analysis: a case study of Lancang-Mekong River Basin. Remote Sensing, 2022, 14(24): 6271.
- Jinfeng WANG, Chengdong XU. Geodetector: Principle and prospective. Acta Geographica Sinica, 2017, 72(1): 116-134.
- YU Shiyong, XU Qian, YU Xiaofei. Analysis of Vegetation Cover Changes in Beijing from 2005 to 2020. FOREST RESOURCES WANAGEMENT, 2023, (3): 98-104.
- Liu Y, Zhuo L, Pregnolato M, et al. An assessment of statistical interpolation methods suited for gridded rainfall datasets. International Journal of Climatology [2024-07-30].
- Feng Z M, Yang Y Z, Ding X Q, et al. Optimization of the spatial interpolation methods for climate resources. Geographical Research, 2004, 23(3): 357-364.
- He W, Jing Y, Jiang Z Y, et al. Spatiotemporal Variations in Vegetation Canopy Interception in China Based on a Revised Gash Model. Forests, 2022.
- YU Shi-yong. Study of NDVI Changes of Main Forest Types in Beijing from 2005 to 2020. Journal of Temperate Forestry Research,2023,6(03):27-32.
- Llorens P, Domingo F. Rainfall partitioning by vegetation under Mediterranean conditions. A review of studies in Europe. Journal of hydrology, 2007, 335(1-2): 37-54. [CrossRef]
- Lu S W, Li S N, Liu Y F. Ecological benefit evaluation of the Grain for Green Project in Bei**g. Acta Ecologica Sinica, 2021, 41(15): 6170-6181.
- Meichen J, Shufang T, Qian Z. Assessment of the vegetation restoration of the key mining areas around Bei**g. China Mining Magazine, 2017, 26(6): 88-94.
- Yao N, Ma L Y, Yang J, et al. Changes of ecological spaces in Bei**g’s plain areas between 1992 and 2013. Chinese Journal of Ecology, 2015, 34(5): 1427-1434.
- i J, Wang J, Zhang J, et al. Dynamic changes of vegetation coverage in China-Myanmar economic corridor over the past 20 years. International Journal of Applied Earth Observation and Geoinformation, 2021, 102: 102378.
- Li S Y, Ma J J, Xuan C Y, et al. Analysis of extreme weather events in Bei**g during 1951–2008. Clim. Environ. Res, 2012, 17: 244-250.
- Song W L, Yang S T, Lu J X, et al. Simulation and analysis of vegetation interception at a large scale in the middle reaches of Yellow River. Acta Geographica Sinica, 2014, 69(1): 80-89.
- Ze-bin L I U, Ao T, Yu L I U. Spatial-temporal variation and scale effect of canopy interception on a Larix principis-rupprechtii plantation slope in Liupan Mountains, Ningxia. China, 2017, 31(5): 231-239.







| Sic | Z-value | Trends in interception | Percentage of area % |
| ≥0.05 | >2.58 | Highly significant increase | 2.9 |
| 1.96<z≤2.58 | increase significantly | 9.1 | |
| 1.65<z≤1.96 | Slightly significant increase | 15.3 | |
| -0.05-0.05 | z≤1.65 | No significant increase | 62.2 |
| <0.05 | z≤1.65 | stable and unchanging | 1.8 |
| z≤1.65 | No significant reduction | 8.7 |
| Breakpoint type | pixel count | Percentage of area % |
| monotone decreasing(no breakpoints) | 984 | 2.7 |
| monotone increasing(with positive break) | 3 | 0.01 |
| monotone increasing(no breakpoints) | 33431 | 92.9 |
| invert(From decrease to increase) | 3 | 0.01 |
| invert(go from strength to strength) | 1123 | 3.1 |
| disruptions(Increased negative interruptions) | 435 | 1.2 |
| disruptions(Decrease in positive interruptions) | 11 | 0.03 |
Disclaimer/Publisher’s Note: The statements, opinions and data contained in all publications are solely those of the individual author(s) and contributor(s) and not of MDPI and/or the editor(s). MDPI and/or the editor(s) disclaim responsibility for any injury to people or property resulting from any ideas, methods, instructions or products referred to in the content. |
© 2024 by the authors. Licensee MDPI, Basel, Switzerland. This article is an open access article distributed under the terms and conditions of the Creative Commons Attribution (CC BY) license (http://creativecommons.org/licenses/by/4.0/).