Submitted:
13 September 2023
Posted:
14 September 2023
You are already at the latest version
Abstract
Keywords:
1. Introduction
2. Materials and Methods
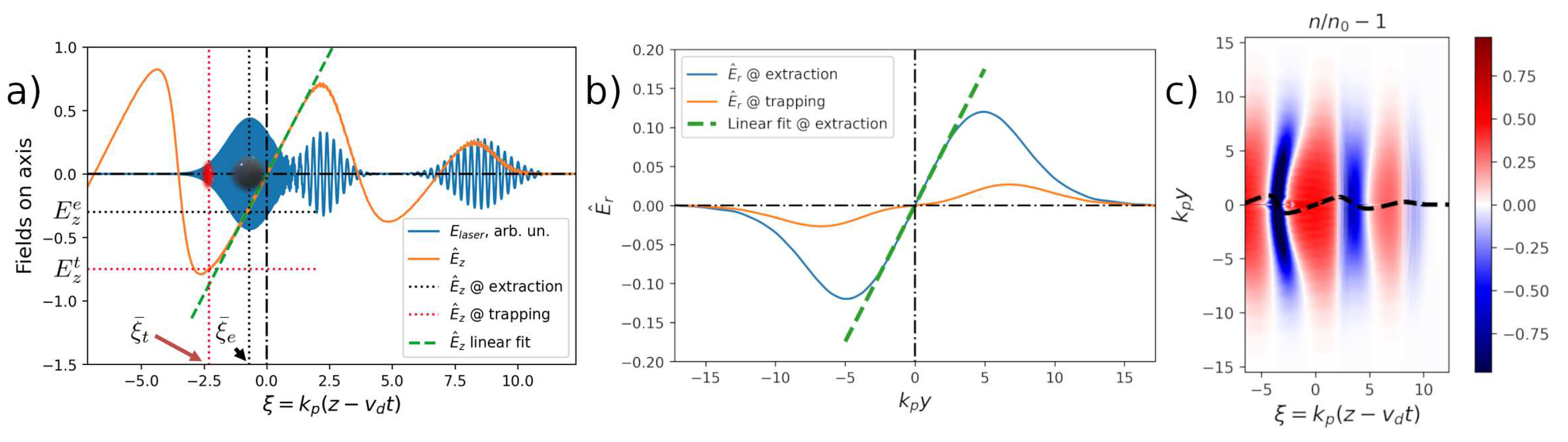
3. Results

4. Discussion
Acknowledgments
References
- Krausz, F.; Ivanov, M. Attosecond physics. Reviews of modern physics 2009, 81, 163.
- Tajima, T.; Dawson, J.M. Laser Electron Accelerator. Phys. Rev. Lett. 1979, 43, 267–270. [CrossRef]
- Chen, P.; Dawson, J.M.; Huff, R.W.; Katsouleas, T. Acceleration of electrons by the interaction of a bunched electron beam with a plasma. Physical review letters 1985, 54, 693.
- Khachatryan, A.G. Trapping, compression, and acceleration of an electron beam by the laser wake wave. Journal of Experimental and Theoretical Physics Letters 2001, 74, 371–374.
- Khachatryan, A.G. Trapping, compression, and acceleration of an electron bunch in the nonlinear laser wakefield. Physical Review E 2002, 65, 046504.
- Khachatryan, A.; Van Goor, F.; Boller, K.J.; Reitsma, A.; Jaroszynski, D. Extremely short relativistic-electron-bunch generation in the laser wakefield via novel bunch injection scheme. Physical review special topics-Accelerators and Beams 2004, 7, 121301.
- Li, F.; Sheng, Z.; Liu, Y.; Meyer-ter Vehn, J.; Mori, W.; Lu, W.; Zhang, J. Dense attosecond electron sheets from laser wakefields using an up-ramp density transition. Physical review letters 2013, 110, 135002.
- Tooley, M.; Ersfeld, B.; Yoffe, S.; Noble, A.; Brunetti, E.; Sheng, Z.; Islam, M.; Jaroszynski, D. Towards attosecond high-energy electron bunches: Controlling self-injection in laser-wakefield accelerators through plasma-density modulation. Physical review letters 2017, 119, 044801.
- Luttikhof, M.; Khachatryan, A.; Van Goor, F.; Boller, K.J. Generating ultrarelativistic attosecond electron bunches with laser wakefield accelerators. Physical review letters 2010, 105, 124801.
- Horny, V.; Krus, M.; Yan, W.; Fulop, T. Attosecond betatron radiation pulse train. Scientific Reports 2020, 10, 15074.
