Submitted:
21 September 2023
Posted:
22 September 2023
You are already at the latest version
Abstract
Keywords:
1. Introduction
2. Materials and Methods
2.1. Study Design
2.2. Questionnaire Structure
2.3. Ethics Statement
2.4. Statistical and Data Analysis
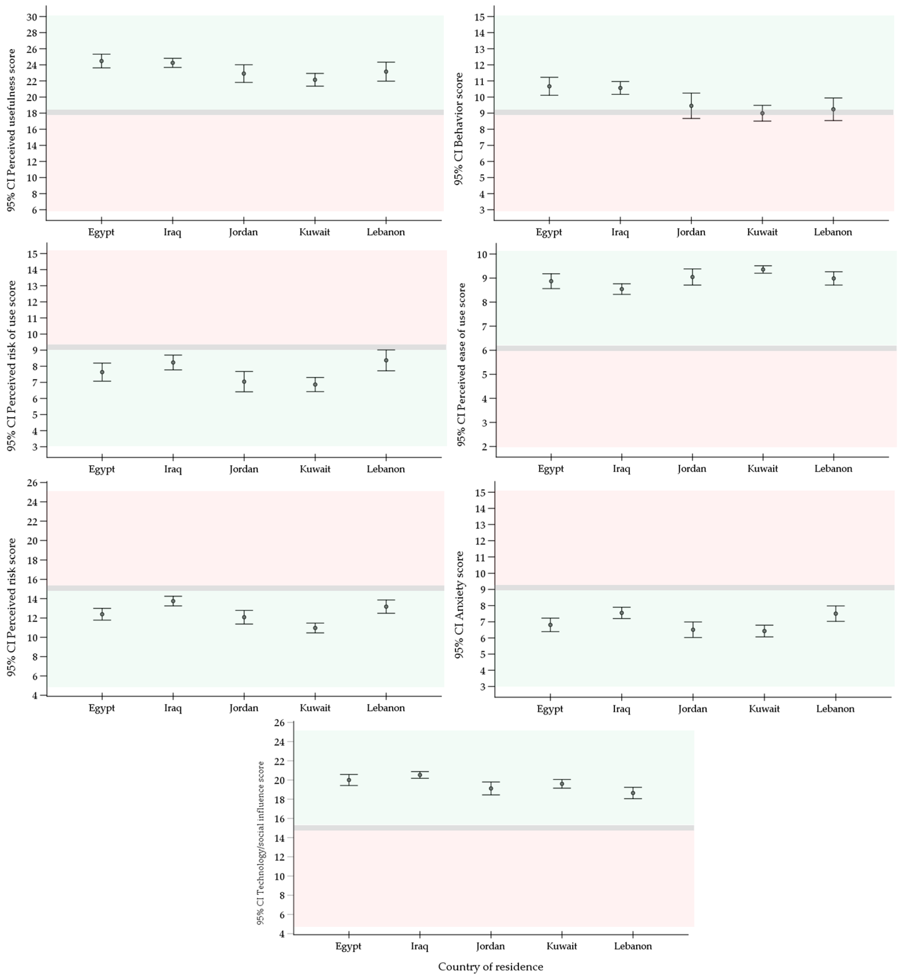
3. Results
3.1. Characteristics of the Study Sample
| Characteristic | Number (%) |
|---|---|
| Country | |
| Egypt | 417 (18.6%) |
| Iraq | 736 (32.9%) |
| Jordan | 242 (10.8%) |
| Kuwait | 582 (26.0%) |
| Lebanon | 263 (11.7%) |
| Sex | |
| Male | 625 (27.9%) |
| Female | 1615 (72.1%) |
| University | |
| Public | 983 (43.9%) |
| Private | 1257 (56.1%) |
| Self-reported latest GPA | |
| Excellent | 537 (24.0%) |
| Very good | 765 (34.2%) |
| Good | 759 (33.9%) |
| Satisfactory | 138 (6.2%) |
| Unsatisfactory | 31 (1.4%) |
| Have heard of ChatGPT (yes) | 1048 (46.8%) |
| Have used ChatGPT (yes) | 551 (52.6%) * |
| Mean ± SD | |
| Age (years) | 22.25 ± 4.58 |
| Perceived usefulness * | 23.30 ± 4.65 |
| Behavior * | 9.77 ± 3.03 |
| Perceived risk of use * | 7.56 ± 2.87 |
| Perceived ease of use * | 8.98 ± 1.30 |
| Anxiety | 6.97 ± 3.04 |
| Technology social influence | 19.72 ± 3.74 |
| Perceived risk | 12.43 ± 4.41 |
3.2. General Description of the TAME-ChatGPT Scores in the Study Sample
| Construct | Perceived usefulness | Behavior score | Perceived risk of use | Perceived ease of use | General perceived risk | Anxiety | Technology/social influence |
|---|---|---|---|---|---|---|---|
| Number | 551 | 551 | 551 | 551 | 1048 | 1048 | 1048 |
| Mean±SD | 23.3±4.6 | 9.8±3.0 | 7.6±2.9 | 9.0±1.3 | 12.4±4.4 | 7.0±3.0 | 19.7±3.7 |
| Median | 24 | 10 | 7 | 10 | 12 | 6 | 20 |
| Minimum | 6 | 3 | 3 | 2 | 5 | 3 | 5 |
| Maximum | 30 | 15 | 15 | 10 | 25 | 15 | 25 |
| IQR | 21–27 | 8–12 | 5–9 | 8–10 | 9–15 | 5–9 | 18–23 |
| Attitude | Agreement | Positive influence | Low perceived risk | Agreement | Low perceived risk | Low anxiety | Positive influence |

3.3. Confirmatory Factor Analysis


3.4. Bivariate analysis of factors associated with ChatGPT usage
3.5. Multivariable analysis
4. Discussion
5. Conclusions
Supplementary Materials
Author Contributions
Funding
Institutional Review Board Statement
Informed Consent Statement
Data Availability Statement
Acknowledgments
Conflicts of Interest
Abbreviations
| AI | Artificial intelligence |
| CFA | Confirmatory factor analysis |
