Submitted:
10 September 2023
Posted:
12 September 2023
You are already at the latest version
Abstract
Keywords:
1. Introduction
2. Materials and Methods
2.1. Field experiment
2.2. N2O measurements
2.3. Soil sampling
2.4. Distribution of mineral N after placement
2.5. Data analyses
3. Results
3.1. Environmental conditions
3.2. Soil moisture and mineral N dynamics
3.3. Mineral N distribution after placement of slurry
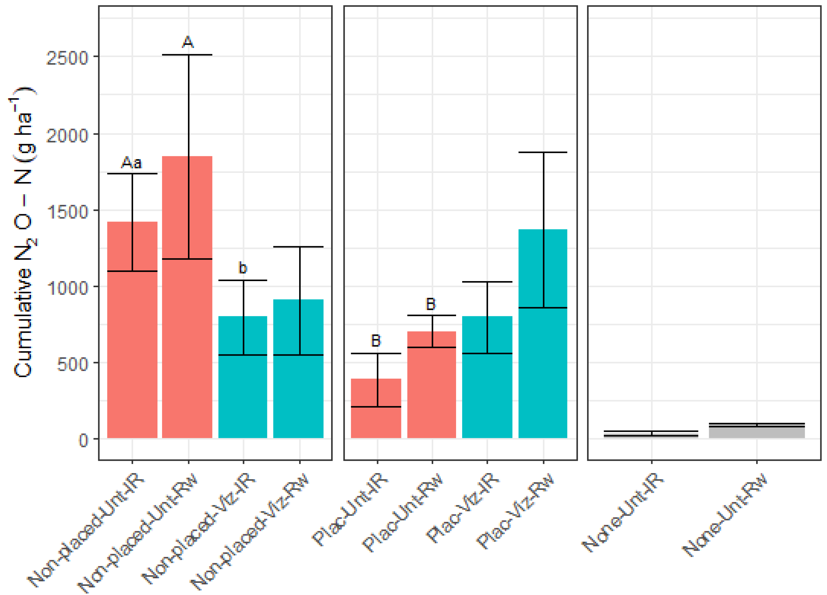
3.4. N2O emissions
4. Discussion
5. Conclusions
Author Contributions
Data Availability Statement
Acknowledgments
Conflicts of Interest
References
- Akiyama, H.; Yan, X.; Yagi, K. Evaluation of effectiveness of enhanced-efficiency fertilizers as mitigation options for N2O and NO emissions from agricultural soils: Meta-analysis. Global Change Biology 2010, 16, 1837–46. [Google Scholar] [CrossRef]
- Barrett, M.; Khalil, M.I.; Jahangir, M.M.R.; Lee, C.; Cardenás, L.M.; Collins, G.; Richards, K.G.; O’Flaherty, V. Carbon amendment and soil depth affect the distribution and abundance of denitrifiers in agricultural soils. Environmental Science and Pollution Research 2016, 23, 7899–7910. [Google Scholar] [CrossRef]
- Beeckman, F.; Motte, H.; Beeckman, T. Nitrification in agricultural soils: Impact, actors and mitigation. Current Opinion in Biotechnology 2018, 50, 166–173. [Google Scholar] [CrossRef] [PubMed]
- Barrington, S.F.; Madramootoo, C.A. Investigating seal formation from manure infiltration into soils. Transactions of the ASAE 1989, 32, 851–856. [Google Scholar] [CrossRef]
- Bhandral, R.; Saggar, S.; Bolan, N.S.; Hedley, M.J. Transformation of nitrogen and nitrous oxide emission from grassland soils as affected by compaction. Soil & Tillage Research 2007, 94, 482–492. [Google Scholar]
- Bollmann, A.; Conrad, R. Influence of O2 availability on NO and N2O release by nitrification and denitrification in soils. Global Change Biology 1998, 4, 387–396. [Google Scholar] [CrossRef]
- Chadwick, D.; Sommer, S.; Thorman, R.; Fangueiro, D.; Cardenas, L.; Amon, B.; Misselbrook, T. Manure management: Implications for greenhouse gas emissions. Animal Feed Science and Technology 2011, 166, 514–531. [Google Scholar] [CrossRef]
- Chibuike, G.; Saggar, S.; Palmada, T.; Luo, J. The persistence and efficacy of nitrification inhibitors to mitigate nitrous oxide emissions from New Zealand pasture soils amended with urine. Geoderma Regional 2022, 30, e00541. [Google Scholar] [CrossRef]
- Comfort, S.D.; Kelling, K.A.; Keeney, D.R.; Converse, J.C. The fate of nitrogen from injected liquid manure in a silt loam soil. Journal of Environmental Quality 1988, 17, 317–322. [Google Scholar] [CrossRef]
- Danmarks-Statistik, 2020.Landbrugsstatistik: https://www.dst.dk/.
