Submitted:
28 June 2024
Posted:
01 July 2024
Read the latest preprint version here
Abstract
Keywords:
1. Introduction
2. Cosmic Acceleration
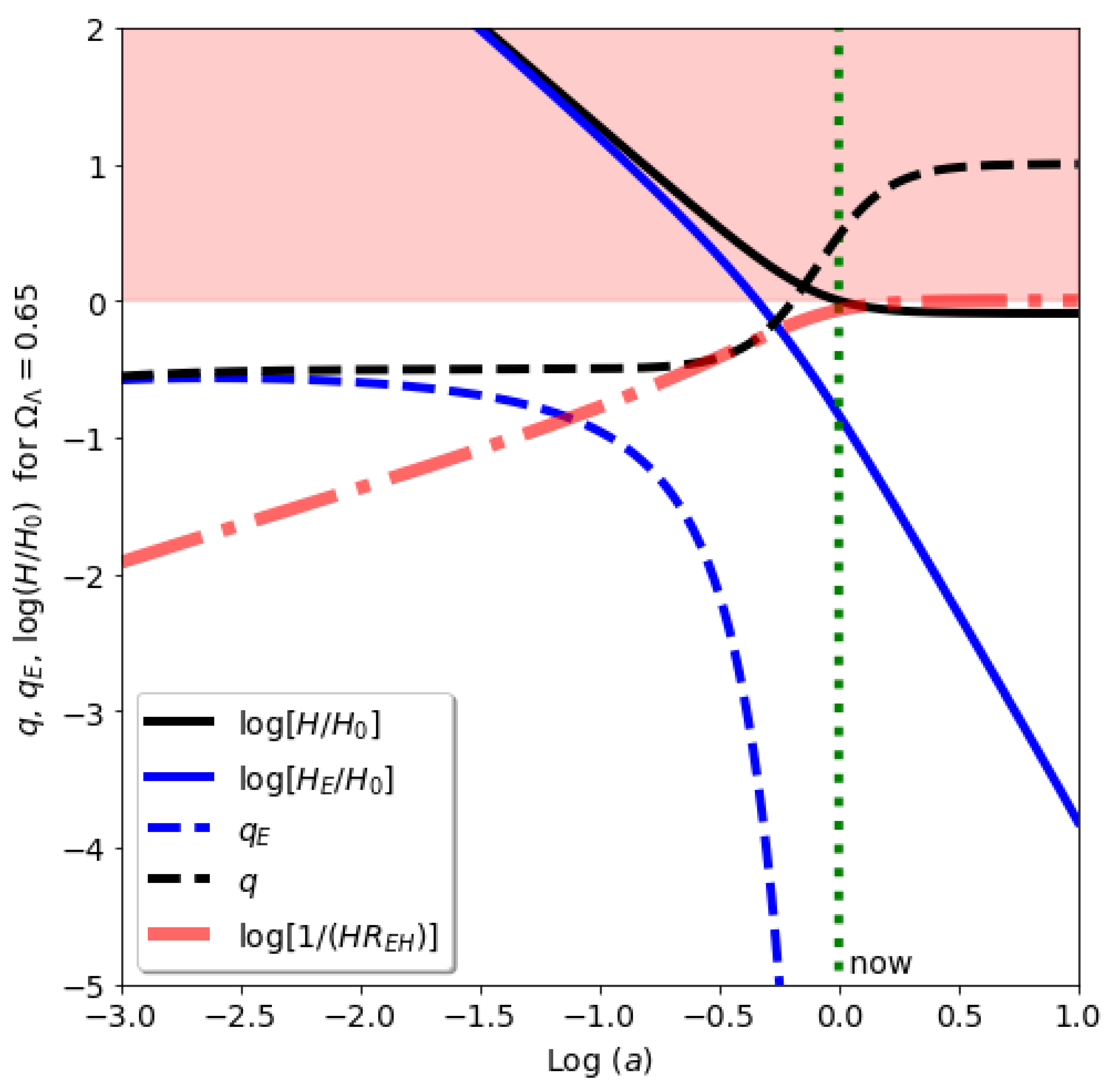
3. de-Sitter Phase
4. Event Acceleration
5. Event Horizon
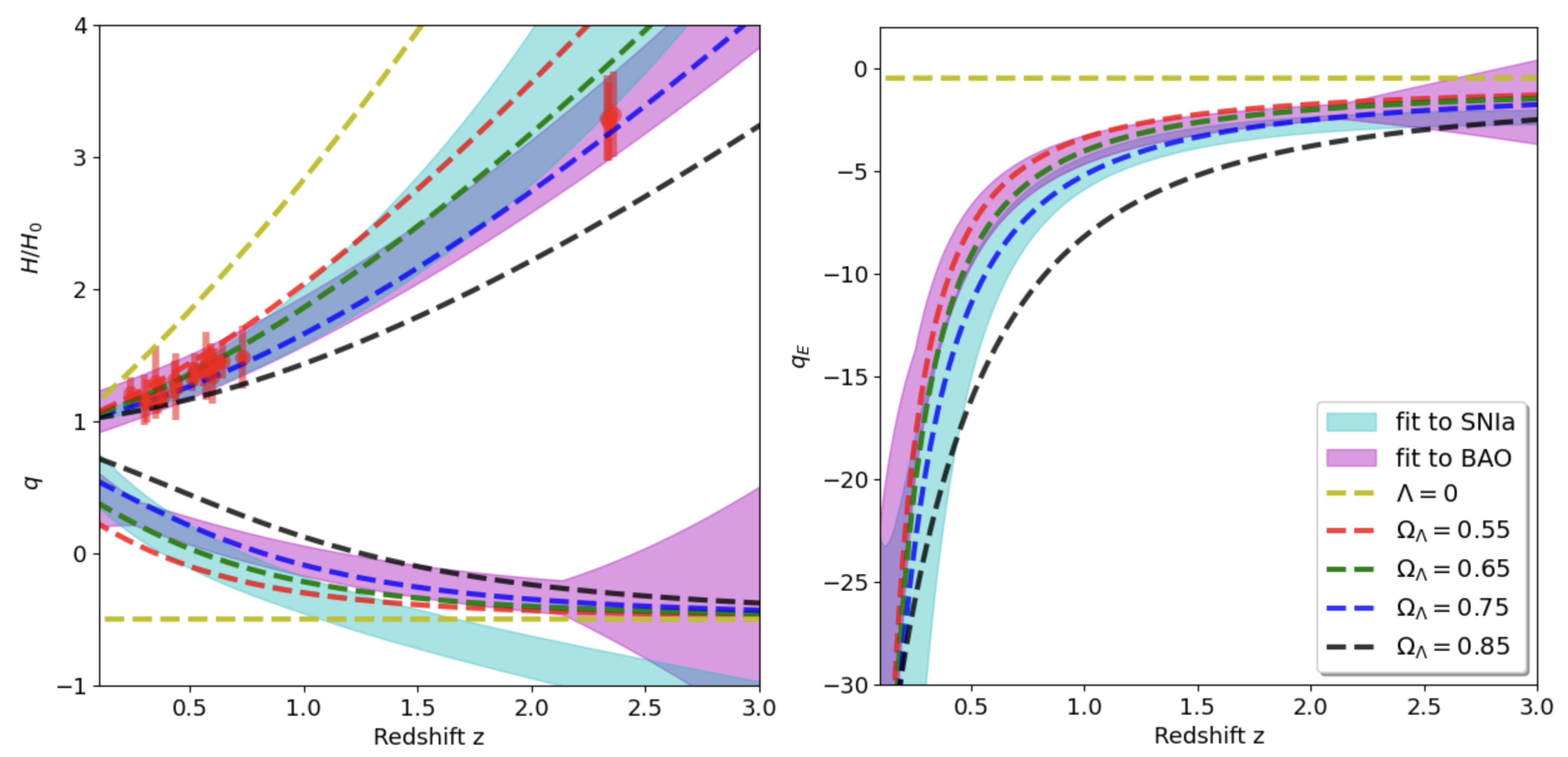
6. Comparison to Data
7. Discussion & Conclusion
Data Availability Statement
Acknowledgments
Appendix A. Newtonian and Hookeonian Limits
References
- de Boer, J.; Dittrich, B.; Eichhorn, A.; Giddings, S.B.; Gielen, S.; Liberati, S.; Livine, E.R.; Oriti, D.; Papadodimas, K.; Pereira, A.D.; Sakellariadou, M.; Surya, S.; Verlinde, H. Frontiers of Quantum Gravity: shared challenges, converging directions. e-prints, 2022; arXiv:2207.10618. [Google Scholar]
- DES Collaboration. DES Year 3 results: Cosmological constraints from galaxy clustering and weak lensing. PRD 2022, 105, 023520. [Google Scholar] [CrossRef]
- Huterer, D.; Turner, M.S. Prospects for probing the dark energy via supernova distance measurements. PRD 1999, 60, 081301. [Google Scholar] [CrossRef]
- Weinberg, S. The cosmological constant problem. Reviews of Modern Physics 1989, 61, 1–23. [Google Scholar] [CrossRef]
- Carroll, S.M.; Press, W.H.; Turner, E.L. The cosmological constant. ARAA 1992, 30, 499–542. [Google Scholar] [CrossRef]