| CFI | Comparative fit index |
| df | Degree of freedom |
| GPA | Grade point average |
| LLM | Large language model |
| RMSEA | Root mean square error of approximation |
| SD | Standard deviation |
| SRMR | Standardized root mean square residual |
| TAM | Technology acceptance model |
| TAME-ChatGPT | Technology Acceptance Model Edited to Assess ChatGPT Adoption |
| TLI | Tucker-Lewis index |
| UAE | The United Arab Emirates |
References
- Sallam, M. ChatGPT Utility in Healthcare Education, Research, and Practice: Systematic Review on the Promising Perspectives and Valid Concerns. Healthcare (Basel) 2023, 11, 887. [Google Scholar] [CrossRef]
- Crompton, H.; Burke, D. Artificial intelligence in higher education: the state of the field. International Journal of Educational Technology in Higher Education 2023, 20, 22. [Google Scholar] [CrossRef]
- Chen, L.; Chen, P.; Lin, Z. Artificial Intelligence in Education: A Review. IEEE Access 2020, 8, 75264–75278. [Google Scholar] [CrossRef]
- George, B.; Wooden, O. Managing the Strategic Transformation of Higher Education through Artificial Intelligence. Administrative Sciences 2023, 13, 196. [Google Scholar] [CrossRef]
- Grassini, S. Shaping the Future of Education: Exploring the Potential and Consequences of AI and ChatGPT in Educational Settings. Education Sciences 2023, 13, 692. [Google Scholar] [CrossRef]
- Eslit, E.R. Voyaging Beyond Chalkboards: Unleashing Tomorrow's Minds through AI-Driven Frontiers in Literature and Language Education. Preprints 2023. [Google Scholar] [CrossRef]
- Schleiss, J.; Laupichler, M.C.; Raupach, T.; Stober, S. AI Course Design Planning Framework: Developing Domain-Specific AI Education Courses. Education Sciences 2023, 13, 954. [Google Scholar] [CrossRef]
- Ilieva, G.; Yankova, T.; Klisarova-Belcheva, S.; Dimitrov, A.; Bratkov, M.; Angelov, D. Effects of Generative Chatbots in Higher Education. Information 2023, 14, 492. [Google Scholar] [CrossRef]
- Thurzo, A.; Strunga, M.; Urban, R.; Surovková, J.; Afrashtehfar, K.I. Impact of Artificial Intelligence on Dental Education: A Review and Guide for Curriculum Update. Education Sciences 2023, 13, 150. [Google Scholar] [CrossRef]
- OpenAI. ChatGPT: get instant answers, find creative inspiration, and learn something new. Available online: https://openai.com/chatgpt (accessed on 4 September 2023).