- Dittert, K.; Bol, R.; King, R.; Chadwick, D. and Hatch, D. Use of a novel nitrification inhibitor to reduce nitrous oxide emission from N-15-labelled dairy slurry injected into soil. Rapid Communications in Mass Spectrometry 2001, 15, 1291–1296. [Google Scholar] [CrossRef]
- Duan, Y.-F.; Kong, X.-W.; Schramm, A.; Labouriau, R.; Eriksen, J. and Petersen, S.O. Microbial N transformations and N2O emission after simulated grassland cultivation: Effects of the nitrification inhibitor 3,4-dimethylpyrazole phosphate (DMPP). Applied and Environmental Microbiology 2017, 83. [Google Scholar] [CrossRef]
- Friedl, J.; Scheer, C.; Rowlings, D.W.; Deltedsco, E.; Gorfer, M.; De Rosa, D.; Grace, P.R.; Müller, C.; Keiblinger, K.M. Effect of the nitrification inhibitor 3,4-dimethylpyrazole phosphate (DMPP) on N-turnover, the N2O reductase-gene nosZ and N2O:N2 partitioning from agricultural soils. Scientific Reports 2020, 2399. [Google Scholar] [CrossRef]
- Guardia, G.; Abalos, D.; Mateo-Marín, N.; Nair, D.; Petersen, S.O. Using DMPP with cattle manure can mitigate yield-scaled global warming potential under low rainfall conditions. Environmental Pollution 2023, 316, 120679. [Google Scholar] [CrossRef]
- Guenzi, W.D.; Beard, W.E. Volatile fatty acids in a redox controlled cattle manure slurry. Journal of. Environmental Quality 1981, 10, 479–482. [Google Scholar] [CrossRef]
- Hafner, S.D.; Pacholski, A.; Bittman, S.; Burchill, W.; Bussink, W.; Chantigny, M.; Carozzi, M.; Génermont, S.; Häni, C.; Hansen, M.N.; Huijsmans, J.; Hunt, D.; Kupper, T.; Lanigan. G.; Loubet, B.; Misselbrook, T.; Meisinge, J.J.; Neftel, A.; Nyord, T.; Pedersen, S.V.; Sintermann, J.; Thompson, R.B.; Vermeulen, B.; Vestergaard, A.V.; Voylokov, P.; Williams, J.R.; Sommer, S.G. The ALFAM2 database on ammonia emission from field-applied manure: Description and illustrative analysis. Agric. For. Meteorol. 2018, 258, 66–79.
- Hou, Y.; Velthof, G.L. and Oenema, O. Mitigation of ammonia, nitrous oxide and methane emissions from manure management chains: A meta-analysis and integrated assessment. Global Change Biology 2015, 21, 1293–1312. [Google Scholar] [CrossRef] [PubMed]
- Ibraim, E.; Denk, T.; Wolf, B.; Barthel, M.; Gasche, R.; Wanek, W.; et al. Denitrification is the main nitrous oxide source process in grassland soils according to quasi-continuous isotopocule analysis and biogeochemical modeling. Global Biogeochemical Cycles 2020, 33, e2019GB006505. [Google Scholar] [CrossRef]
- IPCC, 2019. 2019 Refinement to the 2006 IPCC Guidelines for National Greenhouse Gas Inventories, Switzerland.