- Zhu, X.L.; Liu, W.Y.; Chen, M.; Weng, S.M.; He, F.; Assmann, R.; Sheng, Z.M.; Zhang, J. Generation of 100-MeV attosecond electron bunches with terawatt few-cycle laser pulses. Physical Review Applied 2021, 15, 044039.
- Ferri, J.; Hornỳ, V.; Fülöp, T. Generation of attosecond electron bunches and x-ray pulses from few-cycle femtosecond laser pulses. Plasma Physics and Controlled Fusion 2021, 63, 045019.
- Deng, A.; Li, X.; Luo, Z.; Li, Y.; Zeng, J. Generation of attosecond micro bunched beam using ionization injection in laser wakefield acceleration. Optics Express 2023, 31, 19958–19967.
- Hidding, B.; Rosenzweig, J.; Xi, Y.; O’Shea, B.; Andonian, G.; Schiller, D.; Barber, S.; Williams, O.; Pretzler, G.; Königstein, T.; others. Beyond injection: Trojan horse underdense photocathode plasma wakefield acceleration. AIP Conference Proceedings. American Institute of Physics, 2012, Vol. 1507, pp. 570–575.
- Hidding, B.; Assmann, R.; Bussmann, M.; Campbell, D.; Chang, Y.Y.; Corde, S.; Cabadağ, J.C.; Debus, A.; Döpp, A.; Gilljohann, M.; others. Progress in hybrid plasma wakefield acceleration. Photonics. MDPI, 2023, Vol. 10, p. 99.
- Yu, L.L.; Esarey, E.; Schroeder, C.B.; Vay, J.L.; Benedetti, C.; Geddes, C.G.R.; Chen, M.; Leemans, W.P. Two-Color Laser-Ionization Injection. Phys. Rev. Lett. 2014, 112, 125001. [CrossRef]
- Tomassini, P.; De Nicola, S.; Labate, L.; Londrillo, P.; Fedele, R.; Terzani, D.; Gizzi, L.A. The resonant multi-pulse ionization injection. Physics of Plasmas 2017, 24, 103120. [CrossRef]
- Ammosov, M.V.; Delone, N.B.; Krainov, V.P. Tunnel Ionization Of Complex Atoms And Atomic Ions In Electromagnetic Field. High Intensity Laser Processes; Alcock, J.A., Ed. International Society for Optics and Photonics, SPIE, 1986, Vol. 0664, pp. 138 – 141. [CrossRef]
- Esarey, E.; Pilloff, M. Trapping and acceleration in nonlinear plasma waves. Physics of Plasmas 1995, 2, 1432–1436.
- Sprangle, P.; Esarey, E.; Ting, A. Nonlinear interaction of intense laser pulses in plasmas. Phys. Rev. A 1990, 41, 4463–4469. [CrossRef]
- Tomassini, P.; Massimo, F.; Labate, L.; Gizzi, L.A. Accurate electron beam phase-space theory for ionization-injection schemes driven by laser pulses. High Power Laser Science and Engineering 2022, 10, e15.
- Schroeder, C.; Vay, J.L.; Esarey, E.; Bulanov, S.; Benedetti, C.; Yu, L.L.; Chen, M.; Geddes, C.; Leemans, W. Thermal emittance from ionization-induced trapping in plasma accelerators. Physical Review Special Topics-Accelerators and Beams 2014, 17, 101301.
- Pukhov, A.; Gordienko, S.; Kiselev, S.; Kostyukov, I. The bubble regime of laser–plasma acceleration: monoenergetic electrons and the scalability. Plasma physics and controlled fusion 2004, 46, B179.
- Lehe, R.; Kirchen, M.; Andriyash, I.A.; Godfrey, B.B.; Vay, J.L. A spectral, quasi-cylindrical and dispersion-free Particle-In-Cell algorithm. Computer Physics Communications 2016, 203, 66–82. [CrossRef]

| Parameter | Quasi-linear | Spherical bubble (theory) |
|---|---|---|
| 0.38 | 0.50 | |
| 0.04 | 0.25 |
| Parameter | Quasi-linear | Spherical bubble (theory) |
|---|---|---|
Disclaimer/Publisher’s Note: The statements, opinions and data contained in all publications are solely those of the individual author(s) and contributor(s) and not of MDPI and/or the editor(s). MDPI and/or the editor(s) disclaim responsibility for any injury to people or property resulting from any ideas, methods, instructions or products referred to in the content. |
© 2023 by the authors. Licensee MDPI, Basel, Switzerland. This article is an open access article distributed under the terms and conditions of the Creative Commons Attribution (CC BY) license (http://creativecommons.org/licenses/by/4.0/).