- Sallam, M.; Salim, N.A.; Al-Tammemi, A.B.; Barakat, M.; Fayyad, D.; Hallit, S.; Harapan, H.; Hallit, R.; Mahafzah, A. ChatGPT Output Regarding Compulsory Vaccination and COVID-19 Vaccine Conspiracy: A Descriptive Study at the Outset of a Paradigm Shift in Online Search for Information. Cureus 2023, 15, e35029. [Google Scholar] [CrossRef]
- Giansanti, D. Precision Medicine 2.0: How Digital Health and AI Are Changing the Game. Journal of Personalized Medicine 2023, 13, 1057. [Google Scholar] [CrossRef] [PubMed]
- Lo, C.K. What Is the Impact of ChatGPT on Education? A Rapid Review of the Literature. Education Sciences 2023, 13, 410. [Google Scholar] [CrossRef]
- Rawas, S. ChatGPT: Empowering lifelong learning in the digital age of higher education. Education and Information Technologies 2023. [Google Scholar] [CrossRef]
- Giansanti, D. The Chatbots Are Invading Us: A Map Point on the Evolution, Applications, Opportunities, and Emerging Problems in the Health Domain. Life 2023, 13, 1130. [Google Scholar] [CrossRef]
- Seo, K.; Tang, J.; Roll, I.; Fels, S.; Yoon, D. The impact of artificial intelligence on learner–instructor interaction in online learning. International Journal of Educational Technology in Higher Education 2021, 18, 54. [Google Scholar] [CrossRef]
- European Commission Joint Research Centre; Tuomi, I.; Punie, Y.; Vuorikari, R.; Cabrera, M. The impact of Artificial Intelligence on learning, teaching, and education; Publications Office: 2018.
- Sallam, M.; Salim, N.A.; Barakat, M.; Al-Tammemi, A.B. ChatGPT applications in medical, dental, pharmacy, and public health education: A descriptive study highlighting the advantages and limitations. Narra J 2023, 3, e103. [Google Scholar] [CrossRef]
- Borji, A. A Categorical Archive of ChatGPT Failures. Research Square (preprint) 2023. [Google Scholar] [CrossRef]
- Aver, B.; Fošner, A.; Alfirević, N. Higher Education Challenges: Developing Skills to Address Contemporary Economic and Sustainability Issues. Sustainability 2021, 13, 12567. [Google Scholar] [CrossRef]
- Akour, M.; Alenezi, M. Higher Education Future in the Era of Digital Transformation. Education Sciences 2022, 12, 784. [Google Scholar] [CrossRef]
- Guilbault, M. Students as customers in higher education: The (controversial) debate needs to end. Journal of Retailing and Consumer Services 2018, 40, 295–298. [Google Scholar] [CrossRef]
- Al-Kumaim, N.H.; Hassan, S.H.; Shabbir, M.S.; Almazroi, A.A.; Abu Al-Rejal, H.M. Exploring the Inescapable Suffering Among Postgraduate Researchers: Information Overload Perceptions and Implications for Future Research. International Journal of Information and Communication Technology Education (IJICTE) 2021, 17, 19–41. [Google Scholar] [CrossRef]
- Breier, M. From ‘financial considerations’ to ‘poverty’: towards a reconceptualisation of the role of finances in higher education student drop out. Higher Education 2010, 60, 657–670. [Google Scholar] [CrossRef]
- Javaid, M.; Haleem, A.; Singh, R.P.; Khan, S.; Khan, I.H. Unlocking the opportunities through ChatGPT Tool towards ameliorating the education system. BenchCouncil Transactions on Benchmarks, Standards and Evaluations 2023, 3, 100115. [Google Scholar] [CrossRef]
- Montenegro-Rueda, M.; Fernández-Cerero, J.; Fernández-Batanero, J.M.; López-Meneses, E. Impact of the Implementation of ChatGPT in Education: A Systematic Review. Computers 2023, 12, 153. [Google Scholar] [CrossRef]