- Kirchmann, H. and Lundvall. A. Relationship between N immobilization and volatile fatty acids in soil after application of pig and cattle slurry. Biology and Fertility of Soils 1993, 15, 161–164. [Google Scholar]
- Krogh, L. and Greve, M.H. Evaluation of world reference base for soil resources and FAO soil map of the world using nationwide grid soil data from Denmark. Soil Use & Management 1999, 15, 157–166. [Google Scholar]
- Lei, J.; Fan, Q.; Yu, J.; Ma, Y.; Yin, J. and Liu, R. A meta-analysis to examine whether nitrification inhibitors work through selectively inhibiting ammonia-oxidizing bacteria. Frontiers in Microbiology 2022, 13, 962146. [Google Scholar] [CrossRef] [PubMed]
- Leip, A.; Weiss, F.; Wassenaar, T.; Perez, I.; Fellmann, T.; Loudjani, P.; Tubiello, F.; Grandgirard, D.; Monni, S.; Biala, K. 2010. Evaluation of the livestock sector's contribution to the EU greenhouse gas emissions (GGELS) – final report. European Commission, Joint Research Centre.
- Linzmeier, W.; Gutser, R.; Schmidhalter, U. Nitrous oxide emission from soil and from a nitrogen-15-labelled fertilizer with the new nitrification inhibitor 3,4-dimethylpyrazole phosphate (DMPP). Biology and Fertility of Soils 2001, 34, 103–108. [Google Scholar]
- Menéndez, S.; Barrena, I.; Setién, I.; González-Murua, C.; Estavillo, J.M. Efficiency of nitrification inhibitor DMPP to reduce nitrous oxide emissions under different temperature and moisture conditions. Soil Biology & Biochemistry 2012, 53, 82–89. [Google Scholar]
- Meng, X.; Sørensen, P.; Møller, H.B.; Petersen, S.O. Greenhouse gas balances and yield-scaled emissions for storage and field application of organic fertilizers derived from cattle manure. Agriculture, Ecosystems and Environment 2023, 345, 108327. [Google Scholar] [CrossRef]
- Meng, X.; Ma, C.; Petersen, S.O. Sensitive control of N2O emissions and microbial community dynamics by organic fertilizer and soil interactions. Biology and Fertility of Soils 2022, 58, 771–788. [Google Scholar] [CrossRef]
- Menéndez, S.; Merino, P.; Pinto, M.; Gonzalez-Murua, C. and Estavillo, J.M. 3,4-dimethylpyrazol phosphate effect on nitrous oxide, nitric oxide, ammonia, and carbon dioxide emissions from grasslands. Journal of Environmental Quality 2006, 35, 973–981. [Google Scholar] [CrossRef]
- Miller, M.H.; Robinson, J.B.; Gillham, R.W. Self-Sealing of earthen liquid manure storage ponds: I. A Case study1. Journal of environmental quality 1985, 14, 533–538. [Google Scholar] [CrossRef]
- Misselbrook, T.; Smith, K.; Johnson, R.A.; Pain, B. Slurry application techniques to reduce ammonia emissions: Results of some UK field-scale experiments. Biosystems Engineering 2002, 81, 313–321. [Google Scholar] [CrossRef]
- Molodovskaya, M.; Singurindy, O.; Richards, B.K.; Warland, J.; Johnson, M.S.; Steenhuis, T.S. Temporal variability of nitrous oxide from fertilized croplands: Hot moment analysis. Soil Science Society of Am. J. 2012, 76, 1728–1740. [Google Scholar] [CrossRef]
- Nair, D.; Baral, K.R.; Abalos, D.; Strobel, B.W.; Petersen, S.O. Nitrate leaching and nitrous oxide emissions from maize after grass-clover on a coarse sandy soil: Mitigation potentials of 3, 4-dimethylpyrazole phosphate (DMPP). Journal of environmental management 2020, 260, 110165. [Google Scholar] [CrossRef]
- Nielsen, N.E.; Jensen, H.E. The course of nitrogen uptake by spring barley from soil and fertilizer nitrogen. Plant and Soil 1986, 91, 391–395. [Google Scholar] [CrossRef]