- Peebles, P.J.; Ratra, B. The cosmological constant and dark energy. Reviews of Modern Physics 2003, 75, 559–606. [Google Scholar] [CrossRef]
- Gaztañaga, E. The Black Hole Universe, Part I. Symmetry 2022, 14, 1849. [Google Scholar] [CrossRef]
- Lochan, K.; Rajeev, K.; Vikram, A.; Padmanabhan, T. Quantum correlators in Friedmann spacetimes: The omnipresent de Sitter spacetime and the invariant vacuum noise. Phys. Rev. D 2018, arXiv:gr-qc/1805.08800]98, 105015. [Google Scholar] [CrossRef]
- Ellis, G.F.R.; Rothman, T. Lost horizons. American Journal of Physics 1993, 61, 883–893. [Google Scholar] [CrossRef]
- Scolnic, D.M.; Jones, D.O.; Rest, A.; Pan, Y.C.; Chornock, R.; Foley, R.J.; Huber, M.E.; Kessler, R.; Narayan, G.; Riess, A.G.; Rodney, S.; Berger, E.; Brout, D.J.; Challis, P.J.; Drout, M.; Finkbeiner, D.; Lunnan, R.; Kirshner, R.P.; Sanders, N.E.; Schlafly, E.; Smartt, S.; Stubbs, C.W.; Tonry, J.; Wood-Vasey, W.M.; Foley, M.; Hand, J.; Johnson, E.; Burgett, W.S.; Chambers, K.C.; Draper, P.W.; Hodapp, K.W.; Kaiser, N.; Kudritzki, R.P.; Magnier, E.A.; Metcalfe, N.; Bresolin, F.; Gall, E.; Kotak, R.; McCrum, M.; Smith, K.W. The Complete Light-curve Sample of Spectroscopically Confirmed SNe Ia from Pan-STARRS1 and Cosmological Constraints from the Combined Pantheon Sample. ApJ 2018, 859, 101. [Google Scholar] [CrossRef]