- Ng, D.T.K.; Leung, J.K.L.; Chu, S.K.W.; Qiao, M.S. Conceptualizing AI literacy: An exploratory review. Computers and Education: Artificial Intelligence 2021, 2, 100041. [Google Scholar] [CrossRef]
- Hornberger, M.; Bewersdorff, A.; Nerdel, C. What do university students know about Artificial Intelligence? Development and validation of an AI literacy test. Computers and Education: Artificial Intelligence 2023, 5, 100165. [Google Scholar] [CrossRef]
- Wogu, I.A.P.; Misra, S.; Olu-Owolabi, E.F.; Assibong, P.A.; Udoh, O.D.; Ogiri, S.; Damasevicius, R. Artificial intelligence, artificial teachers and the fate of learners in the 21st century education sector: Implications for theory and practice. International Journal of Pure and Applied Mathematics 2018, 119, 2245–2259, doi:NA, available from: https://acadpubl.eu/hub/2018-119-16/issue16b.html.. [Google Scholar]
- Guerra-Carrillo, B.; Katovich, K.; Bunge, S.A. Does higher education hone cognitive functioning and learning efficacy? Findings from a large and diverse sample. PLoS One 2017, 12, e0182276. [Google Scholar] [CrossRef]
- Sunday, O.J.; Adesope, O.O.; Maarhuis, P.L. The effects of smartphone addiction on learning: A meta-analysis. Computers in Human Behavior Reports 2021, 4, 100114. [Google Scholar] [CrossRef]
- Kulesza, J.; Ii, G.; Nezlek, G. More Technology, Less Learning? Information Systems Education Journal (ISEDJ) 2011, 9, 4–13. [Google Scholar]
- Ray, P.P. ChatGPT: A comprehensive review on background, applications, key challenges, bias, ethics, limitations and future scope. Internet of Things and Cyber-Physical Systems 2023, 3, 121–154. [Google Scholar] [CrossRef]
- Yu, Y.; Zhuang, Y.; Zhang, J.; Meng, Y.; Ratner, A.; Krishna, R.; Shen, J.; Zhang, C. Large Language Model as Attributed Training Data Generator: A Tale of Diversity and Bias. arXiv preprint arXiv:2306.15895 2023. [Google Scholar] [CrossRef]
- Nazer, L.H.; Zatarah, R.; Waldrip, S.; Ke, J.X.C.; Moukheiber, M.; Khanna, A.K.; Hicklen, R.S.; Moukheiber, L.; Moukheiber, D.; Ma, H.; et al. Bias in artificial intelligence algorithms and recommendations for mitigation. PLOS Digital Health 2023, 2, e0000278. [Google Scholar] [CrossRef] [PubMed]
- Zajko, M. Artificial intelligence, algorithms, and social inequality: Sociological contributions to contemporary debates. Sociology Compass 2022, 16, e12962. [Google Scholar] [CrossRef]
- Imran, A. Why addressing digital inequality should be a priority. The Electronic Journal of Information Systems in Developing Countries 2023, 89, e12255. [Google Scholar] [CrossRef]
- Hill, C.; Lawton, W. Universities, the digital divide and global inequality. Journal of Higher Education Policy and Management 2018, 40, 598–610. [Google Scholar] [CrossRef]
- Ng, D.T.K.; Leung, J.K.L.; Su, J.; Ng, R.C.W.; Chu, S.K.W. Teachers' AI digital competencies and twenty-first century skills in the post-pandemic world. Educ Technol Res Dev 2023, 71, 137–161. [Google Scholar] [CrossRef]
- Ofosu-Ampong, K.; Acheampong, B.; Kevor, M.-O.; Amankwah-Sarfo, F. Acceptance of Artificial Intelligence (ChatGPT) in Education: Trust, Innovativeness and Psychological Need of Students. Journal of Information & Knowledge Management 2023, 13, 37–47. [Google Scholar] [CrossRef]