- Nielsen, T.H.; Revsbech, N.P. Diffusion Chamber for Nitrogen-15 Determination of Coupled Nitrification-Denitrification around Soil-Manure Interfaces. Soil Science Society of American Journal 1994, 58, 795–800. [Google Scholar] [CrossRef]
- Pedersen, A.R.; Petersen, S.O.; Schelde, K. A comprehensive approach to soil atmosphere trace-gas flux estimation with static chambers. European Journal of Soil Science 2010, 61, 888–902. [Google Scholar] [CrossRef]
- Pedersen, I.F.; Nyord, T.; Sørensen, P. Tine tip width and placement depth by row-injection of cattle slurry influence initial leaf N and P concentrations and final yield of silage maize. European Journal of Agronomy 2022, 133, 126418. [Google Scholar] [CrossRef]
- Petersen, S.O.; Henriksen, K. and Blackburn, T.H. Coupled nitrification¬-denitrification associated with liquid manure in a gel-stabilized model system. Biology and Fertility of Soils 1991, 12, 19–27. [Google Scholar] [CrossRef]
- Petersen, S.O.; Hoffmann, C.C.; Schäfer, C. -M.; Blicher-Mathiesen, G.; Elsgaard, L.; Kristensen, K.; Larsen, S.E.; Torp, S.B.; Greve, M.H. Annual emissions of CH4 and N2O, and ecosystem respiration, from eight organic soils in Western Denmark managed by agriculture. Biogeosciences 2012, 9, 403–422. [Google Scholar] [CrossRef]
- Ravishankara, A.R.; Daniel, J.S.; Portman, R.W. Nitrous oxide (N2O): The dominant ozone-depleting substance emitted in the 21st century. Science 2009, 326, 123–125. [Google Scholar] [CrossRef]
- Rochette, P.; van Bochove, E.; Prévost, D.; Angers, D.; Côté, D.; Bertrand, N. Soil carbon and nitrogen dynamics following application of pig slurry for the 19th consecutive year. II. Nitrous oxide fluxes and mineral nitrogen. Soil Science Society of American Journals 2000, 64, 1396–1403. [Google Scholar]
- Ruser, R.; Schulz, R. The effect of nitrification inhibitors on the nitrous oxide (N2O) release from agricultural soils - A review. Journal of Plant Nutrition and Soil Science 2015, 178, 171–188. [Google Scholar] [CrossRef]
- Severin, M.; Fuß, R.; Well, R.; Garlipp, F.; Van denWeghe, H. Soil, slurry and application effects on greenhouse gas emissions. Plant, Soil and Environment 2016, 61, 344–351. [Google Scholar] [CrossRef]
- Schröder, J.J.; Vermeulen, G.D.; van der Schoot, J.R.; van Dijk, W.; Huijsmans, J.F. M.; Meuffels, G.J. H. M.; van der Schans, D.A. Maize yields benefit from injected manure positioned in bands. European Journal of Agronomy 2015, 64, 29–36. [Google Scholar] [CrossRef]
- Spiertz, J.H. J. Nitrogen, sustainable agriculture, and food security. A review. Agronomy for Sustainable Development 2010, 30, 43–55. [Google Scholar] [CrossRef]
- Subbarao, G.V.; Ito, O.; Sahrawat, K.L.; Berry, W.L.; Nakahara, K.; Ishikawa, T.; Watanabe, T.; Suenaga, K.; Rondon, M.; Rao, I. Scope and strategies for regulation of nitrification in agricultural systems – Challenges and opportunities. Critical Reviews in Plant Sciences 2006, 25, 303–335. [Google Scholar] [CrossRef]
- Sørensen, P.; Jensen, E.S. Mineralization-immobilization and plant uptake of nitro gen as in flue nced by the spati al distribution of cattle slurry in soils of different texture. Plant and Soil 1995, 173, 283–291. [Google Scholar] [CrossRef]
- Ruser, R.; Schulz, R. The effect of nitrification inhibitors on the nitrous oxide (N2O) release from agricultural soils—A review. Journal of Plant Nutrition and soil science 2015, 178, 171–188. [Google Scholar] [CrossRef]
- VanderZaag, A.C.; Jayasundara, S.; Wagner-Riddle, C. Strategies to mitigate nitrous oxide emissions from land applied manure. Animal Feed Science and Technology.