- Liu, Y.; Cao, S.; Biesiada, M.; Lian, Y.; Liu, X.; Zhang, Y. Measuring the Speed of Light with Updated Hubble Diagram of High-redshift Standard Candles. ApJ 2023, 949, 57. [Google Scholar] [CrossRef]
- Gaztañaga, E.; Cabré, A.; Hui, L. Clustering of luminous red galaxies - IV. Baryon acoustic peak in the line-of-sight direction and a direct measurement of H(z). MNRAS 2009, 399, 1663–1680. [Google Scholar] [CrossRef]
- Niu, J.; Chen, Y.; Zhang, T.J. Reconstruction of the dark energy scalar field potential by Gaussian process. e-prints 2023, arXiv:2305.04752. [Google Scholar]
- Planck Collaboration. Planck 2018 results. VI. Cosmological parameters. A&A 2020, 641, A6. [Google Scholar]
- Riess, A.G. The expansion of the Universe is faster than expected. Nature Reviews Physics 2019, 2, 10–12. [Google Scholar] [CrossRef]
- Abdalla, E.; etal., *!!! REPLACE !!!*. Cosmology intertwined: A review of the particle physics, astrophysics, and cosmology associated with the cosmological tensions and anomalies. JHEA 2022, 34, 49–211. [Google Scholar]
- Bautista, J.; etal., *!!! REPLACE !!!*. Measurement of baryon acoustic oscillation correlations at z = 2.3 with SDSS DR12 Lyα-Forests. A& A 2017, 603, A12. [Google Scholar]
- Weinberg, S. Cosmology, Oxford University Press; 2008.