- Jamal, A.; Solaiman, M.; Alhasan, K.; Temsah, M.H.; Sayed, G. Integrating ChatGPT in Medical Education: Adapting Curricula to Cultivate Competent Physicians for the AI Era. Cureus 2023, 15, e43036. [Google Scholar] [CrossRef]
- Kooli, C. Chatbots in Education and Research: A Critical Examination of Ethical Implications and Solutions. Sustainability 2023, 15, 5614. [Google Scholar] [CrossRef]
- Kazi, T.; Islam, M.; Sezan, S.; Sanad, Z.; Ataur, A.-J. Impact of ChatGPT on Academic Performance among Bangladeshi Undergraduate Students. International Journal of Research In Science & Engineering 2023, 18–28. [Google Scholar] [CrossRef]
- Yang, J.; Chen, Y.-L.; Por, L.Y.; Ku, C.S. A Systematic Literature Review of Information Security in Chatbots. Applied Sciences 2023, 13, 6355. [Google Scholar] [CrossRef]
- Alshahrani, A. The impact of ChatGPT on blended learning: Current trends and future research directions. International Journal of Data and Network Science 2023, 7, 2029–2040. [Google Scholar] [CrossRef]
- Alyoussef, I.Y. Factors Influencing Students’ Acceptance of M-Learning in Higher Education: An Application and Extension of the UTAUT Model. Electronics 2021, 10, 3171. [Google Scholar] [CrossRef]
- Holden, H.; Rada, R. Understanding the Influence of Perceived Usability and Technology Self-Efficacy on Teachers’ Technology Acceptance. Journal of Research on Technology in Education 2011, 43, 343–367. [Google Scholar] [CrossRef]
- Sallam, M.; Salim, N.A.; Barakat, M.; Al-Mahzoum, K.; Al-Tammemi, A.B.; Malaeb, D.; Hallit, R.; Hallit, S. Assessing Health Students' Attitudes and Usage of ChatGPT in Jordan: Validation Study. JMIR Med Educ 2023, 9, e48254. [Google Scholar] [CrossRef]
- Kamalov, F.; Santandreu Calonge, D.; Gurrib, I. New Era of Artificial Intelligence in Education: Towards a Sustainable Multifaceted Revolution. Sustainability 2023, 15, 12451. [Google Scholar] [CrossRef]
- Tiwari, C.K.; Bhat, M.A.; Khan, S.T.; Subramaniam, R.; Khan, M.A.I. What drives students toward ChatGPT? An investigation of the factors influencing adoption and usage of ChatGPT. Interactive Technology and Smart Education 2023. [Google Scholar] [CrossRef]
- Gil-Cordero, E.; Rodriguez-Rad, C.; Ledesma-Chaves, P.; Sánchez del Río-Vázquez, M.-E. Analysis of factors affecting the effectiveness of face-to-face marketing learning via TikTok, YouTube and video conferencing. Heliyon 2023, 9, e17195. [Google Scholar] [CrossRef]
- Hyun Baek, T.; Kim, M. Is ChatGPT scary good? How user motivations affect creepiness and trust in generative artificial intelligence. Telematics and Informatics 2023, 83, 102030. [Google Scholar] [CrossRef]
- Marangunić, N.; Granić, A. Technology acceptance model: a literature review from 1986 to 2013. Universal Access in the Information Society 2015, 14, 81–95. [Google Scholar] [CrossRef]
- Kyriazos, T.A. Applied Psychometrics: Sample Size and Sample Power Considerations in Factor Analysis (EFA, CFA) and SEM in General. Psychology 2018, 9, 2207–2230. [Google Scholar] [CrossRef]
- Mundfrom, D.J.; Shaw, D.G.; Ke, T.L. Minimum Sample Size Recommendations for Conducting Factor Analyses. International Journal of Testing 2005, 5, 159–168. [Google Scholar] [CrossRef]
- Bartz, D.; As ChatGPT's popularity explodes, U.S. lawmakers take an interest. Available online: https://www.reuters.com/technology/chatgpts-popularity-explodes-us-lawmakers-take-an-interest-2023-02-13/ (accessed on 19 September 2023).