- Van Groenigen, J.W.; Kasper, G.J.; Velthof, G.L.; Van den Pol van Dasselaar, A.; Kuikman, P.J. Nitrous oxide emissions from silage maize fields under different mineral nitrogen fertilizer and slurry applications. Plant and Soil 2004, 263, 101–111. [Google Scholar] [CrossRef]
- Velthof, G.L.; Mosquera, J. The impact of slurry application technique on nitrous oxide emission from agricultural soils. Agriculture, Ecosystems and Environment 2011, 140, 298–308. [Google Scholar] [CrossRef]
- Webb, J.; Pain, B.; Bittman, S.; Morgan, J. The impacts of manure application methods on emissions of ammonia, nitrous oxide and on crop response—A review. Agriculture, Ecosystems & Environment 2010, 137, 39–46. [Google Scholar]
- Webb, J.; Pain, B.; Bittman, S.; Morgan, J. The impacts of manure application methods on emissions of ammonia, nitrous oxide and on crop response—A review. Agriculture, Ecosystems and Environment 2010, 137, 39–46. [Google Scholar] [CrossRef]
- Wrage, N.; Velthof, G.L.; van Beusichem, M.L.; Oenema, O. Role of nitrifier denitrification in the production of nitrous oxide. Soil Biology & Biochemistry 2001, 33, 1723–1732. [Google Scholar]
- Wu, D.; Cárdenas, L.M.; Calvet, S.; Brüggemann, N.; Loick, N.; Liu, Sh. , Bol, R. The effect of nitrification inhibitor on N2O, NO and N2 emissions under different soil moisture levels in a permanent grassland soil. Soil Biology & Biochemistry 2017, 113, 153e160. [Google Scholar]
- Wu, D.; Well, R.; Cárdenas, L.M.; Fuβ, R.; Lewicka-Szczebak, D.; Köster, J.R.; Brüggemann, N.; Bol, R. Quantifying N2O reduction to N2 during denitrification in soils via isotopic mapping approach: Model evaluation and uncertainty analysis. Environmental Research 2019, 179, 108806. [Google Scholar] [CrossRef] [PubMed]
- Zerulla, W.; Barth, T.; Dressel, J.; Erhardt, K.; Horchler von Locquenghien, K.; Pasda, G.; Rädle, M.; Wissemeier, A. 3,4-Dimethylpyrazole phosphate (DMPP) - a new nitrification inhibitor for agriculture and horticulture. Biology and Fertility of Soils 2001, 34, 79e84. [Google Scholar] [CrossRef]
- Zhang, H.Q.; Zhao, X.Q.; Chen, Y.L.; Zhang, L.Y.; Shen, R.F. Case of a stronger capability of maize seedlings to use ammonium being responsible for the higher 15N recovery efficiency of ammonium compared with nitrate. Plant and Soil 2019, 440, 293–309. [Google Scholar] [CrossRef]
- Zhou, X.; Wang, S.; Ma, S.; Zheng, X.; Wang, Z.; Lu, C. Effects of commonly used nitrification inhibitors dicyandiamide (DCD), 3,4-dimethylpyrazole phosphate (DMPP), and nitrapyrin—On soil nitrogen dynamics and nitrifiers in three typical paddy soils. Geoderma 2020, 380, 114637. [Google Scholar] [CrossRef]
- Zhu, X.; Burger, M.; Doane, T.A.; Horwath, W.R. Ammonia oxidation pathways and nitrifier denitrification are significant sources of N2O and NO under low oxygen availability. Proceedings of the National Academy of Sciences 2013, 110, 6328–33. [Google Scholar] [CrossRef]








| Texture | Clay (%) | Silt (%) | Fine Sand (%) | Coarse Sand (%) | pH | Total soil organic carbon (%) |
|---|---|---|---|---|---|---|