- Rindler, W. Visual horizons in world models. MNRAS 1956, 116, 662. [Google Scholar] [CrossRef]
- Guth, A.H. Inflationary universe: A possible solution to the horizon and flatness problems. PRD 1981, 23, 347–356. [Google Scholar] [CrossRef]
- Starobinskiǐ, A.A. Spectrum of relict gravitational radiation and the early state of the universe. Soviet J. of Exp. and Th. Physics Letters 1979, 30, 682. [Google Scholar]
- Linde, A.D. A new inflationary universe scenario. Physics Letters B 1982, 108, 389–393. [Google Scholar] [CrossRef]
- Albrecht, A.; Steinhardt, P.J. Cosmology for Grand Unified Theories with Radiatively Induced Symmetry Breaking. Phy.Rev.Lett. 1982, 48, 1220–1223. [Google Scholar] [CrossRef]
- Gaztañaga, E. The mass of our observable Universe. MNRAS 2023, 521, L59–L63. [Google Scholar] [CrossRef]
- Gaztañaga, E. The Black Hole Universe, Part II. Symmetry 2022, 14, 1984. [Google Scholar] [CrossRef]
- Padmanabhan, T. Gravitation, Cambridge U. Press; 2010.
- Hawking, S.W.; Penrose, R.; Bondi, H. The singularities of gravitational collapse and cosmology. Proceedings of the Royal Society of London. A. Mathematical and Physical Sciences 1970, 314, 529–548. [Google Scholar]
- Gaztañaga, E.; Camacho-Quevedo, B. What moves the heavens above? Physics Letters B 2022, 835, 137468. [Google Scholar] [CrossRef]
- Gaztañaga, E.; Sravan Kumar, K. Finding origins of CMB anomalies in the inflationary quantum fluctuations. JCAP. [CrossRef]
- Gaztañaga, E. The size of our causal Universe. MNRAS 2020, 494, 2766–2772. [Google Scholar] [CrossRef]
- Gaztañaga, E. The cosmological constant as a zero action boundary. MNRAS 2021, 502, 436–444. [Google Scholar] [CrossRef]
- Calder, L.; Lahav, O. Dark energy: back to Newton? Astronomy & Geophysics 2008, 49, 1–13. [Google Scholar]
| 1 | Such collapse originates from a small initial over-density in a flat background which corresponds to a local FLRW closed curvature , where is the comoving curvature radius of the initial cloud at ([26]). This important detailed was overlooked in [25], who assumed a flat () collapse. As the collapse approaches the almost singular ground state the curvature increases as , which together to positive background acceleration will enable the bounce to happen. |





Disclaimer/Publisher’s Note: The statements, opinions and data contained in all publications are solely those of the individual author(s) and contributor(s) and not of MDPI and/or the editor(s). MDPI and/or the editor(s) disclaim responsibility for any injury to people or property resulting from any ideas, methods, instructions or products referred to in the content. |
© 2024 by the authors. Licensee MDPI, Basel, Switzerland. This article is an open access article distributed under the terms and conditions of the Creative Commons Attribution (CC BY) license (http://creativecommons.org/licenses/by/4.0/).