- Jianning, L.; Amin, D.; Jens, K.; Jan, E. ChatGPT in Healthcare: A Taxonomy and Systematic Review. medRxiv 2023, preprint, 2023.2003.2030.23287899. [Google Scholar] [CrossRef]
- Tsang, R. Practical Applications of ChatGPT in Undergraduate Medical Education. J Med Educ Curric Dev 2023, 10, 23821205231178449. [Google Scholar] [CrossRef]
- Ibrahim, H.; Liu, F.; Asim, R.; Battu, B.; Benabderrahmane, S.; Alhafni, B.; Adnan, W.; Alhanai, T.; AlShebli, B.; Baghdadi, R.; et al. Perception, performance, and detectability of conversational artificial intelligence across 32 university courses. Scientific Reports 2023, 13, 12187. [Google Scholar] [CrossRef] [PubMed]
- Meyer, J.G.; Urbanowicz, R.J.; Martin, P.C.N.; O'Connor, K.; Li, R.; Peng, P.C.; Bright, T.J.; Tatonetti, N.; Won, K.J.; Gonzalez-Hernandez, G.; et al. ChatGPT and large language models in academia: opportunities and challenges. BioData Min 2023, 16, 20. [Google Scholar] [CrossRef]
- Rodríguez, J.M.R.; Montoya, M.S.R.; Fernández, M.B.; Lara, F.L. Use of ChatGPT at university as a tool for complex thinking: Students' perceived usefulness. NAER: Journal of New Approaches in Educational Research 2023, 12, 323–339. [Google Scholar] [CrossRef]
- Zhang, P.; Kamel Boulos, M.N. Generative AI in Medicine and Healthcare: Promises, Opportunities and Challenges. Future Internet 2023, 15, 286. [Google Scholar] [CrossRef]
- Jeyaraman, M.; K, S.P.; Jeyaraman, N.; Nallakumarasamy, A.; Yadav, S.; Bondili, S.K. ChatGPT in Medical Education and Research: A Boon or a Bane? Cureus 2023, 15, e44316. [Google Scholar] [CrossRef]
- Roos, J.; Kasapovic, A.; Jansen, T.; Kaczmarczyk, R. Artificial Intelligence in Medical Education: Comparative Analysis of ChatGPT, Bing, and Medical Students in Germany. JMIR Med Educ 2023, 9, e46482. [Google Scholar] [CrossRef]
- Lee, H. Using ChatGPT as a Learning Tool in Acupuncture Education: Comparative Study. JMIR Med Educ 2023, 9, e47427. [Google Scholar] [CrossRef] [PubMed]
- Totlis, T.; Natsis, K.; Filos, D.; Ediaroglou, V.; Mantzou, N.; Duparc, F.; Piagkou, M. The potential role of ChatGPT and artificial intelligence in anatomy education: a conversation with ChatGPT. Surg Radiol Anat 2023. [Google Scholar] [CrossRef] [PubMed]
- Karabacak, M.; Ozkara, B.B.; Margetis, K.; Wintermark, M.; Bisdas, S. The Advent of Generative Language Models in Medical Education. JMIR Med Educ 2023, 9, e48163. [Google Scholar] [CrossRef] [PubMed]
- Safranek, C.W.; Sidamon-Eristoff, A.E.; Gilson, A.; Chartash, D. The Role of Large Language Models in Medical Education: Applications and Implications. JMIR Med Educ 2023, 9, e50945. [Google Scholar] [CrossRef] [PubMed]
- Singh, H.; Tayarani-Najaran, M.-H.; Yaqoob, M. Exploring Computer Science Students’ Perception of ChatGPT in Higher Education: A Descriptive and Correlation Study. Education Sciences 2023, 13, 924. [Google Scholar] [CrossRef]
- Dwivedi, Y.K.; Kshetri, N.; Hughes, L.; Slade, E.L.; Jeyaraj, A.; Kar, A.K.; Baabdullah, A.M.; Koohang, A.; Raghavan, V.; Ahuja, M.; et al. Opinion Paper: “So what if ChatGPT wrote it?” Multidisciplinary perspectives on opportunities, challenges and implications of generative conversational AI for research, practice and policy. International Journal of Information Management 2023, 71, 102642. [Google Scholar] [CrossRef]
- Roumeliotis, K.I.; Tselikas, N.D. ChatGPT and Open-AI Models: A Preliminary Review. Future Internet 2023, 15, 192. [Google Scholar] [CrossRef]
- Akiba, D.; Fraboni, M.C. AI-Supported Academic Advising: Exploring ChatGPT’s Current State and Future Potential toward Student Empowerment. Education Sciences 2023, 13, 885. [Google Scholar] [CrossRef]
- Ajlouni, A.; Abd-Alkareem Wahba, F.; Salem Almahaireh, A. Students’ Attitudes Towards Using ChatGPT as a Learning Tool: The Case of the University of Jordan. International Journal of Interactive Mobile Technologies (iJIM) 2023, 17, 99–117. [Google Scholar] [CrossRef]
- Haleem, A.; Javaid, M.; Singh, R.P. An era of ChatGPT as a significant futuristic support tool: A study on features, abilities, and challenges. BenchCouncil Transactions on Benchmarks, Standards and Evaluations 2022, 2, 100089. [Google Scholar] [CrossRef]