| Sandy loam | 9 | 9.3 | 42.8 | 38.8 | 5.3 | 1.5 |
| Treatment | Definition |
|---|---|
| Plac-Unt | Untreated slurry placed under maize seeds |
| Plac-Viz | Vizura treated slurry placed under maize seeds |
| Inje-Unt | Non-placed injected untreated slurry |
| Inje-Viz | Non-placed injected Vizura treated slurry |
| Control | No slurry application |
| Treatment | Application method | Slurry treatment | Sampling position |
|---|---|---|---|
| Plac-Unt-Rw | Placed | Untreated | Row |
| Plac-Unt-IR | Placed | Untreated | Inter-row |
| Plac-Viz-Rw | Placed | Vizura | Row |
| Plac-Viz-IR | Placed | Vizura | Inter-row |
| Non placed-Unt-Rw | Non-placed | Untreated | Row |
| Non placed-Unt-IR | Non-placed | Untreated | Inter-row |
| Non placed-Viz-Rw | Non-placed | Vizura | Row |
| Non placed-Viz-IR | Non-placed | Vizura | Inter-row |
| Control | NA | NA | Row and Inter-row |
| Treatments | Num DF | Den DF | F | p |
|---|---|---|---|---|
| Ammonium-N | ||||
| Intercept | 1 | 93 | 643.74 | *** |
| Application method | 1 | 93 | 3.26 | ns |
| Slurry treatment | 1 | 93 | 16.61 | *** |
| Date | 10 | 93 | 25.88 | *** |
| Slurry application * Slurry treatment | 1 | 93 | 0.18 | ns |
| Slurry treatment * Date | 10 | 93 | 1.85 | ns |
| Nitrate-N | ||||
| Intercept | 1 | 94 | 7685.17 | *** |
| Application method | 1 | 94 | 2.40 | ns |
| Slurry treatment | 1 | 94 | 17.54 | *** |
| Date | 10 | 94 | 100.39 | *** |
| Application method * Slurry treatment | 11 | 94 | 0.29 | ns |
| Slurry treatment * Date | 10 | 94 | 3.16 | ** |
| Num DF | Den DF | F | p | |
|---|---|---|---|---|
| Within-row | ||||
| Intercept | 1 | 101 | 976.07 | *** |
| Application method | 1 | 101 | 1.66 | ns |
| Slurry treatment | 1 | 101 | 0.33 | ns |
| Date | 11 | 101 | 4.77 | *** |
| Application method * Slurry treatment | 1 | 101 | 20.44 | ns |
| Slurry treatment * Date | 11 | 101 | 2.18 | * |
| Inter-row | ||||
| Intercept | 1 | 225 | 2701.87 | *** |
| Application method | 1 | 225 | 5.75 | * |
| Slurry treatment | 1 | 225 | 0.07 | ns |
| Date | 11 | 225 | 10.83 | *** |
| Application method * Slurry treatment | 1 | 225 | 25.98 | *** |
| Slurry treatment * Date | 11 | 225 | 2.47 | ns |
| Num DF | Den DF | F | p | |
|---|---|---|---|---|
| Intercept | 1 | 123 | 705.57 | *** |
| Application method | 1 | 123 | 6.93 | ** |
| Slurry treatment | 1 | 123 | 0.08 | ns |
| Date | 1 | 123 | 0.11 | ns |
| Application method * Slurry treatment | 1 | 123 | 3.64 | *** |
| Slurry treatment * Date | 1 | 123 | 1.98 | ns |
Disclaimer/Publisher’s Note: The statements, opinions and data contained in all publications are solely those of the individual author(s) and contributor(s) and not of MDPI and/or the editor(s). MDPI and/or the editor(s) disclaim responsibility for any injury to people or property resulting from any ideas, methods, instructions or products referred to in the content. |
© 2023 by the authors. Licensee MDPI, Basel, Switzerland. This article is an open access article distributed under the terms and conditions of the Creative Commons Attribution (CC BY) license (https://creativecommons.org/licenses/by/4.0/).