- Imran, M.; Almusharraf, N. Analyzing the role of ChatGPT as a writing assistant at higher education level: A systematic review of the literature. Contemporary Educational Technology 2023, 15, ep464. [Google Scholar] [CrossRef]
- Foroughi, B.; Senali, M.G.; Iranmanesh, M.; Khanfar, A.; Ghobakhloo, M.; Annamalai, N.; Naghmeh-Abbaspour, B. Determinants of Intention to Use ChatGPT for Educational Purposes: Findings from PLS-SEM and fsQCA. International Journal of Human–Computer Interaction 2023, 1–20. [Google Scholar] [CrossRef]
- Hooda, A.; Gupta, P.; Jeyaraj, A.; Giannakis, M.; Dwivedi, Y.K. The effects of trust on behavioral intention and use behavior within e-government contexts. International Journal of Information Management 2022, 67, 102553. [Google Scholar] [CrossRef]
- Bin-Hady, W.R.A.; Al-Kadi, A.; Hazaea, A.; Ali, J.K.M. Exploring the dimensions of ChatGPT in English language learning: a global perspective. Library Hi Tech 2023, ahead-of-print. [Google Scholar] [CrossRef]
- Adriansen, H.K.; Juul-Wiese, T.; Madsen, L.M.; Saarinen, T.; Spangler, V.; Waters, J.L. Emplacing English as lingua franca in international higher education: A spatial perspective on linguistic diversity. Population, Space and Place 2023, 29, e2619. [Google Scholar] [CrossRef]
- Dhanvijay, A.K.D.; Pinjar, M.J.; Dhokane, N.; Sorte, S.R.; Kumari, A.; Mondal, H. Performance of Large Language Models (ChatGPT, Bing Search, and Google Bard) in Solving Case Vignettes in Physiology. Cureus 2023, 15, e42972. [Google Scholar] [CrossRef]
- Venkatesh, V.; Thong, J.Y.L.; Xu, X. Consumer Acceptance and Use of Information Technology: Extending the Unified Theory of Acceptance and Use of Technology. MIS Quarterly 2012, 36, 157–178. [Google Scholar] [CrossRef]
- Hubert, M.; Blut, M.; Brock, C.; Zhang, R.W.; Koch, V.; Riedl, R. The influence of acceptance and adoption drivers on smart home usage. European Journal of Marketing 2019, 53, 1073–1098. [Google Scholar] [CrossRef]
- Saprikis, V.; Avlogiaris, G.; Katarachia, A. Determinants of the Intention to Adopt Mobile Augmented Reality Apps in Shopping Malls among University Students. Journal of Theoretical and Applied Electronic Commerce Research 2021, 16, 491–512. [Google Scholar] [CrossRef]
- Liu, J.Y.W.; Sorwar, G.; Rahman, M.S.; Hoque, M.R. The role of trust and habit in the adoption of mHealth by older adults in Hong Kong: a healthcare technology service acceptance (HTSA) model. BMC Geriatrics 2023, 23, 73. [Google Scholar] [CrossRef]
- Blut, M.; Wang, C. Technology readiness: a meta-analysis of conceptualizations of the construct and its impact on technology usage. Journal of the Academy of Marketing Science 2020, 48, 649–669. [Google Scholar] [CrossRef]
- Haleem, A.; Javaid, M.; Qadri, M.A.; Suman, R. Understanding the role of digital technologies in education: A review. Sustainable Operations and Computers 2022, 3, 275–285. [Google Scholar] [CrossRef]
- Markauskaite, L.; Marrone, R.; Poquet, O.; Knight, S.; Martinez-Maldonado, R.; Howard, S.; Tondeur, J.; De Laat, M.; Buckingham Shum, S.; Gašević, D.; et al. Rethinking the entwinement between artificial intelligence and human learning: What capabilities do learners need for a world with AI? Computers and Education: Artificial Intelligence 2022, 3, 100056. [Google Scholar] [CrossRef]
- Bond, M.; Marín, V.I.; Dolch, C.; Bedenlier, S.; Zawacki-Richter, O. Digital transformation in German higher education: student and teacher perceptions and usage of digital media. International Journal of Educational Technology in Higher Education 2018, 15, 48. [Google Scholar] [CrossRef]
- Woithe, J.; Filipec, O. Understanding the Adoption, Perception, and Learning Impact of ChatGPT in Higher Education: A qualitative exploratory case study analyzing students’ perspectives and experiences with the AI-based large language model. 2023, degree of Bachelor, doi:NA, available from: https://www.diva-portal.org/smash/record.jsf?pid=diva2%3A1762617&dswid=9377.
- Shahsavar, Y.; Choudhury, A. User Intentions to Use ChatGPT for Self-Diagnosis and Health-Related Purposes: Cross-sectional Survey Study. JMIR Hum Factors 2023, 10, e47564. [Google Scholar] [CrossRef]
- Wang, J.; Xu, C.; Liu, W. Understanding the adoption of mobile social payment: from the cognitive behavioural perspective. International Journal of Mobile Communications 2022, 20, 483–506. [Google Scholar] [CrossRef]
- M. Mijwil, M.; Hiran, K.K.; Doshi, R.; Dadhich, M.; Al-Mistarehi, A.-H.; Bala, I. ChatGPT and the Future of Academic Integrity in the Artificial Intelligence Era: A New Frontier. Al-Salam Journal for Engineering and Technology 2023, 2, 116–127. [Google Scholar] [CrossRef]
- Mijwil, M.; Mohammad, A.; Ahmed Hussein, A. ChatGPT: Exploring the Role of Cybersecurity in the Protection of Medical Information. Mesopotamian Journal of CyberSecurity 2023, 2023, 18–21. [Google Scholar] [CrossRef]
- Watters, C.; Lemanski, M.K. Universal skepticism of ChatGPT: a review of early literature on chat generative pre-trained transformer. Front Big Data 2023, 6, 1224976. [Google Scholar] [CrossRef]
- Jager, J.; Putnick, D.L.; Bornstein, M.H. More than Just Convenient: The Scientific Merits of Homogeneous Convenience Samples. Monogr Soc Res Child Dev 2017, 82, 13–30. [Google Scholar] [CrossRef] [PubMed]
| Mean ± SD | t / F | df / df1, df2 | p | |
|---|---|---|---|---|
| Country | 7.202 | 4, 546 | <.001 | |
| Egypt | 51.65 ± 7.01 | |||
| Iraq | 51.58 ± 6.54 | |||
| Jordan | 48.46 ± 8.40 | |||
| Kuwait | 47.36 ± 9.59 | |||
| Lebanon | 49.75 ± 8.55 | |||
| Sex | 1.263 | 549 | .207 | |
| Male | 50.15 ± 7.87 | |||
| Female | 49.24 ± 8.69 | |||
| University | −3.878 | 549 | <.001 | |
| Public | 48.29 ± 8.93 | |||
| Private | 51.03 ± 7.48 | |||
| Latest GPA | 3.312 | 4, 545 | .011 | |
| Excellent | 47.77 ± 9.38 | |||
| Very good | 49.95 ± 8.11 | |||
| Good | 50.90 ± 6.91 | |||
| Satisfactory | 51.50 ± 9.15 | |||
| Unsatisfactory | 48.71 ± 12.32 |
| Unstandardized Beta | Standardized Beta | p | 95% CI | VIF | |
|---|---|---|---|---|---|
| Sex (females vs males*) | −.81 | −.06 | .108 | −1.80; .18 | 1.068 |
| Iraq vs Egypt* | −2.91 | −.15 | .002 | −4.73; −1.08 | 2.121 |
| Jordan vs Egypt* | −4.77 | −.18 | <.001 | −6.68; −2.85 | 1.247 |
| Kuwait vs Egypt* | −5.00 | −.29 | <.001 | −6.47; −3.54 | 1.617 |
| Lebanon vs Egypt* | −4.58 | −.18 | <.001 | −6.70; −2.46 | 1.578 |
| University (private vs public*) | .83 | .06 | .223 | −.50; 2.16 | 1.914 |
| GPA (very good vs excellent*) | 1.73 | .12 | .009 | .44; 3.02 | 1.727 |
| GPA (good vs excellent*) | 2.47 | .16 | .001 | 1.07; 3.87 | 1.821 |
| GPA (satisfactory vs excellent*) | 2.49 | .08 | .033 | .21; 4.78 | 1.235 |
| GPA (unsatisfactory vs excellent*) | −.72 | −.01 | .788 | −5.96; 4.52 | 1.039 |
| Age | −.11 | −.11 | .012 | −.19; −.02 | 1.570 |
Disclaimer/Publisher’s Note: The statements, opinions and data contained in all publications are solely those of the individual author(s) and contributor(s) and not of MDPI and/or the editor(s). MDPI and/or the editor(s) disclaim responsibility for any injury to people or property resulting from any ideas, methods, instructions or products referred to in the content. |
© 2023 by the authors. Licensee MDPI, Basel, Switzerland. This article is an open access article distributed under the terms and conditions of the Creative Commons Attribution (CC BY) license (http://creativecommons.org/licenses/by/4.0/).